Short-Term Efficacy and Safety of Oral and Nasal Corticosteroids in COVID-19 Patients with Olfactory Dysfunction: A European Multicenter Study
Abstract
1. Introduction
2. Materials and Methods
2.1. Epidemiological and Clinical Outcomes
2.2. Subjective and Psychophysical Olfactory Evaluations
2.3. Therapeutic Course
2.4. Statistical Analysis
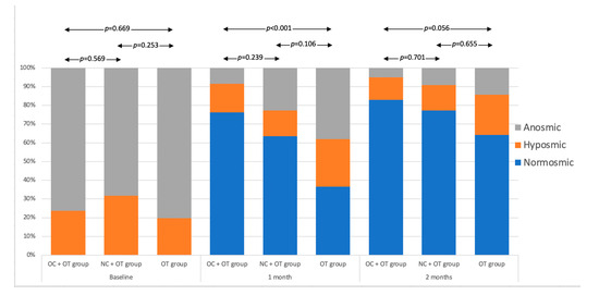
3. Results
4. Discussion
5. Conclusions
Author Contributions
Funding
Institutional Review Board Statement
Informed Consent Statement
Data Availability Statement
Conflicts of Interest
References
- Johns Hopkins Coronavirus Resource Center—COVID-19 Dashboard. Available online: https://coronavirus.jhu.edu/ (accessed on 17 March 2021).
- Petrocelli, M.; Ruggiero, F.; Baietti, A.M.; Pandolfi, P.; Salzano, G.; Salzano, F.A.; Lechien, J.R.; Saussez, S.; De Riu, G.; Vaira, L.A. Remote psycophysical evaluation of olfactory and gustatory functions in early-stage coronavirus disease 2019 patients: The Bologna experience of 300 cases. J. Laryngol. Otol. 2020, 134, 571–576. [Google Scholar] [CrossRef]
- Lechien, J.R.; Chiesa-Estomba, C.M.; Hans, S.; Barillari, M.R.; Jouffe, L.; Saussez, S. Loss of smell and taste in 2013 European patients with mild to moderate COVID-19. Ann. Intern. Med. 2020, 173, 672–675. [Google Scholar] [CrossRef]
- Vaira, L.A.; Lechien, J.R.; Khalife, M.; Petrocelli, M.; Hans, S.; Distinguin, L.; Salzano, G.; Cucurullo, M.; Doneddu, P.; Salzano, F.A.; et al. Psychophysical evaluation of the olfactory function: European multicenter study on 774 COVID-19 patients. Pathogens 2021, 10, 62. [Google Scholar] [CrossRef] [PubMed]
- Lechien, J.R.; Journe, F.; Hans, S.; Chiesa-Estomba, C.M.; Mustin, V.; Beckers, E.; Vaira, L.A.; De Riu, G.; Hopkins, C.; Saussez, S. Severity of anosmia as an early symptom of COVID-19 infection may predict lasting loss of smell. Front. Med. 2020. [Google Scholar] [CrossRef]
- Vaira, L.A.; Hopkins, C.; Salzano, G.; Petrocelli, M.; Melis, A.; Cucurullo, M.; Ferrari, M.; Gagliardini, L.; Pipolo, C.; Deiana, G.; et al. Olfactory and gustatory function impairment in COVID-19 patients: Italian objective multicenter-study. Head Neck 2020, 42, 1560–1569. [Google Scholar] [CrossRef]
- Costanzo, G.; Firinu, D.; Cordeddu, W.; Messina, M.R.; Argiolas, G.; Raho, G.; Lillu, M.; Masala, C.; Del Giacco, S. COVID-19 in the mediterranean area: Epidemiology and main disease characteristics—A narrative review. Acta Med. Mediterr. 2020, 36, 2275–2285. [Google Scholar]
- Saniasiaya, J.; Islam, M.A.; Abdullah, B. Prevalence of olfactory dysfunction in coronavirus disease 2019 (COVID-19): A meta-analysis of 27,492 patients. Laryngoscope 2021, 131, 865–878. [Google Scholar] [CrossRef] [PubMed]
- Hopkins, C.; Surda, P.; Vaira, L.A.; Lechien, J.R.; Safarian, M.; Saussez, S.; Kumar, N. Six month follow-up of self-reported loss of smell during the COVID-19 pandemic. Rhinology 2021, 50, 26–31. [Google Scholar]
- Lechien, J.R.; Chiesa-Estomba, C.M.; Beckers, E.; Mustin, V.; Ducarme, M.; Journe, F.; Marchant, A.; Jouffe, L.; Barillari, M.R.; Cammaroto, G.; et al. Prevalence and 6-month recovery of olfactory dysfynction: A multicentre study of 1363 COVID-19 patients. J. Intern. Med. 2021. [Google Scholar] [CrossRef]
- Boscolo-Rizzo, P.; Menegaldo, A.; Fabbris, C.; Spinato, G.; Borsetto, D.; Vaira, L.A.; Calvanese, L.; Pettorelli, A.; Sonego, M.; Frezza, D.; et al. Six-month psychophysical evaluation of olfactory dysfunction in patients with COVID-19. Chem. Senses 2021. [Google Scholar] [CrossRef]
- Petrocelli, M.; Cutrupi, S.; Salzano, G.; Maglitto, F.; Salzano, F.A.; Lechien, J.R.; Saussez, S.; Boscolo-Rizzo, P.; De Riu, G.; Vaira, L.A. Six-month smell and taste recovery rates in COVID-19 patients: A prospective psychophysical study. J. Laryngol. Otol. 2021. [Google Scholar] [CrossRef]
- Boscolo-Rizzo, P.; Guida, F.; Polesel, J.; Marcuzzo, A.V.; Antonucci, P.; Capriotti, V.; Sacchet, E.; Cragnolini, F.; D’Alessandro, A.; Zanelli, E.; et al. Self-reported smell and taste recovery in coronavirus disease 2019 patients: A one-year prospective study. Eur. Arch. Otorhinolaryngol. 2021. [Google Scholar] [CrossRef]
- Otte, M.S.; Eckel, H.N.C.; Poluschkin, L.; Klussmann, J.P.; Luers, J.C. Olfactory dysfunction in patients after recovering from COVID-19. Acta Otolaryngol. 2020, 140, 1032–1035. [Google Scholar] [CrossRef]
- Hummel, T.; Whitcroft, K.L.; Andrews, P.; Altundag, A.; Cinghi, C.; Costanzo, R.M.; Damm, M.; Frasnelli, J.; Gudziol, H.; Gupta, N.; et al. Position paper on olfactory dysfunction. Rhinology 2016, 56, 1–30. [Google Scholar] [CrossRef] [PubMed]
- Hox, V.; Lourijsen, E.; Jordens, A.; Aasbjerg, K.; Agache, I.; Alobid, I.; Bachert, C.; Boussery, K.; Campo, P.; Fokkens, W.; et al. Benefits and harm of systemic steroids for short- and long-term use in rhinitis and rhinosinusitis: An EAACI position paper. Clin. Transl. Allergy 2020. [Google Scholar] [CrossRef]
- Sorokowska, A.; Drechsler, E.; Karwowski, M.; Hummel, T. Effects of olfactory training: A meta-analysis. Rhinology 2017, 55, 17–26. [Google Scholar] [CrossRef]
- Hura, N.; Xie, D.X.; Choby, G.W.; Schlosser, R.J.; Orlov, C.P.; Seal, S.M.; Rowan, N.R. Treatment of post-viral olfactory dysfunction: An evidence-based review with recommendations. Int. Forum Allergy Rhinol. 2021, 10, 1065–1086. [Google Scholar] [CrossRef] [PubMed]
- Levy, J.M. Treatment recommendations for persistent smell and taste dysfunction following COVID-19-The coming deluge. JAMA Otolaryngol. Head Neck Surg. 2020, 148, 733. [Google Scholar] [CrossRef] [PubMed]
- Poetker, D.M.; Jakubowski, L.A.; Lal, D.; Hwang, P.H.; Wright, E.D.; Smith, T.L. Oral corticosteroids in the management of adult chronic rhinosinusitis with and without nasal polyps: An evidence-based review with recommendations. Int. Forum Allergy Rhinol. 2013, 3, 104–120. [Google Scholar] [CrossRef] [PubMed]
- Chetrit, A.; Lechien, J.R.; Ammar, A.; Chekkoury-Idrissi, Y.; Distinguin, L.; Circiu, M. Magnetic resonance imaging of COVID-19 anosmic patients reveals abnormalities of the olfactory bulb: Preliminary prospective study. J. Infect. 2020, 81, 816–846. [Google Scholar] [CrossRef]
- Kirschenbaum, D.; Imbach, L.L.; Ulrich, S.; Rushing, E.J.; Keller, E.; Reimann, R.R. Inflammatory olfactory neuropathy in two patients with COVID-19. Lancet 2020, 396, 166. [Google Scholar] [CrossRef]
- Torabi, A.; Mohammadbagheri, E.; Akbari Dilmaghani, N.; Bayat, A.H.; Fathi, M.; Vakili, K. Proinflammatory cytokines in the olfactory mucosa result in COVID-19 induced anosmia. ACS Chem. Neurosci. 2020, 11, 1909–1913. [Google Scholar] [CrossRef] [PubMed]
- Vaira, L.A.; Hopkins, C.; Petrocelli, M.; Lechien, J.R.; Cutrupi, S.; Salzano, G.; Chiesa-Estomba, C.M.; Saussez, S.; De Riu, G. Efficacy of corticosteroid therapy in the treatment of long-lasting olfactory disorders in COVID-19 patients. Rhinology 2020. [Google Scholar] [CrossRef]
- Le Bon, S.D.; Konopnicki, D.; Pisarski, N.; Prunier, L.; Lechien, J.R.; Horoi, M. Efficacy and safety of oral corticosteroids and olfactory training in the management of COVID-19-related loss of smell. Eur. Arch. Otorhinolaryngol. 2020. [Google Scholar] [CrossRef]
- Rashid, R.A.; Zgair, A.; Al-Ani, R.M. Effect of nasal corticosteroid in the treatment of anosmia due to COVID-19: A randomized double-blind placebo-controlled study. Am. J. Otolaryngol. 2021, 42, 103033. [Google Scholar] [CrossRef] [PubMed]
- Abdelalim, A.A.; Mohamady, A.A.; Elsayed, R.A.; Elawady, M.A.; Ghallab, A.F. Corticosteroid nasal spray for recovery of smell sensation in COVID-19 patients: A randomized controlled trial. Am. J. Otolaryngol. 2021, 42, 102884. [Google Scholar] [CrossRef]
- Herman, P.; Vincent, C.; Parietti Winkler, C.; Loundon, N.; Couloigner, V.; Tankere, F. Consensus statement. Corticosteroid therapy in ENT in the context of the COVID-19 pandemic. Eur. Ann. Otorhinolaryngol. Head Neck Dis. 2020, 137, 315–317. [Google Scholar] [CrossRef]
- Huart, C.; Philpott, C.M.; Altundag, A.; Fjaeldstad, A.W.; Frasnelli, J.; Gane, S. Systemic corticosteroids in coronavirus disease 2019 (COVID-19)-related smell dysfunction: An international view. Int. Forum Allergy Rhinol. 2021. [Google Scholar] [CrossRef]
- Mazzatenta, A.; Neri, G.; D’Ardes, D.; De Luca, C.; Marinari, S.; Porreca, E. Smell and taste in severe COVID-19: Self-reported vs. testing. Front. Med. 2020, 7, 589409. [Google Scholar] [CrossRef]
- Hannum, M.E.; Ramirez, V.A.; Lipson, S.J.; Herriman, R.D.; Toskala, A.K.; Lin, C. Objective sensory testing methods reveal a higher prevalence of olfactory loss in COVID-19-positive patients compared to subjective methods: A systematic review and meta-analysis. Chem. Senses 2020, 45, 865–874. [Google Scholar] [PubMed]
- Lechien, J.R.; Chiesa-Estomba, C.M.; Hans, S.; Calvo-Henriquez, C.; Mayo-Yáñez, M.; Tucciarone, M.; Vaira, L.A.; Saussez, S.; Saibene, A.M. Validity and reliability of the COVID-19 symptom index, an instrument evaluating severity of general and otolaryngological symptoms. Acta Otolaryngol. 2021. [Google Scholar] [CrossRef]
- Piccirillo, J.F.; Merritt, M.G., Jr.; Richards, M.L. Psychometric and clinimetric validity of the 20-Item Sino-Nasal Outcome Test (SNOT-20). Otolaryngol. Head Neck Surg. 2002, 126, 41–47. [Google Scholar] [CrossRef] [PubMed]
- Lechien, J.R.; Chiesa-Estomba, C.M.; Vaira, L.A.; De Riu, G.; Cammaroto, G.; Idrissi, Y.C. Epidemiological, otolaryngological, olfactory and gustatory outcomes according to the severity of COVID-19: A study of 2579 patients. Eur. Arch. Otorhinolaryngol. 2020. [Google Scholar] [CrossRef]
- Oleszkiewicz, A.; Schriever, V.A.; Croy, I.; Hähner, A.; Hummel, T. Updated Sniffin’ Sticks normative data based on an extended sample of 9139 subjects. Eur. Arch. Otorhinolaryngol. 2019, 276, 719–728. [Google Scholar] [CrossRef]
- Lechien, J.R.; Ducarme, M.; Place, S.; Chiesa-Estomba, C.M.; Khalife, M.; De Riu, G.; Vaira, L.A.; de Terwangne, C.; Machayekhi, S.; Marchant, A.; et al. Objective olfactory findings in hospitalized severe COVID-19 patients. Pathogens 2020, 9, 627. [Google Scholar] [CrossRef]
- World Health Organization. Clinical Management of COVID-19: Interim Guidance, 27 May 2020 (No. WHO/2019-nCoV/clinical/2020.5); World Health Organization: Geneva, Switzerland, 2020. [Google Scholar]
- Suzuki, M.; Saito, K.; Min, W.P.; Vladau, C.; Toida, K.; Itoh, H.; Murakami, S. Identification of viruses in patients with postviral olfactory dysfunction. Laryngoscope 2007, 117, 272–277. [Google Scholar] [CrossRef] [PubMed]
- Harless, L.; Liang, J. Pharmacologic treatment for postviral olfactory dysfunction: A systematic review. Int. Forum Allergy Rhinol. 2016, 6, 760–767. [Google Scholar] [CrossRef] [PubMed]
- Finney, L.J.; Glanville, N.; Farne, H.; Aniscenko, J.; Fenwick, P.; Kemp, S.V. Inhaled corticosteroids downregulate the SARS-CoV-2 receptor ACE2 in COPD through suppression of type I interferon. J. Allergy Clin. Immunol. 2021, 147, 510–519. [Google Scholar] [CrossRef] [PubMed]
- Matsuyama, S.; Kawase, M.; Nao, N.; Shirato, K.; Ujike, M.; Kamitani, W.; Shimojima, M.; Fukushid, S. The Inhaled Steroid Ciclesonide Blocks SARS-CoV-2 RNA replication by targeting the viral replication-transcription complex in cultured cells. J. Virol. 2020, 95, e01648-20. [Google Scholar] [CrossRef] [PubMed]
- Otte, M.S.; Bork, M.L.; Zimmerman, P.H.; Klussmann, J.P.; Luers, J.C. Persisting olfactory dysfunction improves in patients 6 months after COVID-19 disease. Acta Otolaryngol. 2021. [Google Scholar] [CrossRef]
- Desiato, V.M.; Levy, D.A.; Byun, Y.J.; Nguyen, S.A.; Soler, Z.M.; Schlosser, R.J. The prevalence of olfactory dysfunction in the general population: A systematic review and meta-analysis. Am. J. Rhinol. Allergy 2021, 35, 195–205. [Google Scholar] [CrossRef] [PubMed]





| Characteristics | OC + OT (59 Patients) | NC + OT (22 Patients) | OT (71 Patients) | p-Value | |
|---|---|---|---|---|---|
| Age (y − Mean ± SD) | 37.1 ± 11.9 | 42.95 ± 12.66 | 43.5 ± 14.25 | 0.236 | |
| Gender (F/M) | 35 F (59.3%) | 15 F (68.2%) | 40 F (56.4%) | 0.612 | |
| 24 M (40.7%) | 7 M (31.8%) | 31 M (43.6%) | |||
| Current Smoker | 5 (8.5%) | 1 (4.5%) | 11 (15.5%) | 0.254 | |
| History of seasonal allergy | 8 (13.6%) | 4 (18.2%) | 9 (12.7%) | 0.805 | |
| Comorbidities | Diabetes | 0 (0) | 2 (9.1%) | 1 (1.4%) | 0.11 |
| Hypercholesterolemia | 2 (3.4%) | 2 (9.1%) | 1 (1.4%) | 0.21 | |
| Hypertension | 5 (8.5%) | 4 (18.2%) | 8 (11.3%) | 0.467 | |
| Thyroid disorder | 4 (6.8%) | 2 (9.1%) | 7 (9.8%) | 0.818 | |
| Renal insufficiency | 0 (0) | 0 (0) | 0 (0) | 1 | |
| Liver insufficiency | 0 (0) | 0 (0) | 0 (0) | 1 | |
| Respiratory insufficiency | 0 (0) | 0 (0) | 0 (0) | 1 | |
| Asthma | 2 (3.4%) | 1 (4.5%) | 4 (5.6%) | 0.831 | |
| Reflux | 5 (8.5%) | 2 (9.1%) | 10 (14.1%) | 0.567 | |
| Heart disorder | 0 (0%) | 0 (0) | 3 (4.2%) | 0.532 | |
| Depression | 0 (0%) | 0 (0) | 3 (4.2%) | 0.532 | |
| Neurological disorder | 0 (0) | 0 (0) | 0 (0) | 1 | |
| Skin disorder | 5 (8.5%) | 0 (0) | 0 (0) | 0.153 | |
| Autoimmune disorder | 0 (0) | 0 (0) | 4 (5.6%) | 0.381 | |
| General Symptoms (N–%) | Headache | 46 (78%) | 13 (59%) | 53 (74.6%) | 0.222 |
| Cough | 43 (72.9%) | 10 (45.4%) | 56 (78.9%) | 0.02 | |
| Myalgia | 42 (71.2%) | 11 (50%) | 40 (56.3%) | 0.114 | |
| Dyspnea | 21 (35.6%) | 4 (18.2%) | 24 (33.8%) | 0.305 | |
| Fever (>38C) | 35 (59.3%) | 18 (81.8%) | 33 (46.5%) | 0.005 | |
| Arthralgia | 32 (54.2%) | 10 (45.5%) | 35 (49.2%) | 0.808 | |
| Diarrhea | 26 (44.1%) | 9 (40.9%) | 41 (57.7%) | 0.196 | |
| Fatigue | 50 (84.7%) | 15 (68.2%) | 47 (66.2%) | 0.05 | |
| Chest pain | 21 (35.6%) | 4 (18.2%) | 36 (50.7%) | 0.016 | |
| Abdominal pain | 22 (37.3%) | 4 (18.2%) | 20 (28.1%) | 0.217 | |
| Nausea, vomiting | 19 (32.2%) | 6 (27.3%) | 20 (28.1%) | 0.852 | |
| Conjunctivitis | 6 (10.2%) | 1 (4.5%) | 15 (21.1%) | 0.075 | |
| Urticaria | 5 (8.5%) | 0 (0) | 4 (5.6%) | 0.727 | |
| Olfact. disorder onset | SNOT-22 | 34.4 ± 21.2 | 38.3 ± 19.94 | 31.37 ± 13.56 | 0.462 |
| Before other symptoms | 8 (13.5%) | 5 (22.7%) | 17 (23.9%) | 0.065 | |
| During clinical course of the disease | 16 (27.1%) | 6 (27.3%) | 28 (39.4%) | ||
| After other symptoms | 35 (59.3%) | 11 (50%) | 26 (36.6%) | ||
| Taste disorder (self-reported) | 27 (45.7%) | 10 (45.4%) | 38 (53.5%) | 0.628 |
| Otolaryngological Symptom Severity | |||||||||||||||
|---|---|---|---|---|---|---|---|---|---|---|---|---|---|---|---|
| Absent (0) | Mild (1) | Moderate (2) | Severe (3) | Very Severe (4) | |||||||||||
| OC + OT | NC + OT | OT | OC + OT | NC + OT | OT | OC + OT | NC + OT | OT | OC + OT | NC + OT | OT | OC + OT | NC + OT | OT | |
| 59 | 22 | 71 | 59 | 22 | 71 | 59 | 22 | 71 | 59 | 22 | 71 | 59 | 22 | 71 | |
| Nasal obstruction | 35 (59.3%) | 9 (41%) | 30 (42.2%) | 8 (13.6%) | 2 (9.1%) | 22 (31%) | 9 (15.2%) | 3 (13.6%) | 10 (14.1%) | 4 (6.8%) | 5 (22.7%) | 8 (11.3%) | 3 (5.1%) | 2 (9.1%) | 1 (1.4%) |
| Rhinorrhea | 27 (45.8%) | 14 (63.6%) | 45 (63.4%) | 14 (23.7%) | 2 (9.1%) | 6 (8.4%) | 10 (16.9%) | 2 (9.1%) | 53 (74.6%) | 5 (8.5%) | 1 (4.5%) | 0 (0%) | 3 (5.1%) | 0 (0%) | 0 (0%) |
| Throat pain | 27 (45.8%) | 15 (68.2%) | 30 (42.2%) | 21 (35.6%) | 4 (18.2%) | 14 (19.7%) | 6 (10.2%) | 1 (4.5%) | 6 (8.4%) | 3 (5.1%) | 2 (9.1%) | 5 (7%) | 2 (3.4%) | 0 (0%) | 1 (1.4%) |
| Postnasal drip | 30 (50.8%) | 7 (31.8%) | 54 (76.1%) | 16 (27.1%) | 7 (31.8%) | 19 (26.8%) | 5 (8.5%) | 6 (27.3%) | 10 (14.1%) | 5 (8.5%) | 2 (9.1%) | 8 (11.3%) | 3 (5.1%) | 0 (0%) | 4 (5.6%) |
| Face pain/heaviness | 42 (71.2%) | 20 (90.9%) | 54 (76.1%) | 7 (11.9%) | 0 (0%) | 10 (14.1%) | 5 (8.5%) | 1 (4.5%) | 5 (7%) | 4 (6.8%) | 1 (4.5%) | 2 (2.8%) | 1 (1.7%) | 0 (0%) | 0 (0%) |
| Dysphonia | 48 (81.3%) | 20 (90.9%) | 29 (40.8%) | 6 (10.2%) | 2 (9.1%) | 10 (14.1%) | 5 (8.5%) | 0 (0%) | 5 (7%) | 0 (0%) | 0 (0%) | 2 (2.8%) | 0 (0%) | 0 (0%) | 0 (0%) |
| Nasal burning | 37 (62.7%) | 19 (86.4%) | 29 (40.8%) | 10 (16.9%) | 1 (4.5%) | 28 (39.4%) | 5 (8.5%) | 2 (9.1%) | 13 (18.3%) | 5 (8.5%) | 0 (0%) | 1 (1.4%) | 2 (3.4%) | 0 (0%) | 0 (0%) |
| Adverse Effects | OC + OT | |
|---|---|---|
| N | % | |
| Insomnia | 26 | 44.1 |
| Headache | 9 | 16.9 |
| Palpitation | 8 | 13.6 |
| Edema | 3 | 5.1 |
| Weight gain | 4 | 6.8 |
| Euphoria | 2 | 3.4 |
| Stomach/abdominal discomfort | 2 | 3.4 |
| Depression | 0 | |
| Asthenia | 0 | |
| Diarrhea | 0 | |
Publisher’s Note: MDPI stays neutral with regard to jurisdictional claims in published maps and institutional affiliations. |
© 2021 by the authors. Licensee MDPI, Basel, Switzerland. This article is an open access article distributed under the terms and conditions of the Creative Commons Attribution (CC BY) license (https://creativecommons.org/licenses/by/4.0/).
Share and Cite
Saussez, S.; Vaira, L.A.; Chiesa-Estomba, C.M.; Le Bon, S.D.; Horoi, M.; Deiana, G.; Petrocelli, M.; Boelpaep, P.; Salzano, G.; Khalife, M.; et al. Short-Term Efficacy and Safety of Oral and Nasal Corticosteroids in COVID-19 Patients with Olfactory Dysfunction: A European Multicenter Study. Pathogens 2021, 10, 698. https://doi.org/10.3390/pathogens10060698
Saussez S, Vaira LA, Chiesa-Estomba CM, Le Bon SD, Horoi M, Deiana G, Petrocelli M, Boelpaep P, Salzano G, Khalife M, et al. Short-Term Efficacy and Safety of Oral and Nasal Corticosteroids in COVID-19 Patients with Olfactory Dysfunction: A European Multicenter Study. Pathogens. 2021; 10(6):698. https://doi.org/10.3390/pathogens10060698
Chicago/Turabian StyleSaussez, Sven, Luigi Angelo Vaira, Carlos M. Chiesa-Estomba, Serge Daniel Le Bon, Mihaela Horoi, Giovanna Deiana, Marzia Petrocelli, Philippe Boelpaep, Giovanni Salzano, Mohamad Khalife, and et al. 2021. "Short-Term Efficacy and Safety of Oral and Nasal Corticosteroids in COVID-19 Patients with Olfactory Dysfunction: A European Multicenter Study" Pathogens 10, no. 6: 698. https://doi.org/10.3390/pathogens10060698
APA StyleSaussez, S., Vaira, L. A., Chiesa-Estomba, C. M., Le Bon, S. D., Horoi, M., Deiana, G., Petrocelli, M., Boelpaep, P., Salzano, G., Khalife, M., Hans, S., De Riu, G., Hopkins, C., & Lechien, J. R. (2021). Short-Term Efficacy and Safety of Oral and Nasal Corticosteroids in COVID-19 Patients with Olfactory Dysfunction: A European Multicenter Study. Pathogens, 10(6), 698. https://doi.org/10.3390/pathogens10060698

