SARS-CoV-2 Seroprevalence and Neutralizing Antibody Response after the First and Second COVID-19 Pandemic Wave in Croatia
Abstract
:1. Introduction
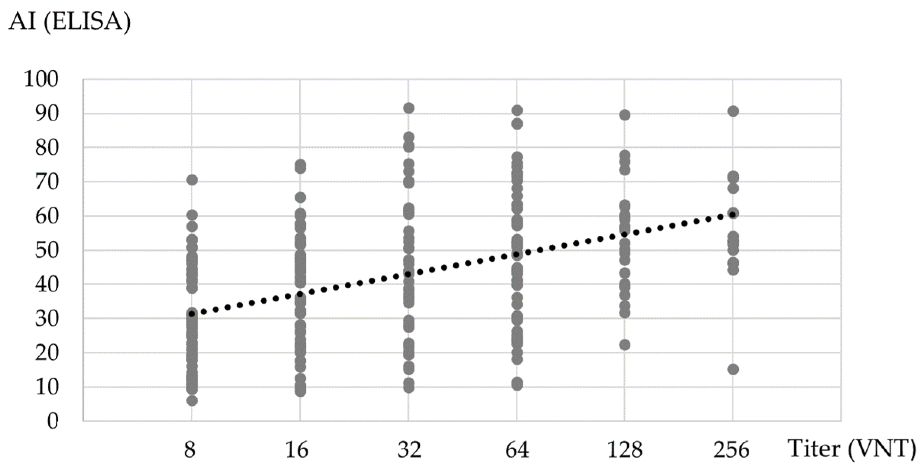
2. Results
3. Discussion
4. Materials and Methods
4.1. Study Population
4.2. Serology Testing
4.3. Statistical Analysis
5. Conclusions
Author Contributions
Funding
Institutional Review Board Statement
Informed Consent Statement
Data Availability Statement
Acknowledgments
Conflicts of Interest
References
- Hu, B.; Guo, H.; Zhou, P.; Shi, Z.-L. Characteristics of SARS-CoV-2 and COVID-19. Nat. Rev. Microbiol. 2021, 19, 141–154. [Google Scholar] [CrossRef]
- Eurosurveillance Editorial Team. Note from the Editors: World Health Organization Declares Novel Coronavirus (2019-NCoV) Sixth Public Health Emergency of International Concern. Euro Surveill. 2020, 25. [Google Scholar] [CrossRef]
- World Health Organization (WHO). Coronavirus Disease (COVID-19) Situation Reports. Available online: https://www.who.int/emergencies/diseases/novel-coronavirus-2019/situation-reports (accessed on 5 May 2021).
- Davies, N.G.; Abbott, S.; Barnard, R.C.; Jarvis, C.I.; Kucharski, A.J.; Munday, J.D.; Pearson, C.A.B.; Russell, T.W.; Tully, D.C.; Washburne, A.D.; et al. Estimated Transmissibility and Impact of SARS-CoV-2 Lineage B.1.1.7 in England. Science 2021, 372. [Google Scholar] [CrossRef]
- Happi, A.N.; Ugwu, C.A.; Happi, C.T. Tracking the Emergence of New SARS-CoV-2 Variants in South Africa. Nat. Med. 2021, 27, 372–373. [Google Scholar] [CrossRef]
- Faria, N.R.; Mellan, T.A.; Whittaker, C.; Claro, I.M.; da Candido, D.S.; Mishra, S.; Crispim, M.A.E.; Sales, F.C.S.; Hawryluk, I.; McCrone, J.T.; et al. Genomics and Epidemiology of the P.1 SARS-CoV-2 Lineage in Manaus, Brazil. Science 2021, eabh2644. [Google Scholar] [CrossRef]
- Yanes-Lane, M.; Winters, N.; Fregonese, F.; Bastos, M.; Perlman-Arrow, S.; Campbell, J.R.; Menzies, D. Proportion of Asymptomatic Infection among COVID-19 Positive Persons and Their Transmission Potential: A Systematic Review and Meta-Analysis. PLoS ONE 2020, 15, e0241536. [Google Scholar] [CrossRef]
- Godfred-Cato, S.; Bryant, B.; Leung, J.; Oster, M.E.; Conklin, L.; Abrams, J.; Roguski, K.; Wallace, B.; Prezzato, E.; Koumans, E.H.; et al. COVID-19-Associated Multisystem Inflammatory Syndrome in Children—United States, March-July 2020. MMWR Morb. Mortal. Wkly. Rep. 2020, 69, 1074–1080. [Google Scholar] [CrossRef] [PubMed]
- Lenicek Krleza, J.; Zrinski Topic, R.; Stevanovic, V.; Lukic-Grlic, A.; Tabain, I.; Misak, Z.; Roic, G.; Kaic, B.; Mayer, D.; Hruskar, Z.; et al. Seroprevalence of SARS-CoV-2 Infection among Children in Children’s Hospital Zagreb during the Initial and Second Wave of COVID-19 Pandemic in Croatia. Biochem. Med. (Zagreb) 2021, 31. [Google Scholar] [CrossRef]
- Koronavirus—Statistički Pokazatelji za Hrvatsku i EU (Coronavirus—Statistical Indicators for Croatia and the EU). Available online: https://www.koronavirus.hr (accessed on 12 June 2021). (In Croatian).
- Jerković, I.; Ljubić, T.; Bašić, Ž.; Kružić, I.; Kunac, N.; Bezić, J.; Vuko, A.; Markotić, A.; Anđelinović, Š. SARS-CoV-2 Antibody Seroprevalence in Industry Workers in Split-Dalmatia and Šibenik-Knin County, Croatia. J. Occup. Environ. Med. 2021, 63, 32–37. [Google Scholar] [CrossRef] [PubMed]
- Vilibic-Cavlek, T.; Stevanovic, V.; Tabain, I.; Betica-Radic, L.; Sabadi, D.; Peric, L.; Bogdanic, M.; Vilibic, M.; Kolaric, B.; Kudumija, B.; et al. Severe Acute Respiratory Syndrome Coronavirus 2 Seroprevalence among Personnel in the Healthcare Facilities of Croatia, 2020. Rev. Soc. Bras. Med. Trop. 2020, 53, e20200458. [Google Scholar] [CrossRef] [PubMed]
- Stevanovic, V.; Vilibic-Cavlek, T.; Tabain, I.; Benvin, I.; Kovac, S.; Hruskar, Z.; Mauric, M.; Milasincic, L.; Antolasic, L.; Skrinjaric, A.; et al. Seroprevalence of SARS-CoV-2 Infection among Pet Animals in Croatia and Potential Public Health Impact. Transbound. Emerg. Dis. 2020. [Google Scholar] [CrossRef]
- Mrzljak, A.; Jureković, Ž.; Pavičić-Šarić, J.; Stevanović, V.; Ilić, M.; Tabain, I.; Balen, I.; Hruškar, Ž.; Mikulić, D.; Barbić, L.; et al. Prevalence of SARS-CoV-2 antibodies in Croatian organ transplant recipients. In Symposium (Re-)emerging Arboviruses in the Shadow of COVID-19 Pandemic; Book of Abstracts; Croatian Institute of Public Health: Zagreb, Croatia, 2021. (In Croatian) [Google Scholar]
- Bogogiannidou, Z.; Vontas, A.; Dadouli, K.; Kyritsi, M.A.; Soteriades, S.; Nikoulis, D.J.; Mouchtouri, V.A.; Koureas, M.; Kazakos, E.I.; Spanos, E.G.; et al. Repeated Leftover Serosurvey of SARS-CoV-2 IgG Antibodies, Greece, March and April 2020. Euro Surveill. 2020, 25. [Google Scholar] [CrossRef]
- Krátká, Z.; Fürst, T.; Vencálek, O.; Kůrková, V.; Šimečková, E.; Fleischmannová, J.; Strojil, J.; Kuba, M. Exploratory Drilling: How to Set up, Carry out, and Evaluate a Seroprevalence Study. Cas. Lek. Cesk. 2020, 159, 217–225. [Google Scholar]
- Dickson, E.; Palmateer, N.E.; Murray, J.; Robertson, C.; Waugh, C.; Wallace, L.A.; Mathie, L.; Heatlie, K.; Mavin, S.; Gousias, P.; et al. Enhanced Surveillance of COVID-19 in Scotland: Population-Based Seroprevalence Surveillance for SARS-CoV-2 during the First Wave of the Epidemic. Public Health 2021, 190, 132–134. [Google Scholar] [CrossRef] [PubMed]
- Vos, E.R.A.; van Boven, M.; den Hartog, G.; Backer, J.A.; Klinkenberg, D.; van Hagen, C.C.E.; Boshuizen, H.; van Binnendijk, R.S.; Mollema, L.; van der Klis, F.R.M.; et al. Associations between Measures of Social Distancing and SARS-CoV-2 Seropositivity: A Nationwide Population-Based Study in the Netherlands. Clin. Infect. Dis. 2021. [Google Scholar] [CrossRef]
- Pollán, M.; Pérez-Gómez, B.; Pastor-Barriuso, R.; Oteo, J.; Hernán, M.A.; Pérez-Olmeda, M.; Sanmartín, J.L.; Fernández-García, A.; Cruz, I.; Fernández de Larrea, N.; et al. Prevalence of SARS-CoV-2 in Spain (ENE-COVID): A Nationwide, Population-Based Seroepidemiological Study. Lancet 2020, 396, 535–544. [Google Scholar] [CrossRef]
- Aziz, N.A.; Corman, V.M.; Echterhoff, A.K.C.; Müller, M.A.; Richter, A.; Schmandke, A.; Schmidt, M.L.; Schmidt, T.H.; de Vries, F.M.; Drosten, C.; et al. Seroprevalence and Correlates of SARS-CoV-2 Neutralizing Antibodies from a Population-Based Study in Bonn, Germany. Nat. Commun. 2021, 12, 2117. [Google Scholar] [CrossRef] [PubMed]
- Zejda, J.E.; Brożek, G.M.; Kowalska, M.; Barański, K.; Kaleta-Pilarska, A.; Nowakowski, A.; Xia, Y.; Buszman, P. Seroprevalence of Anti-SARS-CoV-2 Antibodies in a Random Sample of Inhabitants of the Katowice Region, Poland. Int. J. Environ. Res. Public Health 2021, 18, 3188. [Google Scholar] [CrossRef]
- Soriano, V.; Ganado-Pinilla, P.; Sanchez-Santos, M.; Gómez-Gallego, F.; Barreiro, P.; de Mendoza, C.; Corral, O. Main Differences between the First and Second Waves of COVID-19 in Madrid, Spain. Int. J. Infect. Dis. 2021, 105, 374–376. [Google Scholar] [CrossRef]
- Stringhini, S.; Zaballa, M.-E.; Perez-Saez, J.; Pullen, N.; de Mestral, C.; Picazio, A.; Pennacchio, F.; Wisniak, A.; Richard, A.; Baysson, H.; et al. Seroprevalence of Anti-SARS-CoV-2 Antibodies after the Second Pandemic Peak. Lancet Infect. Dis. 2021, 21, 600–601. [Google Scholar] [CrossRef]
- Poljak, M.; Oštrbenk, V.A.; Štrumbelj, E.; Maver Vodičar, P.; Vehovar, V.; Resman, R.K.; Korva, M.; Knap, N.; Seme, K.; Petrovec, M.; et al. Seroprevalence of Severe Acute Respiratory Syndrome Coronavirus 2 in Slovenia: Results of Two Rounds of a Nationwide Population Study on a Probability-Based Sample, Challenges and Lessons Learned. Clin. Microbiol. Infect. 2021. [Google Scholar] [CrossRef] [PubMed]
- Yang, H.S.; Costa, V.; Racine-Brzostek, S.E.; Acker, K.P.; Yee, J.; Chen, Z.; Karbaschi, M.; Zuk, R.; Rand, S.; Sukhu, A.; et al. Association of Age With SARS-CoV-2 Antibody Response. JAMA Netw. Open 2021, 4, e214302. [Google Scholar] [CrossRef] [PubMed]
- Bajaj, V.; Gadi, N.; Spihlman, A.P.; Wu, S.C.; Choi, C.H.; Moulton, V.R. Aging, Immunity, and COVID-19: How Age Influences the Host Immune Response to Coronavirus Infections? Front. Physiol. 2020, 11, 571416. [Google Scholar] [CrossRef]
- Tagarro, A.; Epalza, C.; Santos, M.; Sanz-Santaeufemia, F.J.; Otheo, E.; Moraleda, C.; Calvo, C. Screening and Severity of Coronavirus Disease 2019 (COVID-19) in Children in Madrid, Spain. JAMA Pediatr. 2020. [Google Scholar] [CrossRef] [PubMed] [Green Version]
- Wu, Z.; McGoogan, J.M. Characteristics of and Important Lessons from the Coronavirus Disease 2019 (COVID-19) Outbreak in China: Summary of a Report of 72 314 Cases from the Chinese Center for Disease Control and Prevention. JAMA 2020, 323, 1239–1242. [Google Scholar] [CrossRef]
- Bellino, S.; Punzo, O.; Rota, M.C.; Del Manso, M.; Urdiales, A.M.; Andrianou, X.; Fabiani, M.; Boros, S.; Vescio, F.; Riccardo, F.; et al. COVID-19 Disease Severity Risk Factors for Pediatric Patients in Italy. Pediatrics 2020, 146. [Google Scholar] [CrossRef]
- COVID-19 National Emergency Response Center; Epidemiology and Case Management Team; Korea Centers for Disease Control and Prevention. Coronavirus Disease-19: The First 7755 Cases in the Republic of Korea. Osong Public Health Res. Perspect. 2020, 11, 85–90. [Google Scholar] [CrossRef] [Green Version]
- Gudbjartsson, D.F.; Helgason, A.; Jonsson, H.; Magnusson, O.T.; Melsted, P.; Norddahl, G.L.; Saemundsdottir, J.; Sigurdsson, A.; Sulem, P.; Agustsdottir, A.B.; et al. Spread of SARS-CoV-2 in the Icelandic Population. N. Engl. J. Med. 2020, 382, 2302–2315. [Google Scholar] [CrossRef] [PubMed]
- Waterfield, T.; Watson, C.; Moore, R.; Ferris, K.; Tonry, C.; Watt, A.; McGinn, C.; Foster, S.; Evans, J.; Lyttle, M.D.; et al. Seroprevalence of SARS-CoV-2 Antibodies in Children: A Prospective Multicentre Cohort Study. Arch. Dis. Child. 2020. [Google Scholar] [CrossRef]
- Weisberg, S.P.; Connors, T.J.; Zhu, Y.; Baldwin, M.R.; Lin, W.-H.; Wontakal, S.; Szabo, P.A.; Wells, S.B.; Dogra, P.; Gray, J.; et al. Distinct Antibody Responses to SARS-CoV-2 in Children and Adults across the COVID-19 Clinical Spectrum. Nat. Immunol. 2021, 22, 25–31. [Google Scholar] [CrossRef]
- Wang, P.; Liu, L.; Nair, M.S.; Yin, M.T.; Luo, Y.; Wang, Q.; Yuan, T.; Mori, K.; Solis, A.G.; Yamashita, M.; et al. SARS-CoV-2 neutralizing antibody responses are more robust in patients with severe disease. Emerg. Microbes. Infect. 2020, 9, 2091–2093. [Google Scholar] [CrossRef]
- Chen, Y.; Klein, S.L.; Garibaldi, B.T.; Li, H.; Wu, C.; Osevala, N.M.; Li, T.; Margolick, J.B.; Pawelec, G.; Leng, S.X. Aging in COVID-19: Vulnerability, immunity and intervention. Ageing Res. Rev. 2021, 65, 101205. [Google Scholar] [CrossRef] [PubMed]
- Piccaluga, P.P.; Malerba, G.; Navari, M.; Diani, E.; Concia, E.; Gibellini, D. Cross-Immunization Against Respiratory Coronaviruses May Protect Children From SARS-CoV2: More Than a Simple Hypothesis? Front. Pediatr. 2021, 8. [Google Scholar] [CrossRef] [PubMed]
- Pierce, C.A.; Preston-Hurlburt, P.; Dai, Y.; Aschner, C.B.; Cheshenko, N.; Galen, B.; Garforth, S.J.; Herrera, N.G.; Jangra, R.K.; Morano, N.C.; et al. Immune Responses to SARS-CoV-2 Infection in Hospitalized Pediatric and Adult Patients. Sci. Transl. Med. 2020, 12. [Google Scholar] [CrossRef] [PubMed]
- Selva, K.J.; van de Sandt, C.E.; Lemke, M.M.; Lee, C.Y.; Shoffner, S.K.; Chua, B.Y.; Davis, S.K.; Nguyen, T.H.O.; Rowntree, L.C.; Hensen, L.; et al. Systems Serology Detects Functionally Distinct Coronavirus Antibody Features in Children and Elderly. Nat. Commun. 2021, 12, 2037. [Google Scholar] [CrossRef]
- Sidiq, Z.; Hanif, M.; Dwivedi, K.K.; Chopra, K.K. Benefits and limitations of serological assays in COVID-19 infection. Indian. J. Tuberc. 2020, 67, S163–S166. [Google Scholar] [CrossRef] [PubMed]
- Vilibić-Čavlek, T.; Stevanović, V.; Tabain, I.; Perić, L.; Sabadi, D.; Hruškar, Ž.; Milašinčić, L.; Antolašić, L.; Bogdanić, M.; Savić, V.; et al. Diagnosis of SARS-CoV-2 Infection: Preliminary Results of Six Serology Tests. Infektol. Glasn. 2020, 40, 50–54. [Google Scholar] [CrossRef]





| Demographic Characteristics | Tested N (%) | SARS-CoV-2 IgG ELISA a | SARS-CoV-2 VNT b | ||
|---|---|---|---|---|---|
| N (%) | 95% CI | N (%) | 95% CI | ||
| 1st pandemic wave (N = 1088) | |||||
| Gender | |||||
| Male | 371 (34.1) | 12 (3.2) | 1.7–5.6 | 1 (0.3) | 0–1.5 |
| Female | 717 (65.9) | 12 (1.7) | 0.9–2.9 | 1 (0.1) | 0–0.8 |
| Age group | |||||
| <10 yrs | 146 (13.4) | 5 (3.4) | 1.1–7.8 | 0 (0) | NAc |
| 10–19 yrs | 119 (10.9) | 3 (2.5) | 0.5–7.2 | 0 (0) | NA |
| 20–29 yrs | 117 (10.8) | 0 (0) | NA | 0 (0) | NA |
| 30–39 yrs | 241 (22.2) | 3 (1.2) | 0.3–3.6 | 1 (0.4) | 0–2.3 |
| 40–49 yrs | 130 (11.9) | 5 (3.8) | 1.3–8.8 | 1 (0.8) | 0–4.2 |
| 50–59 yrs | 114 (10.5) | 2 (1.7) | 0.2–6.2 | 0 (0) | NA |
| 60–69 yrs | 125 (11.5) | 2 (1.6) | 0.2–5.7 | 0 (0) | NA |
| 70+ yrs | 96 (8.8) | 4 (4.2) | 1.1–10.3 | 0 (0) | NA |
| Total | 1088 (100) | 24 (2.2) | 1.4–3.3 | 2 (0.2) | 0–0.7 |
| 2nd pandemic wave (N = 1436) | |||||
| Gender | |||||
| Male | 622 (43.3) | 156 (25.1) | 21.7–28.7 | 123 (19.8) | 16.7–23.1 |
| Female | 814 (56.7) | 204 (25.1) | 22.0–28.1 | 144 (17.7) | 15.1–20.5 |
| Age group | |||||
| <10 yrs | 174 (12.1) | 33 (19.0) | 13.5–25.7 | 28 (16.1) | 11.0–22.5 |
| 10–19 yrs | 195 (13.6) | 50 (25.8) | 19.7–32.4 | 42 (21.5) | 16.0–28.0 |
| 20–29 yrs | 146 (10.2) | 42 (28.9) | 21.6–36.8 | 30 (20.5) | 14.3–28.0 |
| 30–39 yrs | 220 (15.3) | 54 (24.6) | 18.6–30.3 | 44 (20.0) | 14.9–25.9 |
| 40–49 yrs | 238 (16.6) | 65 (27.4) | 21.7–33.4 | 46 (19.3) | 14.5–24.9 |
| 50–59 yrs | 207 (14.4) | 54 (26.2) | 20.2–32.6 | 40 (19.3) | 14.2–25.4 |
| 60–69 yrs | 162 (11.3) | 46 (28.6) | 21.6–36.0 | 26 (16.0) | 10.7–22.6 |
| 70+ yrs | 94 (6.5) | 16 (15.7) | 10.0–26.2 | 12 (12.8) | 6.8–21.2 |
| Total | 1436 (100) | 360 (25.1) | 22.8–27.4 | 268 (18.7) | 16.7–20.8 |
| Region | N Tested | SARS-CoV-2 IgG ELISA | SARS-CoV-2 VNT | ||
|---|---|---|---|---|---|
| N Positive (%) | 95%CI | N Positive (%) | 95%CI | ||
| Zagreb + Zagreb County (21 + 1) * | 460 | 94 (20.4) | 16.8–24.4 | 70 (15.2) | 12.2–18.8 |
| Split-Dalmatia County (17) ** | 265 | 76 (28.7) | 23.3–34.5 | 62 (23.4) | 18.4–29.0 |
| Osijek-Baranja County (14) * | 225 | 72 (32.0) | 25.9–38.5 | 51 (22.7) | 17.4–28.7 |
| Istria County (18) ** | 178 | 29 (16.3) | 11.2–22.5 | 16 (9.0) | 5.2–14.2 |
| Varazdin County (5) * | 97 | 35 (36.1) | 26.6–46.5 | 24 (24.7) | 16.5–34.5 |
Publisher’s Note: MDPI stays neutral with regard to jurisdictional claims in published maps and institutional affiliations. |
© 2021 by the authors. Licensee MDPI, Basel, Switzerland. This article is an open access article distributed under the terms and conditions of the Creative Commons Attribution (CC BY) license (https://creativecommons.org/licenses/by/4.0/).
Share and Cite
Vilibic-Cavlek, T.; Stevanovic, V.; Ilic, M.; Barbic, L.; Capak, K.; Tabain, I.; Krleza, J.L.; Ferenc, T.; Hruskar, Z.; Topic, R.Z.; et al. SARS-CoV-2 Seroprevalence and Neutralizing Antibody Response after the First and Second COVID-19 Pandemic Wave in Croatia. Pathogens 2021, 10, 774. https://doi.org/10.3390/pathogens10060774
Vilibic-Cavlek T, Stevanovic V, Ilic M, Barbic L, Capak K, Tabain I, Krleza JL, Ferenc T, Hruskar Z, Topic RZ, et al. SARS-CoV-2 Seroprevalence and Neutralizing Antibody Response after the First and Second COVID-19 Pandemic Wave in Croatia. Pathogens. 2021; 10(6):774. https://doi.org/10.3390/pathogens10060774
Chicago/Turabian StyleVilibic-Cavlek, Tatjana, Vladimir Stevanovic, Maja Ilic, Ljubo Barbic, Krunoslav Capak, Irena Tabain, Jasna Lenicek Krleza, Thomas Ferenc, Zeljka Hruskar, Renata Zrinski Topic, and et al. 2021. "SARS-CoV-2 Seroprevalence and Neutralizing Antibody Response after the First and Second COVID-19 Pandemic Wave in Croatia" Pathogens 10, no. 6: 774. https://doi.org/10.3390/pathogens10060774
APA StyleVilibic-Cavlek, T., Stevanovic, V., Ilic, M., Barbic, L., Capak, K., Tabain, I., Krleza, J. L., Ferenc, T., Hruskar, Z., Topic, R. Z., Kaliterna, V., Antolovic-Pozgain, A., Kucinar, J., Koscak, I., Mayer, D., Sviben, M., Antolasic, L., Milasincic, L., Bucic, L., ... Kaic, B. (2021). SARS-CoV-2 Seroprevalence and Neutralizing Antibody Response after the First and Second COVID-19 Pandemic Wave in Croatia. Pathogens, 10(6), 774. https://doi.org/10.3390/pathogens10060774

