In Vitro Effectiveness of Soft Contact Lens Solutions Available on the Dutch Market against Acanthamoeba Species
Abstract
1. Introduction
2. Materials and Methods
2.1. Selection and Culture of Acanthamoeba Trophozoites and Cysts
2.2. Selection of Contact Lens Solutions and Incubation Times
2.3. Test Implementation and Analyses
2.3.1. Spearman–Karber Log Reduction Method
2.3.2. XTT Colorimetric Assay and Residual Growth Analysis
2.4. Statistical Analyses
3. Results
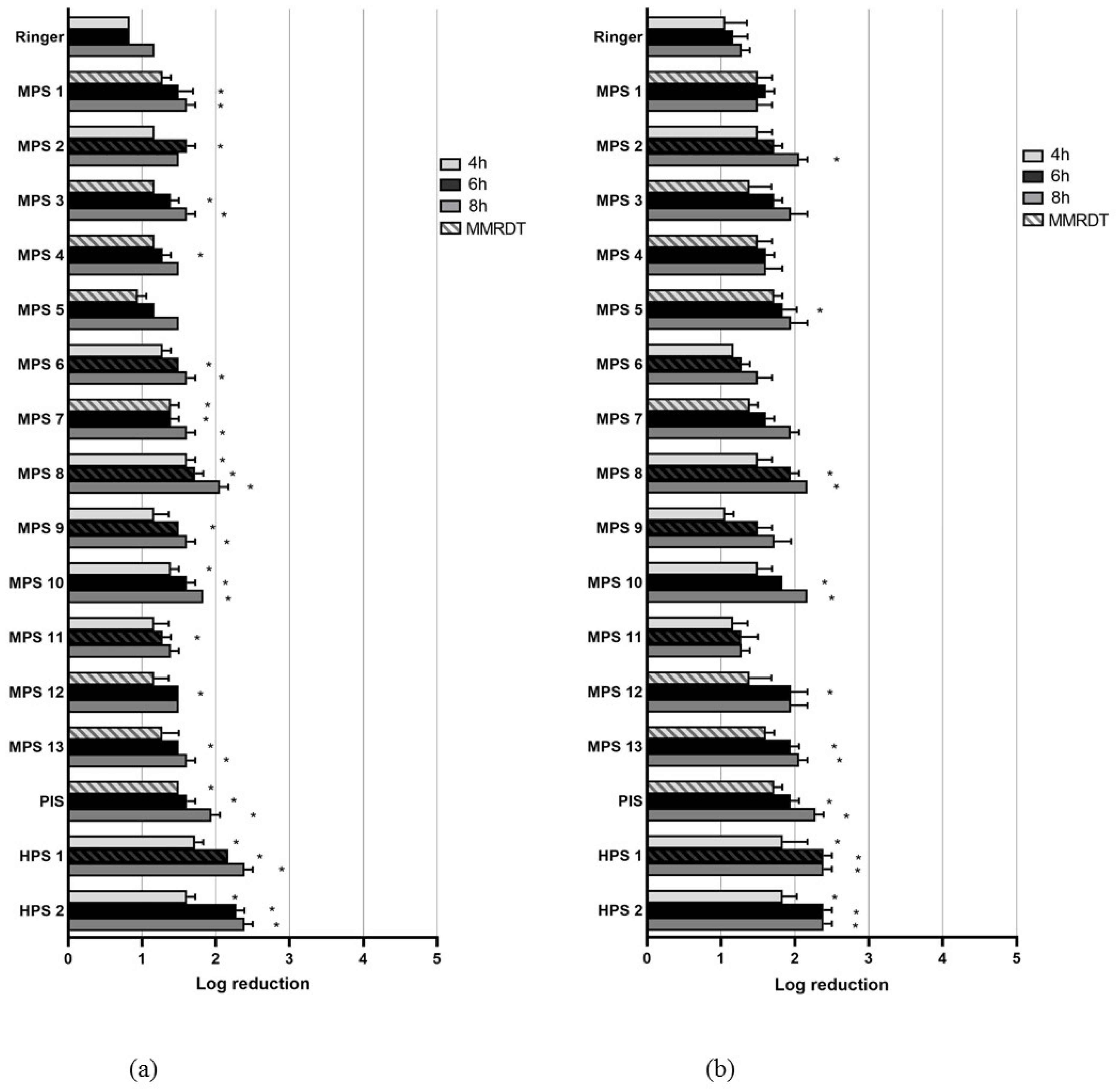
3.1. Spearman–Karber Log Reduction Method: Trophozoites
3.2. Spearman–Karber Log Reduction Method: Cysts
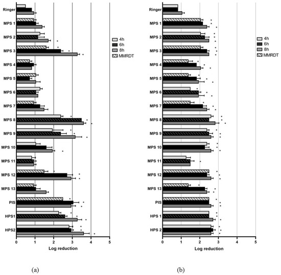
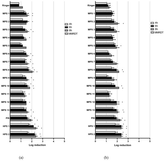
3.3. XTT Colorimetric Assay and Residual Growth Analysis
4. Discussion
Supplementary Materials
Author Contributions
Funding
Institutional Review Board Statement
Informed Consent Statement
Data Availability Statement
Conflicts of Interest
References
- Witschel, H.; Sundmacher, R.; Seitz, H.M. Amebic keratitis: Clinico-histopathologic case report. Klin. Monbl. Augenheilkd. 1984, 185, 46–49. [Google Scholar] [CrossRef] [PubMed]
- Dart, J.K.; Saw, V.P.; Kilvington, S. Acanthamoeba keratitis: Diagnosis and treatment update 2009. Am. J. Ophthalmol. 2009, 148, 487–499.e2. [Google Scholar] [CrossRef] [PubMed]
- Carnt, N.; Stapleton, F. Strategies for the prevention of contact lens-related Acanthamoeba keratitis: A review. Ophthalmic Physiol. Opt. 2016, 36, 77–92. [Google Scholar] [CrossRef]
- Carnt, N.; Hoffman, J.M.; Verma, S.; Hau, S.; Radford, C.F.; Minassian, D.C.; Dart, J.K.G. Acanthamoeba keratitis: Confirmation of the UK outbreak and a prospective case-control study identifying contributing risk factors. Br. J. Ophthalmol. 2018, 102, 1621–1628. [Google Scholar] [CrossRef] [PubMed]
- Randag, A.C.; van Rooij, J.; van Goor, A.T.; Verkerk, S.; Wisse, R.P.L.; Saelens, I.E.Y.; Stoutenbeek, R.; van Dooren, B.T.H.; Cheng, Y.Y.Y.; Eggink, C.A. The rising incidence of Acanthamoeba keratitis: A 7-year nationwide survey and clinical assessment of risk factors and functional outcomes. PLoS ONE 2019, 14, e0222092. [Google Scholar] [CrossRef]
- Ludwig, I.H.; Meisler, D.M.; Rutherford, I.; Bican, F.E.; Langston, R.H.; Visvesvara, G.S. Susceptibility of Acanthamoeba to soft contact lens disinfection systems. Investig. Ophthalmol. Vis. Sci. 1986, 27, 626–628. [Google Scholar]
- Kobayashi, T.; Gibbon, L.; Mito, T.; Shiraishi, A.; Uno, T.; Ohashi, Y. Efficacy of commercial soft contact lens disinfectant solutions against Acanthamoeba. JPN J. Ophthalmol. 2011, 55, 547–557. [Google Scholar] [CrossRef] [PubMed]
- Kilvington, S.; Lam, A. Development of standardized methods for assessing biocidal efficacy of contact lens care solutions against Acanthamoeba trophozoites and cysts. Investig. Ophthalmol. Vis. Sci. 2013, 54, 4527–4537. [Google Scholar] [CrossRef] [PubMed]
- Fedorko, D.P.; Brocious, J.M.; Adams, K.D.; Hitchins, V.M.; Hampton, D.L.; Eydelman, M.B. Optimized Protocol for Testing Multipurpose Contact Lens Solution Efficacy Against Acanthamoeba. Eye Contact Lens 2018, 44, 367–371. [Google Scholar] [CrossRef] [PubMed]
- ISO/DIS Standard No. 19045-2; Ophthalmic Optics-Contact Lens Care Products—Part 2: Method for Evaluating Disinfecting Efficacy by Contact Lens Care Products Using Trophozoites of Acanthamoeba Species as the Challenge Organisms. Available online: https://www.iso.org/standard/83822.html (accessed on 21 January 2023).
- Shoff, M.E.; Eydelman, M.B. Strategies to optimize conditions for testing multipurpose contact lens solution efficacy against Acanthamoeba. Eye Contact Lens 2012, 38, 363–367. [Google Scholar] [CrossRef]
- Beattie, T.K.; Seal, D.V.; Tomlinson, A.; McFadyen, A.K.; Grimason, A.M. Determination of amoebicidal activities of multipurpose contact lens solutions by using a most probable number enumeration technique. J. Clin. Microbiol. 2003, 41, 2992–3000. [Google Scholar] [CrossRef]
- Buck, S.L.; Rosenthal, R.A.; Schlech, B.A. Methods used to evaluate the effectiveness of contact lens care solutions and other compounds against Acanthamoeba: A review of the literature. CLAO J. 2000, 26, 72–84. [Google Scholar]
- Brocious, J.; Tarver, M.E.; Hampton, D.; Eydelman, M. Acanthamoeba: An Overview of the Challenges to the Development of a Consensus Methodology of Disinfection Efficacy Testing for Contact Lens Care Products. Eye Contact Lens 2018, 44, 351–354. [Google Scholar] [CrossRef]
- ISO/DIS Standard No. 14729; Ophthalmic Optics-Contact Lens Care Products-Microbiological Requirements and Test Methods for Products and Regimens for Hygienic Management of Contact Lenses. ISO: Geneva, Switzerland, 2001.
- de Kroon, L.; Randag, A.C.; Otten, H.; Schimmer, B.; Tehupeiory-Kooreman, M.; Arias Claro-Handgraaf, C.; Stelma, F.F. Standardizing the assessment of amoebicidal efficacy of contact lens solutions against Acanthamoeba species. J. Chem. Pharm. Res. 2023, in press. [Google Scholar]
- Neff, R.J.; Ray, S.A.; Benton, W.F.; Wilborn, M. Induction of synchronous encystment (differentiation) in Acanthamoeba sp. Methods Cell Physiol. 1964, 1, 55–83. [Google Scholar]
- Hamilton, M.A.; Russo, R.C.; Thurston, R.V. Trimmed Spearman-Karber Method for Estimating Median Lethal Concentrations in Toxicity Bioassays. Environ. Sci. Technol. 1977, 11, 714–719. [Google Scholar] [CrossRef]
- The Math Behind Spearman-Karber Analysis. Available online: https://www.cureffi.org/2015/09/20/the-math-behind-spearman-karber-analysis/ (accessed on 24 July 2021).
- Gueudry, J.; Le Goff, L.; Compagnon, P.; Lefèvre, S.; Colasse, E.; Aknine, C.; Duval, F.; François, A.; Razakandrainibe, R.; Ballet, J.J.; et al. Evaluation of voriconazole anti-Acanthamoeba polyphaga in vitro activity, rat cornea penetration and efficacy against experimental rat Acanthamoeba keratitis. J. Antimicrob. Chemother. 2018, 73, 1895–1898. [Google Scholar] [CrossRef] [PubMed]
- Ortega-Rivas, A.; Padron, J.M.; Valladares, B.; Elsheikha, H.M. Acanthamoeba castellanii: A new high-throughput method for drug screening in vitro. Acta Trop. 2016, 164, 95–99. [Google Scholar] [CrossRef] [PubMed]
- Ustunturk, M.; Zeybek, Z. Amoebicidal efficacy of a novel multi-purpose disinfecting solution: First findings. Exp. Parasitol. 2014, 145, S93–S97. [Google Scholar] [CrossRef] [PubMed]
- Kolar, S.S.; Manarang, J.C.; Burns, A.R.; Miller, W.L.; McDermott, A.M.; Bergmanson, J.P. Contact lens care solution killing efficacy against Acanthamoeba castellanii by in vitro testing and live-imaging. Contact Lens Anterior Eye 2015, 38, 442–450. [Google Scholar] [CrossRef]
- Imbert-Bouyer, S.; Merlaud, A.; Imbert, C.; Daniault, G.; Rodier, M.H. A mannose binding protein is involved in the adherence of Acanthamoeba species to inert surfaces. FEMS Microbiol. Lett. 2004, 238, 207–211. [Google Scholar] [CrossRef] [PubMed]
- Peckeu, L.; Randag, A.C.; Eggink, C.A.; van Rooij, J.; Wisse, R.P.L.; Oliveira dos Santos, C.; Dutch cornea group; Verweij, P.; Schimmer, B. Risk Factors for Acquisition and Severity of Acanthamoeba and Fusarium Keratitis—A Retrospective Case-Control Study among Contact Lens Users, 2009–2019; National Institute for Public Health and the Environment: Bilthoven, The Netherlands, 2023; manuscript in preparation. [Google Scholar]



Disclaimer/Publisher’s Note: The statements, opinions and data contained in all publications are solely those of the individual author(s) and contributor(s) and not of MDPI and/or the editor(s). MDPI and/or the editor(s) disclaim responsibility for any injury to people or property resulting from any ideas, methods, instructions or products referred to in the content. |
© 2023 by the authors. Licensee MDPI, Basel, Switzerland. This article is an open access article distributed under the terms and conditions of the Creative Commons Attribution (CC BY) license (https://creativecommons.org/licenses/by/4.0/).
Share and Cite
Randag, A.C.; de Kroon, L.; Otten, H.; Arias Claro-Handgraaf, C.; Schimmer, B.; Kortbeek, T.; van Rooij, J.; Stelma, F.F. In Vitro Effectiveness of Soft Contact Lens Solutions Available on the Dutch Market against Acanthamoeba Species. Pathogens 2023, 12, 214. https://doi.org/10.3390/pathogens12020214
Randag AC, de Kroon L, Otten H, Arias Claro-Handgraaf C, Schimmer B, Kortbeek T, van Rooij J, Stelma FF. In Vitro Effectiveness of Soft Contact Lens Solutions Available on the Dutch Market against Acanthamoeba Species. Pathogens. 2023; 12(2):214. https://doi.org/10.3390/pathogens12020214
Chicago/Turabian StyleRandag, Anna C., Lieke de Kroon, Henny Otten, Cindy Arias Claro-Handgraaf, Barbara Schimmer, Titia Kortbeek, Jeroen van Rooij, and Foekje F. Stelma. 2023. "In Vitro Effectiveness of Soft Contact Lens Solutions Available on the Dutch Market against Acanthamoeba Species" Pathogens 12, no. 2: 214. https://doi.org/10.3390/pathogens12020214
APA StyleRandag, A. C., de Kroon, L., Otten, H., Arias Claro-Handgraaf, C., Schimmer, B., Kortbeek, T., van Rooij, J., & Stelma, F. F. (2023). In Vitro Effectiveness of Soft Contact Lens Solutions Available on the Dutch Market against Acanthamoeba Species. Pathogens, 12(2), 214. https://doi.org/10.3390/pathogens12020214

