Spatiotemporal and Quantitative Monitoring of the Fate of ‘Candidatus Phytoplasma Solani’ in Tomato Plants Infected by Grafting
Abstract
1. Introduction
2. Results
2.1. ‘Ca. P. solani’ Detection
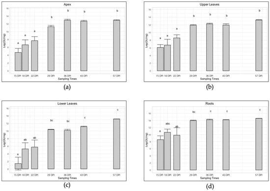
2.2. ‘Ca. P. solani’ Quantification
3. Discussion
4. Materials and Methods
4.1. Phytoplasma Strain, Plant Material and Grafting
4.2. Sampling Scheme
4.3. Nucleic Acid Extraction and ‘Ca. P. solani’ Detection
4.4. ‘Ca. P. solani’ Quantification
5. Data Analysis
Supplementary Materials
Author Contributions
Funding
Institutional Review Board Statement
Informed Consent Statement
Data Availability Statement
Acknowledgments
Conflicts of Interest
References
- Weintraub, P.G.; Beanland, L. Insect vectors of phytoplasmas. Annu. Rev. Entomol. 2006, 51, 91–111. [Google Scholar] [CrossRef] [PubMed]
- Hogenhout, S.A.; Loria, R. Virulence mechanisms of gram-positive plant pathogenic bacteria. Curr. Opin. Plant Biol. 2008, 11, 449–456. [Google Scholar] [CrossRef] [PubMed]
- Oshima, K.; Maejima, K.; Namba, S. Genomic and evolutionary aspects of phytoplasmas. Front. Microbiol. 2013, 4, 230. [Google Scholar] [CrossRef]
- Quaglino, F.; Zhao, Y.; Casati, P.; Bulgari, D.; Bianco, P.A.; Wei, W.; Davis, R.E. ‘Candidatus Phytoplasma solani’, a novel taxon associated with stolbur- and bois noir-related diseases of plants. Int. J. Syst. Evol. Micr. 2013, 63, 2879–2894. [Google Scholar] [CrossRef]
- Davis, R.E.; Dally, E.L.; Gundersen, D.E.; Lee, I.-M.; Habili, N. ‘Candidatus Phytoplasma australiense’ a new phytoplasma taxon associated with australian grapevine yellows. Int. J. Syst. Bacteriol. 1997, 47, 262–269. [Google Scholar] [CrossRef] [PubMed]
- Sawayanagi, T.; Horikoshi, N.; Kanehira, T.; Shinohara, M.; Bertaccini, A.; Cousin, M.-T.; Hiruki, C.; Namba, S. ‘Candidatus Phytoplasma japonicum’, a new phytoplasma taxon associated with Japanese hydrangea phyllody. Int. J. Syst. Evol. Micr. 1999, 49, 1275–1285. [Google Scholar] [CrossRef]
- Valiunas, D. ‘Candidatus Phytoplasma fragariae’, a novel phytoplasma taxon discovered in yellows diseased strawberry, fragariaxananassa. Int. J. Syst. Evol. Micr. 2006, 56, 277–281. [Google Scholar] [CrossRef] [PubMed]
- Martini, M.; Marcone, C.; Mitrović, J.; Maixner, M.; Delić, D.; Myrta, A.; Ermacora, P.; Bertaccini, A.; Duduk, B. ‘Candidatus Phytoplasma convolvuli’, a new phytoplasma taxon associated with bindweed yellows in four European countries. Int. J. Syst. Evol. Micr. 2012, 62, 2910–2915. [Google Scholar] [CrossRef]
- Langer, M.; Maixner, M. Molecular characterisation of grapevine yellows associated phytoplasmas of the stolbur-group based on RFLP-analysis of non-ribosomal DNA. VITIS J. Grapevine Res. 2015, 191. [Google Scholar]
- Cvrković, T.; Jović, J.; Mitrović, M.; Krstić, O.; Toševski, I. Experimental and molecular evidence of Reptalus panzeri as a natural vector of Bois Noir. Plant Pathol. 2014, 63, 42–53. [Google Scholar] [CrossRef]
- Riedle-Bauer, M.; Sára, A.; Regner, F. Transmission of a stolbur phytoplasma by the Agalliinae leafhopper Anaceratagallia ribauti (Hemiptera, Auchenorrhyncha, Cicadellidae). J. Phytopathol. 2008, 156, 687–690. [Google Scholar] [CrossRef]
- Kumari, S.; Nagendran, K.; Rai, A.B.; Singh, B.; Rao, G.P.; Bertaccini, A. Global status of phytoplasma diseases in vegetable crops. Front. Microbiol. 2019, 10, 1349. [Google Scholar] [CrossRef] [PubMed]
- Hemmati, C.; Nikooei, M.; Al-Subhi, A.M.; Al-Sadi, A.M. History and current status of phytoplasma diseases in the Middle East. Biology 2021, 10, 226. [Google Scholar] [CrossRef]
- Martini, M.; Duška, D.; Liefting, L.; Montano, H. Phytoplasmas infecting vegetable, pulse and oil crops. In Phytoplasmas: Plant pathogenic Bacteria-I; Rao, G.P., Bertaccini, A., Fiore, N., Liefting, L.W., Eds.; Springer: Singapore, 2018; pp. 31–65. [Google Scholar]
- The Tomato Genome Consortium. The tomato genome sequence provides insights into fleshy fruit evolution. Nature 2012, 485, 635–641. [Google Scholar] [CrossRef] [PubMed]
- Pracros, P.; Renaudin, J.; Eveillard, S.; Mouras, A.; Hernould, M. Tomato flower abnormalities induced by stolbur phytoplasma infection are associated with changes of expression of floral development genes. MPMI 2006, 19, 62–68. [Google Scholar] [CrossRef] [PubMed]
- Pracros, P.; Hernould, M.; Teyssier, E.; Eveillard, S.; Renaudin, J. Stolbur phytoplasma-infected tomato showed alteration of SlDEF methylation status and deregulation of methyltransferase genes expression. Bull. Insect 2007, 60, 221–222. [Google Scholar]
- Machenaud, J.; Henry, R.; Dieuaide-Noubhani, M.; Pracros, P.; Renaudin, J.; Eveillard, S. Gene expression and enzymatic activity of invertases and sucrose synthase in Spiroplasma citri or stolbur phytoplasma infected plants. Bull. Insect 2007, 60, 219–220. [Google Scholar]
- Buxa, S.V.; Degola, F.; Polizzotto, R.; De Marco, F.; Loschi, A.; Kogel, K.-H.; di Toppi, L.S.; van Bel, A.J.E.; Musetti, R. Phytoplasma infection in tomato is associated with re-organization of plasma membrane, ER stacks, and actin filaments in sieve elements. Front. Plant Sci. 2015, 6. [Google Scholar] [CrossRef]
- Aryan, A.; Musetti, R.; Riedle-Bauer, M.; Brader, G. Phytoplasma transmission by heterologous grafting influences viability of the scion and results in early symptom development in periwinkle rootstock. J. Phytopathol. 2016, 164, 631–640. [Google Scholar] [CrossRef]
- De Marco, F.; Batailler, B.; Thorpe, M.R.; Razan, F.; Le Hir, R.; Vilaine, F.; Bouchereau, A.; Martin-Magniette, M.-L.; Eveillard, S.; Dinant, S. Involvement of SUT1 and SUT2 sugar transporters in the impairment of sugar transport and changes in phloem exudate contents in phytoplasma-infected plants. IJMS 2021, 22, 745. [Google Scholar] [CrossRef]
- Pacifico, D.; Galetto, L.; Rashidi, M.; Abbà, S.; Palmano, S.; Firrao, G.; Bosco, D.; Marzachì, C. Decreasing global transcript levels over time suggest that phytoplasma cells enter stationary phase during plant and insect colonization. Appl. Environ. Microbiol. 2015, 81, 2591–2602. [Google Scholar] [CrossRef]
- Mazraie, M.A.; Izadpanah, K.; Hamzehzarghani, H.; Salehi, M.; Faghihi, M.M. Spread and colonization pattern of ‘Candidatus Phytoplasma aurantifolia’ in lime plants Citrus aurantifolia as revealed by real-time PCR assay. J. Plant Pathol. 2019, 101, 629–637. [Google Scholar] [CrossRef]
- Singh, V.; Kumar, S.; Lakhanpaul, S. Differential distribution of phytoplasma during phyllody progression in sesame (Sesamum indicum L.) under field conditions: An important consideration for effective sampling of diseased tissue. Crop Prot. 2018, 110, 288–294. [Google Scholar] [CrossRef]
- Saracco, P.; Bosco, D.; Veratti, F.; Marzachì, C. Quantification over time of chrysanthemum yellows phytoplasma (16Sr-I) in leaves and roots of the host plant Chrysanthemum carinatum (Schousboe) following inoculation with its insect vector. Physiol. Mol. Plant Pathol. 2005, 67, 212–219. [Google Scholar] [CrossRef]
- Wei, W.; Kakizawa, S.; Suzuki, S.; Jung, H.-Y.; Nishigawa, H.; Miyata, S.; Oshima, K.; Ugaki, M.; Hibi, T.; Namba, S. In planta dynamic analysis of onion yellows phytoplasma using localized inoculation by insect transmission. Phytopathology 2004, 94, 244–250. [Google Scholar] [CrossRef] [PubMed]
- Constable, F.E.; Gibb, K.S.; Symons, R.H. Seasonal distribution of phytoplasmas in Australian grapevines. Plant Pathol. 2003, 52, 267–276. [Google Scholar] [CrossRef]
- Marzachí, C.; Bosco, D. Relative quantification of chrysanthemum yellows (16Sr I) phytoplasma in its plant and insect host using real-time polymerase chain reaction. MB 2005, 30, 117–128. [Google Scholar] [CrossRef]
- Christensen, N.M.; Nicolaisen, M.; Hansen, M.; Schulz, A. Distribution of phytoplasmas in infected plants as revealed by real-time PCR and bioimaging. MPMI 2004, 17, 1175–1184. [Google Scholar] [CrossRef] [PubMed]
- Lherminier, J.; Courtois, M.; Caudwell, A. Determination of the distribution and multiplication sites of Flavescence dorée mycoplasma-like-organisms in the host plant Vicia faba by ELISA and immunocytochemistry. Physiol. Mol. Plant Pathol. 1994, 45, 125–138. [Google Scholar] [CrossRef]
- Rudzinska-Langwald, A.; Kaminska, M. Cytopathological evidence for transport of phytoplasma in infected plants. Acta Soc. Bot. Pol. 1999, 68, 261–266. [Google Scholar] [CrossRef][Green Version]
- van Bel, A.J.E.; Musetti, R. Sieve element biology provides leads for research on phytoplasma lifestyle in plant hosts. J. Ex. Bot. 2019, 70, 3737–3755. [Google Scholar] [CrossRef] [PubMed]
- Buoso, S.; Loschi, A. Micro-Tom Tomato Grafting for Stolbur-Phytoplasma Transmission: Different Grafting Techniques. In Phytoplasmas; Musetti, R., Pagliari, L., Eds.; Methods in Molecular Biology; Springer: New York, NY, USA, 2019; Volume 1875, pp. 9–19. [Google Scholar]
- Martini, M.; Musetti, R.; Grisan, S.; Polizzotto, R.; Borselli, S.; Pavan, F.; Osler, R. DNA-dependent detection of the grapevine fungal endophytes Aureobasidium pullulans and Epicoccum nigrum. Plant Dis. 2009, 93, 993–998. [Google Scholar] [CrossRef] [PubMed]
- Doyle, J.; Doyle, J. Isolation of plant DNA from fresh tissue. Focus 1990, 12, 13–15. [Google Scholar]
- Saccardo, F.; Martini, M.; Palmano, S.; Ermacora, P.; Scortichini, M.; Loi, N.; Firrao, G. Genome drafts of four phytoplasma strains of the ribosomal group 16SrIII. Microbiology 2012, 158, 2805–2814. [Google Scholar] [CrossRef]
- Baric, S.; Berger, J.; Cainelli, C.; Kerschbamer, C.; Letschka, T.; Dalla Via, J. Seasonal colonisation of apple trees by ‘Candidatus Phytoplasma mali’ revealed by a new quantitative TaqMan real-time PCR approach. Eur. J. Plant Pathol. 2011, 129, 455–467. [Google Scholar] [CrossRef]
- RStudio, RStudio Team. RStudio: Integrated Development for R. RStudio, PBC, Boston, MA, USA. 2020. Available online: http://www.rstudio.com/ (accessed on 10 June 2021).




| Date | Apex | Upper Leaves | Lower Leaves | Roots |
|---|---|---|---|---|
| GU/ng Genomic DNA ± SE | ||||
| 12 June 2020 15 dpi | 6.95 × 102 ± 5.90 × 102 | 1.40 × 103 ± 1.08 × 103 | 7.00 × 101 ± 4.23 × 101 | 1.55 × 104 ± 6.43 × 103 |
| 15 June 2020 18 dpi | 2.89 × 103 ± 1.36 × 103 | 1.17 × 104 ± 9.14 × 103 | 2.12 × 103 ± 1.19 × 103 | 1.12 × 105 ± 5.34 × 104 |
| 19 June 2020 22 dpi | 6.71 × 103 ± 3.52 × 103 | 1.58 × 104 ± 1.02 × 104 | 3.44 × 103 ± 2.61 × 103 | 3.93 × 105 ± 1.95 × 105 |
| 26 June 2020 29 dpi | 1.01 × 105 ± 3.63 × 104 | 1.55 × 105 ± 2.43 × 104 | 3.29 × 104 ± 2.53 × 103 | 1.21 × 106 ± 1.58 × 105 |
| 3 July 2020 36 dpi | 4.75 × 105 ± 1.42 × 105 | 2.23 × 105 ± 3.86 × 104 | 3.12 × 104 ± 9.63 × 103 | 1.58 × 106 ± 3.14 × 105 |
| 10 July 2020 43 dpi | 3.48 × 105 ± 5.83 × 104 | 2.02 × 105 ± 7.49 × 104 | 7.31 × 104 ± 1.17 × 104 | 1.47 × 106 ± 8.55 × 104 |
| 24 July 2020 57 dpi | 4.19 × 105 ± 5.61 × 104 | 5.84 × 105 ± 5.00 × 104 | 4.87 × 105 ± 4.57 × 104 | 2.18 × 106 ± 6.18 × 104 |
Publisher’s Note: MDPI stays neutral with regard to jurisdictional claims in published maps and institutional affiliations. |
© 2021 by the authors. Licensee MDPI, Basel, Switzerland. This article is an open access article distributed under the terms and conditions of the Creative Commons Attribution (CC BY) license (https://creativecommons.org/licenses/by/4.0/).
Share and Cite
Carminati, G.; Brusa, V.; Loschi, A.; Ermacora, P.; Martini, M. Spatiotemporal and Quantitative Monitoring of the Fate of ‘Candidatus Phytoplasma Solani’ in Tomato Plants Infected by Grafting. Pathogens 2021, 10, 811. https://doi.org/10.3390/pathogens10070811
Carminati G, Brusa V, Loschi A, Ermacora P, Martini M. Spatiotemporal and Quantitative Monitoring of the Fate of ‘Candidatus Phytoplasma Solani’ in Tomato Plants Infected by Grafting. Pathogens. 2021; 10(7):811. https://doi.org/10.3390/pathogens10070811
Chicago/Turabian StyleCarminati, Gaia, Vittorio Brusa, Alberto Loschi, Paolo Ermacora, and Marta Martini. 2021. "Spatiotemporal and Quantitative Monitoring of the Fate of ‘Candidatus Phytoplasma Solani’ in Tomato Plants Infected by Grafting" Pathogens 10, no. 7: 811. https://doi.org/10.3390/pathogens10070811
APA StyleCarminati, G., Brusa, V., Loschi, A., Ermacora, P., & Martini, M. (2021). Spatiotemporal and Quantitative Monitoring of the Fate of ‘Candidatus Phytoplasma Solani’ in Tomato Plants Infected by Grafting. Pathogens, 10(7), 811. https://doi.org/10.3390/pathogens10070811

