An Endophytic Fungi-Based Biostimulant Modulates Volatile and Non-Volatile Secondary Metabolites and Yield of Greenhouse Basil (Ocimum basilicum L.) through Variable Mechanisms Dependent on Salinity Stress Level
Abstract
1. Introduction
2. Results
2.1. AMF Root Colonization and Trichoderma spp. in the Substrate
2.2. Morphological Parameters, Fresh Yield and Dry Biomass Production
2.3. Physiological Parameters
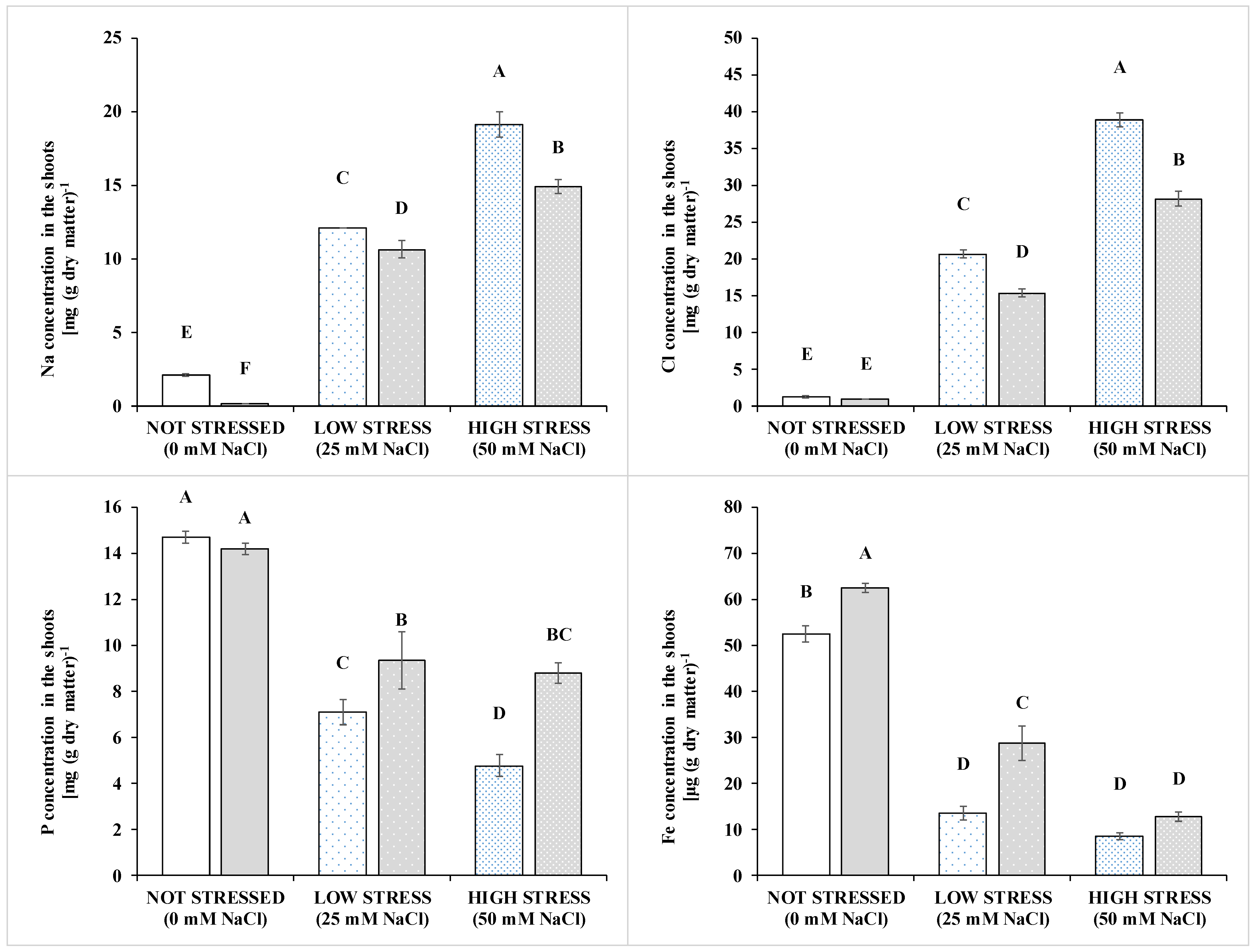
2.4. Leaf Mineral Composition
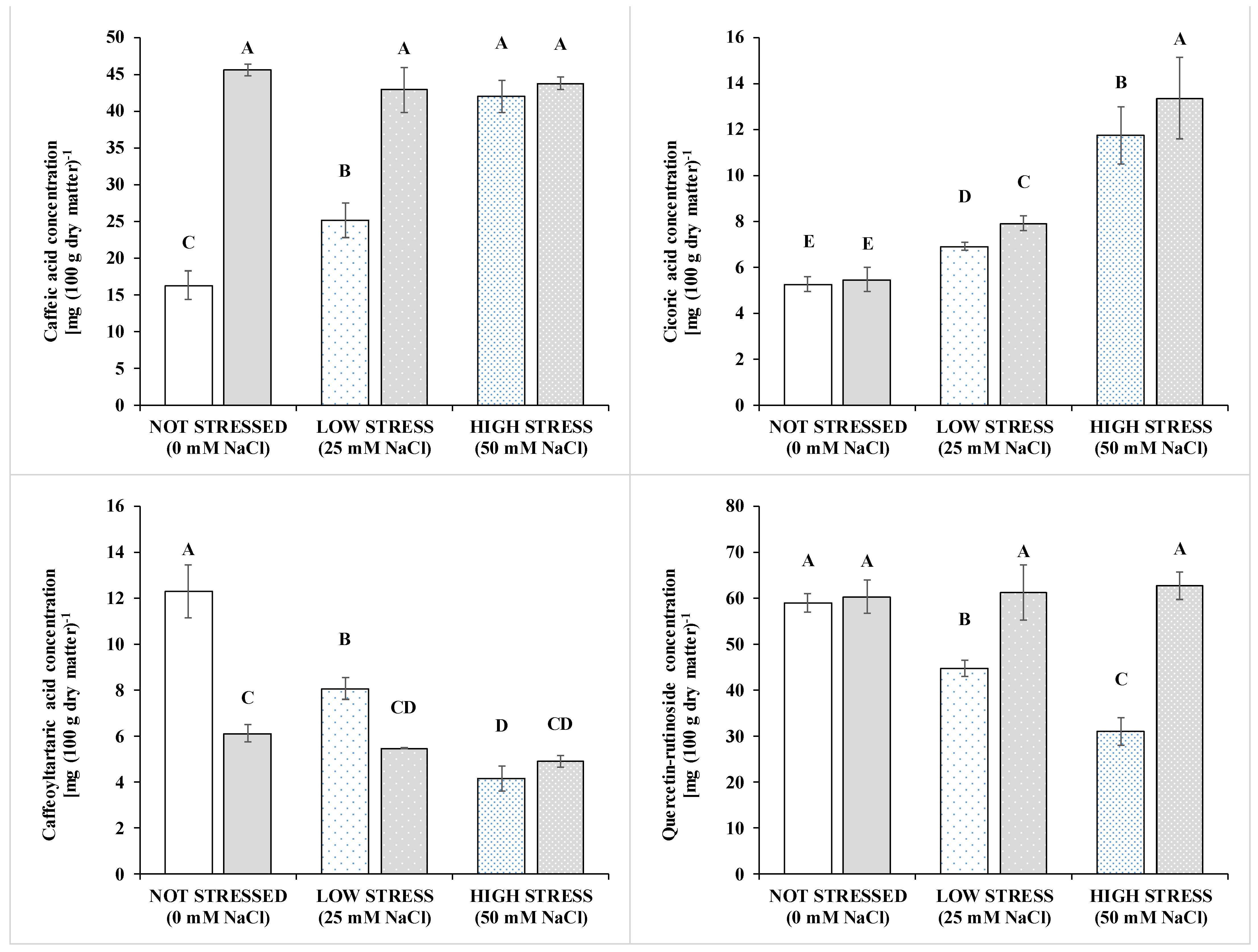
2.5. Antioxidant Activity and Target Polyphenols Profile
2.6. Volatile Organic Compounds
2.7. Multivariate Analyses of the Treatment Role on the Basil Responses
3. Discussion
3.1. Role of the Inoculum in the Primary Metabolism, Biomass and Nutrient Accumulation
3.2. Role of the Inoculum on the Plant Quality
4. Materials and Methods
4.1. Biological Material and Experimental Design
4.2. Biometric Measurements and Leaf Analyses
4.3. Hydrophilic Antioxidant Activity and Quantification of Target Polyphenols
4.4. Arbuscular Mycorrhizal Fungi Root Colonization and Quantification of Trichoderma
4.5. Analysis of Volatile Compounds
4.6. Computation and Statistical Analysis
5. Conclusions
Supplementary Materials
Author Contributions
Funding
Institutional Review Board Statement
Informed Consent Statement
Data Availability Statement
Acknowledgments
Conflicts of Interest
References
- Schippmann, U.W.E.; Leaman, D.; Cunningham, A.B. A Comparison of Cultivation and Wild Collection of Medicinal and Aromatic Plants under Sustainability Aspects. In Medicinal and Aromatic Plants; Bogers, R.J., Craker, L.E., Lange, D., Eds.; Springer: Berlin/Heidelberg, Germany, 2006; pp. 75–95. [Google Scholar]
- Lubbe, A.; Verpoorte, R. Cultivation of medicinal and aromatic plants for specialty industrial materials. Ind. Crops Prod. 2011, 34, 785–801. [Google Scholar] [CrossRef]
- Makri, O.; Kintzios, S. Ocimum sp. (Basil): Botany, Cultivation, Pharmaceutical Properties, and Biotechnology. J. Herbs. Spices Med. Plants 2008, 13, 123–150. [Google Scholar] [CrossRef]
- Shahrajabian, M.H.; Sun, W.; Cheng, Q. Chemical components and pharmacological benefits of Basil (Ocimum basilicum): A review. Int. J. Food Prop. 2020, 23, 1961–1970. [Google Scholar] [CrossRef]
- Said, M.E.-A.; Militello, M.; Saia, S.; Settanni, L.; Aleo, A.; Mammina, C.; Bombarda, I.; Vanloot, P.; Roussel, C.; Dupuy, N. Artemisia arborescens Essential Oil Composition, Enantiomeric Distribution, and Antimicrobial Activity from Different Wild Populations from the Mediterranean Area. Chem. Biodivers. 2016, 13, 1095–1102. [Google Scholar] [CrossRef]
- Lazzara, S.; Carrubba, A.; Napoli, E. Variability of Hypericins and Hyperforin in Hypericum Species from the Sicilian Flora. Chem. Biodivers. 2020, 17, e1900596. [Google Scholar] [CrossRef]
- Lazzara, S.; Militello, M.; Carrubba, A.; Napoli, E.; Saia, S. Arbuscular mycorrhizal fungi altered the hypericin, pseudohypericin, and hyperforin content in flowers of Hypericum perforatum grown under contrasting P availability in a highly organic substrate. Mycorrhiza 2017, 27, 345–354. [Google Scholar] [CrossRef]
- Carrubba, A.; Militello, M. Nonchemical weeding of medicinal and aromatic plants. Agron. Sustain. Dev. 2012, 33, 551–561. [Google Scholar] [CrossRef]
- Bisbis, M.B.; Gruda, N.; Blanke, M. Potential impacts of climate change on vegetable production and product quality—A review. J. Clean. Prod. 2018, 170, 1602–1620. [Google Scholar] [CrossRef]
- Wang, Y.; Frei, M. Stressed food—The impact of abiotic environmental stresses on crop quality. Agric. Ecosyst. Environ. 2011, 141, 271–286. [Google Scholar] [CrossRef]
- Rouphael, Y.; Cardarelli, M.; Bonini, P.; Colla, G. Synergistic Action of a Microbial-based Biostimulant and a Plant Derived-Protein Hydrolysate Enhances Lettuce Tolerance to Alkalinity and Salinity. Front. Plant Sci. 2017, 8, 131. [Google Scholar] [CrossRef]
- Rouphael, Y.; Cardarelli, M.; Bassal, A.; Leonardi, C.; Giuffrida, F.; Colla, G. Vegetable quality as affected by genetic, agronomic and environmental factors. J. Food Agric. Environ. 2012, 10, 680–688. [Google Scholar]
- Gupta, A.; Singh, P.P.; Singh, P.; Singh, K.; Singh, A.V.; Singh, S.K.; Kumar, A. Medicinal Plants under Climate Change: Impacts on Pharmaceutical Properties of Plants. In Climate Change and Agricultural Ecosystems; Elsevier: Amsterdam, The Netherlands, 2019; pp. 181–209. [Google Scholar]
- Paton, A.; Harley, R.M.; Harley, M.M. Production systems of sweet basil. In Basil: The Genus Ocimum; CRC Press: Boca Raton, FL, USA, 1999; pp. 1–38. [Google Scholar]
- Khan, K.; Verma, R.K. Diversifying cropping systems with aromatic crops for better productivity and profitability in subtropical north Indian plains. Ind. Crops Prod. 2018, 115, 104–110. [Google Scholar] [CrossRef]
- Babazadeh, H.; Tabrizi, M.S.; Homaee, M. Assessing and Modifying Macroscopic Root Water Extraction Basil (Ocimum basilicum) Models under Simultaneous Water and Salinity Stresses. Soil Sci. Soc. Am. J. 2017, 81, 10–19. [Google Scholar] [CrossRef]
- Tolay, I. The impact of different Zinc (Zn) levels on growth and nutrient uptake of Basil (Ocimum basilicum L.) grown under salinity stress. PLoS ONE 2021, 16, e0246493. [Google Scholar] [CrossRef] [PubMed]
- Enteshari, S.; Hajbagheri, S. Effects of mycorrhizal fungi on some physiological characteristics of salt stressed Ocimum basilicum L. Iran. J. Plant Physiol. 2011, 1, 215–222. [Google Scholar]
- Scagel, C.F.; Bryla, D.R.; Lee, J. Salt Exclusion and Mycorrhizal Symbiosis Increase Tolerance to NaCl and CaCl2 Salinity in ‘Siam Queen’ Basil. HortScience 2017, 52, 278–287. [Google Scholar] [CrossRef]
- Scagel, C.F.; Lee, J.; Mitchell, J.N. Salinity from NaCl changes the nutrient and polyphenolic composition of basil leaves. Ind. Crops Prod. 2019, 127, 119–128. [Google Scholar] [CrossRef]
- Elhindi, K.; Sharaf El Din, A.; Abdel-Salam, E.; Elgorban, A. Amelioration of salinity stress in different basil (Ocimum basilicum L.) varieties by vesicular-arbuscular mycorrhizal fungi. Acta Agric. Scand. Sect. B Soil Plant Sci. 2016, 66, 583–592. [Google Scholar]
- Maia, S.S.S.; da Silva, R.C.P.; de Oliveira, A.F.; da Silva, O.M.; da Silva, A.C.; dos Candido, S.W. Responses of basil cultivars to irrigation water salinity. Rev. Bras. Eng. Agrícola Ambient. 2017, 21, 44–49. [Google Scholar] [CrossRef]
- Menezes, R.V.; Azevedo Neto, A.D.; Gheyi, H.R.; Cova, A.M.W.; Silva, H.H.B. Tolerance of Basil Genotypes to Salinity. J. Agric. Sci. 2017, 9, 283. [Google Scholar] [CrossRef]
- Elhindi, K.M.; El-Din, A.S.; Elgorban, A.M. The impact of arbuscular mycorrhizal fungi in mitigating salt-induced adverse effects in sweet basil (Ocimum basilicum L.). Saudi J. Biol. Sci. 2017, 24, 170–179. [Google Scholar] [CrossRef]
- Cruz, L.R.O.; Polyzos, N.; Fernandes, Â.; Petropoulos, S.A.; Di Gioia, F.; Dias, M.I.; Pinela, J.; Kostić, M.; Soković, M.; Ferreira, I.C.F.R.; et al. Effect of Saline Conditions on Chemical Profile and the Bioactive Properties of Three Red-Colored Basil Cultivars. Agronomy 2020, 10, 1824. [Google Scholar] [CrossRef]
- Putievsky, E.; Galambosi, B. Production systems of sweet basil. In Basil: The Genus Ocimum; CRC Press: Boca Raton, FL, USA, 1999; pp. 39–61. [Google Scholar]
- Landi, M.; Araniti, F.; Flamini, G.; Lo Piccolo, E.; Trivellini, A.; Abenavoli, M.R.; Guidi, L. “Help is in the air”: Volatiles from salt-stressed plants increase the reproductive success of receivers under salinity. Planta 2020, 251, 48. [Google Scholar] [CrossRef] [PubMed]
- Barbieri, G.; Vallone, S.; Orsini, F.; Paradiso, R.; De Pascale, S.; Negre-Zakharov, F.; Maggio, A. Stomatal density and metabolic determinants mediate salt stress adaptation and water use efficiency in basil (Ocimum basilicum L.). J. Plant Physiol. 2012, 169, 1737–1746. [Google Scholar] [CrossRef]
- Mancarella, S.; Orsini, F.; Van Oosten, M.J.; Sanoubar, R.; Stanghellini, C.; Kondo, S.; Gianquinto, G.; Maggio, A. Leaf sodium accumulation facilitates salt stress adaptation and preserves photosystem functionality in salt stressed Ocimum basilicum. Environ. Exp. Bot. 2016, 130, 162–173. [Google Scholar] [CrossRef]
- Johnson, N.C.; Gibson, K.S. understanding Multilevel Selection May Facilitate Management of Arbuscular Mycorrhizae in Sustainable Agroecosystems. Front. Plant Sci. 2021, 11, 2316. [Google Scholar] [CrossRef] [PubMed]
- Babalola, O.O. Beneficial bacteria of agricultural importance. Biotechnol. Lett. 2010, 32, 1559–1570. [Google Scholar] [CrossRef]
- Saia, S.; Aissa, E.; Luziatelli, F.; Ruzzi, M.; Colla, G.; Ficca, A.G.; Cardarelli, M.; Rouphael, Y. Growth-promoting bacteria and arbuscular mycorrhizal fungi differentially benefit tomato and corn depending upon the supplied form of phosphorus. Mycorrhiza 2020, 30, 133–147. [Google Scholar] [CrossRef]
- Chandrasekaran, M.; Chanratana, M.; Kim, K.; Seshadri, S.; Sa, T. Impact of Arbuscular Mycorrhizal Fungi on Photosynthesis, Water Status, and Gas Exchange of Plants under Salt Stress—A Meta-Analysis. Front. Plant Sci. 2019, 10, 457. [Google Scholar] [CrossRef] [PubMed]
- Tripathi, P.; Singh, P.C.; Mishra, A.; Chauhan, P.S.; Dwivedi, S.; Bais, R.T.; Tripathi, R.D. Trichoderma: A potential bioremediator for environmental clean up. Clean Technol. Environ. Policy 2013, 15, 541–550. [Google Scholar] [CrossRef]
- Rouphael, Y.; Franken, P.; Schneider, C.; Schwarz, D.; Giovannetti, M.; Agnolucci, M.; De Pascale, S.; Bonini, P.; Colla, G. Arbuscular mycorrhizal fungi act as biostimulants in horticultural crops. Sci. Hortic. 2015, 196, 91–108. [Google Scholar] [CrossRef]
- Fiorentino, N.; Ventorino, V.; Woo, S.L.; Pepe, O.; De Rosa, A.; Gioia, L.; Romano, I.; Lombardi, N.; Napolitano, M.; Colla, G.; et al. Trichoderma-Based Biostimulants Modulate Rhizosphere Microbial Populations and Improve N Uptake Efficiency, Yield, and Nutritional Quality of Leafy Vegetables. Front. Plant Sci. 2018, 9, 743. [Google Scholar] [CrossRef]
- Evelin, H.; Devi, T.S.; Gupta, S.; Kapoor, R. Mitigation of Salinity Stress in Plants by Arbuscular Mycorrhizal Symbiosis: Current understanding and New Challenges. Front. Plant Sci. 2019, 10, 470. [Google Scholar] [CrossRef] [PubMed]
- Sood, M.; Kapoor, D.; Kumar, V.; Sheteiwy, M.S.; Ramakrishnan, M.; Landi, M.; Araniti, F.; Sharma, A. Trichoderma: The “Secrets” of a Multitalented Biocontrol Agent. Plants 2020, 9, 762. [Google Scholar] [CrossRef]
- Chandrasekaran, M.; Boughattas, S.; Hu, S.; Oh, S.-H.; Sa, T. A meta-analysis of arbuscular mycorrhizal effects on plants grown under salt stress. Mycorrhiza 2014, 24, 611–625. [Google Scholar] [CrossRef] [PubMed]
- Colla, G.; Rouphael, Y.; Di Mattia, E.; El-Nakhel, C.; Cardarelli, M. Co-inoculation of Glomus intraradices and Trichoderma atroviride acts as a biostimulant to promote growth, yield and nutrient uptake of vegetable crops. J. Sci. Food Agric. 2015, 95, 1706–1715. [Google Scholar] [CrossRef]
- Nzanza, B.; Marais, D.; Soundy, P. Response of tomato (Solanum lycopersicum L.) to nursery inoculation with Trichoderma harzianum and arbuscular mycorrhizal fungi under field conditions. Acta Agric. Scand. Sect. B Soil Plant Sci. 2012, 62, 209–215. [Google Scholar]
- Metwally, R.A.; Soliman, S.A.; Abdel Latef, A.A.H.; Abdelhameed, R.E. The individual and interactive role of arbuscular mycorrhizal fungi and Trichoderma viride on growth, protein content, amino acids fractionation, and phosphatases enzyme activities of onion plants amended with fish waste. Ecotoxicol. Environ. Saf. 2021, 214, 112072. [Google Scholar] [CrossRef]
- Szczałba, M.; Kopta, T.; Gąstoł, M.; Sękara, A. Comprehensive insight into arbuscular mycorrhizal fungi, Trichoderma spp. and plant multilevel interactions with emphasis on biostimulation of horticultural crops. J. Appl. Microbiol. 2019, 127, 630–647. [Google Scholar] [CrossRef]
- Saia, S.; Fragasso, M.; De Vita, P.; Beleggia, R. Metabolomics provide valuable insight for the study of durum wheat: A review. J. Agric. Food Chem. 2019, 67, 3069–3085. [Google Scholar] [CrossRef]
- Banchio, E.; Xie, X.; Zhang, H.; Paré, P.W. Soil Bacteria Elevate Essential Oil Accumulation and Emissions in Sweet Basil. J. Agric. Food Chem. 2009, 57, 653–657. [Google Scholar] [CrossRef] [PubMed]
- Toussaint, J.-P.; Smith, F.A.; Smith, S.E. Arbuscular mycorrhizal fungi can induce the production of phytochemicals in sweet basil irrespective of phosphorus nutrition. Mycorrhiza 2007, 17, 291–297. [Google Scholar] [CrossRef] [PubMed]
- Mauch-Mani, B.; Baccelli, I.; Luna, E.; Flors, V. Defense Priming: An Adaptive Part of Induced Resistance. Annu. Rev. Plant Biol. 2017, 68, 485–512. [Google Scholar] [CrossRef]
- Golpayegani, A.; Tilebeni, H.G. Effect of Biological Fertilizers on Biochemical and Physiological Parameters of Basil (Ociumum basilicm L.) Medicine Plant. Am.-Euras. J. Agric. Environ. Sci. 2011, 11, 411–416. [Google Scholar]
- Heidari, M.; Golpayegani, A. Effects of water stress and inoculation with plant growth promoting rhizobacteria (PGPR) on antioxidant status and photosynthetic pigments in basil (Ocimum basilicum L.). J. Saudi Soc. Agric. Sci. 2012, 11, 57–61. [Google Scholar] [CrossRef]
- Abdel-Rahman, S.S.A.; Abdel-Kader, A.A.S.; Khalil, S.E. Response of three sweet basil cultivars to inoculation with Bacillus subtilis and arbuscular mycorrhizal fungi under salt stress conditions. Nat. Sci. 2011, 9, 93–111. [Google Scholar]
- Ahl, S.A.; Omer, E.A. Medicinal and aromatic plants production under salt stress. A review. Herba Pol. 2011, 57, 72–87. [Google Scholar]
- Tanaka, H.; Yamada, S.; Masunaga, T.; Yamamoto, S.; Tsuji, W.; Murillo-Amador, B. Comparison of nutrient uptake and antioxidative response among four Labiatae herb species under salt stress condition. Soil Sci. Plant Nutr. 2018, 64, 589–597. [Google Scholar] [CrossRef]
- Tarchoune, I.; Degl’Innocenti, E.; Kaddour, R.; Guidi, L.; Lachaâl, M.; Navari-Izzo, F.; Ouerghi, Z. Effects of NaCl or Na2SO4 salinity on plant growth, ion content and photosynthetic activity in Ocimum basilicum L. Acta Physiol. Plant. 2012, 34, 607–615. [Google Scholar] [CrossRef]
- Attia, H.; Karray, N.; Ellili, A.; Msilini, N.; Lachaâl, M. Sodium transport in basil. Acta Physiol. Plant. 2009, 31, 1045–1051. [Google Scholar] [CrossRef]
- Saia, S.; Colla, G.; Raimondi, G.; Di Stasio, E.; Cardarelli, M.; Bonini, P.; Vitaglione, P.; De Pascale, S.; Rouphael, Y. An endophytic fungi-based biostimulant modulated lettuce yield, physiological and functional quality responses to both moderate and severe water limitation. Sci. Hortic. 2019, 256, 108595. [Google Scholar] [CrossRef]
- Singh, V.; Upadhyay, R.S.; Sarma, B.K.; Singh, H.B. Trichoderma asperellum spore dose depended modulation of plant growth in vegetable crops. Microbiol. Res. 2016, 193, 74–86. [Google Scholar] [CrossRef] [PubMed]
- Ważny, R.; Rozpądek, P.; Jędrzejczyk, R.J.; Śliwa, M.; Stojakowska, A.; Anielska, T.; Turnau, K. Does co-inoculation of Lactuca serriola with endophytic and arbuscular mycorrhizal fungi improve plant growth in a polluted environment? Mycorrhiza 2018, 28, 235–246. [Google Scholar] [CrossRef]
- Yousfi, S.; Márquez, A.J.; Betti, M.; Araus, J.L.; Serret, M.D. Gene expression and physiological responses to salinity and water stress of contrasting durum wheat genotypes. J. Integr. Plant Biol. 2016, 58, 48–66. [Google Scholar] [CrossRef] [PubMed]
- Egawa, C.; Kobayashi, F.; Ishibashi, M.; Nakamura, T.; Nakamura, C.; Takumi, S. Differential regulation of transcript accumulation and alternative splicing of a DREB2 homolog under abiotic stress conditions in common wheat. Genes Genet. Syst. 2006, 81, 77–91. [Google Scholar] [CrossRef] [PubMed]
- Borrelli, G.M.; Fragasso, M.; Nigro, F.; Platani, C.; Papa, R.; Beleggia, R.; Trono, D. Analysis of metabolic and mineral changes in response to salt stress in durum wheat (Triticum turgidum ssp. durum) genotypes, which differ in salinity tolerance. Plant Physiol. Biochem. 2018, 133, 57–70. [Google Scholar] [CrossRef]
- Bekhradi, F.; Delshad, M.; Marín, A.; Luna, M.C.; Garrido, Y.; Kashi, A.; Babalar, M.; Gil, M.I. Effects of salt stress on physiological and postharvest quality characteristics of different Iranian genotypes of basil. Hortic. Environ. Biotechnol. 2015, 56, 777–785. [Google Scholar] [CrossRef]
- Hammond, J.P.; White, P.J. Sucrose transport in the phloem: Integrating root responses to phosphorus starvation. J. Exp. Bot. 2008, 59, 93–109. [Google Scholar] [CrossRef] [PubMed]
- Li, L.; Li, S.-M.; Sun, J.-H.; Zhou, L.-L.; Bao, X.-G.; Zhang, H.-G.; Zhang, F.-S. Diversity enhances agricultural productivity via rhizosphere phosphorus facilitation on phosphorus-deficient soils. Proc. Natl. Acad. Sci. USA 2007, 104, 11192–11196. [Google Scholar] [CrossRef]
- Zhao, L.; Liu, Q.; Zhang, Y.Q.; Cui, Q.Y.; Liang, Y.C. Effect of acid phosphatase produced by Trichoderma asperellum Q1 on growth of Arabidopsis under salt stress. J. Integr. Agric. 2017, 16, 1341–1346. [Google Scholar] [CrossRef]
- Tandon, A.; Fatima, T.; Anshu; Shukla, D.; Tripathi, P.; Srivastava, S.; Singh, P.C. Phosphate solubilization by Trichoderma koningiopsis (NBRI-PR5) under abiotic stress conditions. J. King Saud Univ. Sci. 2020, 32, 791–798. [Google Scholar] [CrossRef]
- Qi, W.; Zhao, L. Study of the siderophore-producing Trichoderma asperellum Q1 on cucumber growth promotion under salt stress. J. Basic Microbiol. 2013, 53, 355–364. [Google Scholar] [CrossRef] [PubMed]
- Bonini, P.; Rouphael, Y.; Miras-Moreno, B.; Lee, B.; Cardarelli, M.; Erice, G.; Cirino, V.; Lucini, L.; Colla, G. A Microbial-Based Biostimulant Enhances Sweet Pepper Performance by Metabolic Reprogramming of Phytohormone Profile and Secondary Metabolism. Front. Plant Sci. 2020, 11, 567388. [Google Scholar] [CrossRef]
- Contreras-Cornejo, H.A.; Macías-Rodríguez, L.; Alfaro-Cuevas, R.; López-Bucio, J. Trichoderma spp. Improve Growth of Arabidopsis Seedlings under Salt Stress through Enhanced Root Development, Osmolite Production, and Na+ Elimination through Root Exudates. Mol. Plant Microbe Interact. 2014, 27, 503–514. [Google Scholar] [CrossRef]
- Jalali, F.; Zafari, D.; Salari, H. Volatile organic compounds of some Trichoderma spp. increase growth and induce salt tolerance in Arabidopsis thaliana. Fungal Ecol. 2017, 29, 67–75. [Google Scholar] [CrossRef]
- Zhang, F.; Wang, Y.; Liu, C.; Chen, F.; Ge, H.; Tian, F.; Yang, T.; Ma, K.; Zhang, Y. Trichoderma harzianum mitigates salt stress in cucumber via multiple responses. Ecotoxicol. Environ. Saf. 2019, 170, 436–445. [Google Scholar] [CrossRef] [PubMed]
- Azcón, R.; Ambrosano, E.; Charest, C. Nutrient acquisition in mycorrhizal lettuce plants under different phosphorus and nitrogen concentration. Plant Sci. 2003, 165, 1137–1145. [Google Scholar] [CrossRef]
- Watts-Williams, S.J.; Smith, F.A.; McLaughlin, M.J.; Patti, A.F.; Cavagnaro, T.R. How important is the mycorrhizal pathway for plant Zn uptake? Plant Soil 2015, 390, 157–166. [Google Scholar] [CrossRef]
- Hammer, E.C.; Nasr, H.; Pallon, J.; Olsson, P.A.; Wallander, H. Elemental composition of arbuscular mycorrhizal fungi at high salinity. Mycorrhiza 2011, 21, 117–129. [Google Scholar] [CrossRef]
- Zuccarini, P. Mycorrhizal infection ameliorates chlorophyll content and nutrient uptake of lettuce exposed to saline irrigation. Plant Soil Environ. 2008, 53, 283–289. [Google Scholar] [CrossRef]
- Hazzoumi, Z.; Moustakime, Y.; Hassan Elharchli, E.; Joutei, K.A. Effect of arbuscular mycorrhizal fungi (AMF) and water stress on growth, phenolic compounds, glandular hairs, and yield of essential oil in basil (Ocimum gratissimum L.). Chem. Biol. Technol. Agric. 2015, 2, 10. [Google Scholar] [CrossRef]
- Scagel, C.F.; Lee, J. Salinity sensitivity and mycorrhizal responsiveness of polyphenolics in ‘Siam Queen’ basil grown in soilless substrate. Sci. Hortic. 2020, 269, 109394. [Google Scholar] [CrossRef]
- Khalediyan, N.; Weisany, W.; Schenk, P.M. Arbuscular mycorrhizae and rhizobacteria improve growth, nutritional status and essential oil production in Ocimum basilicum and Satureja hortensis. Ind. Crops Prod. 2021, 160, 113163. [Google Scholar] [CrossRef]
- Thokchom, S.D.; Gupta, S.; Kapoor, R. Arbuscular mycorrhiza augments essential oil composition and antioxidant properties of Ocimum tenuiflorum L.—A popular green tea additive. Ind. Crops Prod. 2020, 153, 112418. [Google Scholar] [CrossRef]
- Rasouli-Sadaghiani, M.H.; Hassani, A.; Barin, M.; Danesh, Y.R.; Sefidkon, F. Effects of arbuscular mycorrhizal (AM) fungi on growth, essential oil production and nutrients uptake in basil. J. Med. Plants Res. 2010, 4, 2222–2228. [Google Scholar]
- Copetta, A.; Lingua, G.; Bardi, L.; Masoero, G.; Berta, G. Influence of arbuscular mycorrhizal fungi on growth and essential oil composition in Ocimum basilicum var. Genovese. Caryologia 2007, 60, 106–110. [Google Scholar]
- Hazzoumi, Z.; Moustakime, Y.; Joutei, K.A. Effect of arbuscular mycorrhizal fungi and water stress on ultrastructural change of glandular hairs and essential oil compositions in Ocimum gratissimum. Chem. Biol. Technol. Agric. 2017, 4, 20. [Google Scholar] [CrossRef]
- Burducea, M.; Zheljazkov, V.D.; Dincheva, I.; Lobiuc, A.; Teliban, G.-C.; Stoleru, V.; Zamfirache, M.-M. Fertilization modifies the essential oil and physiology of basil varieties. Ind. Crops Prod. 2018, 121, 282–293. [Google Scholar] [CrossRef]
- Gupta, R.; Singh, A.; Kanaujia, R.; Kushwaha, S.; Pandey, R. Trichoderma harzianum ThU and Its Metabolites underscore Alteration in Essential Oils of Ocimum basilicum and Ocimum sanctum. Proc. Natl. Acad. Sci. India Sect. B Biol. Sci. 2018, 88, 219–227. [Google Scholar] [CrossRef]
- Kaur, S.; Suseela, V. Unraveling Arbuscular Mycorrhiza-Induced Changes in Plant Primary and Secondary Metabolome. Metabolites 2020, 10, 335. [Google Scholar] [CrossRef]
- Gupta, R.; Anand, G.; Pandey, R. Microbial interventions to induce secondary metabolite biosynthesis in medicinal and aromatic plants. In Bioactive Natural products in Drug Discovery; Springer: Berlin/Heidelberg, Germany, 2020; pp. 687–711. [Google Scholar]
- Singh, A.; Gupta, R.; Srivastava, M.; Gupta, M.M.; Pandey, R. Microbial secondary metabolites ameliorate growth, in planta contents and lignification in Withania somnifera (L.) Dunal. Physiol. Mol. Biol. Plants 2016, 22, 253–260. [Google Scholar] [CrossRef] [PubMed][Green Version]
- Saia, S.; Ruisi, P.; Fileccia, V.; Di Miceli, G.; Amato, G.; Martinelli, F. Metabolomics Suggests That Soil Inoculation with Arbuscular Mycorrhizal Fungi Decreased Free Amino Acid Content in Roots of Durum Wheat Grown under N-Limited, P-Rich Field Conditions. PLoS ONE 2015, 10, e0129591. [Google Scholar] [CrossRef]
- Fogliano, V.; Verde, V.; Randazzo, G.; Ritieni, A. Method for Measuring Antioxidant Activity and Its Application to Monitoring the Antioxidant Capacity of Wines. J. Agric. Food Chem. 1999, 47, 1035–1040. [Google Scholar] [CrossRef]
- Ferracane, R.; Graziani, G.; Gallo, M.; Fogliano, V.; Ritieni, A. Metabolic profile of the bioactive compounds of burdock (Arctium lappa) seeds, roots and leaves. J. Pharm. Biomed. Anal. 2010, 51, 399–404. [Google Scholar] [CrossRef] [PubMed]
- Phillips, J.M.; Hayman, D.S. Improved procedures for clearing roots and staining parasitic and vesicular-arbuscular mycorrhizal fungi for rapid assessment of infection. Trans. Br. Mycol. Soc. 1970, 55, 158-IN18. [Google Scholar] [CrossRef]
- Giovannetti, M.; Mosse, B. An evaluation of techniques for measuring vesicular arbuscular mycorrhizal infection in roots. New Phytol. 1980, 84, 489–500. [Google Scholar] [CrossRef]
- Elad, Y.; Chet, I.; Henis, Y. A selective medium for improving quantitative isolation of Trichoderma spp. from soil. Phytoparasitica 1981, 9, 59–67. [Google Scholar] [CrossRef]
- Corrado, G.; Chiaiese, P.; Lucini, L.; Miras-Moreno, B.; Colla, G.; Rouphael, Y. Successive Harvests Affect Yield, Quality and Metabolic Profile of Sweet Basil (Ocimum basilicum L.). Agronomy 2020, 10, 830. [Google Scholar] [CrossRef]
- Schabenberger, O. Introducing the Glimmix Procedure for Generalized Linear Mixed Models. Proceedings of the SUGI 196-30 Proceedings. 2005, pp. 1–30. Available online: https://support.sas.com/resources/papers/proceedings/proceedings/sugi30/196-30.pdf (accessed on 20 June 2021).
- Pengelly, B.C.; Maass, B.L. Lablab purpureus (L.) Sweet—diversity, potential use and determination of a core collection of this multi-purpose tropical legume. Genet. Resour. Crop Evol. 2001, 48, 261–272. [Google Scholar] [CrossRef]




| Root AMF Colonization | Trichoderma Substrate Colonization | ||||
|---|---|---|---|---|---|
| AMF | Tricho | ||||
| Salinity (mM NaCl) | Biostimulant | % root colonised | Log CFU g−1 soil | ||
| 0 | not inoc | A | 3.28 ± 0.06 | ||
| with inoc | 44.9 ± 3.54 | 4.32 ± 0.04 | |||
| 25 | not inoc | B | 3.2 ± 0.08 | ||
| with inoc | 27.93 ± 1.39 | 4.25 ± 0.03 | |||
| 50 | not inoc | C | 3.22 ± 0.11 | ||
| with inoc | 17.8 ± 1.55 | 4.16 ± 0.06 | |||
| F | p | F | p | ||
| Salinity (S) | 41.4 | 0.002 | 1.9 | 0.195 | |
| Inoculation (I) | n.a. | n.a. | 485.7 | <0.001 | |
| S × I | n.a. | n.a. | 0.6 | 0.569 | |
| Shoot DW | Total Biomass | Root to Shoot Ratio | Number of Leaves | Leaf DM Percentage | Leaf Area | ||||||||||||||||||||
|---|---|---|---|---|---|---|---|---|---|---|---|---|---|---|---|---|---|---|---|---|---|---|---|---|---|
| SDW | TotBiomDW | R/S | NL | LDM% | LA | ||||||||||||||||||||
| Salinity (mM NaCl) | Biostimulant | g pot−1 | g pot−1 | g g−1 | n | % | cm2 plant−1 | ||||||||||||||||||
| 0 | not inoc | 7.33 ± 0.3 | A | 9.03 ± 0.33 | A | 0.23 ± 0.01 | CD | 103.3 ± 1.8 | B | 8.62 ± 0.16 | B | 1754 ± 41 | A | ||||||||||||
| with inoc | 7.85 ± 0.41 | 9.86 ± 0.43 | 0.26 ± 0.01 | CB | 121.8 ± 0.9 | 8.91 ± 0.64 | 1852 ± 22 | A | |||||||||||||||||
| 25 | not inoc | 5.64 ± 0.02 | B | 7.18 ± 0.06 | B | 0.27 ± 0.01 | AB | 108 ± 2.5 | AB | 8.91 ± 0.07 | B | 1205 ± 45 | C | ||||||||||||
| with inoc | 6.79 ± 0.19 | 8.6 ± 0.17 | 0.27 ± 0.01 | AB | 126.5 ± 5.1 | 8.81 ± 0.37 | 1569 ± 54 | B | |||||||||||||||||
| 50 | not inoc | 5.38 ± 0.05 | C | 6.51 ± 0.07 | C | 0.21 ± 0 | D | 116.6 ± 1.1 | A | 10.48 ± 0.37 | A | 1013 ± 17 | D | ||||||||||||
| with inoc | 5.5 ± 0.24 | 7.12 ± 0.18 | 0.29 ± 0.01 | A | 127.1 ± 1.7 | 9.14 ± 0.35 | 1166 ± 31 | C | |||||||||||||||||
| F | p | F | p | F | p | F | p | F | p | F | p | ||||||||||||||
| Salinity (S) | 42.5 | <0.001 | 57.8 | <0.001 | 3.9 | 0.057 | 6.4 | 0.016 | 4.8 | 0.035 | 184.4 | <0.001 | |||||||||||||
| Inoculation (I) | 9.6 | 0.011 | 22.6 | <0.001 | 20.4 | 0.001 | 56.4 | <0.001 | 1.6 | 0.235 | 45.4 | <0.001 | |||||||||||||
| S × I | 2.4 | 0.142 | 1.5 | 0.279 | 11.4 | 0.003 | 1.6 | 0.255 | 2.6 | 0.125 | 7.1 | 0.012 | |||||||||||||
| Net Photosynthetic Rate | Transpiration | Instantaneous Water use Efficiency | Leaf Water Potential | SPAD Index | |||||||||||||||||
|---|---|---|---|---|---|---|---|---|---|---|---|---|---|---|---|---|---|---|---|---|---|
| Pn | Tr | WUEi | LWP | SPAD | |||||||||||||||||
| Salinity (mM NaCl) | Biostimulant | μmol CO2 m−2 s−1 | μmol H2O m−2 s−1 | μmol CO2 (mmol H2O)−1 | MPa | SPAD units | |||||||||||||||
| 0 | not inoc | 16.43 ± 0.68 | A | 4.8 ± 0.17 | A | 3.44 ± 0.23 | AB | −0.48 ± 0.06 | A | 40.26 ± 1.18 | A | ||||||||||
| inoc | 17.04 ± 0.8 | A | 4.66 ± 0.42 | 3.69 ± 0.25 | A | −0.59 ± 0.09 | 41.46 ± 0.51 | ||||||||||||||
| 25 | not inoc | 9.35 ± 0.15 | C | 3.69 ± 0.28 | B | 2.56 ± 0.17 | C | −0.88 ± 0.09 | B | 36.66 ± 0.82 | B | ||||||||||
| inoc | 13.88 ± 0.53 | B | 3.64 ± 0.15 | 3.82 ± 0.13 | A | −0.79 ± 0.13 | 37.92 ± 1.29 | ||||||||||||||
| 50 | not inoc | 7.94 ± 0.31 | C | 2.56 ± 0.28 | C | 3.15 ± 0.24 | BC | −1.2 ± 0.09 | C | 33.59 ± 0.52 | B | ||||||||||
| inoc | 9.77 ± 0.86 | C | 3.46 ± 0.17 | 2.86 ± 0.38 | BC | −1.13 ± 0.1 | 36.91 ± 1.4 | ||||||||||||||
| F | p | F | p | F | p | F | p | F | p | ||||||||||||
| Salinity (S) | 86.1 | <0.001 | 22.1 | <0.001 | 2.7 | 0.115 | 21.7 | <0.001 | 15.5 | <0.001 | |||||||||||
| Inoculation (I) | 21.8 | <0.001 | 1.2 | 0.296 | 4.2 | 0.069 | 0.1 | 0.813 | 5.3 | 0.043 | |||||||||||
| S × I | 5.4 | 0.026 | 2.4 | 0.141 | 5.1 | 0.029 | 0.6 | 0.555 | 0.7 | 0.518 | |||||||||||
| Salinity (mM NaCl) | Biostimulant | Nitrate | P | K | Ca | Mg | |||||||||||||||
| mg (g FW)−1 | mg (g DW)−1 | mg (g DW)−1 | mg (g DW)−1 | µg (g DW)−1 | |||||||||||||||||
| 0 | not inoc | 3.08 ± 0.13 | A | 14.7 ± 0.24 | A | 37.96 ± 1.31 | A | 12.89 ± 0.68 | A | 4.41 ± 0.05 | A | ||||||||||
| with inoc | 2.64 ± 0.22 | 14.16 ± 0.25 | A | 38.89 ± 1.64 | A | 13.72 ± 1.21 | 4.72 ± 0.37 | ||||||||||||||
| 25 | not inoc | 2.82 ± 0.03 | B | 7.09 ± 0.53 | C | 21.44 ± 0.51 | D | 6.41 ± 0.35 | B | 1.52 ± 0.15 | B | ||||||||||
| with inoc | 2.31 ± 0.06 | 9.32 ± 1.24 | B | 29.41 ± 0.53 | B | 10.1 ± 0.42 | 1.96 ± 0.09 | ||||||||||||||
| 50 | not inoc | 2.38 ± 0.09 | B | 4.77 ± 0.45 | D | 20.5 ± 0.41 | D | 5.74 ± 0.2 | B | 0.83 ± 0.03 | C | ||||||||||
| with inoc | 2.24 ± 0.08 | 8.78 ± 0.46 | BC | 24.67 ± 0.97 | C | 9.13 ± 0.31 | 1.29 ± 0.02 | ||||||||||||||
| F | p | F | p | F | p | F | p | F | p | ||||||||||||
| Salinity (S) | 10.6 | 0.003 | 84.1 | <0.001 | 141.1 | <0.001 | 51.2 | <0.001 | 240.8 | <0.001 | |||||||||||
| Inoculation (I) | 13.7 | 0.004 | 13.8 | 0.004 | 28.2 | <0.001 | 26.5 | <0.001 | 8.5 | 0.016 | |||||||||||
| S × I | 1.4 | 0.303 | 6.7 | 0.014 | 6.1 | 0.018 | 3.1 | 0.088 | 0.1 | 0.888 | |||||||||||
| Salinity (mM NaCl) | Biostimulant | Na | Cl | Fe | B | Mn | |||||||||||||||
| mg (g DW)−1 | mg (g DW)−1 | µg (g DW)−1 | µg (g DW)−1 | µg (g DW)−1 | |||||||||||||||||
| 1 | not inoc | 2.12 ± 0.08 | E | 1.27 ± 0.15 | E | 52.45 ± 1.64 | B | 43.6 ± 5.09 | A | 25.83 ± 2.72 | B | ||||||||||
| with inoc | 0.14 ± 0.01 | F | 0.91 ± 0.04 | E | 62.32 ± 1 | A | 47.43 ± 1.91 | 38.33 ± 0.52 | A | ||||||||||||
| 25 | not inoc | 12.1 ± 0.02 | C | 20.67 ± 0.59 | C | 13.56 ± 1.5 | D | 17.41 ± 1.04 | B | 10.81 ± 0.59 | D | ||||||||||
| with inoc | 10.63 ± 0.59 | D | 15.34 ± 0.57 | D | 28.66 ± 3.76 | C | 28.36 ± 0.85 | 16.68 ± 0.59 | C | ||||||||||||
| 50 | not inoc | 19.12 ± 0.84 | A | 38.79 ± 0.92 | A | 8.49 ± 0.67 | D | 14.46 ± 1.5 | C | 7.18 ± 0.04 | D | ||||||||||
| with inoc | 14.9 ± 0.47 | B | 28.16 ± 1.07 | B | 12.65 ± 0.99 | D | 16.82 ± 0.59 | 9.09 ± 0.21 | D | ||||||||||||
| F | p | F | p | F | p | F | p | F | p | ||||||||||||
| Salinity (S) | 611 | <0.001 | 1163.6 | <0.001 | 348.2 | <0.001 | 85.8 | <0.001 | 224.1 | <0.001 | |||||||||||
| Inoculation (I) | 46.2 | <0.001 | 98.4 | <0.001 | 40.8 | <0.001 | 8.7 | 0.015 | 49 | <0.001 | |||||||||||
| S × I | 5 | 0.031 | 29.3 | <0.001 | 4.3 | 0.045 | 1.9 | 0.206 | 10.2 | 0.004 | |||||||||||
| Salinity (mM NaCl) | Biostimulant | Hydrophilic Antioxidant Activity | p-Coumaric Acid | Ferulic Acid | Rosmarinic Acid | ||||||||||||
|---|---|---|---|---|---|---|---|---|---|---|---|---|---|---|---|---|---|
| HAA | pCumAc | FerAc | RosmAc | ||||||||||||||
| mmol Ascorbic Acid eq. (100 g DW)−1 | mg (100g DW)−1 | mg (100g DW)−1 | mg (100g DW)−1 | ||||||||||||||
| 0 | not inoc | 22.2 ± 1.09 | C | 7.57 ± 0.39 | AB | 32.89 ± 0.22 | C | 11.77 ± 0.2 | C | ||||||||
| with inoc | 33.86 ± 3.36 | B | 7.97 ± 1.21 | 34.85 ± 0.38 | C | 16.53 ± 2.34 | B | ||||||||||
| 25 | not inoc | 42.09 ± 1.66 | A | 8.58 ± 0.7 | A | 35.09 ± 1.08 | C | 17.61 ± 2.06 | B | ||||||||
| with inoc | 45.76 ± 0.99 | A | 9.5± 0.74 | 36.11 ± 0.58 | C | 26.38 ± 2.17 | A | ||||||||||
| 50 | not inoc | 42.18 ± 1.59 | A | 6.23 ± 0.87 | B | 44.8 ± 2.23 | B | 26.72 ± 2.75 | A | ||||||||
| with inoc | 43.84 ± 0.42 | A | 6.25 ± 0.44 | 113.56 ± 3.68 | A | 25.33 ± 1.8 | A | ||||||||||
| F stat. | p-value | F stat. | p-value | F stat. | p-value | F stat. | p-value | ||||||||||
| Salinity (S) | 82.1 | <0.0001 | 6.6 | 0.015 | 516.8 | <0.001 | 38.8 | <0.0001 | |||||||||
| Inoculation (I) | 24.8 | <0.001 | 0.5 | 0.498 | 284 | <0.001 | 31.8 | 0 | |||||||||
| S × I | 7.2 | 0.012 | 0.2 | 0.842 | 248.1 | <0.001 | 7.8 | 0.009 | |||||||||
| Publisher’s Note: MDPI stays neutral with regard to jurisdictional claims in published maps and institutional affiliations. | 
© 2021 by the authors. Licensee MDPI, Basel, Switzerland. This article is an open access article distributed under the terms and conditions of the Creative Commons Attribution (CC BY) license (https://creativecommons.org/licenses/by/4.0/).
Share and Cite
Saia, S.; Corrado, G.; Vitaglione, P.; Colla, G.; Bonini, P.; Giordano, M.; Stasio, E.D.; Raimondi, G.; Sacchi, R.; Rouphael, Y. An Endophytic Fungi-Based Biostimulant Modulates Volatile and Non-Volatile Secondary Metabolites and Yield of Greenhouse Basil (Ocimum basilicum L.) through Variable Mechanisms Dependent on Salinity Stress Level. Pathogens 2021, 10, 797. https://doi.org/10.3390/pathogens10070797
Saia S, Corrado G, Vitaglione P, Colla G, Bonini P, Giordano M, Stasio ED, Raimondi G, Sacchi R, Rouphael Y. An Endophytic Fungi-Based Biostimulant Modulates Volatile and Non-Volatile Secondary Metabolites and Yield of Greenhouse Basil (Ocimum basilicum L.) through Variable Mechanisms Dependent on Salinity Stress Level. Pathogens. 2021; 10(7):797. https://doi.org/10.3390/pathogens10070797
Chicago/Turabian StyleSaia, Sergio, Giandomenico Corrado, Paola Vitaglione, Giuseppe Colla, Paolo Bonini, Maria Giordano, Emilio Di Stasio, Giampaolo Raimondi, Raffaele Sacchi, and Youssef Rouphael. 2021. "An Endophytic Fungi-Based Biostimulant Modulates Volatile and Non-Volatile Secondary Metabolites and Yield of Greenhouse Basil (Ocimum basilicum L.) through Variable Mechanisms Dependent on Salinity Stress Level" Pathogens 10, no. 7: 797. https://doi.org/10.3390/pathogens10070797
APA StyleSaia, S., Corrado, G., Vitaglione, P., Colla, G., Bonini, P., Giordano, M., Stasio, E. D., Raimondi, G., Sacchi, R., & Rouphael, Y. (2021). An Endophytic Fungi-Based Biostimulant Modulates Volatile and Non-Volatile Secondary Metabolites and Yield of Greenhouse Basil (Ocimum basilicum L.) through Variable Mechanisms Dependent on Salinity Stress Level. Pathogens, 10(7), 797. https://doi.org/10.3390/pathogens10070797
 
         
                                                





 
       