Into the Deep (Sequence) of the Foot-and-Mouth Disease Virus Gene Pool: Bottlenecks and Adaptation during Infection in Naïve and Vaccinated Cattle
Abstract
1. Introduction
2. Results
2.1. Animal Experiments and Clinical Outcomes
2.2. Effects of Vaccination on FMDV Populations
2.3. Entropy
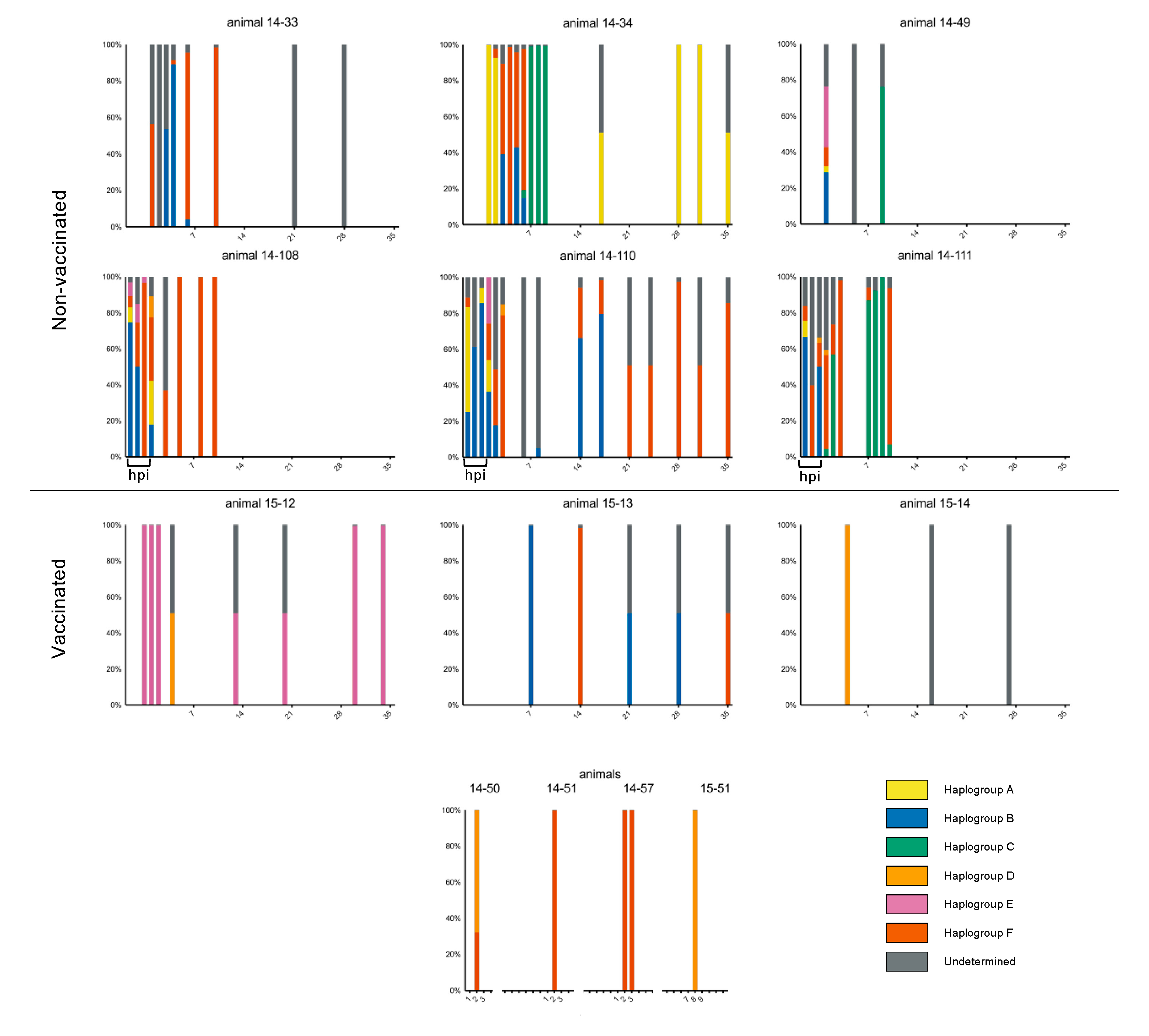
2.4. Haplotypic Population Structure
2.5. Genomic evolution of the Viral Swarm
2.6. Nonsynonymous Substitutions
2.7. Persistent Infection & the Nasopharynx
3. Discussion
Summary and Conclusion
4. Materials and Methods
4.1. Animal Studies
4.2. Inoculum
4.3. Sample Passage and Sequencing
4.4. Consensus-Level Sequence Analysis
4.5. Subconsensus Sequence Analysis
4.6. Test of Diversifying Selection
4.7. Haplotypic Composition of Sample Populations
4.8. Protein Structure
4.9. Data Availability
Supplementary Materials
Author Contributions
Funding
Acknowledgments
Conflicts of Interest
References
- Alexandersen, S.; Zhang, Z.; Donaldson, A.I.; Garland, A.J.M. The pathogenesis and diagnosis of foot-And-Mouth disease. J. Comp. Pathol. 2003, 129, 1–36. [Google Scholar] [CrossRef]
- Arzt, J.; Baxt, B.; Grubman, M.J.; Jackson, T.; Juleff, N.; Rhyan, J.; Rieder, E.; Waters, R.; Rodriguez, L.L. The pathogenesis of foot-And-Mouth disease II: Viral pathways in swine, small ruminants, and wildlife; myotropism, chronic syndromes, and molecular virus-Host interactions. Transbound. Emerg. Dis. 2011, 58, 305–326. [Google Scholar] [CrossRef] [PubMed]
- Knight-Jones, T.J.; Rushton, J. The economic impacts of foot and mouth disease-What are they, how big are they and where do they occur? Prev. Vet. Med. 2013, 112, 161–173. [Google Scholar] [CrossRef] [PubMed]
- Brito, B.P.; Rodriguez, L.L.; Hammond, J.M.; Pinto, J.; Perez, A.M. Review of the Global Distribution of Foot-And-Mouth Disease Virus from 2007 to 2014. Transbound. Emerg. Dis. 2015. [Google Scholar] [CrossRef]
- Grubman, M.J.; Baxt, B. Foot-And-Mouth disease. Clin. Microbiol. Rev. 2004, 17, 465–493. [Google Scholar] [CrossRef]
- Domingo, E.; Escarmis, C.; Baranowski, E.; Ruiz-Jarabo, C.M.; Carrillo, E.; Nunez, J.I.; Sobrino, F. Evolution of foot-And-Mouth disease virus. Virus. Res. 2003, 91, 47–63. [Google Scholar] [CrossRef]
- Belsham, G.J. Influence of the Leader protein coding region of foot-And-Mouth disease virus on virus replication. J. Gen. Virol. 2013, 94, 1486–1495. [Google Scholar] [CrossRef]
- Mittal, M.; Tosh, C.; Hemadri, D.; Sanyal, A.; Bandyopadhyay, S.K. Phylogeny, genome evolution, and antigenic variability among endemic foot-And-Mouth disease virus type A isolates from India. Arch. Virol. 2005, 150, 911–928. [Google Scholar] [CrossRef]
- Carrillo, C.; Lu, Z.; Borca, M.V.; Vagnozzi, A.; Kutish, G.F.; Rock, D.L. Genetic and phenotypic variation of foot-And-Mouth disease virus during serial passages in a natural host. J. Virol. 2007, 81, 11341–11351. [Google Scholar] [CrossRef]
- Tully, D.C.; Fares, M.A. The tale of a modern animal plague: Tracing the evolutionary history and determining the time-Scale for foot and mouth disease virus. Virology 2008, 382, 250–256. [Google Scholar] [CrossRef]
- Mateu, M.G. The Foot-And-Mouth Disease Virion: Structure and Function. In Foot-And-Mouth Disease Virus: Current Research and Emerging Trends; Domingo, E., Sobrino, F., Eds.; Caister Academic Press: Centro de Biología Molecular "Severo Ochoa" (CSIC-UAM), Madrid, Spain, 2017; pp. 61–106. [Google Scholar] [CrossRef][Green Version]
- Wang, G.; Wang, Y.; Shang, Y.; Zhang, Z.; Liu, X. How foot-And-Mouth disease virus receptor mediates foot-And-Mouth disease virus infection. Virol. J. 2015, 12, 9. [Google Scholar] [CrossRef] [PubMed]
- Acevedo, A.; Brodsky, L.; Andino, R. Mutational and fitness landscapes of an RNA virus revealed through population sequencing. Nature 2014, 505, 686–690. [Google Scholar] [CrossRef] [PubMed]
- Borderia, A.V.; Isakov, O.; Moratorio, G.; Henningsson, R.; Aguera-Gonzalez, S.; Organtini, L.; Gnadig, N.F.; Blanc, H.; Alcover, A.; Hafenstein, S.; et al. Group Selection and Contribution of Minority Variants during Virus Adaptation Determines Virus Fitness and Phenotype. PLoS Pathog. 2015, 11, e1004838. [Google Scholar] [CrossRef] [PubMed]
- Wei, H.; Audet, J.; Wong, G.; He, S.; Huang, X.; Cutts, T.; Theriault, S.; Xu, B.; Kobinger, G.; Qiu, X. Deep-Sequencing of Marburg virus genome during sequential mouse passaging and cell-Culture adaptation reveals extensive changes over time. Sci. Rep. 2017, 7, 3390. [Google Scholar] [CrossRef] [PubMed]
- Arzt, J.; Fish, I.; Pauszek, S.J.; Johnson, S.L.; Chain, P.S.; Rai, D.K.; Rieder, E.; Goldberg, T.L.; Rodriguez, L.L.; Stenfeldt, C. The evolution of a super-Swarm of foot-And-Mouth disease virus in cattle. PLoS ONE 2019, 14, e0210847. [Google Scholar] [CrossRef]
- Wright, C.F.; Morelli, M.J.; Thebaud, G.; Knowles, N.J.; Herzyk, P.; Paton, D.J.; Haydon, D.T.; King, D.P. Beyond the consensus: Dissecting within-Host viral population diversity of foot-And-Mouth disease virus by using next-Generation genome sequencing. J. Virol. 2011, 85, 2266–2275. [Google Scholar] [CrossRef]
- Zeng, J.; Wang, H.; Xie, X.; Li, C.; Zhou, G.; Yang, D.; Yu, L. Ribavirin-Resistant variants of foot-And-Mouth disease virus: The effect of restricted quasispecies diversity on viral virulence. J. Virol. 2014, 88, 4008–4020. [Google Scholar] [CrossRef]
- Rai, D.K.; Segundo, F.D.S.; Campagnola, G.; Keith, A.; Schafer, E.A.; Kloc, A.; de los Santos, T.; Peersen, O.; Rieder, E. Attenuation of Foot-and-Mouth Disease Virus by Engineered Viral Polymerase Fidelity. J. Virol. 2017, 91. [Google Scholar] [CrossRef]
- Domingo, E.; Sheldon, J.; Perales, C. Viral quasispecies evolution. Microbiol. Mol. Biol. Rev. 2012, 76, 159–216. [Google Scholar] [CrossRef]
- Arzt, J.; Pacheco, J.M.; Rodriguez, L.L. The early pathogenesis of foot-And-Mouth disease in cattle after aerosol inoculation. Identification of the nasopharynx as the primary site of infection. Vet. Pathol. 2010, 47, 1048–1063. [Google Scholar] [CrossRef]
- Pacheco, J.M.; Smoliga, G.R.; O′Donnell, V.; Brito, B.P.; Stenfeldt, C.; Rodriguez, L.L.; Arzt, J. Persistent Foot-And-Mouth Disease Virus Infection in the Nasopharynx of Cattle; Tissue-Specific Distribution and Local Cytokine Expression. PLoS ONE 2015, 10, e0125698. [Google Scholar] [CrossRef] [PubMed]
- Stenfeldt, C.; Eschbaumer, M.; Pacheco, J.M.; Rekant, S.I.; Rodriguez, L.L.; Arzt, J. Pathogenesis of Primary Foot-And-Mouth Disease Virus Infection in the Nasopharynx of Vaccinated and Non-Vaccinated Cattle. PLoS ONE 2015, 10, e0143666. [Google Scholar] [CrossRef] [PubMed]
- Stenfeldt, C.; Eschbaumer, M.; Rekant, S.I.; Pacheco, J.M.; Smoliga, G.R.; Hartwig, E.J.; Rodriguez, L.L.; Arzt, J. The Foot-And-Mouth Disease Carrier State Divergence in Cattle. J. Virol. 2016, 90, 6344–6364. [Google Scholar] [CrossRef] [PubMed]
- Arzt, J.; Juleff, N.; Zhang, Z.; Rodriguez, L.L. The pathogenesis of foot-And-Mouth disease I: Viral pathways in cattle. Transbound. Emerg. Dis. 2011, 58, 291–304. [Google Scholar] [CrossRef]
- OIE. Terresterrial Animal Health Code, Chapter 8.8 (Infection with foot and mouth disease virus). Available online: http://www.oie.int/fileadmin/Home/eng/Health_standards/tahc/current/chapitre_fmd.pdf (accessed on 14 July 2016).
- Farooq, U.; Ahmed, Z.; Naeem, K.; Bertram, M.; Brito, B.; Stenfeldt, C.; Pauszek, S.J.; LaRocco, M.; Rodriguez, L.; Arzt, J. Characterization of naturally occurring, new and persistent subclinical foot-And-Mouth disease virus infection in vaccinated Asian buffalo in Islamabad Capital Territory, Pakistan. Transbound. Emerg. Dis. 2018, 65, 1836–1850. [Google Scholar] [CrossRef]
- Ferretti, L.; Di Nardo, A.; Singer, B.; Lasecka-Dykes, L.; Logan, G.; Wright, C.F.; Perez-Martin, E.; King, D.P.; Tuthill, T.J.; Ribeca, P. Within-Host Recombination in the Foot-And-Mouth Disease Virus Genome. Viruses 2018, 10, 221. [Google Scholar] [CrossRef]
- Cortey, M.; Ferretti, L.; Perez-Martin, E.; Zhang, F.; de Klerk-Lorist, L.M.; Scott, K.; Freimanis, G.; Seago, J.; Ribeca, P.; van Schalkwyk, L.; et al. Persistent infection of African buffalo (Syncerus caffer) with Foot-And-Mouth Disease Virus: Limited viral evolution and no evidence of antibody neutralization escape. J. Virol. 2019. [Google Scholar] [CrossRef]
- Guindon, S.; Dufayard, J.F.; Lefort, V.; Anisimova, M.; Hordijk, W.; Gascuel, O. New algorithms and methods to estimate maximum-likelihood phylogenies: Assessing the performance of PhyML 3.0. Syst. Biol. 2010, 59, 307–321. [Google Scholar] [CrossRef]
- Mateu, M.G.; Hernandez, J.; Martinez, M.A.; Feigelstock, D.; Lea, S.; Perez, J.J.; Giralt, E.; Stuart, D.; Palma, E.L.; Domingo, E. Antigenic heterogeneity of a foot-And-Mouth disease virus serotype in the field is mediated by very limited sequence variation at several antigenic sites. J. Virol. 1994, 68, 1407–1417. [Google Scholar] [CrossRef]
- Fry, E.E.; Lea, S.M.; Jackson, T.; Newman, J.W.; Ellard, F.M.; Blakemore, W.E.; Abu-Ghazaleh, R.; Samuel, A.; King, A.M.; Stuart, D.I. The structure and function of a foot-And-Mouth disease virus-Oligosaccharide receptor complex. EMBO J. 1999, 18, 543–554. [Google Scholar] [CrossRef]
- Perez Filgueira, M.; Wigdorovitz, A.; Romera, A.; Zamorano, P.; Borca, M.V.; Sadir, A.M. Detection and characterization of functional T-Cell epitopes on the structural proteins VP2, VP3, and VP4 of foot and mouth disease virus O1 campos [In Process Citation]. Virology 2000, 271, 234–239. [Google Scholar] [CrossRef] [PubMed]
- Alam, S.M.; Amin, R.; Rahman, M.Z.; Hossain, M.A.; Sultana, M. Antigenic heterogeneity of capsid protein VP1 in foot-And-Mouth disease virus (FMDV) serotype Asia 1. Adv. Appl. Bioinform. Chem. 2013, 6, 37–46. [Google Scholar] [CrossRef][Green Version]
- Fry, E.E.; Newman, J.W.; Curry, S.; Najjam, S.; Jackson, T.; Blakemore, W.; Lea, S.M.; Miller, L.; Burman, A.; King, A.M.; et al. Structure of Foot-And-Mouth disease virus serotype A10 61 alone and complexed with oligosaccharide receptor: Receptor conservation in the face of antigenic variation. J. Gen. Virol. 2005, 86, 1909–1920. [Google Scholar] [CrossRef] [PubMed]
- Kitson, J.D.; McCahon, D.; Belsham, G.J. Sequence analysis of monoclonal antibody resistant mutants of type O foot and mouth disease virus: Evidence for the involvement of the three surface exposed capsid proteins in four antigenic sites. Virology 1990, 179, 26–34. [Google Scholar] [CrossRef]
- Thomas, A.A.; Woortmeijer, R.J.; Puijk, W.; Barteling, S.J. Antigenic sites on foot-And-Mouth disease virus type A10. J. Virol. 1988, 62, 2782–2789. [Google Scholar] [CrossRef] [PubMed]
- Murrell, B.; Wertheim, J.O.; Moola, S.; Weighill, T.; Scheffler, K.; Kosakovsky Pond, S.L. Detecting individual sites subject to episodic diversifying selection. PLoS Genet. 2012, 8, e1002764. [Google Scholar] [CrossRef] [PubMed]
- Jayasundara, D.; Saeed, I.; Maheswararajah, S.; Chang, B.C.; Tang, S.L.; Halgamuge, S.K. ViQuaS: An improved reconstruction pipeline for viral quasispecies spectra generated by next-generation sequencing. Bioinformatics 2015, 31, 886–896. [Google Scholar] [CrossRef]
- Kotecha, A.; Wang, Q.; Dong, X.; Ilca, S.L.; Ondiviela, M.; Zihe, R.; Seago, J.; Charleston, B.; Fry, E.E.; Abrescia, N.G.A.; et al. Rules of engagement between alphavbeta6 integrin and foot-And-Mouth disease virus. Nat. Commun. 2017, 8, 15408. [Google Scholar] [CrossRef]
- Logan, D.; Abu-Ghazaleh, R.; Blakemore, W.; Curry, S.; Jackson, T.; King, A.; Lea, S.; Lewis, R.; Newman, J.; Parry, N.; et al. Structure of a major immunogenic site on foot-And-Mouth disease virus. Nature 1993, 362, 566–568. [Google Scholar] [CrossRef]
- Arzt, J.; Belsham, G.J.; Lohse, L.; Botner, A.; Stenfeldt, C. Transmission of Foot-And-Mouth Disease from Persistently Infected Carrier Cattle to Naive Cattle via Transfer of Oropharyngeal Fluid. mSphere 2018, 3. [Google Scholar] [CrossRef]
- Eschbaumer, M.; Stenfeldt, C.; Rekant, S.I.; Pacheco, J.M.; Hartwig, E.J.; Smoliga, G.R.; Kenney, M.A.; Golde, W.T.; Rodriguez, L.L.; Arzt, J. Systemic immune response and virus persistence after foot-And-Mouth disease virus infection of naive cattle and cattle vaccinated with a homologous adenovirus-Vectored vaccine. BMC Vet. Res. 2016, 12, 205. [Google Scholar] [CrossRef] [PubMed]
- Bull, R.A.; Luciani, F.; McElroy, K.; Gaudieri, S.; Pham, S.T.; Chopra, A.; Cameron, B.; Maher, L.; Dore, G.J.; White, P.A.; et al. Sequential bottlenecks drive viral evolution in early acute hepatitis C virus infection. PLoS Pathog. 2011, 7, e1002243. [Google Scholar] [CrossRef] [PubMed]
- Kijak, G.H.; Sanders-Buell, E.; Chenine, A.L.; Eller, M.A.; Goonetilleke, N.; Thomas, R.; Leviyang, S.; Harbolick, E.A.; Bose, M.; Pham, P.; et al. Rare HIV-1 transmitted/founder lineages identified by deep viral sequencing contribute to rapid shifts in dominant quasispecies during acute and early infection. PLoS Pathog. 2017, 13, e1006510. [Google Scholar] [CrossRef]
- Grenfell, B.T.; Pybus, O.G.; Gog, J.R.; Wood, J.L.; Daly, J.M.; Mumford, J.A.; Holmes, E.C. Unifying the epidemiological and evolutionary dynamics of pathogens. Science 2004, 303, 327–332. [Google Scholar] [CrossRef]
- Morelli, M.J.; Wright, C.F.; Knowles, N.J.; Juleff, N.; Paton, D.J.; King, D.P.; Haydon, D.T. Evolution of foot-And-Mouth disease virus intra-Sample sequence diversity during serial transmission in bovine hosts. Vet. Res. 2013, 44, 12. [Google Scholar] [CrossRef]
- Rieder, E.; Henry, T.; Duque, H.; Baxt, B. Analysis of a Foot-And-Mouth Disease Virus Type A24 Isolate Containing an SGD Receptor Recognition Site In Vitro and Its Pathogenesis in Cattle. J. Virol. 2005, 79, 12989–12998. [Google Scholar] [CrossRef]
- Mateu, M.G.; Martinez, M.A.; Rocha, E.; Andreu, D.; Parejo, J.; Giralt, E.; Sobrino, F.; Domingo, E. Implications of a quasispecies genome structure: Effect of frequent, naturally occurring amino acid substitutions on the antigenicity of foot-And-Mouth disease virus. Proc. Natl. Acad. Sci. USA 1989, 86, 5883–5887. [Google Scholar] [CrossRef]
- Carrillo, C.; Dopazo, J.; Moya, A.; Gonzalez, M.; Martinez, M.A.; Saiz, J.C.; Sobrino, F. Comparison of vaccine strains and the virus causing the 1986 foot-And-Mouth disease outbreak in Spain: Epizootiological analysis. Virus. Res. 1990, 15, 45–55. [Google Scholar] [CrossRef]
- Martinez, M.A.; Verdaguer, N.; Mateu, M.G.; Domingo, E. Evolution subverting essentiality: Dispensability of the cell attachment Arg-Gly-Asp motif in multiply passaged foot-And-Mouth disease virus. Proc. Natl. Acad. Sci. USA 1997, 94, 6798–6802. [Google Scholar] [CrossRef]
- Baranowski, E.; Ruiz-Jarabo, C.M.; Sevilla, N.; Andreu, D.; Beck, E.; Domingo, E. Cell recognition by foot-And-Mouth disease virus that lacks the RGD integrin-Binding motif: Flexibility in aphthovirus receptor usage. J. Virol. 2000, 74, 1641–1647. [Google Scholar] [CrossRef]
- Perales, C.; Martin, V.; Ruiz-Jarabo, C.M.; Domingo, E. Monitoring sequence space as a test for the target of selection in viruses. J. Mol. Biol. 2005, 345, 451–459. [Google Scholar] [CrossRef] [PubMed]
- Ruiz-Jarabo, C.M.; Arias, A.; Baranowski, E.; Escarmis, C.; Domingo, E. Memory in viral quasispecies. J. Virol. 2000, 74, 3543–3547. [Google Scholar] [CrossRef] [PubMed]
- Jackson, T.; Ellard, F.M.; Ghazaleh, R.A.; Brookes, S.M.; Blakemore, W.E.; Corteyn, A.H.; Stuart, D.I.; Newman, J.W.; King, A.M. Efficient infection of cells in culture by type O foot-And-Mouth disease virus requires binding to cell surface heparan sulfate. J. Virol. 1996, 70, 5282–5287. [Google Scholar] [CrossRef] [PubMed]
- Lawrence, P.; Rai, D.; Conderino, J.S.; Uddowla, S.; Rieder, E. Role of Jumonji C-domain containing protein 6 (JMJD6) in infectivity of foot-And-Mouth disease virus. Virology 2016, 492, 38–52. [Google Scholar] [CrossRef] [PubMed]
- Gladue, D.P.; O’Donnell, V.; Baker-Bransetter, R.; Pacheco, J.M.; Holinka, L.G.; Arzt, J.; Pauszek, S.; Fernandez-Sainz, I.; Fletcher, P.; Brocchi, E.; et al. Interaction of foot-And-Mouth disease virus nonstructural protein 3A with host protein DCTN3 is important for viral virulence in cattle. J. Virol. 2014, 88, 2737–2747. [Google Scholar] [CrossRef] [PubMed][Green Version]
- Gonzalez-Magaldi, M.; Martin-Acebes, M.A.; Kremer, L.; Sobrino, F. Membrane topology and cellular dynamics of foot-And-Mouth disease virus 3A protein. PLoS ONE 2014, 9, e106685. [Google Scholar] [CrossRef]
- Stenfeldt, C.; Arzt, J.; Pacheco, J.M.; Gladue, D.P.; Smoliga, G.R.; Silva, E.B.; Rodriguez, L.L.; Borca, M.V. A partial deletion within foot-And-Mouth disease virus non-Structural protein 3A causes clinical attenuation in cattle but does not prevent subclinical infection. Virology 2018, 516, 115–126. [Google Scholar] [CrossRef]
- Pacheco, J.M.; Gladue, D.P.; Holinka, L.G.; Arzt, J.; Bishop, E.; Smoliga, G.; Pauszek, S.J.; Bracht, A.J.; O′Donnell, V.; Fernandez-Sainz, I.; et al. A partial deletion in non-Structural protein 3A can attenuate foot-And-Mouth disease virus in cattle. Virology 2013, 446, 260–267. [Google Scholar] [CrossRef][Green Version]
- Nunez, J.I.; Baranowski, E.; Molina, N.; Ruiz-Jarabo, C.M.; Sanchez, C.; Domingo, E.; Sobrino, F. A single amino acid substitution in nonstructural protein 3A can mediate adaptation of foot-And-Mouth disease virus to the guinea pig. J. Virol. 2001, 75, 3977–3983. [Google Scholar] [CrossRef]
- Beard, C.W.; Mason, P.W. Genetic determinants of altered virulence of Taiwanese foot-And-Mouth disease virus. J. Virol. 2000, 74, 987–991. [Google Scholar] [CrossRef]
- Pacheco, J.M.; Henry, T.M.; O′Donnell, V.K.; Gregory, J.B.; Mason, P.W. Role of Nonstructural Proteins 3A and 3B in Host Range and Pathogenicity of Foot-And-Mouth Disease Virus. J. Virol. 2003, 77, 13017–13027. [Google Scholar] [CrossRef] [PubMed]
- Carrillo, C.; Tulman, E.R.; Delhon, G.; Lu, Z.; Carreno, A.; Vagnozzi, A.; Kutish, G.F.; Rock, D.L. Comparative genomics of foot-And-Mouth disease virus. J. Virol. 2005, 79, 6487–6504. [Google Scholar] [CrossRef] [PubMed]
- Lauring, A.S.; Andino, R. Quasispecies theory and the behavior of RNA viruses. PLoS Pathog. 2010, 6, e1001005. [Google Scholar] [CrossRef] [PubMed]
- Pawlotsky, J.M. Hepatitis C virus population dynamics during infection. Curr. Top. Microbiol. 2006, 299, 261–284. [Google Scholar]
- Gebauer, F.; de la Torre, J.C.; Gomes, I.; Mateu, M.G.; Barahona, H.; Tiraboschi, B.; Bergmann, I.; de Mello, P.A.; Domingo, E. Rapid selection of genetic and antigenic variants of foot-And-Mouth disease virus during persistence in cattle. J. Virol. 1988, 62, 2041–2049. [Google Scholar] [CrossRef]
- Ciurea, A.; Klenerman, P.; Hunziker, L.; Horvath, E.; Senn, B.M.; Ochsenbein, A.F.; Hengartner, H.; Zinkernagel, R.M. Viral persistence in vivo through selection of neutralizing antibody-Escape variants. Proc. Natl. Acad. Sci. 2000, 97, 2749–2754. [Google Scholar] [CrossRef]
- Fischer, W.; Ganusov, V.V.; Giorgi, E.E.; Hraber, P.T.; Keele, B.F.; Leitner, T.; Han, C.S.; Gleasner, C.D.; Green, L.; Lo, C.C.; et al. Transmission of single HIV-1 genomes and dynamics of early immune escape revealed by ultra-Deep sequencing. PLoS ONE 2010, 5, e12303. [Google Scholar] [CrossRef]
- Bertram, M.R.; Vu, L.T.; Pauszek, S.J.; Brito, B.P.; Hartwig, E.J.; Smoliga, G.R.; Hoang, B.H.; Phuong, N.T.; Stenfeldt, C.; Fish, I.H.; et al. Lack of Transmission of Foot-And-Mouth Disease Virus From Persistently Infected Cattle to Naive Cattle Under Field Conditions in Vietnam. Front. Vet. Sci. 2018, 5, 174. [Google Scholar] [CrossRef]
- Biswal, J.K.; Ranjan, R.; Subramaniam, S.; Mohapatra, J.K.; Patidar, S.; Sharma, M.K.; Bertram, M.R.; Brito, B.; Rodriguez, L.L.; Pattnaik, B.; et al. Genetic and antigenic variation of foot-And-Mouth disease virus during persistent infection in naturally infected cattle and Asian buffalo in India. PLoS ONE 2019, 14, e0214832. [Google Scholar] [CrossRef]
- Eschbaumer, M.; Stenfeldt, C.; Smoliga, G.R.; Pacheco, J.M.; Rodriguez, L.L.; Li, R.W.; Zhu, J.; Arzt, J. Transcriptomic Analysis of Persistent Infection with Foot-and-Mouth Disease Virus in Cattle Suggests Impairment of Apoptosis and Cell-Mediated Immunity in the Nasopharynx. PLoS ONE 2016, 11, e0162750. [Google Scholar] [CrossRef]
- Stenfeldt, C.; Eschbaumer, M.; Smoliga, G.R.; Rodriguez, L.L.; Zhu, J.; Arzt, J. Clearance of a persistent picornavirus infection is associated with enhanced pro-Apoptotic and cellular immune responses. Sci. Rep. 2017, 7, 17800. [Google Scholar] [CrossRef] [PubMed]
- Stenfeldt, C.; Hartwig, E.J.; Smoliga, G.R.; Palinski, R.; Silva, E.B.; Bertram, M.R.; Fish, I.H.; Pauszek, S.J.; Arzt, J. Contact Challenge of Cattle with Foot-And-Mouth Disease Virus Validates the Role of the Nasopharyngeal Epithelium as the Site of Primary and Persistent Infection. mSphere 2018, 3. [Google Scholar] [CrossRef] [PubMed]
- Juleff, N.; Valdazo-Gonzalez, B.; Wadsworth, J.; Wright, C.F.; Charleston, B.; Paton, D.J.; King, D.P.; Knowles, N.J. Accumulation of nucleotide substitutions occurring during experimental transmission of foot-And-Mouth disease virus. J. Gen. Virol. 2013, 94, 108–119. [Google Scholar] [CrossRef] [PubMed]
- King, D.J.; Freimanis, G.L.; Orton, R.J.; Waters, R.A.; Haydon, D.T.; King, D.P. Investigating intra-Host and intra-Herd sequence diversity of foot-and-mouth disease virus. Infect. Genet. Evol. 2016, 44, 286–292. [Google Scholar] [CrossRef]
- Maree, F.; de Klerk-Lorist, L.M.; Gubbins, S.; Zhang, F.; Seago, J.; Perez-Martin, E.; Reid, L.; Scott, K.; van Schalkwyk, L.; Bengis, R.; et al. Differential Persistence of Foot-And-Mouth Disease Virus in African Buffalo Is Related to Virus Virulence. J. Virol. 2016, 90, 5132–5140. [Google Scholar] [CrossRef]
- Lewis-Rogers, N.; McClellan, D.A.; Crandall, K.A. The evolution of foot-And-Mouth disease virus: Impacts of recombination and selection. Infect. Genet. Evol. 2008, 8, 786–798. [Google Scholar] [CrossRef]
- Brito, B.; Pauszek, S.J.; Hartwig, E.J.; Smoliga, G.R.; Vu, L.T.; Dong, P.V.; Stenfeldt, C.; Rodriguez, L.L.; King, D.P.; Knowles, N.J.; et al. A traditional evolutionary history of foot-And-Mouth disease viruses in Southeast Asia challenged by analyses of non-structural protein coding sequences. Sci. Rep. 2018, 8. [Google Scholar] [CrossRef]
- Charleston, B.; Bankowski, B.M.; Gubbins, S.; Chase-Topping, M.E.; Schley, D.; Howey, R.; Barnett, P.V.; Gibson, D.; Juleff, N.D.; Woolhouse, M.E. Relationship between clinical signs and transmission of an infectious disease and the implications for control. Science 2011, 332, 726–729. [Google Scholar] [CrossRef]
- Stenfeldt, C.; Pacheco, J.M.; Brito, B.P.; Moreno-Torres, K.I.; Branan, M.A.; Delgado, A.H.; Rodriguez, L.L.; Arzt, J. Transmission of Foot-And-Mouth Disease Virus during the Incubation Period in Pigs. Front. Vet. Sci. 2016, 3, 105. [Google Scholar] [CrossRef]
- Tully, D.C.; Fares, M.A. Shifts in the selection-Drift balance drive the evolution and epidemiology of foot-And-Mouth disease virus. J. Virol. 2009, 83, 781–790. [Google Scholar] [CrossRef] [PubMed]
- Cottam, E.M.; King, D.P.; Wilson, A.; Paton, D.J.; Haydon, D.T. Analysis of Foot-And-Mouth disease virus nucleotide sequence variation within naturally infected epithelium. Virus. Res. 2009, 140, 199–204. [Google Scholar] [CrossRef]
- Sutmoller, P.; Gaggero, A. Foot-And mouth diseases carriers. Vet. Rec. 1965, 77, 968–969. [Google Scholar] [CrossRef] [PubMed]
- Paton, D.J.; Gubbins, S.; King, D.P. Understanding the transmission of foot-And-Mouth disease virus at different scales. Curr. Opin. Virol. 2018, 28, 85–91. [Google Scholar] [CrossRef]
- LaRocco, M.; Krug, P.W.; Kramer, E.; Ahmed, Z.; Pacheco, J.M.; Duque, H.; Baxt, B.; Rodriguez, L.L. A continuous bovine kidney cell line constitutively expressing bovine alphavbeta6 integrin has increased susceptibility to foot-And-Mouth disease virus. J. Clin. Microbiol. 2013, 51, 1714–1720. [Google Scholar] [CrossRef] [PubMed]
- Kumar, S.; Stecher, G.; Tamura, K. MEGA7: Molecular Evolutionary Genetics Analysis Version 7.0 for Bigger Datasets. Mol. Biol. Evol. 2016, 33, 1870–1874. [Google Scholar] [CrossRef] [PubMed]
- Kearse, M.; Moir, R.; Wilson, A.; Stones-Havas, S.; Cheung, M.; Sturrock, S.; Buxton, S.; Cooper, A.; Markowitz, S.; Duran, C.; et al. Geneious Basic: An integrated and extendable desktop software platform for the organization and analysis of sequence data. Bioinformatics 2012, 28, 1647–1649. [Google Scholar] [CrossRef]
- Pond, S.L.; Frost, S.D.; Muse, S.V. HyPhy: Hypothesis testing using phylogenies. Bioinformatics 2005, 21, 676–679. [Google Scholar] [CrossRef]
- Warren, R.L.; Sutton, G.G.; Jones, S.J.; Holt, R.A. Assembling millions of short DNA sequences using SSAKE. Bioinformatics 2007, 23, 500–501. [Google Scholar] [CrossRef]
- Pettersen, E.F.; Goddard, T.D.; Huang, C.C.; Couch, G.S.; Greenblatt, D.M.; Meng, E.C.; Ferrin, T.E. UCSF Chimera--A visualization system for exploratory research and analysis. J. Comput. Chem. 2004, 25, 1605–1612. [Google Scholar] [CrossRef]






| Substitution Rate (subs/st/yr) | Shannon Entropy | ||||||
|---|---|---|---|---|---|---|---|
| Early | Transitional | Persistent | CDS | Nonstructural | Capsid | Capsid/CDS | |
| inoculum | - | - | - | 0.0156 | 0.0147 | 0.0181 | 1.16 |
| non-vaccin. cattle | 0.188a | 0.127 | 0.080 a | 0.0171b | 0.0160 c | 0.0200 d | 1.17 e |
| vaccinated cattle | 0.131 | 0.089 | 0.079 | 0.0120 b | 0.0115 c | 0.0130 d | 1.08 e |
© 2020 by the authors. Licensee MDPI, Basel, Switzerland. This article is an open access article distributed under the terms and conditions of the Creative Commons Attribution (CC BY) license (http://creativecommons.org/licenses/by/4.0/).
Share and Cite
Fish, I.; Stenfeldt, C.; Palinski, R.M.; Pauszek, S.J.; Arzt, J. Into the Deep (Sequence) of the Foot-and-Mouth Disease Virus Gene Pool: Bottlenecks and Adaptation during Infection in Naïve and Vaccinated Cattle. Pathogens 2020, 9, 208. https://doi.org/10.3390/pathogens9030208
Fish I, Stenfeldt C, Palinski RM, Pauszek SJ, Arzt J. Into the Deep (Sequence) of the Foot-and-Mouth Disease Virus Gene Pool: Bottlenecks and Adaptation during Infection in Naïve and Vaccinated Cattle. Pathogens. 2020; 9(3):208. https://doi.org/10.3390/pathogens9030208
Chicago/Turabian StyleFish, Ian, Carolina Stenfeldt, Rachel M. Palinski, Steven J. Pauszek, and Jonathan Arzt. 2020. "Into the Deep (Sequence) of the Foot-and-Mouth Disease Virus Gene Pool: Bottlenecks and Adaptation during Infection in Naïve and Vaccinated Cattle" Pathogens 9, no. 3: 208. https://doi.org/10.3390/pathogens9030208
APA StyleFish, I., Stenfeldt, C., Palinski, R. M., Pauszek, S. J., & Arzt, J. (2020). Into the Deep (Sequence) of the Foot-and-Mouth Disease Virus Gene Pool: Bottlenecks and Adaptation during Infection in Naïve and Vaccinated Cattle. Pathogens, 9(3), 208. https://doi.org/10.3390/pathogens9030208

