Zinc Acetate Inhibits Hepatitis A Virus Replication: Possible Treatment for Patients with Type A Acute-on-Chronic Liver Failure
Abstract
1. Introduction
2. Materials and Methods
2.1. Cell Lines and Reagents
2.2. HAV Infection
2.3. RNA Extraction, cDNA Synthesis, and Quantitative PCR (qPCR) for HAV RNA
2.4. Half-Maximal Inhibitory Concentration (IC50)
2.5. Cell Viability Assay
2.6. Quantitative Detection of the GRP78 Concentration in Conditioned Medium
2.7. Statistical Analysis
3. Results
3.1. Enhancement of HAV RNA Replication in High-Concentration Glucose Media
3.2. Zinc Acetate Had No Effect on the Viability of GL37 or Huh7 Cells at 5–100 μM for 48 H
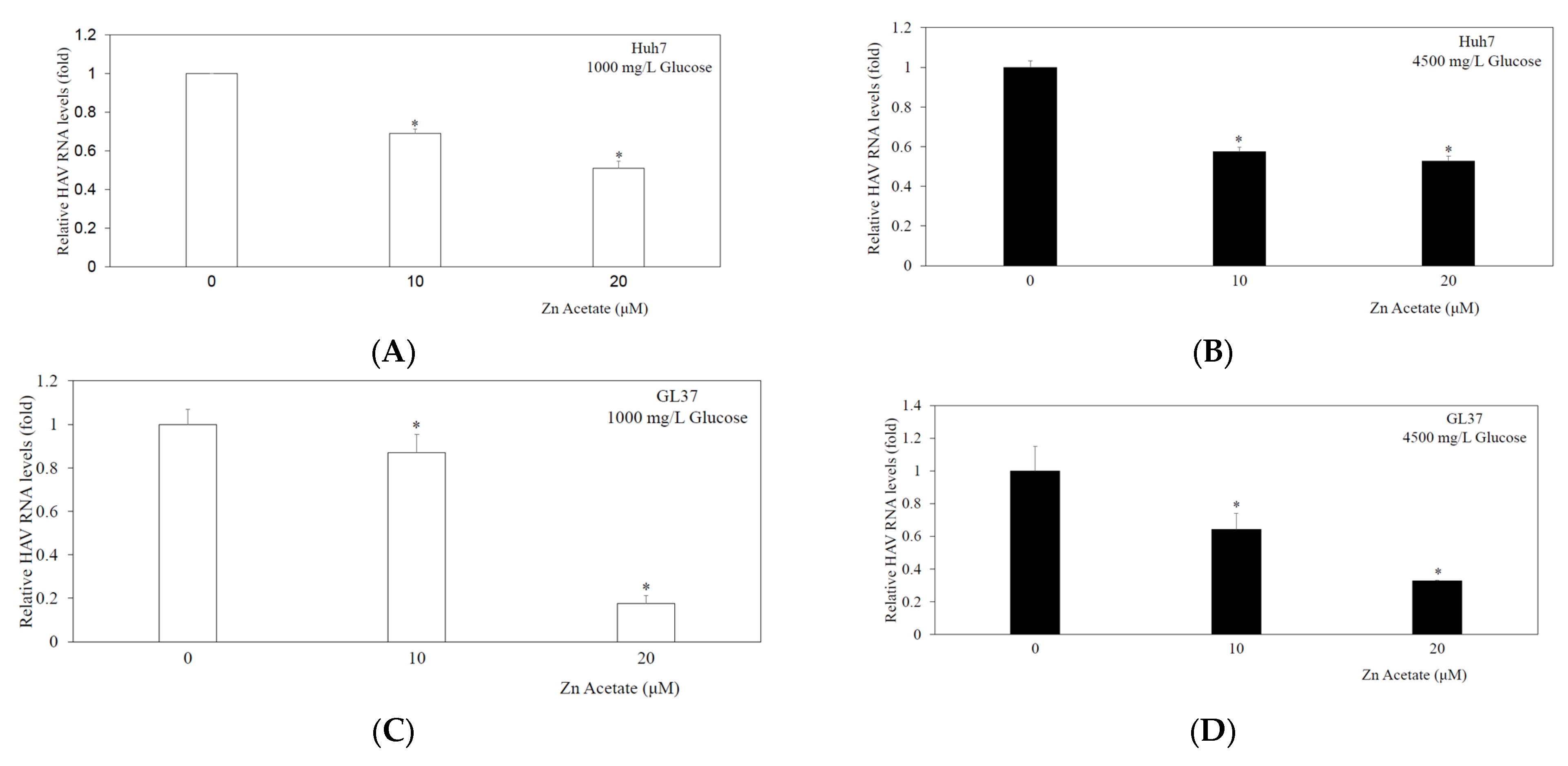
3.3. Zinc Acetate Significantly Inhibited HAV HA11-1299 Genotype IIIA Replication in Huh7 Cells in High-Concentration Glucose Media
3.4. Zinc Acetate Significantly Inhibited HAV HA11-1299 Genotype IIIA Replication in GL37 Cells in High-Concentration Glucose Media
3.5. Zinc Compounds Significantly Inhibited HAV HA11-1299 Genotype IIIA Replication in Huh7 Cells
3.6. Zinc Acetate Increases GRP78 Concentrations in HAV-Infected Huh7 Cells
3.7. Effects of Zinc Acetate With or Without Ribavirin on HAV Replication in Huh7 Cells
4. Discussion
5. Conclusions
Author Contributions
Funding
Institutional Review Board Statement
Informed Consent Statement
Data Availability Statement
Acknowledgments
Conflicts of Interest
Abbreviations
| HAV | hepatitis A virus |
| ACLF | acute-on-chronic liver failure |
| GRP78 | glucose-regulated protein 78 |
| ALF | acute liver failure |
| IRES | internal ribosomal entry site |
| NTR | nontranslational region |
| ER | endoplasmic reticulum |
| BiP | binding immunoglobulin protein |
| HSPA5 | heat shock protein family A member 5 |
| RNA-Seq | transcriptome sequencing |
| JAK | Janus kinase |
| STAT | signal transducer and activator of transcription |
| DMEM | Dulbecco’s modified Eagle’s medium |
| IC50 | half-maximal inhibitory concentration |
| MTS | dimethylthiazol carboxymethoxyphenyl sulfophenyl tetrazolium |
| MOI | multiplicity of infection |
| MAP2K3 | mitogen-activated protein kinase 3 |
| poly(I:C) | polyinosinic–polycytidylic acid |
References
- World Health Organization (WHO). Hepatitis A. Available online: https://www.who.int/news-room/fact-sheets/detail/hepatitis-a/ (accessed on 3 August 2025).
- Moriyama, M.; Matsumura, H.; Fukushima, A.; Ohkido, K.; Arakawa, Y.; Nirei, K.; Yamagami, H.; Kaneko, M.; Tanaka, N.; Arakawa, Y. Clinical significance of evaluation of serum zinc concentrations in C-viral chronic liver disease. Dig. Dis. Sci. 2006, 51, 1967–1977. [Google Scholar] [CrossRef] [PubMed]
- Kusov, Y.; Kanda, T.; Palmenberg, A.; Sgro, J.Y.; Gauss-Müller, V. Silencing of hepatitis A virus infection by small interfering RNAs. J. Virol. 2006, 80, 5599–5610. [Google Scholar] [CrossRef] [PubMed]
- Attia, G.H.; Moemen, Y.S.; Youns, M.; Ibrahim, A.M.; Abdou, R.; El Raey, M.A. Antiviral zinc oxide nanoparticles mediated by hesperidin and in silico comparison study between antiviral phenolics as anti-SARS-CoV-2. Colloids Surf. B Biointerfaces 2021, 203, 111724. [Google Scholar] [CrossRef] [PubMed]
- Ogawa, M.; Kanda, T.; Suganami, A.; Nakamoto, S.; Win, N.N.; Tamura, Y.; Nakamura, M.; Matsuoka, S.; Yokosuka, O.; Kato, N.; et al. Antiviral Activity of Zinc Sulfate Against Hepatitis A Virus Replication. Future Virol. 2019, 14, 399–406. [Google Scholar] [CrossRef]
- Kanda, T.; Sasaki, R.; Masuzaki, R.; Takahashi, H.; Fujisawa, M.; Matsumoto, N.; Okamoto, H.; Moriyama, M. Additive Effects of Zinc Chloride on the Suppression of Hepatitis A Virus Replication by Interferon in Human Hepatoma Huh7 Cells. In Vivo 2020, 34, 3301–3308. [Google Scholar] [CrossRef] [PubMed]
- Kanda, T.; Sasaki-Tanaka, R.; Masuzaki, R.; Matsumoto, N.; Okamoto, H.; Moriyama, M. Knockdown of Mitogen-Activated Protein Kinase 3 Negatively Regulates Hepatitis A Virus Replication. Int. J. Mol. Sci. 2021, 22, 7420. [Google Scholar] [CrossRef] [PubMed]
- Win, N.N.; Kanda, T.; Nakamoto, S.; Moriyama, M.; Jiang, X.; Suganami, A.; Tamura, Y.; Okamoto, H.; Shirasawa, H. Inhibitory effect of Japanese rice-koji miso extracts on hepatitis A virus replication in association with the elevation of glucose-regulated protein 78 expression. Int. J. Med. Sci. 2018, 15, 1153–1159. [Google Scholar] [CrossRef] [PubMed]
- Esser-Nobis, K.; Harak, C.; Schult, P.; Kusov, Y.; Lohmann, V. Novel perspectives for hepatitis A virus therapy revealed by comparative analysis of hepatitis C virus and hepatitis A virus RNA replication. Hepatology 2015, 62, 397–408. [Google Scholar] [CrossRef] [PubMed]
- Hirai-Yuki, A.; Hensley, L.; McGivern, D.R.; González-López, O.; Das, A.; Feng, H.; Sun, L.; Wilson, J.E.; Hu, F.; Feng, Z.; et al. MAVS-dependent host species range and pathogenicity of human hepatitis A virus. Science 2016, 353, 1541–1545. [Google Scholar] [CrossRef] [PubMed]
- Liu, J.; Chen, K.; Wu, W.; Pang, Z.; Zhu, D.; Yan, X.; Wang, B.; Qiu, J.; Fang, Z. GRP78 exerts antiviral function against influenza A virus infection by activating the IFN/JAK-STAT signaling. Virology 2024, 600, 110249. [Google Scholar] [CrossRef] [PubMed]
- Lohmann, V.; Körner, F.; Koch, J.; Herian, U.; Theilmann, L.; Bartenschlager, R. Replication of subgenomic hepatitis C virus RNAs in a hepatoma cell line. Science 1999, 285, 110–113. [Google Scholar] [CrossRef] [PubMed]
- Yang, L.; Kiyohara, T.; Kanda, T.; Imazeki, F.; Fujiwara, K.; Gauss-Müller, V.; Ishii, K.; Wakita, T.; Yokosuka, O. Inhibitory effects on HAV IRES-mediated translation and replication by a combination of amantadine and interferon-alpha. Virol. J. 2010, 7, 212. [Google Scholar] [CrossRef] [PubMed]
- Kanda, T.; Basu, A.; Steele, R.; Wakita, T.; Ryerse, J.S.; Ray, R.; Ray, R.B. Generation of infectious hepatitis C virus in immortalized human hepatocytes. J. Virol. 2006, 80, 4633–4639. [Google Scholar] [CrossRef] [PubMed]
- Sasaki-Tanaka, R.; Masuzaki, R.; Okamoto, H.; Shibata, T.; Moriyama, M.; Kogure, H.; Kanda, T. Drug Screening for Hepatitis A Virus (HAV): Nicotinamide Inhibits c-Jun Expression and HAV Replication. J. Virol. 2023, 97, e0198722. [Google Scholar] [CrossRef] [PubMed]
- Nwe Win, N.; Kanda, T.; Nakamura, M.; Nakamoto, S.; Okamoto, H.; Yokosuka, O.; Shirasawa, H. Free fatty acids or high-concentration glucose enhances hepatitis A virus replication in association with a reduction in glucose-regulated protein 78 expression. Biochem. Biophys. Res. Commun. 2017, 483, 694–699. [Google Scholar] [CrossRef] [PubMed]
- Jiang, X.; Kanda, T.; Haga, Y.; Sasaki, R.; Nakamura, M.; Wu, S.; Nakamoto, S.; Shirasawa, H.; Okamoto, H.; Yokosuka, O. Glucose-regulated protein 78 is an antiviral against hepatitis A virus replication. Exp. Ther. Med. 2017, 13, 3305–3308. [Google Scholar] [CrossRef] [PubMed]
- Jiang, X.; Ren, Q.; Chen, S.P.; Tong, X.B.; Dong, M.; Sugaya, S.; Tanaka, T.; Kita, K.; Suzuki, N. UVC mutagenicity is suppressed in Japanese miso-treated human RSa cells, possibly via GRP78 expression. Biosci. Biotechnol. Biochem. 2011, 75, 1685–1691. [Google Scholar] [CrossRef] [PubMed]
- Ghosh, C.K.; Miah, S.A.; Hasan, M.A.; Chowdhury, M.; Miah, A.R. Prolonged Jaundice in a Patient with Coexisting Hepatitis A Virus Infection and Wilson’s Disease. Mymensingh Med. J. 2021, 30, 559–561. [Google Scholar] [PubMed]
- Kodama, H.; Tanaka, M.; Naito, Y.; Katayama, K.; Moriyama, M. Japan’s Practical Guidelines for Zinc Deficiency with a Particular Focus on Taste Disorders, Inflammatory Bowel Disease, and Liver Cirrhosis. Int. J. Mol. Sci. 2020, 21, 2941. [Google Scholar] [CrossRef] [PubMed]
- Nakao, M.; Nakayama, N.; Uchida, Y.; Tomiya, T.; Oketani, M.; Ido, A.; Tsubouchi, H.; Takikawa, H.; Mochida, S. Deteriorated outcome of recent patients with acute liver failure and late-onset hepatic failure caused by infection with hepatitis A virus: A subanalysis of patients seen between 1998 and 2015 and enrolled in nationwide surveys in Japan. Hepatol. Res. 2019, 49, 844–852. [Google Scholar] [CrossRef] [PubMed]
- Kumar, A.; Arora, A.; Choudhury, A.; Arora, V.; Rela, M.; Jothimani, D.K.; Mahtab, M.A.; Devarbhavi, H.; Eapen, C.E.; Goel, A.; et al. APASL ACLF Research Consortium (AARC) for APASL ACLF Working Party. Impact of Diabetes, Drug-Induced Liver Injury, and Sepsis on Outcomes in Metabolic Dysfunction Associated Fatty Liver Disease-Related Acute-on-Chronic Liver Failure. Am. J. Gastroenterol. 2025, 120, 816–826. [Google Scholar] [CrossRef] [PubMed]
- Darweesh, M.; Mohammadi, S.; Rahmati, M.; Al-Hamadani, M.; Al-Harrasi, A. Metabolic reprogramming in viral infections: The interplay of glucose metabolism and immune responses. Front. Immunol. 2025, 16, 1578202. [Google Scholar] [CrossRef] [PubMed]
- Cui, J.; Xu, T.; Lv, H.; Guo, M.Y. Zinc deficiency causes oxidative stress, endoplasmic reticulum stress, apoptosis and inflammation in hepatocytes in grass carp. Fish Shellfish Immunol. 2023, 139, 108905. [Google Scholar] [CrossRef] [PubMed]
- Shirasaki, T.; Lenarcic, E.; Misumi, I.; Xie, L.; Fusco, W.G.; Yonish, B.; Das, A.; Kim, H.; Cameron, C.E.; Léger-Abraham, M.; et al. Hepatovirus translation requires PDGFA-associated protein 1, an eIF4E-binding protein regulating endoplasmic reticulum stress responses. Sci. Adv. 2024, 10, eadq6342. [Google Scholar] [CrossRef] [PubMed]
- Hirai-Yuki, A.; Whitmire, J.K.; Joyce, M.; Tyrrell, D.L.; Lemon, S.M. Murine Models of Hepatitis A Virus Infection. Cold Spring Harb. Perspect. Med. 2019, 9, a031674. [Google Scholar] [CrossRef] [PubMed]
- Widell, A.; Hansson, B.G.; Oberg, B.; Nordenfelt, E. Influence of twenty potentially antiviral substances on in vitro multiplication of hepatitis A virus. Antivir. Res. 1986, 6, 103–112. [Google Scholar] [CrossRef] [PubMed]
- Sasaki-Tanaka, R.; Shibata, T.; Okamoto, H.; Moriyama, M.; Kanda, T. Favipiravir Inhibits Hepatitis A Virus Infection in Human Hepatocytes. Int. J. Mol. Sci. 2022, 23, 2631. [Google Scholar] [CrossRef] [PubMed]
- Ma, Y.; Yu, J.; Chan, H.L.; Chen, Y.C.; Wang, H.; Chen, Y.; Chan, C.Y.; Go, M.Y.; Tsai, S.N.; Ngai, S.M.; et al. Glucose-regulated protein 78 is an intracellular antiviral factor against hepatitis B virus. Mol. Cell. Proteom. 2009, 8, 2582–2594. [Google Scholar] [CrossRef] [PubMed]
- Wei, D.; Li, N.L.; Zeng, Y.; Liu, B.; Kumthip, K.; Wang, T.T.; Huo, D.; Ingels, J.F.; Lu, L.; Shang, J.; et al. The Molecular Chaperone GRP78 Contributes to Toll-like Receptor 3-mediated Innate Immune Response to Hepatitis C Virus in Hepatocytes. J. Biol. Chem. 2016, 291, 12294–12309. [Google Scholar] [CrossRef] [PubMed]
- Lyoo, H.R.; Park, S.Y.; Kim, J.Y.; Jeong, Y.S. Constant up-regulation of BiP/GRP78 expression prevents virus-induced apoptosis in BHK-21 cells with Japanese encephalitis virus persistent infection. Virol. J. 2015, 12, 32. [Google Scholar] [CrossRef] [PubMed]
- Kanda, T.; Yokosuka, O.; Kato, N.; Imazeki, F.; Fujiwara, K.; Kawai, S.; Saisho, H.; Omata, M. Hepatitis A virus VP3 may activate serum response element associated transcription. Scand. J. Gastroenterol. 2003, 38, 307–313. [Google Scholar] [CrossRef] [PubMed]
- Gosert, R.; Egger, D.; Bienz, K. A cytopathic and a cell culture adapted hepatitis A virus strain differ in cell killing but not in intracellular membrane rearrangements. Virology 2000, 266, 157–169. [Google Scholar] [CrossRef] [PubMed]
- Devarshi, P.P.; Mao, Q.; Grant, R.W.; Hazels Mitmesser, S. Comparative Absorption and Bioavailability of Various Chemical Forms of Zinc in Humans: A Narrative Review. Nutrients 2024, 16, 4269. [Google Scholar] [CrossRef] [PubMed]
- So, M.; Hatsuyama, K.; Tajima, M.; Ueki, R.; Tsuji, Y.; Suzuki, T. Efficacy of Zinc Acetate in the Treatment of Zinc Deficiency in Elderly Inpatients and Effect of Total Dose on Its Replacement Therapy. Biol. Pharm. Bull. 2022, 45, 1306–1311. [Google Scholar] [CrossRef] [PubMed]
- Henderson, L.M.; Brewer, G.J.; Dressman, J.B.; Swidan, S.Z.; DuRoss, D.J.; Adair, C.H.; Barnett, J.L.; Berardi, R.R. Effect of intragastric pH on the absorption of oral zinc acetate and zinc oxide in young healthy volunteers. JPEN J. Parenter. Enter. Nutr. 1995, 19, 393–397. [Google Scholar] [CrossRef] [PubMed]
- Su, X.; D’Souza, D.H. Grape seed extract for control of human enteric viruses. Appl. Environ. Microbiol. 2011, 77, 3982–3987. [Google Scholar] [CrossRef] [PubMed]
- Debing, Y.; Neyts, J.; Thibaut, H.J. Molecular biology and inhibitors of hepatitis A virus. Med. Res. Rev. 2014, 34, 895–917. [Google Scholar] [CrossRef] [PubMed]
- Joshi, S.S.; Dice, L.; D’Souza, D.H. Aqueous Extracts of Hibiscus sabdariffa Calyces Decrease Hepatitis A Virus and Human Norovirus Surrogate Titers. Food Environ. Virol. 2015, 7, 366–373. [Google Scholar] [CrossRef] [PubMed]
- Cao, L.; Liu, P.; Yang, P.; Gao, Q.; Li, H.; Sun, Y.; Zhu, L.; Lin, J.; Su, D.; Rao, Z.; et al. Structural basis for neutralization of hepatitis A virus informs a rational design of highly potent inhibitors. PLoS Biol. 2019, 17, e3000229. [Google Scholar] [CrossRef] [PubMed]
- Patwardhan, M.; Morgan, M.T.; Dia, V.; D’Souza, D.H. Heat sensitization of hepatitis A virus and Tulane virus using grape seed extract, gingerol and curcumin. Food Microbiol. 2020, 90, 103461. [Google Scholar] [CrossRef] [PubMed]
- Elkousy, R.H.; Said, Z.N.A.; Abd El-Baseer, M.A.; Abu El Wafa, S.A. Antiviral activity of castor oil plant (Ricinus communis) leaf extracts. J. Ethnopharmacol. 2021, 271, 113878. [Google Scholar] [CrossRef] [PubMed]
- Jama-Kmiecik, A.; Sarowska, J.; Wojnicz, D.; Choroszy-Król, I.; Frej-Mądrzak, M. Natural Products and Their Potential Anti-HAV Activity. Pathogens 2021, 10, 1095. [Google Scholar] [CrossRef] [PubMed]
- SHI, S.; Zheng, X.; Suzuki, R.; Li, Z.; Shiota, T.; Wang, J.; Hirai-Yuki, A.; Liu, Q.; Muramatsu, M.; Song, S.J. Novel flavonoid hybrids as potent antiviral agents against hepatitis A: Design, synthesis and biological evaluation. Eur. J. Med. Chem. 2022, 238, 114452. [Google Scholar] [CrossRef] [PubMed]
- Soleman, D.M.; Eldahshan, O.A.; Ibrahim, M.H.; Ogaly, H.A.; Galal, H.M.; Batiha, G.E.; Elkousy, R.H. GC/MS Analysis, Cytotoxicity, and Antiviral Activities of Annona glabra Hexane Extract Supported by In Silico Study. Molecules 2023, 28, 1628. [Google Scholar] [CrossRef] [PubMed]
- Nasr, A.; Elshazly, E.H.; Slima, D.F.; Elnosary, M.E.; Sadek, A.M.; Khamis, M.; Gong, Y.; Tian, Q.; Gouda, G.A.; Zhu, G.P. Bioactive Compounds from Vicia sativa L. and Vicia monantha Retz. with Unveiling Antiviral Potentials in Newly Green Synthesized CdO Nanoparticles. Curr. Pharm. Biotechnol. 2025, 26, 497–512. [Google Scholar] [CrossRef] [PubMed]
- Davuluri, K.S.; Shukla, S.; Kakade, M.; Cherian, S.; Alagarasu, K.; Parshar, D. Explorations on the antiviral potential of zinc and magnesium salts against chikungunya virus: Implications for therapeutics. Front. Cell. Infect. Microbiol. 2024, 14, 1335189. [Google Scholar] [CrossRef] [PubMed]
- Gaikwad, M.; George, A.; Sivadas, A.; Karunakaran, K.; N., S.; Byradeddy, S.N.; Mukhopadhyay, C.; Mudgal, P.P.; Kulkarni, M. Development and characterization of formulations based on combinatorial potential of antivirals against genital herpes. Naunyn-Schmiedeberg’s Arch. Pharmacol. 2025, 398, 3103–3117. [Google Scholar] [CrossRef] [PubMed]





Disclaimer/Publisher’s Note: The statements, opinions and data contained in all publications are solely those of the individual author(s) and contributor(s) and not of MDPI and/or the editor(s). MDPI and/or the editor(s) disclaim responsibility for any injury to people or property resulting from any ideas, methods, instructions or products referred to in the content. |
© 2025 by the authors. Licensee MDPI, Basel, Switzerland. This article is an open access article distributed under the terms and conditions of the Creative Commons Attribution (CC BY) license (https://creativecommons.org/licenses/by/4.0/).
Share and Cite
Kanda, T.; Sasaki-Tanaka, R.; Abe, H.; Yokoo, T.; Sakamaki, A.; Hayashi, K.; Kamimura, H.; Tsuchiya, A.; Masuzaki, R.; Kogure, H.; et al. Zinc Acetate Inhibits Hepatitis A Virus Replication: Possible Treatment for Patients with Type A Acute-on-Chronic Liver Failure. Pathogens 2025, 14, 882. https://doi.org/10.3390/pathogens14090882
Kanda T, Sasaki-Tanaka R, Abe H, Yokoo T, Sakamaki A, Hayashi K, Kamimura H, Tsuchiya A, Masuzaki R, Kogure H, et al. Zinc Acetate Inhibits Hepatitis A Virus Replication: Possible Treatment for Patients with Type A Acute-on-Chronic Liver Failure. Pathogens. 2025; 14(9):882. https://doi.org/10.3390/pathogens14090882
Chicago/Turabian StyleKanda, Tatsuo, Reina Sasaki-Tanaka, Hiroyuki Abe, Takeshi Yokoo, Akira Sakamaki, Kazunao Hayashi, Hiroteru Kamimura, Atsunori Tsuchiya, Ryota Masuzaki, Hirofumi Kogure, and et al. 2025. "Zinc Acetate Inhibits Hepatitis A Virus Replication: Possible Treatment for Patients with Type A Acute-on-Chronic Liver Failure" Pathogens 14, no. 9: 882. https://doi.org/10.3390/pathogens14090882
APA StyleKanda, T., Sasaki-Tanaka, R., Abe, H., Yokoo, T., Sakamaki, A., Hayashi, K., Kamimura, H., Tsuchiya, A., Masuzaki, R., Kogure, H., Okamoto, H., & Terai, S. (2025). Zinc Acetate Inhibits Hepatitis A Virus Replication: Possible Treatment for Patients with Type A Acute-on-Chronic Liver Failure. Pathogens, 14(9), 882. https://doi.org/10.3390/pathogens14090882

