Analysis of Sporulation in Bacillus cereus Biovar anthracis Which Contains an Insertion in the Gene for the Sporulation Factor σK
Abstract
1. Introduction
2. Materials and Methods
2.1. Strains, Growth Conditions and Determination of Sporulation Efficiency
2.2. PCR and Sequencing
2.3. Southern Blot
2.4. RNA Isolation, cDNA Synthesis and Reverse Transcription Real-Time Quantitative PCR
2.5. Electron Microscopy
3. Results
3.1. Confirmation of a sigK Insertion in Bcbva and Its Excision during Sporulation

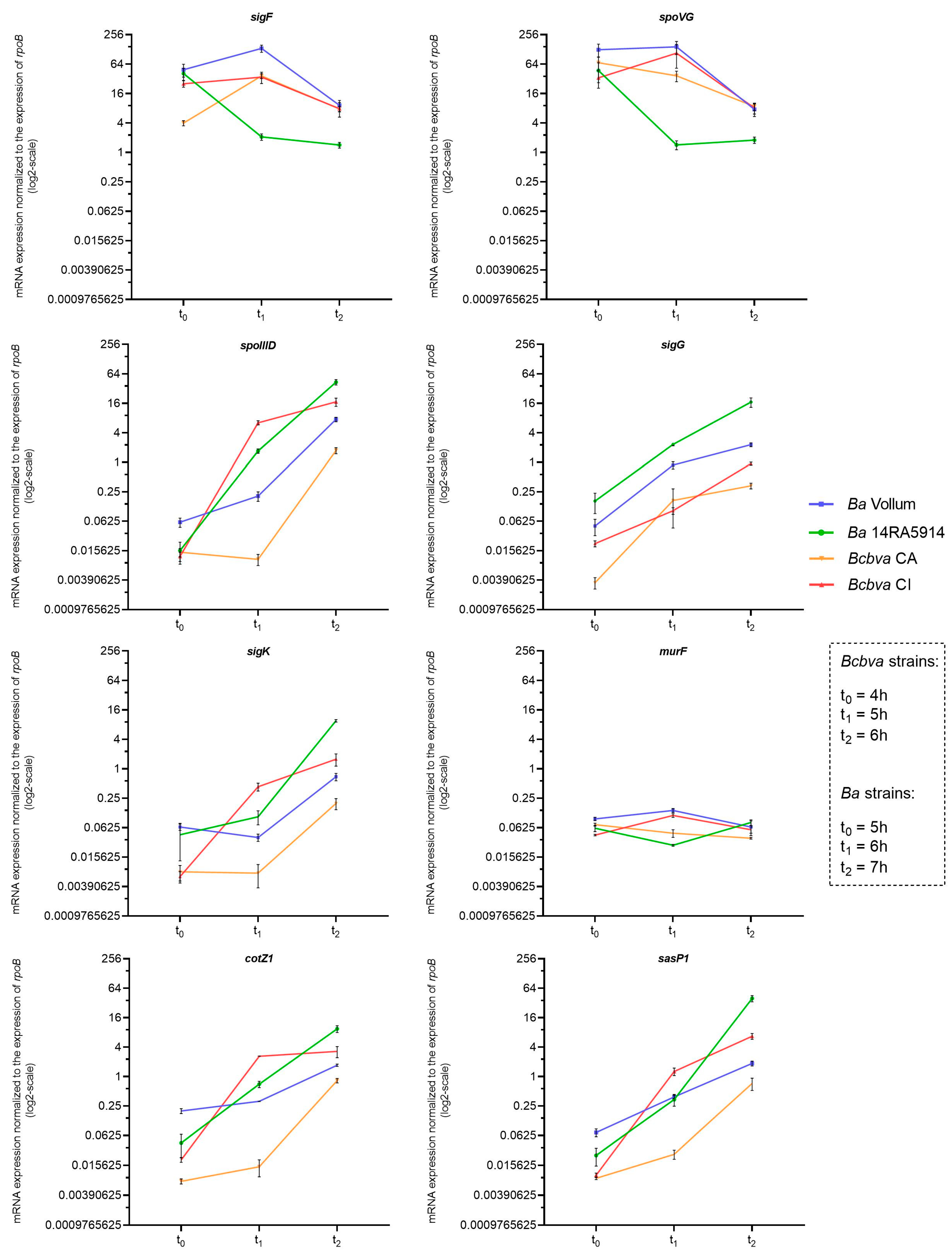
3.2. Expression Patterns of Sporulation-Associated Genes
| Gene Name | Locus Tag a | Function | Sporulation Stage | Wave b [20] | Wave b [21] |
|---|---|---|---|---|---|
| sigF | BA_4294 | Sporulation-specific sigma factor σF | Formation of asymmetric septum, F | 2 | 3 |
| spoVG | BA_0047 | Sporulation-specific regulator | Formation of asymmetric septum, M | 2 | 3 |
| spoIIID | BA_5521 | Sporulation-specific regulator | Start of engulfment, M | 4 | 4 |
| sigG | BA_4042 | Sporulation-specific sigma factor σG | End of engulfment, F | 4 | 4 |
| sigK | BA_4566 | Sporulation-specific sigma factor σK | End of engulfment/spore differentiation, M | 5 | 4 |
| murF | BA_0246 | Protein of spore cortex | Formation of spore cortex, F | 5 | absent |
| cotZ | BA_1234 | Protein of spore coat | Formation of spore coat, F | 5 | 5 |
| sasP1 | BA_0858 | DNA protecting small acid soluble protein | Spore differentiation, F | 5 | 5 |
3.3. Analysis of Sporulation Stages by Electron Microscopy
3.4. Analysis of Two Bcbva CI and CA Sporulation Mutants
3.5. Further Strains of the B. cereus Group Containing Insertions in the sigK Gene
4. Discussion
5. Conclusions
Supplementary Materials
Author Contributions
Funding
Institutional Review Board Statement
Informed Consent Statement
Data Availability Statement
Acknowledgments
Conflicts of Interest
References
- Leendertz, F.H.; Ellerbrok, H.; Boesch, C.; Couacy-Hymann, E.; Matz-Rensing, K.; Hakenbeck, R.; Bergmann, C.; Abaza, P.; Junglen, S.; Moebius, Y.; et al. Anthrax kills wild chimpanzees in a tropical rainforest. Nature 2004, 430, 451–452. [Google Scholar] [CrossRef]
- Leendertz, F.H.; Lankester, F.; Guislain, P.; Néel, C.; Drori, O.; Dupain, J.; Speede, S.; Reed, P.; Wolfe, N.; Loul, S.; et al. Anthrax in Western and Central African great apes. Am. J. Primatol. 2006, 68, 928–933. [Google Scholar] [CrossRef]
- Hoffmann, C.; Zimmermann, F.; Biek, R.; Kuehl, H.; Nowak, K.; Mundry, R.; Agbor, A.; Angedakin, S.; Arandjelovic, M.; Blankenburg, A.; et al. Persistent anthrax as a major driver of wildlife mortality in a tropical rainforest. Nature 2017, 548, 82–86. [Google Scholar] [CrossRef]
- Brezillon, C.; Haustant, M.; Dupke, S.; Corre, J.P.; Lander, A.; Franz, T.; Monot, M.; Couture-Tosi, E.; Jouvion, G.; Leendertz, F.H.; et al. Capsules, toxins and AtxA as virulence factors of emerging Bacillus cereus biovar anthracis. PLoS Negl. Trop. Dis. 2015, 9, e0003455. [Google Scholar] [CrossRef]
- Dupke, S.; Schubert, G.; Beudje, F.; Barduhn, A.; Pauly, M.; Couacy-Hymann, E.; Grunow, R.; Akoua-Koffi, C.; Leendertz, F.H.; Klee, S.R. Serological evidence for human exposure to Bacillus cereus biovar anthracis in the villages around Taï National Park, Cote d’Ivoire. PLoS Negl. Trop. Dis. 2020, 14, e0008292. [Google Scholar] [CrossRef]
- Antonation, K.S.; Grutzmacher, K.; Dupke, S.; Mabon, P.; Zimmermann, F.; Lankester, F.; Peller, T.; Feistner, A.; Todd, A.; Herbinger, I.; et al. Bacillus cereus biovar anthracis causing anthrax in sub-Saharan Africa—Chromosomal monophyly and broad geographic distribution. PLoS Negl. Trop. Dis. 2016, 10, e0004923. [Google Scholar] [CrossRef]
- Klee, S.R.; Brzuszkiewicz, E.B.; Nattermann, H.; Bruggemann, H.; Dupke, S.; Wollherr, A.; Franz, T.; Pauli, G.; Appel, B.; Liebl, W.; et al. The genome of a Bacillus isolate causing anthrax in chimpanzees combines chromosomal properties of B. cereus with B. anthracis virulence plasmids. PLoS ONE 2010, 5, e10986. [Google Scholar] [CrossRef]
- Tan, I.S.; Ramamurthi, K.S. Spore formation in Bacillus subtilis. Environ. Microbiol. Rep. 2014, 6, 212–225. [Google Scholar] [CrossRef]
- Christie, G.; Setlow, P. Bacillus spore germination: Knowns, unknowns and what we need to learn. Cell Signal. 2020, 74, 109729. [Google Scholar] [CrossRef]
- Swick, M.C.; Koehler, T.M.; Driks, A. Surviving between Hosts: Sporulation and Transmission. Microbiol. Spectr. 2016, 4. [Google Scholar] [CrossRef]
- Mondange, L.; Tessier, E.; Tournier, J.N. Pathogenic Bacilli as an Emerging Biothreat? Pathogens 2022, 11, 1186. [Google Scholar] [CrossRef]
- Khanna, K.; Lopez-Garrido, J.; Pogliano, K. Shaping an Endospore: Architectural Transformations During Bacillus subtilis Sporulation. Annu. Rev. Microbiol. 2020, 74, 361–386. [Google Scholar] [CrossRef]
- Setlow, P.; Christie, G. New Thoughts on an Old Topic: Secrets of Bacterial Spore Resistance Slowly Being Revealed. Microbiol. Mol. Biol. Rev. 2023, 87, e0008022. [Google Scholar] [CrossRef]
- Setlow, P. Spore Resistance Properties. Microbiol. Spectr. 2014, 2. [Google Scholar] [CrossRef]
- Driks, A. The Bacillus anthracis spore. Mol. Asp. Med. 2009, 30, 368–373. [Google Scholar] [CrossRef]
- Stewart, G.C. The Exosporium Layer of Bacterial Spores: A Connection to the Environment and the Infected Host. Microbiol. Mol. Biol. Rev. 2015, 79, 437–457. [Google Scholar] [CrossRef]
- Kroos, L.; Yu, Y.T. Regulation of sigma factor activity during Bacillus subtilis development. Curr. Opin. Microbiol. 2000, 3, 553–560. [Google Scholar] [CrossRef]
- Higgins, D.; Dworkin, J. Recent progress in Bacillus subtilis sporulation. FEMS Microbiol. Rev. 2012, 36, 131–148. [Google Scholar] [CrossRef]
- Riley, E.P.; Schwarz, C.; Derman, A.I.; Lopez-Garrido, J. Milestones in Bacillus subtilis sporulation research. Microb. Cell 2020, 8, 1–16. [Google Scholar] [CrossRef]
- Liu, H.; Bergman, N.H.; Thomason, B.; Shallom, S.; Hazen, A.; Crossno, J.; Rasko, D.A.; Ravel, J.; Read, T.D.; Peterson, S.N.; et al. Formation and Composition of the Bacillus anthracis Endospore. J. Bacteriol. 2004, 186, 164–178. [Google Scholar] [CrossRef]
- Bergman, N.H.; Anderson, E.C.; Swenson, E.E.; Niemeyer, M.M.; Miyoshi, A.D.; Hanna, P.C. Transcriptional profiling of the Bacillus anthracis life cycle in vitro and an implied model for regulation of spore formation. J. Bacteriol. 2006, 188, 6092–6100. [Google Scholar] [CrossRef]
- Chen, M.; Lyu, Y.; Feng, E.; Zhu, L.; Pan, C.; Wang, D.; Liu, X.; Wang, H. SpoVG is necessary for sporulation in Bacillus anthracis. Microorganisms 2020, 8, 548. [Google Scholar] [CrossRef]
- Matsuno, K.; Sonenshein, A.L. Role of SpoVG in asymmetric septation in Bacillus subtilis. J. Bacteriol. 1999, 181, 3392–3401. [Google Scholar] [CrossRef]
- Stragier, P.; Kunkel, B.; Kroos, L.; Losick, R. Chromosomal rearrangement generating a composite gene for a developmental transcription factor. Science 1989, 243, 507–512. [Google Scholar] [CrossRef]
- Popham, D.L.; Stragier, P. Binding of the Bacillus subtilis spoIVCA product to the recombination sites of the element interrupting the sigma K-encoding gene. Proc. Natl. Acad. Sci. USA 1992, 89, 5991–5995. [Google Scholar] [CrossRef]
- Kunkel, B.; Losick, R.; Stragier, P. The Bacillus subtilis gene for the development transcription factor sigma K is generated by excision of a dispensable DNA element containing a sporulation recombinase gene. Genes Dev. 1990, 4, 525–535. [Google Scholar] [CrossRef]
- Halberg, R.; Kroos, L. Sporulation regulatory protein SpoIIID from Bacillus subtilis activates and represses transcription by both mother-cell-specific forms of RNA polymerase. J. Mol. Biol. 1994, 243, 425–436. [Google Scholar] [CrossRef]
- Elschner, M.C.; Busch, A.; Schliephake, A.; Gaede, W.; Zuchantke, E.; Tomaso, H. High-quality genome sequence of Bacillus anthracis strain 14RA5914 isolated during an outbreak in Germany in 2014. Genome Announc. 2017, 5, e01002-17. [Google Scholar] [CrossRef]
- Klee, S.R.; Ozel, M.; Appel, B.; Boesch, C.; Ellerbrok, H.; Jacob, D.; Holland, G.; Leendertz, F.H.; Pauli, G.; Grunow, R.; et al. Characterization of Bacillus anthracis-like bacteria isolated from wild great apes from Cote d’Ivoire and Cameroon. J. Bacteriol. 2006, 188, 5333–5344. [Google Scholar] [CrossRef]
- Kim, H.U.; Goepfert, J.M. A sporulation medium for Bacillus anthracis. J. Appl. Bacteriol. 1974, 37, 265–267. [Google Scholar] [CrossRef]
- Margolis, P.S.; Driks, A.; Losick, R. Sporulation gene spoIIB from Bacillus subtilis. J. Bacteriol. 1993, 175, 528–540. [Google Scholar] [CrossRef]
- Sonenshein, A.L. Control of sporulation initiation in Bacillus subtilis. Curr. Opin. Microbiol. 2000, 3, 561–566. [Google Scholar] [CrossRef]
- Livak, K.J.; Schmittgen, T.D. Analysis of relative gene expression data using real-time quantitative PCR and the 2(-Delta Delta C(T)) Method. Methods 2001, 25, 402–408. [Google Scholar] [CrossRef]
- Cadot, C.; Tran, S.L.; Vignaud, M.L.; De Buyser, M.L.; Kolsto, A.B.; Brisabois, A.; Nguyen-The, C.; Lereclus, D.; Guinebretiere, M.H.; Ramarao, N. InhA1, NprA, and HlyII as candidates for markers to differentiate pathogenic from nonpathogenic Bacillus cereus strains. J. Clin. Microbiol. 2010, 48, 1358–1365. [Google Scholar] [CrossRef]
- Sihto, H.M.; Tasara, T.; Stephan, R.; Johler, S. Validation of reference genes for normalization of qPCR mRNA expression levels in Staphylococcus aureus exposed to osmotic and lactic acid stress conditions encountered during food production and preservation. FEMS Microbiol. Lett. 2014, 356, 134–140. [Google Scholar] [CrossRef]
- Geng, P.; Tian, S.; Yuan, Z.; Hu, X. Identification and genomic comparison of temperate bacteriophages derived from emetic Bacillus cereus. PLoS ONE 2017, 12, e0184572. [Google Scholar] [CrossRef]
- Helgason, E.; Caugant, D.A.; Olsen, I.; Kolsto, A.B. Genetic structure of population of Bacillus cereus and B. thuringiensis isolates associated with periodontitis and other human infections. J. Clin. Microbiol. 2000, 38, 1615–1622. [Google Scholar] [CrossRef]
- Carroll, L.M.; Wiedmann, M.; Kovac, J. Proposal of a taxonomic nomenclature for the Bacillus cereus group which reconciles genomic definitions of bacterial species with clinical and industrial phenotypes. mBio 2020, 11, e00034-20. [Google Scholar] [CrossRef]
- Sitaraman, R. The role of DNA restriction-modification systems in the biology of Bacillus anthracis. Front. Microbiol. 2016, 7, 11. [Google Scholar] [CrossRef][Green Version]
- Leiser, O.P.; Blackburn, J.K.; Hadfield, T.L.; Kreuzer, H.W.; Wunschel, D.S.; Bruckner-Lea, C.J. Laboratory strains of Bacillus anthracis exhibit pervasive alteration in expression of proteins related to sporulation under laboratory conditions relative to genetically related wild strains. PLoS ONE 2018, 13, e0209120. [Google Scholar] [CrossRef]
- Norris, M.H.; Zincke, D.; Leiser, O.P.; Kreuzer, H.; Hadfied, T.L.; Blackburn, J.K. Laboratory strains of Bacillus anthracis lose their ability to rapidly grow and sporulate compared to wildlife outbreak strains. PLoS ONE 2020, 15, e0228270. [Google Scholar] [CrossRef] [PubMed]
- Vasudevan, P.; Weaver, A.; Reichert, E.D.; Linnstaedt, S.D.; Popham, D.L. Spore cortex formation in Bacillus subtilis is regulated by accumulation of peptidoglycan precursors under the control of sigma K. Mol. Microbiol. 2007, 65, 1582–1594. [Google Scholar] [CrossRef] [PubMed]
- Popham, D.L.; Bernhards, C.B. Spore Peptidoglycan. Microbiol. Spectr. 2015, 3. [Google Scholar] [CrossRef] [PubMed]
- Gonzalez-Pastor, J.E. Cannibalism: A social behavior in sporulating Bacillus subtilis. FEMS Microbiol. Rev. 2011, 35, 415–424. [Google Scholar] [CrossRef]
- Sastalla, I.; Leppla, S.H. Occurrence, recognition, and reversion of spontaneous, sporulation-deficient Bacillus anthracis mutants that arise during laboratory culture. Microbes Infect. 2012, 14, 387–391. [Google Scholar] [CrossRef][Green Version]
- Haraldsen, J.D.; Sonenshein, A.L. Efficient sporulation in Clostridium difficile requires disruption of the sigmaK gene. Mol. Microbiol. 2003, 48, 811–821. [Google Scholar] [CrossRef]




Disclaimer/Publisher’s Note: The statements, opinions and data contained in all publications are solely those of the individual author(s) and contributor(s) and not of MDPI and/or the editor(s). MDPI and/or the editor(s) disclaim responsibility for any injury to people or property resulting from any ideas, methods, instructions or products referred to in the content. |
© 2023 by the authors. Licensee MDPI, Basel, Switzerland. This article is an open access article distributed under the terms and conditions of the Creative Commons Attribution (CC BY) license (https://creativecommons.org/licenses/by/4.0/).
Share and Cite
Gummelt, C.; Dupke, S.; Howaldt, S.; Zimmermann, F.; Scholz, H.C.; Laue, M.; Klee, S.R. Analysis of Sporulation in Bacillus cereus Biovar anthracis Which Contains an Insertion in the Gene for the Sporulation Factor σK. Pathogens 2023, 12, 1442. https://doi.org/10.3390/pathogens12121442
Gummelt C, Dupke S, Howaldt S, Zimmermann F, Scholz HC, Laue M, Klee SR. Analysis of Sporulation in Bacillus cereus Biovar anthracis Which Contains an Insertion in the Gene for the Sporulation Factor σK. Pathogens. 2023; 12(12):1442. https://doi.org/10.3390/pathogens12121442
Chicago/Turabian StyleGummelt, Constanze, Susann Dupke, Sabine Howaldt, Fee Zimmermann, Holger C. Scholz, Michael Laue, and Silke R. Klee. 2023. "Analysis of Sporulation in Bacillus cereus Biovar anthracis Which Contains an Insertion in the Gene for the Sporulation Factor σK" Pathogens 12, no. 12: 1442. https://doi.org/10.3390/pathogens12121442
APA StyleGummelt, C., Dupke, S., Howaldt, S., Zimmermann, F., Scholz, H. C., Laue, M., & Klee, S. R. (2023). Analysis of Sporulation in Bacillus cereus Biovar anthracis Which Contains an Insertion in the Gene for the Sporulation Factor σK. Pathogens, 12(12), 1442. https://doi.org/10.3390/pathogens12121442

