Next Article in Journal
Age and Burnout: The Mediating Role of Emotion-Regulation Strategies
Previous Article in Journal
Inclusive Education through Digital Comic Creation in Higher Learning Environments
 
 
Font Type:
Arial Georgia Verdana
Font Size:
Aa Aa Aa
Line Spacing:
Column Width:
Background:
Article

Relationship between Socioeconomic Status and Pro-Environmental Behavior: The Role of Efficacy Beliefs

Department of Psychology, Catholic University of Croatia, 10000 Zagreb, Croatia
*
Author to whom correspondence should be addressed.
Soc. Sci. 2024, 13(5), 273; https://doi.org/10.3390/socsci13050273
Submission received: 29 November 2023 / Revised: 21 March 2024 / Accepted: 16 May 2024 / Published: 20 May 2024
(This article belongs to the Section Social Economics)

Abstract

Efficacy beliefs are important determinants of human behavior. In the context of social cognitive theory, the perception of collective efficacy is closely related to the individual perception of self-efficacy, which is influenced by socio-structural factors such as socioeconomic status (SES). Surprisingly, the relationship between these variables has received little attention in the literature on environmental issues. Within the framework of social cognitive theory, the aim of this study was to investigate whether SES has a direct effect on pro-environmental behavior and whether it has an indirect effect via perceptions of self-efficacy and collective efficacy, in relation to climate change mitigation behavior. An online cross-sectional study was conducted using a quota sample of 1075 participants (51.9% women) aged 18–79 years. Participants reported their SES using objective and subjective measures, perceptions of their own and collective efficacy in mitigating climate change, and the frequency of their pro-environmental behaviors. Structural equation modeling revealed that the model with serial mediation effects of self-efficacy and collective efficacy between SES (both objective and subjective) and pro-environmental behaviors showed a good model fit. As expected, both objective and subjective SES had no direct effect on pro-environmental behavior. Surprisingly, neither objective nor subjective SES had an indirect effect (via efficacy beliefs) on pro-environmental behavior. However, both self-efficacy and collective efficacy were associated with pro-environmental behavior. These findings have practical implications for the development of strategies aimed at enhancing pro-environmental behavior.

1. Introduction

Climate change is an urgent global issue requiring comprehensive engagement across all sectors of society. People play a significant role in the fight against climate change; by engaging in pro-environmental behaviors such as saving energy and buying recycled products (Stern et al. 1999; Stern 2000), they can collectively contribute to the global efforts to reduce greenhouse gas emissions and create a more sustainable and resilient future (Gardner and Stern 2008). It is critical to closely examine the determinants of pro-environmental behaviors, in order to promote them (Li et al. 2019). Some studies (Abraham et al. 2015; Chen 2015; Hamann and Reese 2020) show that one of these determinants is self-efficacy, i.e., a person’s belief that they are capable of performing a certain behavior. Self-efficacy, a cornerstone of social cognitive theory, plays a central role in human agency (Bandura 1982, 1989, 1999, 2000, 2002). Originally, the focus of the theory was on the personal agency of the individual and much of the research was devoted to self-efficacy. Over time, the scope of the theory expanded to include collective agency, with collective efficacy as a central element (Bandura 1986). According to Bandura (1997), the individual is not an isolated being within society, and numerous challenges in life revolve around common problems that require joint efforts. In the context of environmental issues, collective efficacy is of particular importance because environmental sustainability inherently requires the collective efforts of all members of society (Bonniface 2003). There are two main approaches to measuring collective efficacy (Bandura 2000; Fernández-Ballesteros et al. 2002). The first approach aggregates the perceived personal efficacies of group members. The second approach aggregates the members’ assessments of the capabilities of the group as a whole. As the latter approach is holistic and encompasses the coordinative and interactive dynamics within groups (Bandura 2000; Fernández-Ballesteros et al. 2002), we have chosen this approach.
Recognizing that efficacy should be examined in the context of specific behaviors in specific situations (Maddux 1995), this study examined both collective efficacy and self-efficacy in the context of climate change mitigation behaviors. Research has shown that collective environmental efficacy is a predictor of pro-environmental behaviors (e.g., Chen 2015; Hamann and Reese 2020; Thaker et al. 2016), as is environmental self-efficacy (Abraham et al. 2015; Chen 2015; Doherty and Webler 2016; Hamann and Reese 2020; Huang 2016; Innocenti et al. 2023; Meinhold and Malkus 2005; Tabernero and Hernández 2011). Several authors have found that collective efficacy plays a more important role than self-efficacy in predicting pro-environmental behavior (Chen 2015; Homburg and Stolberg 2006). Collective efficacy may be particularly relevant to pro-environmental behavior because environmental sustainability requires the efforts of all members of society (Bonniface 2003). Jugert et al. (2016) suggested that the strength of these factors lies not in their individual contribution to explaining variance, but in their ability to influence each other and collectively motivate pro-environmental behavior. In a series of experiments, the authors investigated the effects of collective efficacy on self-efficacy, from the perspective of social identity theory. In three of the four experiments, they found no direct effect of collective efficacy on pro-environmental intention. Their research showed that increasing perceived collective efficacy leads to pro-environmental intentions, primarily through increasing self-efficacy.
In contrast to the social identity perspective, the social cognitive perspective assumes that self-efficacy precedes the individual’s perception of collective efficacy (Fernández-Ballesteros et al. 2002). This relationship was confirmed in a study by Fernández-Ballesteros et al. (2002). They demonstrated that perceptions of collective efficacy are influenced, in part, by a strong sense of personal efficacy, particularly the belief that individuals can contribute to social change. The above-mentioned study by Jugert et al. (2016) also provided evidence that self-efficacy plays a crucial role in the perception of collective efficacy and consequently influences intentions for pro-environmental behavior. This relationship was found in two out of four experiments, although it was weaker than the one hypothesized from the social identity perspective. Jugert et al. (2016) focused on the triggering of social identification processes in small groups, e.g., young people in their home countries or students. These findings may not be directly transferable to larger groups (e.g., entire societies), which individuals may consider more relevant for coping with global climate change. In this study, we investigated people’s beliefs about the functioning of these larger groups, i.e., society as a whole.
We also considered socio-structural factors to explain the effects of the studied variables on pro-environmental behavior. According to social cognitive theory (Bandura 1982, 1989, 1999, 2000, 2002), the relationship between personal agency and social structure is interdependent. Personal agency is shaped by socio-structural factors, including socioeconomic status (SES) (Bandura 2002). SES assesses a person’s current access to various types of resources and is usually measured using objective indicators, such as income and education (Easterbrook et al. 2023). People with higher SES live in environments that provide them with more opportunities to align their outcomes with their desires, beliefs, and feelings (Daganzo and Bernardo 2018; Eom et al. 2018). Conversely, individuals in lower-SES environments characterized by limited resources may not have such opportunities. Consequently, individuals with lower SES may perceive external factors as having the greatest impact on their life outcomes, leading to a reduction in their self-efficacy (Eom et al. 2018).
In this study, we therefore examined the relationship between SES, self-efficacy, and collective efficacy in predicting pro-environmental behavior. Given the ongoing debate in the literature (e.g., Antonopolis 2023) about the validity of objective SES versus subjective SES measures (e.g., perceptions of standard of living), both measures were used, in our study.
Based on social cognitive theory, we hypothesized that both objective and subjective SES have an indirect effect on pro-environmental behavior. In particular, we hypothesized that individuals with higher SES have a stronger sense of self-efficacy. This contributes to a stronger sense of collective efficacy, which, in turn, contributes to more frequent pro-environmental behavior (H1). As social cognitive theory (Bandura 2002) assumes that socioeconomic status significantly influences psychosocial functioning and behavior via efficacy beliefs (Bandura 1999), we also hypothesized that both objective and subjective SES have no direct effect on pro-environmental behavior (H2).

2. Method

2.1. Participants

The participants in this study were adult residents of the Republic of Croatia. A quota sample was used in this study, where quotas were determined based on the geographical location and sex of the participants. Croatia is administratively divided into twenty-one counties, which were treated as separate categories for sampling purposes, to account for climatic differences in the country (the country is exposed to three climatic zones) (Šegota and Filipčić 1996) and related differences in the pronounced effects of climate change (Eptisa Adria d.o.o. 2017), such as experience with extreme weather. Personal experiences of extreme weather events have been shown to influence engagement with environmental issues (e.g., van der Linden 2017).
The exact number of participants in each county and sex category was determined using a proportional allocation method. Data from the State Agency for Statistics were used, in particular from the last census of 2021 conducted by the Croatian Bureau of Statistics (2021). The sample size was determined by first calculating the required number of participants for a confidence level of 95% and a margin of error of 3%, assuming a population of 3,204,957 adult residents. A total of 1075 participants (51.9% women) between the ages of 18 and 79 took part in this study.

2.2. Measures

In this study, we used both objective and subjective SES measures. Objective SES was assessed using the following two indicators: current monthly household income and education level. Participants rated their household’s current monthly income on an 8-point scale (1 = up to EUR 600, 2 = EUR 601–860, 3 = EUR 861–1130, 4 = EUR 1131–1660, 5 = EUR 1661–2190, 6 = EUR 2191–2720, 7 = EUR 2721–3250, 8 = more than EUR 3250) and indicated their highest level of education on a 5-point scale (1 = incomplete or completed elementary school, 2 = completed two- or three-year high school, 3 = completed four-year high school, 4 = Bachelor’s degree, 5 = Master’s or doctoral degree). For subjective SES assessments, a single item “How would you rate your standard of living in terms of total household income” on a 5-point scale from 1 (significantly below average) to 5 (significantly above average) was used. To assess the construct validity of the SES measure, a two-factor CFA measurement model of objective and subjective SES (Figure S1) was tested, where objective SES was represented by two indicators (income and education level) and subjective SES was represented by one indicator (perceived standard of living); both factors were allowed to co-vary. Because subjective SES is a latent variable with only one indicator, its error variance was set to zero, as suggested by Beaujean (2014). However, the fit of this model could not be verified because it had zero degrees of freedom. Therefore, its adequacy was examined in a more comprehensive overall measurement model with all constructs.
Efficacy was measured using seven items taken from Hornsey et al. (2015). Three items measured perceived self-efficacy in relation to climate change (e.g., “I believe my actions have an influence on climate change”) and four items measured perceived collective efficacy (e.g., “World governments and scientists, working together, can reduce the impacts of climate change”). Responses were recorded on a 6-point scale ranging from 1 (strongly disagree) to 6 (strongly agree). To assess the construct validity of this scale, a two-factor CFA measurement model was used, in which self-efficacy was represented by three items and collective efficacy was represented by four items; both factors were allowed to co-vary (Figure S2). This model showed a poor fit to the data (χ2(13) = 277.308; p < 0.05; CFI = 0.92; TLI = 0.86; RMSEA = 0.14; SRMR = 0.08). Inspection of the modification indices revealed that specifying a cross-loading for the first self-efficacy indicator (“I believe my actions have an influence on climate change”) would greatly improve the fit of the model. This could indicate the presence of method variance, as this item was the only reverse-keyed indicator of the self-efficacy subscale; that is, it was the only positively worded item, whereas all indicators of collective efficacy were also positively worded. The other two indicators of self-efficacy (“It is hard to imagine that individuals like myself can make a difference with respect to a global phenomenon such as climate change” and “There is little point in me taking action against climate change because so many others will not”) were negatively worded. Because the addition of cross-loading for the first self-efficacy item in the model specification was not justified from the standpoint of construct validity, this item was deleted from the model specification and a new model with six items was examined (Figure S3). The model fit improved greatly on most of the fit indices used (χ2(8) = 60.818; p < 0.05; CFI = 0.98; TLI = 0.96; RMSEA = 0.08; SRMR = 0.03), with only the RMSEA index being slightly above the recommended threshold of 0.06. In addition, most standardized factor loadings exceeded 0.7. Furthermore, the structural equation modeling (SEM)-based reliability of the self-efficacy subscale was reasonable, given the smaller number of items, and remained virtually the same before (0.643) and after (0.647) item removal. The reliability coefficient of the collective efficacy subscale (0.880) based on SEM indicated excellent reliability.
Pro-environmental behavior was assessed using eight items from Ojala (2012, 2013), covering everyday actions (e.g., “biking or walking instead of using a car”) and advocating for the environment to others (e.g., “encouraging friends to advocate for the environment”). Responses were recorded on a 5-point scale ranging from 1 (almost never) to 5 (almost always). The construct validity of this measure was assessed using an eight-item, single-factor CFA model (Figure S4). The fit of this model proved to be poor for all indices used (χ2(20) = 341.890; p < 0.05; CFI = 0.81; TLI = 0.73; RMSEA = 0.12; SRMR = 0.07), with most standardized factor loadings being below or just above 0.50. Therefore, we retained only the three indicators with the highest factor loadings and examined a new single-factor 3-item CFA measurement model (Figure S5). However, it was not possible to assess the goodness of fit of this model, because it was identified only with zero degrees of freedom. Therefore, it was further examined in the context of a comprehensive measurement model that included all the latent variables. After removing these five indicators, the reliability coefficient of the scale based on SEM decreased slightly from 0.745 (8-item) to 0.705 (3-item), indicating that the reliability of this shorter measurement was still adequate.

2.3. Procedure

The study was conducted online between March and June 2023 using the SoSci Survey Application (Leiner 2019). Participants in the study were recruited through active engagement by members of the research team, who used various social media platforms to distribute recruitment flyers with the link to the study. The researchers also used communication applications to share these recruitment flyers with their personal networks. After accessing the link to the study, participants were informed of the study’s aims and procedures, as well as their rights as participants, before completing the questionnaire. They were assured that their responses would remain anonymous and that no identifying data would be collected during the research process. Participants were informed that their data would be aggregated at a group level and used for research purposes only. It was explicitly stated that participants had the option to withdraw from the study at any time and that they could contact the researchers if they had any concerns or questions. Following this information, participants were asked to give their consent to participate in the study by clicking the ‘Continue’ button. Those who gave their consent then completed the questionnaire, which usually took around 20 min.

2.4. Data Analysis

To examine the relationships between the study constructs, we employed SEM, using the lavaan package version 0.6.16 (Rosseel 2012) in R (R Core Team 2013). Visualizations were created using the semPlot version 1.1.6 (Epskamp 2015) and Semptools version 0.2.9.12 (Cheung and Lai 2023) packages. Owing to the high chi-square sensitivity to sample size (Kline 2015), the model fit evaluation considered various indices (CLI, TLI, RMSEA, and SRMR), following Hu and Bentler’s (1999) cutoff guidelines. The reliability coefficients for the scales used were SEM-based ratios of explained to total variance in the latent variable indicators.

3. Results

The distribution of participants by household income and education level (indicators of objective SES) and by perceived standard of living as an indicator of subjective SES are shown in Table 1. Descriptive statistics on self-efficacy, collective efficacy, and pro-environmental behavior are shown in Table 2.
Extremely low or high household income was less common among the participants, with most being between EUR 1131 and EUR 2720 per month. Moreover, most participants had finished four years of high school or achieved an undergraduate or graduate degree and assessed their standard of living as average.
On average, participants rated their perceived environmental collective efficacy as fairly high, while self-efficacy rates were somewhat lower, but were still above the scale midpoint. The average assessment of pro-environmental behavior was at the midpoint.
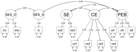
Before testing the study hypotheses using the full SEM model, the overall measurement model with all the constructs used in the study was specified, allowing for inter-latent covariances and inspection. This overall model was shown to have an excellent fit to the data (χ2(45) = 115.146; p < 0.05; CFI = 0.98; TLI = 0.97; RMSEA = 0.04; SRMR = 0.03). As shown in Figure 1, there was a significant positive relationship between self-and collective efficacy, and both efficacy measures were positively related to pro-environmental behavior.
However, neither objective nor subjective SES were significantly related to either self-or collective efficacy, while only subjective SES was negatively related to pro-environmental behavior. There was also a significant and strong positive relationship between the objective and subjective SES.
To test whether self and collective efficacy serially mediated the relationship between objective and subjective SES and pro-environmental behavior, the full SEM model shown in Figure 2 was specified with nine directional paths.
Self-efficacy and collective efficacy were regressed on objective and subjective SES scores. Collective efficacy was also regressed on self-efficacy, whereas pro-environmental behavior was regressed on all four latent constructs—objective and subjective SES, self-efficacy, and collective efficacy. The covariance between the two exogenous predictor variables, objective and subjective SES, was also specified in the model.
To test whether this model fits the data, goodness-of-fit indices were inspected and all of them revealed an excellent overall fit of the specified full structural model (χ2(45) = 115.146; p < 0.05; CFI = 0.98; TLI = 0.97; RMSEA = 0.04; SRMR = 0.03).
To test our hypothesis regarding the indirect effects of objective and subjective SES on pro-environmental behaviors via perceived self and collective efficacy, we tested six mediation pathways—four with one mediator and two with multiples. As shown in Table 3 none of the indirect effects were statistically significant.
Based on these results, we reject our H1. As shown in Figure 2, although higher self-efficacy was associated with higher collective efficacy, which, in turn, was associated with higher engagement in pro-environmental behaviors, contrary to initial expectations, neither SES indicator showed a correlation with self or collective efficacy. Although this was not part of the objectives of our study, we tested an additional mediation model (Figure S6) that only included self-efficacy as a predictor, collective efficacy as a mediator, and pro-environmental behavior as an outcome. The results showed that this narrower model also had an excellent and almost identical fit to the data (χ2(24) = 82.698; p < 0.05; CFI = 0.98; TLI = 0.98; RMSEA = 0.05; SRMR = 0.03).
As shown in Figure 2, neither the objective (b = −0.07, SE = 0.07, z = −0.89, p > 0.05) nor the subjective (b = −0.01, SE = 0.11, z = −0.11, p > 0.05) measures of SES had a direct effect on pro-environmental behavior, which is in accordance with H2.

4. Discussion

Climate change is one of the greatest challenges facing humanity. Research on factors related to pro-environmental behavior that can mitigate climate change is therefore of the utmost importance. Based on Bandura’s social cognitive theory, this study aimed to investigate the relationships between the objective and subjective measures of socioeconomic status, perceptions of self and collective efficacy in relation to climate change mitigation behaviors and pro-environmental behavior.
The results showed that the model with serial mediation effects of self-efficacy and collective efficacy between SES (both objective and subjective) and pro-environmental behavior showed a good fit. However, the results refute the first hypothesis that SES (both objective and subjective) has an indirect effect on pro-environmental behavior through self-efficacy and collective efficacy. Specifically, our structural model showed that neither objective nor subjective SES predicted self-efficacy, although we found significant positive associations among self-efficacy, collective efficacy, and pro-environmental behavior. We went one step further and tested the model fit with only the efficacy variables and pro-environmental behavior, which yielded a good fit. These results confirm the importance of efficacy beliefs in predicting pro-environmental behavior and the existence of a relationship between self-efficacy and collective efficacy from the perspective of social cognitive theory, with self-efficacy being a predictor of collective efficacy.
In contrast to our study, a study by Fernández-Ballesteros et al. (2002) found that objective SES significantly predicted self-efficacy, which, in turn, predicted collective efficacy. However, their study differs from our study in two ways, both related to the measurement of key variables. First, in the study by Fernández-Ballesteros et al. (2002), participants rated their efficiency in relation to important aspects of daily life at the personal level (family, partnership, work, personal finances, and health) and rated important society-wide problems at the collective level (unemployment, corruption, criminal and drug activities, economic crises, and terrorism). Secondly, objective SES was assessed using a comprehensive index that took into account various aspects such as the participants’ level of education, family income, occupational status and living environment. In our study, we conceptualized objective SES by combining education and monthly household income. This approach is consistent with that used in previous studies (e.g., Eom et al. 2018; Kraus et al. 2009; Piff et al. 2010). Nevertheless, some researchers (e.g., Antonopolis 2023) have raised concerns about the use of objective SES as an aggregate measure for various indicators. First, there is uncertainty about which indicators should be included in the aggregate measure of objective SES. Different studies use different indicators, which raises the question of comparability between studies. Furthermore, this approach raises the question of whether the different indicators reflect information about the same inherent individual characteristic. The results of our study seem to confirm the relevance of this question. It was found that the latent construct of objective SES explains only a small part of the variation in education, but a relatively large part in household income.
In light of these considerations, some authors (see Antonopolis 2023) suggest reconsidering the typical method of conceptualizing objective SES, which combines different indicators. Instead, alternative measurement approaches for SES are proposed. For this reason, we also used the subjective SES measure in this study, i.e., the individual’s assessment of their own SES (e.g., Adler et al. 2000). Subjective SES summarizes all relevant SES assessment information into a single score for researchers, taking into account unmeasured variables (e.g., school prestige) and reflecting participants’ self-perceptions of their social class (Antonopolis 2023). However, the results of our study show that there is no relationship between the SES measured in this way and the participants’ self-efficacy, in the fight against climate change.
Therefore, we offer an alternative explanation for the non-significant relationship between SES and self-efficacy in our study. In this study, self-efficacy is conceptualized as a person’s belief in their ability to contribute to tackling the problem of climate change. Climate change is not only an environmental problem, but also one of the most daunting social problems facing humanity (Ercan 2022; Zelezny and Schultz 2000). Since the problem of climate change is closely intertwined with human behavior, individuals have the opportunity to help mitigate the negative consequences of climate change. However, climate change is a far greater hurdle than overcoming personal adversity. Perhaps this explains the lack of a significant relationship between both types of SES and self-efficacy related to climate change. Regardless of SES, climate change remains a daunting societal problem, such that people from different socioeconomic backgrounds see barriers to coping with the problem. In this context, Fernández-Ballesteros et al. (2002) have shown that SES is more strongly related to a person’s perceived ability to cope with the demands of daily life (personal efficacy) than to their perceived ability to contribute to solving broader societal problems (individual collective efficacy). Our assessment of self-efficacy is consistent with what Fernández-Ballesteros et al. (2002) refer to as individual collective efficacy, emphasizing the nature of coping with complex social problems.
Our second hypothesis states that neither objectively nor subjectively measured SES has a direct relationship with pro-environmental behavior. Our results are consistent with this hypothesis, which is based on Bandura’s (1986, 1989, 2000, 2002) social cognitive theory. According to this theory, socio-structural factors such as SES have no direct effect on behavior. Although this hypothesis has been confirmed in other behavioral domains (e.g., Bandura et al. 1996), to our knowledge, this study is the first to examine the direct relationship between SES and pro-environmental behaviors.
This study has some limitations. First, it is a study with a cross-sectional design, which limits our ability to establish causality between variables. Second, our assessment of pro-environmental behavior was limited to the private sphere. To gain a more comprehensive understanding of pro-environmental behavior, it is imperative that future research include a broader range of measures. This expanded approach will allow for a more nuanced examination of pro-environmental behavior in different settings, both private and public, as well as in different contexts, such as at home and at work.
Despite these limitations, to our knowledge, this study is the first to examine how SES is related to climate change self-efficacy and collective efficacy to explain pro-environmental behavior. It also contributes to the literature on perceived collective efficacy by focusing on its relationship with self-efficacy. Although this was an online study, the use of quota sampling, with quotas based on participants’ geographic location and sex, effectively addressed the shortcomings often associated with online research. For example, male participants tend to have a significantly lower response rate than their female counterparts, as demonstrated in previous studies (Porter and Umbach 2006). This study also has a practical benefit. The results may have implications for the development of communication strategies to promote pro-environmental behavior, as well as for environmental education, which has been shown to play an important role in encouraging people to make changes at the individual and community level (Ardoin et al. 2020; Meyer 2004; Pullu and GÖmleksiz 2023).

5. Conclusions

Based on Bandura’s social cognitive theory, this study aimed to examine the relationships between SES, self-efficacy, collective efficacy, and pro-environmental behavior. As expected, SES had no direct effect on pro-environmental behavior. Surprisingly, the indirect effect of SES on pro-environmental behavior via self-efficacy and collective efficacy was also insignificant. These results suggest that socio-structural factors such as SES do not play a role in shaping beliefs about individual action in relation to climate change among Croatian residents. Although self-efficacy was found to be independent of SES, collective efficacy was shown to mediate the effect of self-efficacy on pro-environmental behavior. The results suggest that strengthening both individuals’ belief that they can make a difference (self-efficacy) and believing in the collective ability to address the problem of climate change (collective efficacy) are important to promote pro-environmental behavior among the Croatian population.

Supplementary Materials

The following supporting information can be downloaded at: https://www.mdpi.com/article/10.3390/socsci13050273/s1, Figure S1: Measurement Model for Objective and Subjective SES Latent Constructs; Figure S2: Measurement Model for Self and Collective Efficacy Latent Construct (7 items); Figure S3: Measurement Model for Self and Collective Efficacy Latent Constructs (6 items); Figure S4: Measurement Model for the Eight-item Pro-environmental Behavior Latent Construct; Figure S5: Measurement Model for the Three-item Pro-environmental Behavior Latent Construct; Figure S6: Parameter Estimates of the Narrower Full SEM Mediation Model.

Author Contributions

Conceptualization, I.V., L.B. and M.P.; methodology, I.V., L.B. and M.P.; software, I.V., L.B. and M.P.; validation, I.V., L.B. and M.P.; formal analysis, I.V., L.B. and M.P.; investigation, I.V., L.B. and M.P.; resources, I.V., L.B. and M.P.; data curation, I.V., L.B. and M.P.; writing—original draft preparation, I.V., L.B. and M.P.; writing—review and editing, I.V., L.B. and M.P.; visualization, I.V., L.B. and M.P.; supervision, I.V.; project administration, I.V.; funding acquisition, I.V. All authors have read and agreed to the published version of the manuscript.

Funding

This work was financed by the Catholic University of Croatia.

Institutional Review Board Statement

This study was approved by the Ethics Committee of the Catholic University of Croatia (Class: 641-03/22-03/035, No.: 498-15-06-22-001) and was conducted in accordance with the ethical standards of the Declaration of Helsinki.

Informed Consent Statement

Informed consent was obtained from all subjects involved in the study.

Data Availability Statement

The raw data file and R syntax have been uploaded to the Open Science Framework Repository and can be found at the following link https://osf.io/q8jb6/.

Conflicts of Interest

The authors declare no conflicts of interest.

References

  1. Abraham, Juneman, Murty M. Pane, and Rina P. Chairiyani. 2015. An investigation on cynicism and environmental self-efficacy as predictors of pro-environmental behavior. Psychology 6: 234–42. [Google Scholar] [CrossRef]
  2. Adler, Nancy E., Elissa S. Epel, Grace Castellazzo, and Jeannette R. Ickovics. 2000. Relationship of subjective and objective social status with psychological and physiological functioning: Preliminary data in healthy white women. Health Psychology: Official Journal of the Division of Health Psychology, American Psychological Association 19: 586–92. [Google Scholar] [CrossRef] [PubMed]
  3. Antonopolis, Stephen. 2023. Studying Socioeconomic Status: Conceptual Problems and an Alternative Path Forward. Perspectives on Psychological Science 18: 275–92. [Google Scholar] [CrossRef] [PubMed]
  4. Ardoin, Nicole M., Alison W. Bowers, and Estelle Gaillard. 2020. Environmental education outcomes for conservation: A systematic review. Biological Conservation 241: 1–13. [Google Scholar] [CrossRef]
  5. Bandura, Albert. 1982. Self-efficacy mechanism in human agency. American Psychologist 37: 122–47. [Google Scholar] [CrossRef]
  6. Bandura, Albert. 1986. Social Foundations of Thought and Action. Englewood Cliffs: Prentice Hall. [Google Scholar]
  7. Bandura, Albert. 1989. Human agency in social cognitive theory. American Psychologist 44: 1175–84. [Google Scholar] [CrossRef]
  8. Bandura, Albert. 1997. Self-Efficacy: The Exercise of Control. New York: W H Freeman/Times Books/Henry Holt & Co. [Google Scholar]
  9. Bandura, Albert. 1999. A social cognitive theory of personality. In Handbook of Personality. Edited by Laurence A. Pervin and Oliver P. John. New York: Guilford Press, pp. 154–96. [Google Scholar]
  10. Bandura, Albert. 2000. Exercise of human agency through collective efficacy. Current Directions in Psychological Science 9: 75–78. [Google Scholar] [CrossRef]
  11. Bandura, Albert. 2002. Social cognitive theory in cultural context. Applied Psychology 51: 269–90. [Google Scholar] [CrossRef]
  12. Bandura, Albert, Claudio Barbaranelli, Gian Vittorio Caprara, and Concetta Pastorelli. 1996. Multifaceted Impact of Self-Efficacy Beliefs on Academic Functioning. Child Development 67: 1206–22. [Google Scholar] [CrossRef]
  13. Beaujean, A. Alexander. 2014. Latent Variable Modeling Using R: A Step-by-Step Guide. New York: Routledge. [Google Scholar]
  14. Bonniface, Leesa N. 2003. A Drop in the Bucket: Collective Efficacy Perceptions Affect Waste Minimising Behaviours. Master’s thesis, Edith Cowan University, Joondalup, Australia. [Google Scholar]
  15. Chen, Mei-Fang. 2015. Self-efficacy or collective efficacy within the cognitive theory of stress model: Which more effectively explains people’s self-reported proenvironmental behavior? Journal of Environmental Psychology 42: 66–75. [Google Scholar] [CrossRef]
  16. Cheung, Shu Fai, and Mark Hok Chio Lai. 2023. Customizing Structural Equation Modelling Plots, R Package Version 0.2.9.12. Semptools; Available online: https://rdrr.io/cran/semptools/man/semptools-package.html (accessed on 3 January 2023).
  17. Croatian Bureau of Statistics. 2021. Census of Population, Household and Dwellings in 2021. Available online: https://dzs.gov.hr/ (accessed on 10 February 2023).
  18. Daganzo, Mary Angeline A., and Allan B. I. Bernardo. 2018. Socioeconomic status and problem attributions: The mediating role of sense of control. Cogent Psychology 5: 1525149. [Google Scholar] [CrossRef]
  19. Doherty, Kathryn L., and Thomas N. Webler. 2016. Social norms and efficacy beliefs drive the alarmed segment’s public-sphere climate actions. Nature Climate Change 6: 879–84. [Google Scholar] [CrossRef]
  20. Easterbrook, Matthew J., Toon Kuppens, and Lusine Grigoryan. 2023. Introduction to the Special Issue: Nuances of social class and socioeconomic status. International Journal of Social Psychology 38: 493–507. [Google Scholar] [CrossRef]
  21. Eom, Kimin, Heejung S. Kim, and David K. Sherman. 2018. Social class, control, and action: Socioeconomic status differences in antecedents of support for pro-environmental action. Journal of Experimental Social Psychology 77: 60–75. [Google Scholar] [CrossRef]
  22. Epskamp, Sacha. 2015. semPlot: Unified visualizations of structural equation models. Structural Equation Modeling 22: 474–83. [Google Scholar] [CrossRef]
  23. Eptisa Adria d.o.o. 2017. Draft Climate Change Adaptation Strategy in the Republic of Croatia for the Period to 2040 with a View to 2070 (White Book). Available online: https://prilagodba-klimi.hr/wp-content/uploads/docs/Draft%20CC%20Adaptation%20Strategy.pdf (accessed on 9 July 2023).
  24. Ercan, Safiye Neslihan. 2022. The Role of Social Psychology in Acquiring Proenvironmental Patterns of Living. Journal of Health Systems and Policies (JHESP) 4: 79–88. [Google Scholar] [CrossRef]
  25. Fernández-Ballesteros, Rocio, Juan Díez-Nicolás, Gian Vittorio Caprara, Claudio Barbaranelli, and Albert Bandura. 2002. Determinants and structural relation of personal efficacy to collective efficacy. Applied Psychology 51: 107–25. [Google Scholar] [CrossRef]
  26. Gardner, Gerald T., and Paul C. Stern. 2008. The Short List: The Most Effective Actions U.S. Households Can Take to Curb Climate Change. Environment: Science and Policy for Sustainable Development 50: 12–25. [Google Scholar] [CrossRef]
  27. Hamann, Karen R. S., and Gerhard Reese. 2020. My influence on the world (of others): Goal efficacy beliefs and efficacy affect predict private, public, and activist pro-environmental behavior. Journal of Social Issues 76: 35–53. [Google Scholar] [CrossRef]
  28. Homburg, Andreas, and Andreas Stolberg. 2006. Explaining pro-environmental behavior with a cognitive theory of stress. Journal of Environmental Psychology 26: 1–14. [Google Scholar] [CrossRef]
  29. Hornsey, Matthew J., Kelly S. Fielding, Ryan McStay, Joseph P. Reser, Graham L. Bradley, and Katharine H. Greenaway. 2015. Evidence for motivated control: Understanding the paradoxical link between threat and efficacy beliefs about climate change. Journal of Environmental Psychology 42: 57–65. [Google Scholar] [CrossRef]
  30. Hu, Li-tze, and Peter M. Bentler. 1999. Cutoff criteria for fit indexes in covariance structure analysis: Conventional criteria versus new alternatives. Structural Equation Modeling: A Multidisciplinary Journal 6: 1–55. [Google Scholar] [CrossRef]
  31. Huang, Huiping. 2016. Media use, environmental beliefs, self-efficacy, and pro-environ- mental behavior. Journal of Business Research 69: 2206–12. [Google Scholar] [CrossRef]
  32. Innocenti, Matteo, Gabriele Santarelli, Gaia Surya Lombardi, Lorenzo Ciabini, Doris Zjalic, Mattia Di Russo, and Chiara Cadeddu. 2023. How Can Climate Change Anxiety Induce Both Pro-Environmental Behaviours and Eco-Paralysis? The Mediating Role of General Self-Efficacy. International Journal of Environmental Research and Public Health 20: 3085. [Google Scholar] [CrossRef] [PubMed]
  33. Jugert, Philipp, Katharine H. Greenaway, Markus Barth, Ronja Büchner, Sarah Eisentraut, and Immo Fritsche. 2016. Collective efficacy increases pro-environmental intentions through increasing self-efficacy. Journal of Environmental Psychology 48: 12–23. [Google Scholar] [CrossRef]
  34. Kline, Rex B. 2015. Principles and Practice of Structural Equation Modeling. New York: The Guilford Press. [Google Scholar]
  35. Kraus, Michael W., Paul K. Piff, and Dacher Keltner. 2009. Social class, sense of control, and social explanation. Journal of Personality and Social Psychology 97: 992–1004. [Google Scholar] [CrossRef] [PubMed]
  36. Leiner, Dominik J. 2019. SoSci Survey (Version 3.1.06). Available online: https://www.soscisurvey.de (accessed on 3 January 2023).
  37. Li, Ding, Luman Zhao, Shuang Ma, Shuai Shao, and Lixiao Zhang. 2019. What influences an individual’s pro-environmental behavior? A literature review. Resources, Conservation and Recycling 146: 28–34. [Google Scholar] [CrossRef]
  38. Maddux, James E. 1995. Collective efficacy. In Self-Efficacy, Adaptation, and Adjustment: Theory, Research and Application. Edited by James E. Maddux. New York: Plenum Press, pp. 305–28. [Google Scholar]
  39. Meinhold, Jana L., and Amy J. Malkus. 2005. Adolescent environmental behaviors: Can knowledge, attitudes, and self-efficacy make a difference? Environment and Behavior 37: 511–32. [Google Scholar] [CrossRef]
  40. Meyer, Velena. 2004. The Ecological Footprint as an Environmental Education Tool for Knowledge, Attitude and Behaviour Changes towards Sustainable Living. Available online: https://core.ac.uk/download/pdf/43165713.pdf (accessed on 15 February 2024).
  41. Ojala, Maria. 2012. How do children cope with global climate change? Coping strategies, engagement, and well-being. Journal of Environmental Psychology 32: 225–33. [Google Scholar] [CrossRef]
  42. Ojala, Maria. 2013. Coping with climate change among adolescents: Implications for subjective well-being and environmental engagement. Sustainability 5: 2191–209. [Google Scholar] [CrossRef]
  43. Piff, Paul K., Michael W. Kraus, Stéphane Côté, Bonnie Hayden Cheng, and Dacher Keltner. 2010. Having less, giving more: The influence of social class on prosocial behavior. Journal of Personality and Social Psychology 99: 771–84. [Google Scholar] [CrossRef] [PubMed]
  44. Porter, Stephen R., and Paul D. Umbach. 2006. Student survey response rates across institutions: Why do they vary? Research in Higher Education 47: 229–47. [Google Scholar] [CrossRef]
  45. Pullu, Emine Kübra, and Mehmet Nuri GÖmleksiz. 2023. The Self-Efficacy Perception for Environmental Education and Ecological Footprint Awareness of the Child Development Programme Students. Discourse and Communication for Sustainable Education 14: 62–74. [Google Scholar] [CrossRef]
  46. R Core Team. 2013. R: A Language and Environment for Statistical Computing. Available online: http://www.R-project.org/ (accessed on 10 July 2023).
  47. Rosseel, Yves. 2012. lavaan: An R Package for Structural Equation Modeling. Journal of Statistical Software 48: 1–36. [Google Scholar] [CrossRef]
  48. Stern, Paul C. 2000. New Environmental Theories: Toward a Coherent Theory of Environmentally Significant Behaviour. Journal of Social Issues 56: 407–24. [Google Scholar] [CrossRef]
  49. Stern, Paul C., Thomas Dietz, Troy Abel, Gregory A. Guagnano, and Linda Kalof. 1999. A value-belief-norm theory of support for social movements: The case of environmentalism. Human Ecology Review 6: 81–97. [Google Scholar]
  50. Šegota, Tomislav, and Anita Filipčić. 1996. Klimatologija za Geografe. Zagreb: Školska knjiga. [Google Scholar]
  51. Tabernero, Carmen, and Bernardo Hernández. 2011. Self-efficacy and intrinsic motivation guiding environmental behavior. Environment and Behavior 43: 658–75. [Google Scholar] [CrossRef]
  52. Thaker, Jagadish, Edward Maibach, Anthony Leiserowitz, Xiaoquan Zhao, and Peter Howe. 2016. The role of collective efficacy in climate change adaptation in India. Weather, Climate, and Society 8: 21–34. [Google Scholar] [CrossRef]
  53. van der Linden, Sander. 2017. Determinants and measurement of climate change risk perception, worry, and concern. In The Oxford Encyclopedia of Climate Change Communication. Edited by Matthew C. Nisbet, Mike S. Schäfer, Ezra Markowitz, Shirley S. Ho, Saffron O’Neill and Jagadish Thaker. Oxford: Oxford University Press. Available online: https://papers.ssrn.com/sol3/papers.cfm?abstract_id=2953631 (accessed on 10 July 2023).
  54. Zelezny, Lynette C., and P. Wesley Schultz. 2000. Promoting environmentalism. Journal of Social Issues 56: 365–71. [Google Scholar] [CrossRef]
Figure 1. Overall measurement model with all latent constructs included in the study. Note: Standardized coefficients are presented. Only significant covariances are shown. SES_O—objective SES; SES_S—subjective SES; SE—self-efficacy; CE—collective efficacy; PEB—pro-environmental behavior.
Figure 1. Overall measurement model with all latent constructs included in the study. Note: Standardized coefficients are presented. Only significant covariances are shown. SES_O—objective SES; SES_S—subjective SES; SE—self-efficacy; CE—collective efficacy; PEB—pro-environmental behavior.
Socsci 13 00273 g001
Figure 2. Parameter estimates of the full serial mediation model. Note: Standardized coefficients are presented. Only significant regression paths are shown. SES_O—objective SES; SES_S—subjective SES; SE—self-efficacy; CE—collective efficacy; PEB—pro-environmental behavior.
Figure 2. Parameter estimates of the full serial mediation model. Note: Standardized coefficients are presented. Only significant regression paths are shown. SES_O—objective SES; SES_S—subjective SES; SE—self-efficacy; CE—collective efficacy; PEB—pro-environmental behavior.
Socsci 13 00273 g002
Table 1. Distribution of participants by frequency of household income, education level, and standard of living.
Table 1. Distribution of participants by frequency of household income, education level, and standard of living.
SES Indicator % of Participants
Household incomeUp to EUR 600 4
EUR 601–860 5.3
EUR 861–1130 12.7
EUR 1131–1660 16.7
EUR 1661–2190 18
EUR 2191–2720 18.9
EUR 2721–3250 10.3
More than EUR 3250 14.1
EducationIncomplete or completed elementary school1.5
Completed two or three years of high school4
Completed four years of high school38.8
Bachelor’s degree47.5
Master’s or doctoral degree8.1
Standard of livingSignificantly below average1.2
Below average8.5
Average66.2
Above average22.9
Significantly above average1.2
Table 2. Descriptive statistics of responses about self-efficacy, collective efficacy, and pro-environmental behavior.
Table 2. Descriptive statistics of responses about self-efficacy, collective efficacy, and pro-environmental behavior.
MSDMinimumMaximum
Self-efficacy4.111.21516
Collective efficacy4.71.10716
Pro-environmental behavior3.130.90015
Table 3. Estimates of objective/subjective SES and pro-environmental behavior indirect association through self and collective efficacy.
Table 3. Estimates of objective/subjective SES and pro-environmental behavior indirect association through self and collective efficacy.
bSEzp95% CI Lower95% CI Upper
SES_OSE0.006.630.001−0.1130.163
CE−0.007.55−0.001−0.0600.075
SE and CE0.004.410.001−0.0310.028
SES_SSE−0.029.11−0.000.99−0.2260.142
CE−0.0110.42−0.000.99−0.1120.077
SE and CE−0.006.14−0.001−0.0410.039
Note. Bootstrap confidence intervals based on 5000 samples are presented. SES_O—objective SES, SES_S—subjective SES, SE—self-efficacy, CE—collective efficacy.
Disclaimer/Publisher’s Note: The statements, opinions and data contained in all publications are solely those of the individual author(s) and contributor(s) and not of MDPI and/or the editor(s). MDPI and/or the editor(s) disclaim responsibility for any injury to people or property resulting from any ideas, methods, instructions or products referred to in the content.

Share and Cite

MDPI and ACS Style

Vrselja, I.; Batinić, L.; Pandžić, M. Relationship between Socioeconomic Status and Pro-Environmental Behavior: The Role of Efficacy Beliefs. Soc. Sci. 2024, 13, 273. https://doi.org/10.3390/socsci13050273

AMA Style

Vrselja I, Batinić L, Pandžić M. Relationship between Socioeconomic Status and Pro-Environmental Behavior: The Role of Efficacy Beliefs. Social Sciences. 2024; 13(5):273. https://doi.org/10.3390/socsci13050273

Chicago/Turabian Style

Vrselja, Ivana, Lana Batinić, and Mario Pandžić. 2024. "Relationship between Socioeconomic Status and Pro-Environmental Behavior: The Role of Efficacy Beliefs" Social Sciences 13, no. 5: 273. https://doi.org/10.3390/socsci13050273

APA Style

Vrselja, I., Batinić, L., & Pandžić, M. (2024). Relationship between Socioeconomic Status and Pro-Environmental Behavior: The Role of Efficacy Beliefs. Social Sciences, 13(5), 273. https://doi.org/10.3390/socsci13050273

Note that from the first issue of 2016, this journal uses article numbers instead of page numbers. See further details here.

Article Metrics

Back to TopTop