Depuration of Aliarcobacter butzleri and Malaciobacter molluscorum in Comparison with Escherichia coli in Mussels (Mytilus galloprovincialis) and Oysters (Crassostrea gigas)
Abstract
1. Introduction
2. Materials and Methods
2.1. Sample Collection
2.2. Bacterial Culture Preparation
2.3. Experimental Design
2.4. Microbiological Analysis
2.5. Statistical Analysis
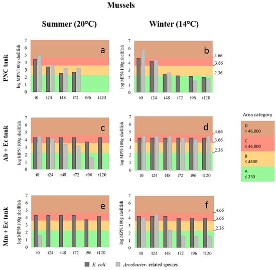
3. Results
4. Discussion
5. Conclusions
Supplementary Materials
Author Contributions
Funding
Institutional Review Board Statement
Informed Consent Statement
Data Availability Statement
Acknowledgments
Conflicts of Interest
References
- Blue Transformation in Action. In The State of World Fisheries and Aquaculture 2024; FAO: Rome, Italy, 2024.
- FAO; WHO. Technical Guidance for the Development of the Growing Area Aspects of Bivalve Mollusc Sanitation Programmes, 2nd ed.; Food Safety and Quality Series; FAO: Rome, Italy; WHO: Geneva, Switzerland, 2021; No. 5A. [Google Scholar]
- Bosch, A.; Abad, F.X.; Gajardo, R.; Pintó, R.M. Should shellfish be purified before public consumption? Lancet 1994, 344, 1024–1025. [Google Scholar] [CrossRef] [PubMed]
- Lees, D. Viruses and bivalve shellfish. Int. J. Food Microbiol. 2000, 59, 81–116. [Google Scholar] [CrossRef] [PubMed]
- Koutsoumanis, K.; Allende, A.; Bolton, D.; Bover-Cid, S.; Chemaly, M.; De Cesare, A.; Herman, L.; Hilbert, F.; Lindqvist, R.; Nauta, M.; et al. Persistence of microbiological hazards in food and feed production and processing environments. EFSA J. 2024, 22, e8521. [Google Scholar] [CrossRef] [PubMed]
- Baker-Austin, C.; Trinanes, J.; Gonzalez-Escalona, N.; Martinez-Urtaza, J. Non-cholera vibrios: The microbial barometer of climate change. Trends Microbiol. 2017, 25, 76–84. [Google Scholar] [CrossRef]
- Hsu, T.T.; Lee, J. Global distribution and prevalence of Arcobacter in food and water. Zoonoses Public Health 2015, 62, 579–589. [Google Scholar] [CrossRef]
- Banting, G.; Figueras-Salvat, M. Arcobacter. In Water and Sanitation for the 21st Century: Health and Microbiological Aspects of Excreta and Wastewater Management (Global Water Pathogen Project); Rose, J.B., Jiménez-Cisneros, B., Pruden, A., Ashbolt, N., Miller, J., Eds.; Michigan State University: East Lansing, MI, USA, 2017; Part 3: Specific Excr. [Google Scholar]
- Collado, L.; Inza, I.; Guarro, J.; Figueras, M.J. Presence of Arcobacter spp. in environmental waters correlates with high levels of fecal pollution. Environ. Microbiol. 2008, 10, 1635–1640. [Google Scholar] [CrossRef]
- Leoni, F.; Chierichetti, S.; Santarelli, S.; Talevi, G.; Masini, L.; Bartolini, C.; Roccgegiani, E.; Haouet, M.N.; Ottaviani, D. Occurrence of Arcobacter spp. and correlation with the bacterial indicator of faecal contamination Escherichia coli in bivalve molluscs from the Central Adriatic, Italy. Int. J. Food Microbiol. 2017, 245, 6–12. [Google Scholar] [CrossRef]
- Salas-Massó, N.; Andree, K.B.; Furones, M.D.; Figueras, M.J. Enhanced recovery of Arcobacter spp. using NaCl in culture media and re-assessment of the traits of Arcobacter marinus and Arcobacter halophilus isolated from marine water and shellfish. Sci. Total Environ. 2016, 566, 1355–1361. [Google Scholar] [CrossRef]
- Commission Regulation (EU) 2015/2285 of 8 December 2015 Amending Annex II to Regulation (EC) No 854/2004 of the European Parliament and of the Council Laying down Specific Rules for the Organisation of Official Controls on Products of Animal Origin Intend for Human Consumption. Off. J. Eur. Union 2015, L323, 2–4.
- European Regulation (EC) N° 854/2004 of the European Parliament and of the Council of 29 April 2004 Laying down Specific Rules for the Organization of Official Controls on Products of Animal Origin Intended for Human Consumption. Off. J. Eur. Union 2004, L226, 83–127.
- Salas-Massó, N.; Figueras, M.J.; Andree, K.B.; Furones, M.D. Do the Escherichia coli European Union shellfish safety standards predict the presence of Arcobacter spp., a potential zoonotic pathogen? Sci. Total Environ. 2018, 15, 1171–1179. [Google Scholar] [CrossRef] [PubMed]
- Lee, R.J.; Younger, A.D. Developing microbiological risk assessment for shellfish purification. Int. Biodeterior. Biodegrad. 2002, 50, 177–183. [Google Scholar] [CrossRef]
- Lopez-Joven, C.; Ruiz-Zarzuela, I.; de Blas, I.; Furones, M.D.; Roque, A. Persistence of sucrose fermenting and nonfermenting vibrios in tissues of manila clam species, Ruditapes philippinarum, depurated in seawater at two different temperatures. Food Microbiol. 2011, 28, 951–956. [Google Scholar] [CrossRef] [PubMed]
- Polo, D.; Álvarez, C.; Díez, J.; Darriba, S.; Longa, Á.; Romalde, J.L. Viral elimination during commercial depuration of shellfish. Food Control 2014, 43, 206–212. [Google Scholar] [CrossRef]
- McMenemy, P.; Kleczkowski, A.; Lees, D.N.; Lowther, J.; Taylor, N. A model for estimating pathogen variability in shellfish and predicting minimum depuration times. PLoS ONE 2018, 13, e0193865. [Google Scholar] [CrossRef]
- Shen, X.; Su, Y.C.; Liu, C.; Oscar, T.; DePaola, A. Efficacy of Vibrio parahaemolyticus depuration in oysters (Crassostrea gigas). Food Microbiol. 2019, 79, 35–40. [Google Scholar] [CrossRef]
- Salas-Massó, N.; Pérez-Cataluña, A.; Collado, L.; Levican, A.; Figueras, M.J. Arcobacter. In Handbook of Foodborne Diseases; Liu, D.Y., Ed.; CRC Press: Boca Raton, FL, USA, 2018; pp. 243–260. [Google Scholar]
- Ottaviani, D.; Mosca, F.; Chierichetti, S.; Tiscar, P.G.; Leoni, F. Genetic diversity of Arcobacter isolated from bivalves of adriatic and their interactions with Mytilus galloprovincialis hemocytes. Microbiologyopen 2017, 6, e0040. [Google Scholar] [CrossRef]
- Levican, A.; Collado, L.; Yustes, C.; Aguilar, C.; Figueras, M.J. Higher water temperature and incubation under aerobic and microaerobic conditions increase the re-covery and diversity of Arcobacter spp. from shellfish. Appl. Environ. Microbiol. 2014, 80, 385–391. [Google Scholar] [CrossRef]
- Chieffi, D.; Fanelli, F.; Fusco, V. Arcobacter butzleri: Up-to-date taxonomy, ecology, and pathogenicity of an emerging pathogen. Compr. Rev. Food Sci. Food Saf. 2020, 19, 2071–2109. [Google Scholar] [CrossRef]
- Brückner, V.; Fiebiger, U.; Ignatius, R.; Friesen, J.; Eisenblätter, M.; Höck, M.; Alter, T.; Bereswill, S.; Heimesaat, M.M.; Gölz, G. Characterization of Arcobacter strains isolated from human stool samples: Results from the prospective German prevalence study Arcopath. Gut Pathog. 2020, 12, 1–10. [Google Scholar] [CrossRef]
- Collado, L.; Figueras, M.J. Taxonomy, epidemiology, and clinical relevance of the genus Arcobacter. Clin. Microbiol. Rev. 2011, 24, 174–192. [Google Scholar] [CrossRef] [PubMed]
- Ottaviani, D.; Chierichetti, S.; Rocchegiani, E.; Bartolini, C.; Masini, L.; Santarelli, S.; Leoni, F. Bioaccumulation experiments in mussels contaminated with the food-borne pathogen Arcobacter butzleri: Preliminary data for risk assessment. BioMed Res. Int. 2013, 13, 153219. [Google Scholar] [CrossRef]
- Pérez-Cataluña, A.; Salas-Massó, N.; Diéguez, A.L.; Balboa, S.; Lema, A.; Romalde, J.L.; Figueras, M.J. Revisiting the taxonomy of the genus Arcobacter: Getting order from the chaos. Front. Microbiol. 2018, 9, 2077. [Google Scholar] [CrossRef] [PubMed]
- Buzzanca, D.; Kerkhof, P.J.; Alessandria, V.; Rantsiou, K.; Houf, K. Arcobacteraceae comparative genome analysis demonstrates genome heterogeneity and reduction in species isolated from animals and associated with human illness. Heliyon 2023, 9, 7. [Google Scholar] [CrossRef]
- Çelik, C.; Pınar, O.; Sipahi, N. The prevalence of Aliarcobacter species in the fecal microbiota of farm animals and potential effective agents for their treatment: A review of the past decade. Microorganisms 2022, 10, 2430. [Google Scholar] [CrossRef]
- Lokmer, A.; Mathias Wegner, K. Hemolymph microbiome of pacific oysters in response to temperature, temperature stress and infection. ISME J. 2015, 9, 670–682. [Google Scholar] [CrossRef]
- Li, Y.F.; Yang, N.; Liang, X.; Yoshida, A.; Osatomi, K.; Power, D.; Batista, F.M.; Yang, J.L. Elevated seawater temperatures decrease microbial diversity in the gut of Mytilus coruscus. Front. Physiol. 2018, 9, 839. [Google Scholar] [CrossRef]
- On, S.L.W.; Miller, W.G.; Biggs, P.J.; Cornelius, A.J.; Vandamme, P. Aliarcobacter, Halarcobacter, Malaciobacter, Pseudarcobacter and Poseidonibacter are later synonyms of Arcobacter: Transfer of Poseidonibacter parvus, Poseidonibacter antarcticus, ‘Halarcobacter arenosus’, and ‘Aliarcobacter vitoriensis’ to Arcobacter as Arcobacter parvus comb. nov., Arcobacter antarcticus comb. nov., Arcobacter arenosus comb. nov. and Arcobacter vitoriensis comb. nov. Int. J. Syst. Evol. Microbiol. 2021, 71, 005133. [Google Scholar] [CrossRef]
- Gentry, J.; Vinjé, J.; Lipp, E.K. A rapid and efficient method for quantitation of genogroups I and II norovirus from oysters and application in other complex environmental samples. J. Virol. Methods 2009, 156, 59–65. [Google Scholar] [CrossRef]
- Martínez, O.; Rodríguez-Calleja, J.M.; Santos, J.A.; Otero, A.; García-López, M.L. Foodborne and indicator bacteria in farmed molluscan shellfish before and after depuration. J. Food Prot. 2009, 72, 1443–1449. [Google Scholar] [CrossRef]
- Rong, R.; Lin, H.; Wang, J.; Khan, M.N.; Li, M. Reductions of Vibrio parahaemolyticus in oysters after bacteriophage application during depuration. Aquaculture 2014, 418, 171–176. [Google Scholar] [CrossRef]
- Pereira, C.; Moreirinha, C.; Teles, L.; Rocha, R.J.M.; Calado, R.; Romalde, J.L.; Nunes, M.L.; Almeida, A. Application of phage therapy during bivalve depuration improves Escherichia coli decontamination. Food Microbiol. 2017, 61, 102–112. [Google Scholar] [CrossRef] [PubMed]
- Cabo, M.L.; Romalde, J.L.; Simal-Gandara, J.; Martínez, A.G.; Fernández, J.G.; Costas, M.B.; Pascual Del Hierro, S.; Ortega, Á.P.; Manaia, C.M.; Silva, J.A.; et al. Identification of emerging hazards in mussels by the galician emerging food safety risks network (RISEGAL). A First Approach Foods 2020, 9, 1641. [Google Scholar] [CrossRef]
- Oliveira, J.; Cunha, A.; Castilho, F.; Romalde, J.L.; Pereira, M.J. Microbial contamination and purification of bivalve shellfish: Crucial aspects in monitoring and future perspectives—A mini-review. Food Control 2011, 22, 805–816. [Google Scholar] [CrossRef]
- Chen, H.; Wang, M.; Yang, C.; Wan, X.; Ding, H.H.; Shi, Y.; Zhao, C. Bacterial spoilage profiles in the gills of pacific oysters (Crassostrea gigas) and eastern oysters (C. virginica) during refrigerated storage. Food Microbiol. 2019, 82, 209–217. [Google Scholar] [CrossRef]
- Palkova, Z. Multicellular microorganisms: Laboratory versus nature. EMBO Rep. 2004, 5, 470–476. [Google Scholar] [CrossRef]
- Doré, B.; Keaveney, S.; Flannery, J.; Rajko-Nenow, P. Management of health risks associated with oysters harvested from a norovirus contaminated area, Ireland, February–March 2010. Eurosurveillance 2010, 15, 19567. [Google Scholar] [CrossRef]
- Iwu, C.D.; Ekundayo, T.C.; Okoh, A.I. A systematic analysis of research on Arcobacter: Public health implications from a food–environment interphase perspective. Foods 2021, 10, 1673. [Google Scholar] [CrossRef]
- Vasiljevic, M.; Fenwick, A.J.; Nematollahi, S.; Gundareddy, V.P.; Romagnoli, M.; Zenilman, J.; Carroll, K.C. First case report of human bacteremia with Malacobacter (Arcobacter) mytili. Open Forum Infect. Dis. 2019, 6, ofz319. [Google Scholar] [CrossRef]
- Collado, L.; Cleenwerck, I.; Van Trappen, S.; De Vos, P.; Figueras, M.J. Arcobacter mytili sp. nov., an indoxyl acetate-hydrolysis-negative bacterium isolated from mussels. Int. J. Syst. Evol. Microbiol. 2009, 59, 1391–1396. [Google Scholar] [CrossRef]
- Barel, M.; Yildirim, Y. Arcobacter species isolated from various seafood and water sources; virulence genes, antibiotic resistance genes and molecular characterization. World J. Microbiol. Biotechnol. 2023, 39, 183. [Google Scholar] [CrossRef] [PubMed]
- Aoki, M.; Takemura, Y.; Kawakami, S.; Yoochatchaval, W.; Tran, P.T.; Tomioka, N.; Ebie, Y.; Syutsubo, K. Quantitative detection and reduction of potentially pathogenic bacterial groups of Aeromonas, Arcobacter, Klebsiella pneumoniae species complex, and Mycobacterium in wastewater treatment facilities. PLoS ONE 2023, 18, e0291742. [Google Scholar] [CrossRef] [PubMed]
- Gevers, D.; Knight, R.; Petrosino, J.F.; Huang, K.; McGuire, A.L.; Birren, B.W.; Nelson, K.E.; White, O.; Methé, B.A.; Huttenhower, C. The human microbiome project: A community resource for the healthy human microbiome. PLoS Biol. 2012, 10, e1001377. [Google Scholar] [CrossRef] [PubMed]
- Koskey, A.M.; Fisher, J.C.; Eren, A.M.; Ponce-Terashima, R.; Reis, M.G.; Blanton, R.E.; Mclellan, S.L. Blautia and Prevotella sequences distinguish human and animal fecal pollution in Brazil surface waters. Environ. Microbiol. Rep. 2014, 6, 696–704. [Google Scholar] [CrossRef] [PubMed]
- Kristensen, J.M.; Nierychlo, M.; Albertsen, M.; Nielsen, P.H. Bacteria from the genus Arcobacter are abundant in effluent from wastewater treatment plants. Appl. Environ. Microb. 2020, 86, e03044-19. [Google Scholar] [CrossRef]
- Ríos-Castro, R.; Cabo, A.; Teira, E.; Cameselle, C.; Gouveia, S.; Payo, P.; Novoa, B.; Figueras, A. High-throughput sequencing as a tool for monitoring prokaryote communities in a wastewater treatment plant. Sci. Total Environ. 2023, 344, 1024–1025. [Google Scholar] [CrossRef]



Disclaimer/Publisher’s Note: The statements, opinions and data contained in all publications are solely those of the individual author(s) and contributor(s) and not of MDPI and/or the editor(s). MDPI and/or the editor(s) disclaim responsibility for any injury to people or property resulting from any ideas, methods, instructions or products referred to in the content. |
© 2024 by the authors. Licensee MDPI, Basel, Switzerland. This article is an open access article distributed under the terms and conditions of the Creative Commons Attribution (CC BY) license (https://creativecommons.org/licenses/by/4.0/).
Share and Cite
Salas-Massó, N.; Fernández-Bravo, A.; Bertomeu, E.; Andree, K.B.; Figueras, M.J.; Furones, D. Depuration of Aliarcobacter butzleri and Malaciobacter molluscorum in Comparison with Escherichia coli in Mussels (Mytilus galloprovincialis) and Oysters (Crassostrea gigas). Pathogens 2024, 13, 973. https://doi.org/10.3390/pathogens13110973
Salas-Massó N, Fernández-Bravo A, Bertomeu E, Andree KB, Figueras MJ, Furones D. Depuration of Aliarcobacter butzleri and Malaciobacter molluscorum in Comparison with Escherichia coli in Mussels (Mytilus galloprovincialis) and Oysters (Crassostrea gigas). Pathogens. 2024; 13(11):973. https://doi.org/10.3390/pathogens13110973
Chicago/Turabian StyleSalas-Massó, Nuria, Ana Fernández-Bravo, Edgar Bertomeu, Karl B. Andree, Maria José Figueras, and Dolors Furones. 2024. "Depuration of Aliarcobacter butzleri and Malaciobacter molluscorum in Comparison with Escherichia coli in Mussels (Mytilus galloprovincialis) and Oysters (Crassostrea gigas)" Pathogens 13, no. 11: 973. https://doi.org/10.3390/pathogens13110973
APA StyleSalas-Massó, N., Fernández-Bravo, A., Bertomeu, E., Andree, K. B., Figueras, M. J., & Furones, D. (2024). Depuration of Aliarcobacter butzleri and Malaciobacter molluscorum in Comparison with Escherichia coli in Mussels (Mytilus galloprovincialis) and Oysters (Crassostrea gigas). Pathogens, 13(11), 973. https://doi.org/10.3390/pathogens13110973

