How Does Vaccine-Induced Immunity Compare to Infection-Acquired Immunity in the Dynamics of COVID-19?
Abstract
1. Introduction
- What are the implications of the bifurcation at the unity of the reproduction number?
- How sensitive are the model parameters to the vaccinated reproduction number; cumulative infections; first peak of infections; and the time until the first peak?
- How do the waning of vaccine-induced immunity and the waning of infection-acquired immunity affect the disease dynamics within the population? Which factor has the higher impact on disease dynamics?
- How efficacious of a vaccine is required to balance the effects of waning immunity?
2. Model Development
- Demographics: The per capita natural community mortality rate is . New individuals are recruited into the community at the rate , where . However, the population is not closed because of disease-induced deaths.
- Vaccination: Susceptible individuals are vaccinated at the rate p. The vaccine is both leaky and waning, but not all-or-nothing (i.e., providing no protection to a certain fraction of the vaccinated individuals and perfect lifelong protection to others [43]). The vaccine offers an individual some protection against infection, but not against severe disease or death in the event of an infection. The level of protection that the vaccine provides against infection is , which is defined as the probability of a vaccinated individual being successfully protected from infection. The vaccine-induced immunity wears off at the rate .
- Force of infection and incidence rate: The time-varying and density-dependent (per capita) force of infection of the model is given by . Unvaccinated susceptible and vaccinated susceptible individuals become exposed at the rates and , respectively. Thus, the disease incidence rate is given by .
- Disease transmission and progression: There is no vertical transmission of disease in the community. Disease transmission occurs by mass action that results from interactions between susceptible and infected individuals. The unvaccinated and the vaccinated (with a leaky protection) may acquire an infection. The disease incubation period is . Individuals sequentially progress from mild symptoms through to severe symptoms (i.e., ). Individuals progress from to at the rate , and from to at the rate .
- Differential morbidity: The more severe the symptoms, the less likely it is that an individual will mingle with the community and will be able to transmit the disease (i.e., ). It takes longer to recover from more severe infections (i.e., ). Only the individuals with severe symptoms succumb to the disease (at the rate ).
- Recovery and natural immunity: Individuals in , , and recover at the rates , , and , respectively. Recovered individuals transition to the same recovered compartment (R), irrespective of the severity of previous morbidity. Recovery from an infection does not provide permanent immunity. Infection-acquired immunity wanes at the rate ; the waning of natural immunity causes the recovered individuals to become susceptible again. This immunity does not depend on the severity of previous morbidity. Moreover, since the vaccine is effective merely against blocking an infection, only the infection-acquired immunity takes effect upon recovery, regardless of the vaccination status of individuals.
3. Numerical Results
3.1. Sensitivity Analysis of the Model
3.1.1. Differential Sensitivity Analysis
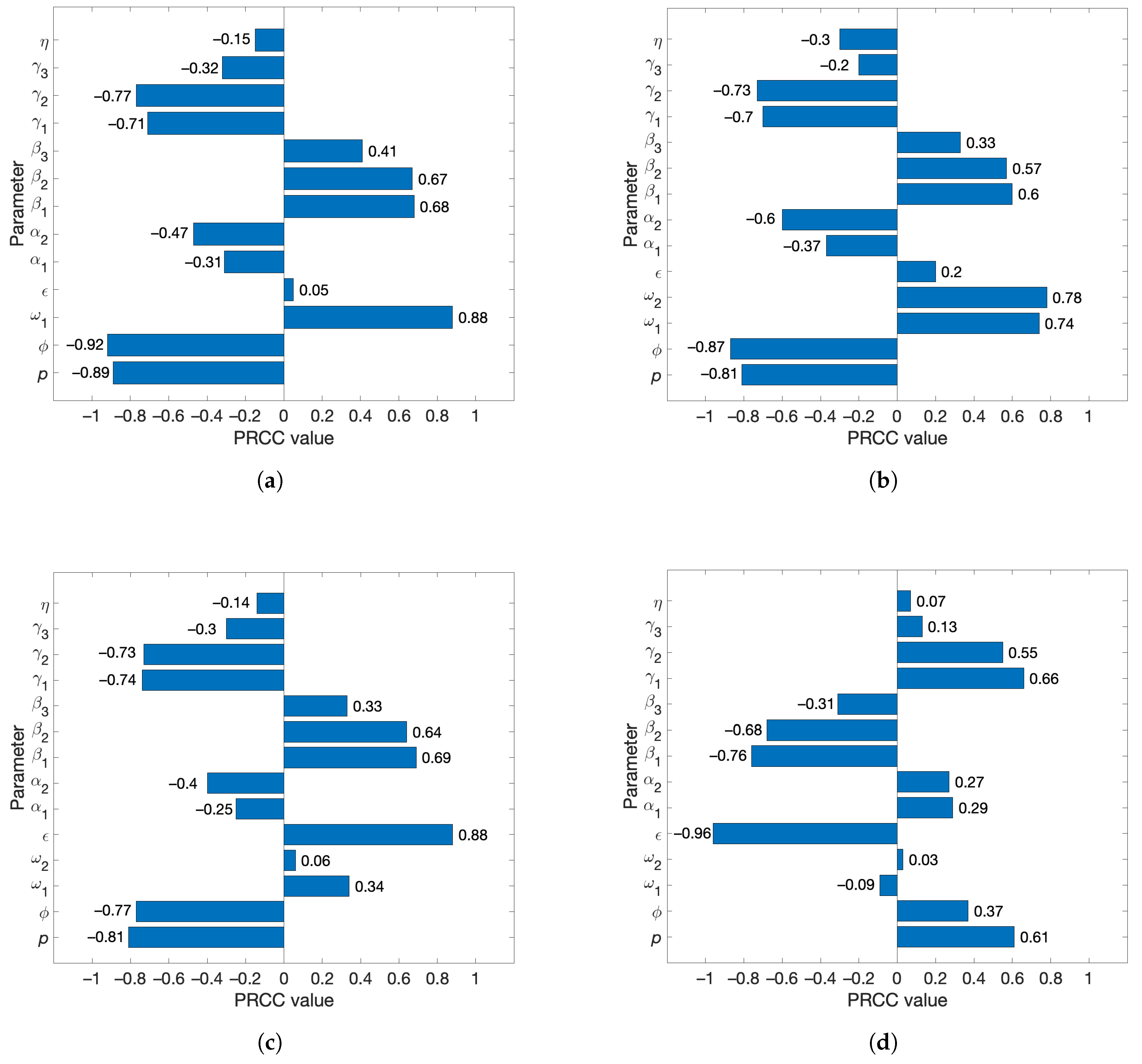
3.1.2. Partial Rank Correlation Coefficient (PRCC) Sensitivity Analysis
3.2. Computer Simulations
| S | V | E | R | |||
| 99999 | 0 | 0 | 1 | 0 | 0 | 0 |
3.3. Quantification of Results on Waning Immunity
4. Conclusions
Author Contributions
Funding
Data Availability Statement
Conflicts of Interest
Appendix A. Mathematical Analysis of the Model
Appendix A.1. Preliminary Results
Appendix A.2. Disease-Free Equilibrium and Reproduction Number
Appendix A.3. The Endemic Equilibria
Appendix A.4. Bifurcation Analysis
- There are two endemic equilibria in a local neighborhood of such that . The DFE as well as the higher of the two endemic equilibria are locally asymptotically stable in this case.
- There exists a unique endemic equilibrium in a local neighborhood of such that . The DFE is unstable and the endemic equilibrium is locally asymptotically stable in this case.
References
- Centers for Disease Control & Prevention. COVID-19. Available online: https://www.cdc.gov/covid/index.html (accessed on 9 September 2024).
- Centers for Disease Control & Prevention. Coronavirus Disease 2019 (COVID-19). Available online: https://www.cdc.gov/coronavirus/2019-ncov/science/science-briefs/vaccine-induced-immunity.html (accessed on 10 August 2023).
- World Health Organization. COVID-19 Statistics. Available online: https://covid19.who.int/table (accessed on 20 December 2024).
- Farhud, D.D.; Zokaei, S. A Brief Overview of COVID-19 Vaccines. Iran J. Public Health 2021, 50, 6656. [Google Scholar] [CrossRef]
- Centers for Disease Control & Prevention. COVID-19 Vaccines. Available online: https://www.cdc.gov/covid/vaccines/index.html (accessed on 12 August 2024).
- Katella, K. Comparing the COVID-19 Vaccines: How Are They Different? Yale Med. 2023. Available online: https://www.yalemedicine.org/news/covid-19-vaccine-comparison (accessed on 20 July 2024).
- Swan, D.A.; Bracis, C.; Janes, H.; Moore, M.; Matrajt, L.; Reeves, D.B.; Burns, E.; Donnell, D.; Cohen, M.S.; Schiffer, J.T.; et al. COVID-19 vaccines that reduce symptoms but do not block infection need higher coverage and faster rollout to achieve population impact. Sci. Rep. 2021, 11, 15531. [Google Scholar] [CrossRef] [PubMed]
- Wilder-Smith, A. What is the vaccine effect on reducing transmission in the context of the SARS-CoV-2 Delta variant? Lancet Infect. Dis. 2022, 22, 152–153. [Google Scholar] [CrossRef] [PubMed]
- Beukenhorst, A.L.; Koch, C.M.; Hadjichrysanthou, C.; Alter, G.; Wolf, F.; Anderson, R.M.; Goudsmit, J. SARS-CoV-2 elicits non-sterilizing immunity and evades vaccine-induced immunity: Implications for future vaccination strategies. Eur. J. Epidemiol. 2023, 38, 237. [Google Scholar] [CrossRef]
- Diani, S.; Leonardi, E.; Cavezzi, A.; Ferrari, S.; Iacono, O.; Limoli, A.; Bouslenko, Z.; Natalini, D.; Conti, S.; Mantovani, M.; et al. SARS-CoV-2—The role of natural immunity: A narrative review. J. Clin. Med. 2022, 11, 6272. [Google Scholar] [CrossRef] [PubMed]
- World Health Organization. The Effects of Virus Variants on COVID-19 Vaccines. Available online: https://www.who.int/news-room/feature-stories/detail/the-effects-of-virus-variants-on-covid-19-vaccines (accessed on 9 December 2023).
- Ahmed, I.; Modu, G.U.; Yusuf, A.; Kumam, P.; Yusuf, I. A mathematical model of Coronavirus disease (COVID-19) containing asymptomatic and symptomatic classes. Results Phys. 2021, 21, 103776. [Google Scholar] [CrossRef]
- Annas, S.; Isbar Pratama, M.; Rifandi, M.; Sanusi, W.; Side, S. Stability analysis and numerical simulation of SEIR model for pandemic COVID-19 spread in Indonesia. Chaos Solitons Fractals 2020, 139, 110072. [Google Scholar] [CrossRef]
- Arino, J.; Milliken, E. Bistability in deterministic and stochastic SLIAR-type models with imperfect and waning vaccine protection. J. Math. Biol. 2022, 84, 61. [Google Scholar] [CrossRef]
- Bergonzi, M.; Pecker-Marcosig, E.; Kofman, E.; Castro, R. Discrete-time modeling of COVID-19 propagation in Argentina with explicit delays. Comput. Sci. Eng. 2021, 23, 35. [Google Scholar] [CrossRef]
- Curado, E.M.F.; Curado, M.R. A discrete-time-evolution model to forecast progress of COVID-19 outbreak. PLoS ONE 2020, 15, 241472. [Google Scholar] [CrossRef]
- Esteban, E.P.; Almodovar-Abreu, L. Assessing the impact of vaccination in a COVID-19 compartmental model. Inform. Med. Unlocked 2021, 27, 100795. [Google Scholar] [CrossRef]
- Jewell, N.P. Statistical models for COVID-19 incidence, cumulative prevalence, and Rt. J. Am. Stat. Assoc. 2021, 116, 1578–1582. [Google Scholar] [CrossRef]
- Kifle, Z.S.; Obsu, L.L. Mathematical modeling for COVID-19 transmission dynamics: A case study in Ethiopia. Results Phys. 2022, 34, 105191. [Google Scholar] [CrossRef]
- Ndaïrou, F.; Area, I.; Nieto, J.J.; Torres, D.F.M. Mathematical modeling of COVID-19 transmission dynamics with a case study of Wuhan. Chaos Solitons Fractals 2020, 135, 109846. [Google Scholar] [CrossRef]
- Niño-Torres, D.; Ríos-Gutiérrez, A.; Arunachalam, V.; Ohajunwa, C.; Seshaiyer, P. Stochastic modeling, analysis, and simulation of the COVID-19 pandemic with explicit behavioral changes in Bogotá: A case study. Infect. Dis. Model. 2022, 7, 199–211. [Google Scholar] [CrossRef]
- Ofori, S.K.; Schwind, J.S.; Sullivan, K.L.; Chowell, G.; Cowling, B.J.; Fung, I.C. Age-stratified model to assess health outcomes of COVID-19 vaccination strategies, Ghana. Emerg. Infect. Dis. 2023, 29, 360–370. [Google Scholar] [CrossRef]
- Samui, P.; Mondal, J.; Khajanchi, S. A mathematical model for COVID-19 transmission dynamics with a case study of India. Chaos Solitons Fractals 2020, 140, 110173. [Google Scholar] [CrossRef]
- Šušteršič, T.; Blagojević, A.; Cvetković, D.; Cvetković, A.; Lorencin, I.; Šegota, S.B.; Milovanović, D.; Baskić, D.; Car, Z.; Filipović, N. Epidemiological predictive modeling of COVID-19 infection: Development, testing, and implementation on the population of the Benelux Union. Front. Public Health 2021, 9, 727274. [Google Scholar] [CrossRef]
- Tesfaye, A.W.; Satana, T.S. Stochastic model of the transmission dynamics of COVID-19 pandemic. Adv. Differ. Equ. 2021, 2021, 457. [Google Scholar] [CrossRef]
- Yadav, S.K.; Akhter, Y. Statistical modeling for the prediction of infectious disease dissemination with special reference to COVID-19 spread. Front. Public Health 2021, 9, 645405. [Google Scholar] [CrossRef]
- Kermack, W.O.; McKendrick, A.G.; Walker, G.T. A contribution to the mathematical theory of epidemics. Proc. R. Soc. Lond. 1997, 115, 700–721. [Google Scholar] [CrossRef]
- Hewage, I.M.; Church, K.E.M.; Schwartz, E.J. Investigating the impact of vaccine hesitancy on an emerging infectious disease: A mathematical and numerical analysis. J. Biol. Dyn. 2024, 18, 2298988. [Google Scholar] [CrossRef]
- Kerr, C.; Stuart, R.; Mistry, D.; Abeysuriya, R.; Rosenfeld, K.; Hart, G. Covasim: An agent-based model of COVID-19 dynamics and interventions. PLoS Comput. Biol. 2021, 17, 1009149. [Google Scholar] [CrossRef]
- Centers for Disease Control & Prevention. Clinical Course: Progression, Management, and Treatment. Available online: https://archive.cdc.gov/www_cdc_gov/coronavirus/2019-ncov/hcp/clinical-care/clinical-considerations-course.html#:~:text=The%20clinical%20spectrum%20of%20SARS,%2C%20severe%2C%20and%20critical%20illness (accessed on 26 October 2023).
- Castillo-Chavez, C.; Song, B. Dynamical models of Tuberculosis and their applications. Math. Biosci. Eng. 2004, 1, 361–404. [Google Scholar] [CrossRef]
- Gumel, A.B. Causes of backward bifurcations in some epidemiological models. J. Math. Anal. Appl. 2012, 395, 355–365. [Google Scholar] [CrossRef]
- Martcheva, M. Methods for deriving necessary and sufficient conditions for backward bifurcation. J. Biol. Dyn. 2019, 13, 538–566. [Google Scholar] [CrossRef]
- Idisi, O.I.; Yusuf, T.T.; Owolabi, K.M.; Ojokoh, B.A. A bifurcation analysis and model of COVID-19 transmission dynamics with post-vaccination infection impact. Healthc. Anal. 2023, 3, 100157. [Google Scholar] [CrossRef]
- Iyaniwura, S.A.; Musa, R.; Kong, J.D. A generalized distributed delay model of COVID-19: An endemic model with immunity waning. Math. Biosci. Eng. 2023, 20, 2023249. [Google Scholar] [CrossRef]
- Nadim, S.S.; Chattopadhyay, J. Occurrence of backward bifurcation and prediction of disease transmission with imperfect lockdown: A case study on COVID-19. Chaos Solitons Fractals 2020, 140, 110163. [Google Scholar] [CrossRef]
- Yang, B.; Yu, Z.; Cai, Y. The impact of vaccination on the spread of COVID-19: Studying by a mathematical model. Physica A 2022, 590, 126717. [Google Scholar] [CrossRef]
- Rabiu, M.; Iyaniwura, S.A. Assessing the potential impact of immunity waning on the dynamics of COVID-19 in South Africa: An endemic model of COVID-19. Nonlinear Dyn. 2022, 109, 203–223. [Google Scholar] [CrossRef]
- Dutta, A. COVID-19 waves: Variant dynamics and control. Sci. Rep. 2022, 12, 9332. [Google Scholar] [CrossRef]
- Mahapatra, D.P.; Triambak, S. Towards predicting COVID-19 infection waves: A random-walk Monte Carlo simulation approach. Chaos Solitons Fractals 2022, 156, 111785. [Google Scholar] [CrossRef]
- Domingo, P.; Pomar, V.; Mur, I.; Castellví, I.; Corominas, H.; de Benito, N. Not all COVID-19 pandemic waves are alike. Clin. Microbiol. Infect. 2021, 27, 1040.e7–1040.e10. [Google Scholar] [CrossRef]
- World Health Organization. COVID-19: Symptoms. Available online: https://www.who.int/westernpacific/emergencies/covid-19/information/asymptomatic-covid-19 (accessed on 28 January 2025).
- Magpantay, F.M.; Riolo, M.A.; De Cellès, M.D.; King, A.A.; Rohani, P. Epidemiological consequences of imperfect vaccines for immunizing infections. SIAM J. Appl. Math. 2014, 74, 1810–1830. [Google Scholar] [CrossRef]
- Worldometer. Life Expectancy by Country and in the World. 2023. Available online: https://www.worldometers.info/demographics/life-expectancy/ (accessed on 14 July 2023).
- Oordt-Speets, A.; Spinardi, J.; Mendoza, C.; Yang, J.; Morales, G.; McLaughlin, J.M.; Kyaw, M.H. Effectiveness of COVID-19 vaccination on transmission: A systematic review. COVID 2023, 3, 103. [Google Scholar] [CrossRef]
- Olliaro, P. What does 95% COVID-19 vaccine efficacy really mean? Lancet Infect. Dis. 2021, 21, 769. [Google Scholar] [CrossRef]
- Stein, C.; Nassereldine, H.; Sorensen, R.J.; Amlag, J.O.; Bisignano, C.; Byrne, S.; Castro, E.; Coberly, K.; Collins, J.K.; Dalos, J.; et al. Past SARS-CoV-2 infection protection against re-infection: A systematic review and meta-analysis. Lancet 2023, 401, 833–842. [Google Scholar] [CrossRef]
- Franchi, M.; Pellegrini, G.; Cereda, D.; Bortolan, F.; Leoni, O.; Pavesi, G.; Galli, M.; Valenti, G.; Corrao, G. Natural and vaccine-induced immunity are equivalent for the protection against SARS-CoV-2 infection. J. Infect. Public Health 2023, 16, 1137–1141. [Google Scholar] [CrossRef]
- Ghosh, S.; Volpert, V.; Banerjee, M. An epidemic model with time-distributed recovery and death rates. Bull. Math. Biol. 2022, 84, 78. [Google Scholar] [CrossRef]
- Johns Hopkins Coronavirus Resource Center. Mortality Analyses. Available online: https://coronavirus.jhu.edu/data/mortality (accessed on 14 July 2023).
- Zhou, X.; Lin, H. Local sensitivity analysis. In Encyclopedia of GIS; Shekhar, S., Xiong, H., Eds.; Springer: Boston, MA, USA, 2008; p. 616. [Google Scholar] [CrossRef]
- Saltelli, A.; Ratto, M.; Andres, T.; Campolongo, F.; Cariboni, J.; Gatelli, D.; Saisana, M.; Tarantola, S. Global sensitivity analysis. In The Primer; John Wiley & Sons: Hoboken, NJ, USA, 2007. [Google Scholar] [CrossRef]
- Castillo-Garsow, C.W.; Castillo-Chavez, C. A Tour of the basic reproductive number and the next generation of researchers. Introd. Undergrad. Res. Comput. Math. Biol. 2020, 87, 87–124. [Google Scholar] [CrossRef]
- Marino, S.; Hogue, I.B.; Ray, C.J.; Kirschner, D.E. A methodology for performing global uncertainty and sensitivity analysis in systems biology. J. Theor. Biol. 2008, 254, 178–196. [Google Scholar] [CrossRef] [PubMed]
- Fine, P.; Eames, K.; Heymann, D.L. “Herd immunity”: A rough guide. Clin. Infect. Dis. 2011, 52, 911–916. [Google Scholar] [CrossRef]
- Anderson, R.M.; May, R.M. Vaccination and herd immunity to infectious diseases. Nature 1985, 318, 323–329. [Google Scholar] [CrossRef]
- Suryawanshi, Y.N.; Biswas, D.A. Herd Immunity to Fight Against COVID-19: A Narrative Review. Cureus 2023, 15, e33575. [Google Scholar] [CrossRef]
- Randolph, H.E.; Barreiro, L.B. Herd immunity: Understanding COVID-19. Immunity 2020, 52, 737–741. [Google Scholar] [CrossRef]
- Siqueira, P.C.; Cola, J.P.; Comerio, T.; Sales, C.M.M.; Maciel, E.L. Herd immunity threshold for SARS-CoV-2 and vaccination effectiveness in Brazil. J. Bras. Pneumol. 2022, 48, e20210401. [Google Scholar] [CrossRef]
- Anderson, R.M.; Vegvari, C.; Truscott, J.; Collyer, B.S. Challenges in creating herd immunity to SARS-CoV-2 infection by mass vaccination. Lancet 2020, 396, 1614–1616. [Google Scholar] [CrossRef]
- Morens, D.M.; Folkers, G.K.; Fauci, A.S. The concept of classical herd immunity may not apply to COVID-19. J. Infect. Dis. 2022, 226, 195–198. [Google Scholar] [CrossRef]
- Li, J.; Blakeley, D.; Smith, R.J. The failure of R0. Comput. Math. Methods Med. 2011, 2011, 527610. [Google Scholar] [CrossRef] [PubMed]
- Gostic, K.M.; McGough, L.; Baskerville, E.B.; Abbott, S.; Joshi, K.; Tedijanto, C.; Kahn, R.; Niehus, R.; Hay, J.A.; De Salazar, P.M.; et al. Practical considerations for measuring the effective reproductive number, Rt. PLoS Comput. Biol. 2020, 16, e1009679. [Google Scholar] [CrossRef] [PubMed]
- Huisman, J.S.; Scire, J.; Angst, D.C.; Li, J.; Neher, R.A.; Maathuis, M.H.; Bonhoeffer, S.; Stadler, T. Estimation and worldwide monitoring of the effective reproductive number of SARS-CoV-2. eLife 2022, 11, e71345. [Google Scholar] [CrossRef]
- Maishman, T.; Schaap, S.; Silk, D.S.; Nevitt, S.J.; Woods, D.C.; Bowman, V.E. Statistical methods used to combine the effective reproduction number and other related measures of COVID-19 in the UK. Stat. Methods Med. Res. 2022, 31, 1757–1777. [Google Scholar] [CrossRef]
- Centers for Disease Control & Prevention. Current Epidemic Trends (Based on Rt) for States. Available online: https://www.cdc.gov/cfa-modeling-and-forecasting/rt-estimates/index.html (accessed on 6 November 2024).
- Heffernan, J.M.; Smith, R.J.; Wahl, L.M. Perspectives on the basic reproductive ratio. J. R. Soc. Interface 2005, 2, 281–293. [Google Scholar] [CrossRef]
- Diekmann, O.J.; Heesterbeek, A.P.; Metz, J.A.J. On the definition and the computation of the basic reproduction ratio R0 in models for infectious diseases in heterogeneous populations. J. Math. Biol. 1990, 28, 365–382. [Google Scholar] [CrossRef] [PubMed]
- van den Driessche, P.; Watmough, J. Reproduction numbers and sub-threshold endemic equilibria for compartmental models of disease transmission. Math. Biosci. 2002, 180, 29–48. [Google Scholar] [CrossRef]
- Wangari, I.M.; Stone, L. Backward bifurcation and hysteresis in models of recurrent tuberculosis. PLoS ONE 2018, 13, e0194256. [Google Scholar] [CrossRef] [PubMed]
- Huang, W.; Cooke, K.L.; Castillo-Chavez, C. Stability and bifurcation for a multiple-group model for the dynamics of HIV/AIDS transmission. SIAM J. Appl. Math. 1992, 52, 835–854. Available online: https://www.jstor.org/stable/2102404 (accessed on 13 November 2023). [CrossRef]
- Hadeler, K.P.; van den Driessche, P. Backward bifurcation in epidemic control. Math. Biosci. 1997, 146, 15–35. [Google Scholar] [CrossRef] [PubMed]












| Parameter | Definition |
|---|---|
| Natural mortality rate | |
| Recruitment rate | |
| p | Vaccination coverage rate |
| Vaccine efficacy | |
| Rate of waning for vaccine-induced immunity | |
| Rate of waning for infection-acquired immunity | |
| Incubation rate | |
| Rate of progression from mild to moderate symptoms | |
| Rate of progression from moderate to severe symptoms | |
| Transmission coefficient for mildly symptomatic cases | |
| Transmission coefficient for moderately symptomatic cases | |
| Transmission coefficient for severely symptomatic cases | |
| Recovery rate for mildly symptomatic cases | |
| Recovery rate for moderately symptomatic cases | |
| Recovery rate for severely symptomatic cases | |
| Diseased-induced death rate for severely symptomatic cases |
| Parameter | Units | Baseline Value | Range = [Min, Max] | Source(s) |
|---|---|---|---|---|
| 3.733 × 10−5 | [3.192 × 10−5, 5.104 × 10−5] 1 | [44] | ||
| 3.733 | [3.192, 5.104] | Set to 2 | ||
| p | 0.002 | [0.002, 0.006] | Assumed 3 | |
| dimensionless | 0.700 | [0.500, 0.950] | [45,46] | |
| 0.003 | [0.002, 0.006] 4 | [47] | ||
| 0.003 | [0.002, 0.006] | [47,48] | ||
| 0.200 | [0.071, 0.500] 5 | [1,24] | ||
| 0.200 | [0.143, 0.333] 6 | [24] | ||
| 0.111 | [0.071, 0.143] 6 | Assumed 6 | ||
| 4.000 × 10−6 | [3.500 × 10−6, 4.500 × 10−6] | [24] | ||
| 3.000 × 10−6 | [2.500 × 10−6, 3.500 × 10−6] | Assumed 7 | ||
| 2.000 × 10−6 | [1.500 × 10−6, 2.500 × 10−6] | [24] | ||
| 0.167 | [0.100, 0.200] 8 | [1,24] | ||
| 0.125 | [0.080, 0.150] 8 | Assumed 8 | ||
| 0.100 | [0.080, 0.150] 8 | [1,24] | ||
| 0.077 | [0.067, 0.100] 9 | [24,49,50] |
| Waning of Vaccine-Induced Immunity () | Goal (Reducing the Peak of Infections) | Required Vaccine Efficacy () |
|---|---|---|
| Reduce by 40% | ||
| 0.001 (33.33 months) | Reduce by 40% | |
| Reduce by 40% | ||
| Reduce by 40% | ||
| 0.003 (11.11 months) | Reduce by 40% | |
| Reduce by 40% | ||
| Reduce by 40% | ||
| 0.005 (6.67 months) | Reduce by 40% | |
| Reduce by 40% |
| Waning of Infection-Acquired Immunity () | Goal (Reducing the Peak of Infections) | Required Vaccine Efficacy () |
|---|---|---|
| Reduce by 40% | ||
| 0.001 (33.33 months) | Reduce by 40% | |
| Reduce by 40% | ||
| Reduce by 40% | ||
| 0.003 (11.11 months) | Reduce by 40% | |
| Reduce by 40% | ||
| Reduce by 40% | ||
| 0.005 (6.67 months) | Reduce by 40% | |
| Reduce by 40% |
Disclaimer/Publisher’s Note: The statements, opinions and data contained in all publications are solely those of the individual author(s) and contributor(s) and not of MDPI and/or the editor(s). MDPI and/or the editor(s) disclaim responsibility for any injury to people or property resulting from any ideas, methods, instructions or products referred to in the content. |
© 2025 by the authors. Licensee MDPI, Basel, Switzerland. This article is an open access article distributed under the terms and conditions of the Creative Commons Attribution (CC BY) license (https://creativecommons.org/licenses/by/4.0/).
Share and Cite
Hewage, I.M.; Hull-Nye, D.; Schwartz, E.J. How Does Vaccine-Induced Immunity Compare to Infection-Acquired Immunity in the Dynamics of COVID-19? Pathogens 2025, 14, 179. https://doi.org/10.3390/pathogens14020179
Hewage IM, Hull-Nye D, Schwartz EJ. How Does Vaccine-Induced Immunity Compare to Infection-Acquired Immunity in the Dynamics of COVID-19? Pathogens. 2025; 14(2):179. https://doi.org/10.3390/pathogens14020179
Chicago/Turabian StyleHewage, Indunil M., Dylan Hull-Nye, and Elissa J. Schwartz. 2025. "How Does Vaccine-Induced Immunity Compare to Infection-Acquired Immunity in the Dynamics of COVID-19?" Pathogens 14, no. 2: 179. https://doi.org/10.3390/pathogens14020179
APA StyleHewage, I. M., Hull-Nye, D., & Schwartz, E. J. (2025). How Does Vaccine-Induced Immunity Compare to Infection-Acquired Immunity in the Dynamics of COVID-19? Pathogens, 14(2), 179. https://doi.org/10.3390/pathogens14020179

