How Employee Job Burnout, Work Engagement, and Turnover Intention Relate to Career Plateau during the Epidemic
Abstract
1. Introduction
2. Literature Review
2.1. Career Plateaus and Turnover Intention
2.2. Career Plateau, Job Burnout, and Turnover Intention
2.3. Career Plateau, Work Engagement, and Turnover Intention
2.4. Training, Job Rotation, Career Plateau, Work Engagement, and Job Burnout
3. Materials and Methods
3.1. Scale
3.2. Data
3.3. Sample
3.4. Measures
4. Results
5. Discussion and Implications
5.1. Discussion
5.2. Implications
5.3. Limitations
Author Contributions
Funding
Institutional Review Board Statement
Informed Consent Statement
Data Availability Statement
Conflicts of Interest
References
- Abele, Andrea E., Daniel Spurk, and Judith Volmer. 2011. The construct of career success: Measurement issues and an empirical example. Zeitschrift für Arbeitsmarktforschung 43: 195–206. [Google Scholar] [CrossRef]
- Allen, David G., Kelly P. Weeks, and Karen R. Moffitt. 2005. Turnover intentions and voluntary turnover: The moderating roles of self-monitoring, locus of control, proactive personality, and risk aversion. Journal of Applied Psychology 90: 980. [Google Scholar] [CrossRef]
- Allen, Tammy D., Mark L. Poteet, and Joyce E. A. Russell. 1998. Attitudes of managers who are more or less career plateaued. The Career Development Quarterly 47: 159–72. [Google Scholar] [CrossRef]
- Antony, M. Ruban. 2018. Paradigm shift in employee engagement—A critical analysis on the drivers of employee engagement. International Journal of Information, Business, and Management 10: 32–46. [Google Scholar]
- Armstrong-Stassen, Marjorie, and Nancy D. Ursel. 2009. Perceived organizational support, career satisfaction, and the retention of older workers. Journal of Occupational and Organizational Psychology 82: 201–20. [Google Scholar] [CrossRef]
- Bardwick, Judith M. 1986. The Plateauing Trap, Part 1: Getting Caught. Personnel 63: 46–51. [Google Scholar]
- Beheshtifar, Malikeh. 2017. Relationship between Nurses’ Plateau and Job Burnout in Kerman Private Hospitals in 2014. Payavard Salamat 11: 75–84. [Google Scholar]
- Burke, Ronald J. 1989. Examining the career plateau: Some preliminary findings. Psychological Reports 65: 295–306. [Google Scholar] [CrossRef]
- Campion, Michael A., Lisa Cheraskin, and Michael J. Stevens. 1994. Career-related antecedents and outcomes of job rotation. Academy of Management Journal 37: 1518–42. [Google Scholar] [CrossRef]
- Cherniss, Cary, and C. Cherniss. 1980. Staff Burnout: Job Stress in the Human Services. London: Sage Publications. [Google Scholar]
- Cotton, John L., and Jeffrey M. Tuttle. 1986. Employee turnover: A meta-analysis and review with implications for research. Academy of Management Review 11: 55–70. [Google Scholar] [CrossRef]
- Drucker-Godard, Carole, Thierry Fouque, Mathilde Gollety, and Alice Le Flanchec. 2015. Career plateauing, job satisfaction and commitment of scholars in French universities. Public Organization Review 15: 335–51. [Google Scholar] [CrossRef]
- Dryhurst, Sarah, Claudia R. Schneider, John Kerr, Alexandra L. J. Freeman, Gabriel Recchia, Anne Marthe Van Der Bles, David Spiegelhalter, and Sander Van Der Linden. 2020. Risk perceptions of COVID-19 around the world. Journal of Risk Research 23: 994–1006. [Google Scholar] [CrossRef]
- Duan-Porter, Wei, Daniel Hatch, Jane F. Pendergast, Gabriele Freude, Uwe Rose, Hermann Burr, Grit Muller, Peter Martus, Anne Pohrt, and Guy Potter. 2018. 12-month trajectories of depressive symptoms among nurses—Contribution of personality, job characteristics, coping, and burnout. Journal of Affective Disorders 234: 67–73. [Google Scholar] [CrossRef] [PubMed]
- Edú-Valsania, Sergio, Ana Laguía, and Juan A. Moriano. 2022. Burnout: A review of theory and measurement. International Journal of Environmental Research and Public Health 19: 1780. [Google Scholar] [CrossRef] [PubMed]
- Fayyazi, Marjan, and Soraya Ziaei. 2015. Explanation of the consequences of career plateau in organizations. Transformation Management Journal 6: 73–91. [Google Scholar]
- Feldman, Daniel C., and Barton A. Weitz. 1988. Career plateaus reconsidered. Journal of Management 14: 69–80. [Google Scholar]
- Ference, Thomas P., James A. F. Stoner, and E. Kirby Warren. 1977. Managing the career plateau. The Academy of Management Review 2: 602–12. [Google Scholar] [CrossRef]
- Fornell, Claes, and David F. Larcker. 1981. Evaluating structural equation models with unobservable variables and measurement error. Journal of Marketing Research 18: 39–50. [Google Scholar] [CrossRef]
- Freudenberger, Herbert J. 1974. Staff burn-out. Journal of Social Issues 30: 159–65. [Google Scholar] [CrossRef]
- Futrell, Charles M., and A. Parasuraman. 1984. The relationship of satisfaction and performance to salesforce turnover. Journal of Marketing 48: 33–40. [Google Scholar] [CrossRef]
- Gao, Shengyi, Patricia L. Mokhtarian, and Robert A. Johnsto. 2008. Nonnormality of data in structural equation models. Transportation Research Record 2082: 116–24. [Google Scholar] [CrossRef]
- Godshalk, Veronica M., and C. Melissa Fender. 2015. External and internal reasons for career plateauing: Relationships with work outcomes. Group and Organization Management 40: 529–59. [Google Scholar] [CrossRef]
- Goering, Daniel D., Akihito Shimazu, Feigu Zhou, Tyki Wada, and Ryutar Sakai. 2017. Not if, but how they differ: A meta-analytic test of the nomological networks of burnout and engagement. Burnout Research 5: 21–34. [Google Scholar] [CrossRef]
- González-Morales, M Gloria, Jos’e M. Peiró, Isabel Rodríguez, and Paul D. Bliese. 2012. Perceived collective burnout: A multilevel explanation of burnout. Anxiety, Stress and Coping 25: 43–61. [Google Scholar] [CrossRef]
- Gray-Stanley, Jennifer A., and Naoko Muramatsu. 2011. Work stress, burnout, and social and personal resources among direct care workers. Research in Developmental Disabilities 32: 1065–74. [Google Scholar] [CrossRef] [PubMed]
- Hair, Joseph F., William C. Black, Barry J. Babin, Rolph E. Anderson, and Ronald L. Tatham. 2014. Pearson new international edition. In Multivariate Data Analysis, 7th ed. Essex: Pearson Education Limited Harlow. [Google Scholar]
- Hofstetter, Hila, and Aaron Cohen. 2014. The mediating role of job content plateau on the relationship between work experience characteristics and early retirement and turnover intentions. Personnel Review 43: 350–76. [Google Scholar] [CrossRef]
- Huaman-Ramirez, Richard, and Khaled Lahlouh. 2022. Understanding career plateaus and their relationship with coworker social support and organizational commitment. Public Organization Review 1: 1–22. [Google Scholar] [CrossRef]
- Kao, Kuo-Yang, Hao-Hsin Hsu, Hui-Ting Lee, Yen-Chuan Cheng, Ines Dax, and Meng-Wen Hsieh. 2022. Career mentoring and job content plateaus: The roles of perceived organizational support and emotional exhaustion. Journal of Career Development 49: 457–70. [Google Scholar] [CrossRef]
- Karatepe, Osman M., and Olusegun A. Olugbade. 2016. The mediating role of work engagement in the relationship between high-performance work practices and job outcomes of employees in Nigeria. International Journal of Contemporary Hospitality Management 28: 2350–71. [Google Scholar] [CrossRef]
- Khamisa, Natasha, Karl Peltzer, Dragan Ilic, and Brian Oldenburg. 2015. Work-related stress, burnout, job satisfaction and general health of nurses. International Journal of Environmental Research and Public Health 12: 652–66. [Google Scholar] [CrossRef] [PubMed]
- Kim, Youngshin. 2016. Music therapists’ job demands, job autonomy, social support, and their relationship with burnout and turnover intention. The Arts in Psychotherapy 51: 17–23. [Google Scholar] [CrossRef]
- Kraimer, Maria L., Scott E. Seibert, Sandy J. Wayne, Robert C. Liden, and Jes Bravo. 2011. Antecedents and outcomes of organizational support for development: The critical role of career opportunities. Journal of Applied Psychology 96: 485–500. [Google Scholar] [CrossRef]
- Kwon, Jung Eon. 2022. The impact of career plateau on job burnout in the COVID-19 pandemic: A moderating role of regulatory focus. International Journal of Environmental Research and Public Health 19: 1087. [Google Scholar] [CrossRef]
- Lam, Long W. 2012. Impact of competitiveness on salespeople’s commitment and performance. Journal of Business Research 65: 1328–34. [Google Scholar] [CrossRef]
- Lapalme, Marie-Ève, Michel Tremblay, and Gilles Simard. 2009. The relationship between career plateauing, employee commitment, and psychological distress: The role of organizational and supervisor support. The International Journal of Human Resource Management 20: 1132–45. [Google Scholar] [CrossRef]
- Lee, Raymond T., and Blake E. Ashforth. 1993. A further examination of managerial burnout: Toward an integrated model. Journal of Organizational Behavior 14: 3–20. [Google Scholar] [CrossRef]
- Leiter, Michael P., and Christina Maslach. 1988. The impact of interpersonal environment on burnout and organizational commitment. Journal of Organizational Behavior 9: 297–308. [Google Scholar] [CrossRef]
- Lemire, Louise, Tania Saba, and Yves-Chantal Gagnon. 1999. Managing career plateauing in the Quebec public sector. Public Personnel Management 28: 375–91. [Google Scholar] [CrossRef]
- Lentz, Elizabeth, and Tammy D. Allen. 2009. The role of mentoring others in the career plateauing phenomenon. Group and Organization Management 34: 358–384. [Google Scholar] [CrossRef]
- Lin, Yi-chun, and Angela Shin-yih Chen. 2021. Experiencing career plateau on a committed career journey: A boundary condition of career stages. Personnel Review 50: 1797–819. [Google Scholar] [CrossRef]
- Maricuțoiu, Laurențiu P., Coralia Sulea, and Alina Iancu. 2017. Work engagement or burnout: Which comes first? A meta-analysis of longitudinal evidence. Burnout Research 5: 35–43. [Google Scholar] [CrossRef]
- Maslach, Christina, and Michael P. Leiter. 2008. Early predictors of job burnout and engagement. Journal of Applied Psychology 93: 498. [Google Scholar] [CrossRef]
- Maslach, Christina, Susan E. Jackson, and Michael P. Leiter. 1997. Maslach Burnout Inventory. Lanham: Scarecrow Education. [Google Scholar]
- Maslach, Christina, Wilmar B. Schaufeli, and Michael P. Leiter. 2001. Job burnout. Annual Review of Psychology 52: 397–422. [Google Scholar] [CrossRef] [PubMed]
- Mauno, Saija, Ulla Kinnunen, and Mervi Ruokolainen. 2007. Job demands and resources as antecedents of work engagement: A longitudinal study. Journal of Vocational Behavior 70: 149–71. [Google Scholar] [CrossRef]
- McCleese, Carrie S., and Lillian T. Eby. 2006. Reactions to job content plateaus: Examining role ambiguity and hierarchical plateaus as moderators. The Career Development Quarterly 55: 64–76. [Google Scholar] [CrossRef]
- Milliman, John Frost. 1993. Causes, Consequences, and Moderating Factors of Career Plateauing. Ph.D. thesis, University of Southern California Los Angeles, Los Angeles, CA, USA. [Google Scholar]
- Nachbagauer, Andreas G. M., and Gabriela Riedl. 2002. Effects of concepts of career plateaus on performance, work satisfaction, and commitment. International Journal of Manpower 23: 716–33. [Google Scholar] [CrossRef]
- Naseer, Saira, Sidra Khalid, Summaira Parveen, Kashif Abbass, Huaming Song, and Monica Violet Achim. 2022. COVID-19 outbreak: Impact on global economy. Frontiers in Public Health 10: 1009393. [Google Scholar] [CrossRef] [PubMed]
- Rawashdeh, Adnan M., and Saleh Abdalhameed Tamimi. 2020. The impact of employee perceptions of training on organizational commitment and turnover intention: An empirical study of nurses in Jordanian hospitals. European Journal of Training and Development 44: 191–207. [Google Scholar] [CrossRef]
- Rawolle, Maika, Mira S. v. Wallis, Richard Badham, and Hugo M. Kehr. 2016. No fit, no fun: The effect of motive incongruence on job burnout and the mediating role of intrinsic motivation. Personality and Individual Differences 89: 65–68. [Google Scholar] [CrossRef]
- Roberts, Darryl R., and Thomas O. Davenport. 2002. Job engagement: Why it’s important and how to improve it. Employment Relations Today 29: 21. [Google Scholar] [CrossRef]
- Rotondo, Demise M., and Pamela L. Perrewe. 2000. Coping With a Career Plateau: An Empirical Examination of What Works and What Doesn’t 1. Journal of Applied Social Psychology 30: 2622–46. [Google Scholar] [CrossRef]
- Saks, Alan M., and Jamie A. Gruman. 2011. Manage employee engagement to manage performance. Industrial and Organizational Psychology 4: 204–7. [Google Scholar] [CrossRef]
- Salvagioni, Denise Albieri Jodas, Francine Nesello Melanda, Arthur Eumann Mesas, Alberto Dur’na González, F’avia Lopes Gabani, and Selma Maffei de Andrade. 2017. Physical, psychological and occupational consequences of job burnout: A systematic review of prospective studies. PLoS ONE 12: e0185781. [Google Scholar] [CrossRef]
- Schaufeli, W., and M. Salanova. 2014. Burnout, Boredom and Engagement in the Workplace. In An Introduction to Contemporary Work Psychology. Edited by M. C. W. Peeters, J. de Jonge and T. W. Taris. New York: Wiley, pp. 293–320. [Google Scholar]
- Schaufeli, Wilmar, and Marisa Salanova. 2011. Work engagement: On how to better catch a slippery concept. European Journal of Work and Organizational Psychology 20: 39–46. [Google Scholar] [CrossRef]
- Schaufeli, Wilmar B., Marisa Salanova, Vicente González-Romá, and Arnold B. Bakker. 2002. The measurement of engagement and burnout: A two sample confirmatory factor analytic approach. Journal of Happiness Studies 3: 71–92. [Google Scholar] [CrossRef]
- Scott, Ryan, and Cause Leadership. 2017. Employee Engagement Is Declining Worldwide. Forbes. Available online: https://www.forbes.com/sites/causeintegration/2017/06/01/employee-engagement-is-declining-worldwide/?sh=53442a434e2f (accessed on 3 May 2020).
- Singh, Parbudyal, and Natasha Loncar. 2010. Pay satisfaction, job satisfaction, and turnover intent. Relations Industrielles 65: 470–90. [Google Scholar] [CrossRef]
- Smith-Ruig, Theresa. 2009. Exploring career plateau as a Multi-faceted phenomenon: Understanding the types of career plateaux experienced by accounting professionals. British Journal of Management 20: 610–22. [Google Scholar] [CrossRef]
- Stoyanova, Tzvetana, and Ivaylo Iliev. 2017. Employee engagement factor for organizational excellence. International Journal of Business and Economic Sciences Applied Research 10: 23–29. [Google Scholar] [CrossRef]
- Tarcan, Menderes, Necset Hikmet, Benjamin Schooley, Mehmet Top, and Gamze Yorgancioglu Tarcan. 2017. An analysis of the relationship between burnout, socio-demographic and workplace factors, and job satisfaction among emergency department health professionals. Applied Nursing Research 34: 40–47. [Google Scholar] [CrossRef] [PubMed]
- Taris, Toon W., Jan Fekke Ybema, and Ilona van Beek. 2017. Burnout and engagement: Identical twins or just close relatives? Burnout Research 5: 3–11. [Google Scholar] [CrossRef]
- Tremblay, Richard E., Linda Pagani-Kurtz, Louise C. Mâsse, Frank Vitaro, and Robert O. Pihl. 1995. A bimodal preventive intervention for disruptive kindergarten boys: Its impact through mid-adolescence. Journal of Consulting and Clinical Psychology 63: 560. [Google Scholar] [CrossRef] [PubMed]
- Tripathy, Mitashree. 2020. Significance of soft skills in career development. In Career Development and Job Satisfaction. London: IntechOpen. [Google Scholar] [CrossRef]
- Veiga, John F. 1981. Plateaued versus non-plateaued managers: Career patterns, attitudes, and path potential. Academy of Management Journal 24: 566–78. [Google Scholar] [CrossRef]
- Wang, Yu-Hsuan, Changya Hu, Carrie S. Hurst, and Chun-Chi Yang. 2014. Antecedents and outcomes of career plateaus: The roles of mentoring others and proactive personality. Journal of Vocational Behavior 85: 319–28. [Google Scholar] [CrossRef]
- Wolf, James F. 1983. Career plateauing in the public service: Baby boom and employment bust. Public Administration Review 43: 160–65. [Google Scholar]
- Xie, Bao-Guo, and Li-Rong Long. 2008. The effects of career plateau on job satisfaction, organizational commitment, and turnover intentions. Acta Psychologica Sinica 40: 927. [Google Scholar] [CrossRef]
- Xie, Baoguo, Xun Xin, and Guanglin Bai. 2016. Hierarchical plateau and turnover intention of employees at the career establishment stage: Examining mediation and moderation effects. Career Development International 21: 518–33. [Google Scholar] [CrossRef]
- Yang, Wei-Ning, Karen Niven, and Sheena Johnso. 2019. Career plateau: A review of 40 years of research. Journal of Vocational Behavior 110: 286–302. [Google Scholar] [CrossRef]
- Zhang, Yanjuan. 2016. A review of employee turnover influences factors and countermeasures. Journal of Human Resource and Sustainability Studies 4: 85–91. [Google Scholar] [CrossRef]



| Frequency | Percentage | ||
|---|---|---|---|
| Gender | Female | 141 | 49.47 |
| Male | 144 | 50.53 | |
| Marriage | Unmarried | 63 | 22.1 |
| Married | 222 | 77.9 | |
| Age | 21–30 | 66 | 23.2 |
| 31–40 | 130 | 45.6 | |
| 41–50 | 64 | 22.5 | |
| 51 and above | 25 | 8.8 | |
| Education | Junior high school | 107 | 37.5 |
| High school | 111 | 38.9 | |
| University and above | 67 | 23.5 | |
| Position | Dealer | 208 | 73 |
| Supervisor | 65 | 22.8 | |
| Pit manager | 12 | 4.2 | |
| Seniority | 4 years and below | 83 | 29.1 |
| 5–10 years | 149 | 52.3 | |
| 11–15 years | 49 | 17.2 | |
| 15 years and above | 4 | 1.5 | |
| Firm | Macau Entertainment | 41 | 14.4 |
| MGM China | 61 | 21.4 | |
| Melco Entertainment | 56 | 19.6 | |
| Wynn China | 71 | 24.9 | |
| Sands China | 41 | 14.4 | |
| Galaxy Entertainment | 15 | 5.3 |
| Item | Loading | SMC | CR | AVE | |
|---|---|---|---|---|---|
| Career plateau | I have limited space for further promotion at the company. | 0.824 | 0.679 | 0.775 | 0.423 |
| I could not have gotten a higher position in this company. | 0.832 | 0.692 | |||
| My current job in the company can use my talents. | 0.455 | 0.207 | |||
| I will accept any work arrangement to stay in the company. | 0.520 | 0.270 | |||
| I am happy that I chose to work for the company. | 0.517 | 0.267 | |||
| Turnover intention | I will leave my current company if given the opportunity. | 0.816 | 0.666 | 0.852 | 0.591 |
| I want to work for another company. | 0.757 | 0.573 | |||
| I have to consider leaving your current company. | 0.723 | 0.523 | |||
| I often have the idea of leaving your current unit. | 0.775 | 0.601 | |||
| Work engagement | When I work, I feel strong and energized. | 0.592 | 0.350 | 0.833 | 0.360 |
| When I wake up in the morning, I want to go to work. | 0.654 | 0.428 | |||
| I can work long hours at a time. | 0.575 | 0.331 | |||
| When I’m working, I forget about everything around me. | 0.508 | 0.258 | |||
| When work is stressful, I feel happy. | 0.592 | 0.350 | |||
| I am immersed in my work. | 0.565 | 0.319 | |||
| I feel that what I do is purposeful and meaningful. | 0.498 | 0.248 | |||
| My work inspires me. | 0.718 | 0.516 | |||
| I am proud of the work I do. | 0.658 | 0.433 | |||
| Job burnout | I feel a lack of rest throughout the year. | 0.726 | 0.527 | 0.825 | 0.404 |
| My work has no autonomy and requires the supervisor to check in. | 0.607 | 0.368 | |||
| I did more work but received not much. | 0.722 | 0.521 | |||
| Individuals in the company do not take care of each other. | 0.626 | 0.392 | |||
| I think my company makes money first, profit-oriented. | 0.592 | 0.350 | |||
| I am inconsistent with the company’s management philosophy. | 0.568 | 0.323 | |||
| I feel like the company is not fair. | 0.591 | 0.348 |
| N = 285 | MD | S.E | Correlations | ||||||||
|---|---|---|---|---|---|---|---|---|---|---|---|
| 1 | 2 | 3 | 4 | 5 | 6 | 7 | 8 | 9 | |||
| CP | 3.106 | 0.823 | (0.65) | ||||||||
| JB | 3.192 | 0.727 | 0.504 ** | (0.60) | |||||||
| WE | 2.945 | 0.742 | −0.258 ** | −0.205 ** | (0.636) | ||||||
| TI | 2.950 | 0.928 | 0.335 ** | 0.287 ** | −0.652 ** | (0.769) | |||||
| Age | 2.170 | 0.884 | −0.136 * | −0.011 | 0.196 ** | −0.237 ** | 1 | ||||
| Gender | 0.510 | 0.501 | −0.079 | −0.044 | −0.017 | 0.055 | −0.066 | 1 | |||
| Marriage | 0.780 | 0.416 | −0.012 | −0.102 | −0.032 | 0.01 | −0.167 ** | −0.003 | 1 | ||
| Education | 1.860 | 0.767 | 0.05 | 0.038 | −0.024 | 0.1 | −0.265 ** | −0.085 | −0.012 | 1 | |
| Position | 1.310 | 0.548 | −0.181 ** | −0.082 | 0.084 | −0.089 | 0.015 | 0.013 | 0.041 | 0.267 ** | 1 |
| Seniority | 2.310 | 1.088 | −0.626 ** | −0.344 ** | 0.146 * | −0.288 ** | 0.290 ** | 0.039 | −0.045 | −0.036 | 0.235 ** |
| M1 | M2 | M3 | |||||||
|---|---|---|---|---|---|---|---|---|---|
| B | SE | t | B | SE | t | B | SE | t | |
| Seniority | −0.288 | 0.049 | −5.064 ** | −0.192 | 0.037 | −4.468 ** | −0.141 | 0.047 | −2.592 * |
| Work engagement | −0.642 | 0.057 | −14.143 ** | −0.628 | 0.058 | −14.256 ** | |||
| Career plateau | 0.095 | 0.084 | 1.509 | ||||||
| ΔR2 | 0.083 | 0.403 | 0.004 | ||||||
| ΔF | 25.646 ** | 221.503 ** | 2.278 | ||||||
| Seniority | −0.288 | 0.049 | −5.064 ** | −0.215 | 0.051 | −3.619 ** | −0.122 | 0.06 | −1.726 |
| Job burnout | 0.213 | 0.076 | 3.585 ** | 0.154 | 0.082 | 2.398 * | |||
| Career plateau | 0.203 | 0.18 | 2.336 * | ||||||
| ΔR2 | 0.083 | 0.04 | 0.017 | ||||||
| ΔF | 25.646 ** | 12.851 ** | 5.459 * | ||||||
| Path | Effect | B | SE | 95.0% Confidence Interval | |
|---|---|---|---|---|---|
| LL | UL | ||||
| CP-WE-MI | Total effect | 0.377 | 0.063 | 0.253 | 0.501 |
| Direct effect | 0.201 | 0.051 | 0.010 | 0.302 | |
| Indirect effect | 0.176 | 0.041 | 0.099 | 0.260 | |
| CP-JB-MI | Total effect | 0.377 | 0.063 | 0.253 | 0.501 |
| Direct effect | 0.287 | 0.072 | 0.144 | 0.429 | |
| Indirect effect | 0.09 | 0.04 | 0.015 | 0.173 | |
| Model 1 | R | R-sq | MSE | F | df1 | df2 | p |
|---|---|---|---|---|---|---|---|
| 0.516 | 0.267 | 0.392 | 34.052 | 3 | 281 | 0 | |
| coeff | SE | t | p | LLCI | ULCI | ||
| constant | 3.193 | 0.037 | 86.055 | 0 | 3.12 | 3.266 | |
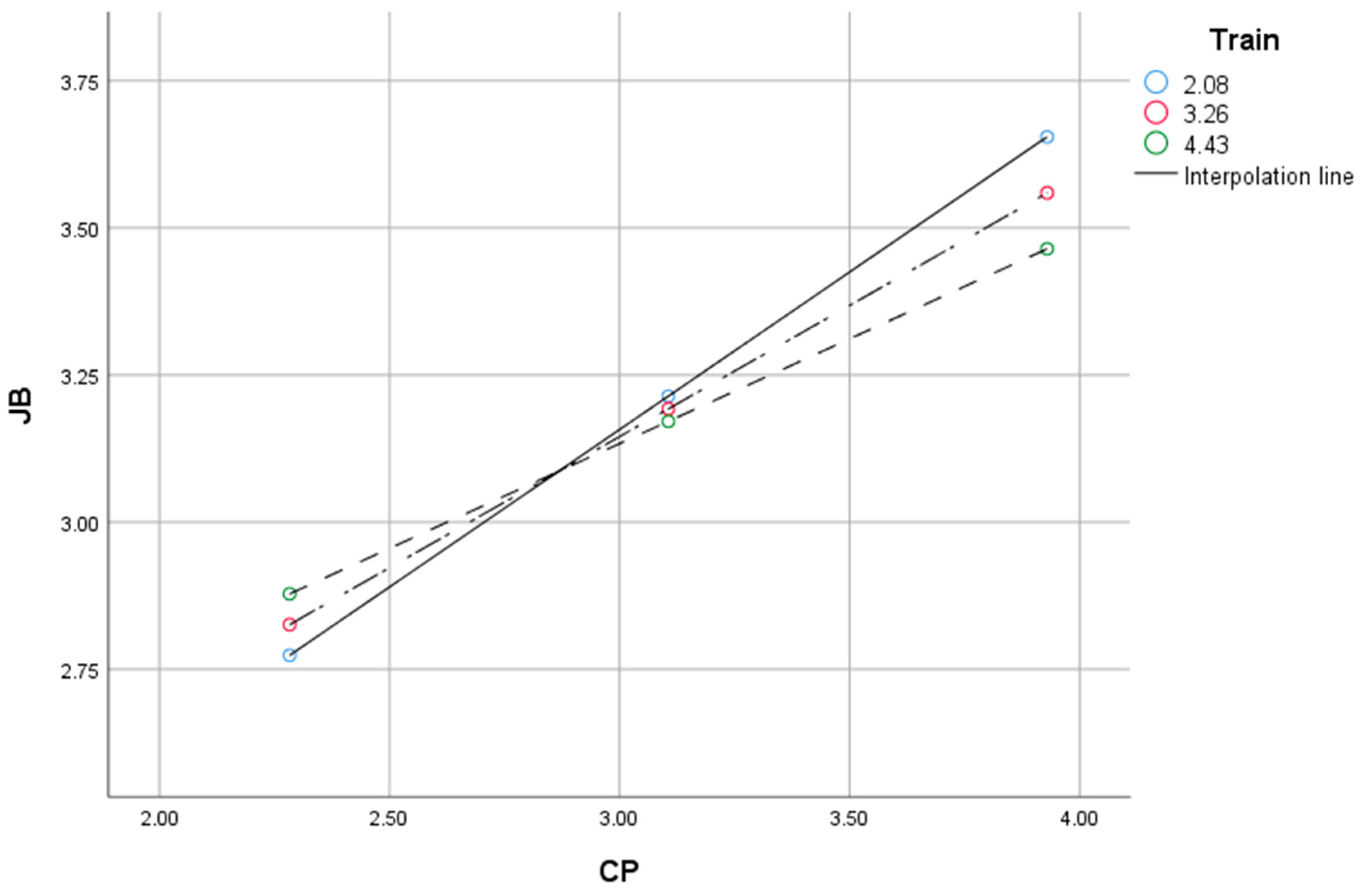
| Train | −0.018 | 0.032 | −0.575 | 0.566 | −0.081 | 0.044 | |
| CP | 0.445 | 0.045 | 9.867 | 0 | 0.357 | 0.534 | |
| int_1 | −0.076 | 0.038 | −2.035 | 0.043 | −0.150 | −0.002 | |
| Product terms key: int_1 CP X Train | |||||||
| R-square increase due to interaction(s): | |||||||
| R2-chng | F | df1 | df2 | p | |||
| int_1 | 0.011 | 4.14 | 1 | 281 | 0.043 | ||
| Model 2 | R | R-sq | MSE | F | df1 | df2 | p |
| 0.303 | 0.092 | 0.505 | 9.482 | 3 | 281 | 0 | |
| coeff | SE | t | p | LLCI | ULCI | ||
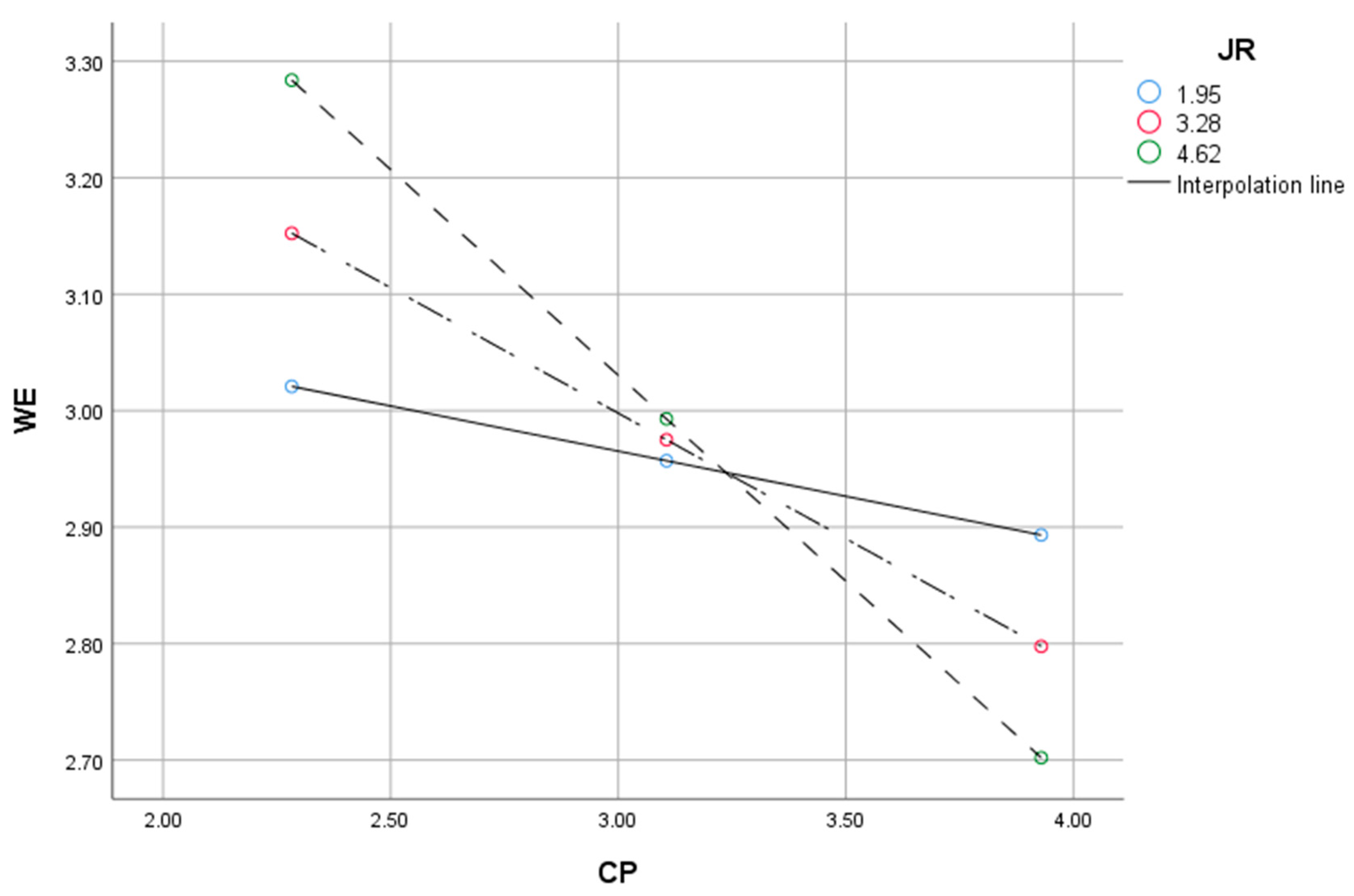
| constant | 2.941 | 0.042 | 69.815 | 0 | 2.858 | 3.024 | |
| JR | 0.022 | 0.032 | 0.678 | 0.498 | −0.041 | 0.084 | |
| CP | −0.226 | 0.051 | −4.41 | 0 | −0.327 | −0.125 | |
| int_1 | −0.103 | 0.038 | −2.697 | 0.007 | −0.177 | −0.028 | |
| Product terms key: int_1 CP X JR | |||||||
| R-square increase due to interaction(s): | |||||||
| R2-chng | F | df1 | df2 | p | |||
| int_1 | 0.024 | 7.272 | 1 | 281 | 0.007 | ||
Disclaimer/Publisher’s Note: The statements, opinions and data contained in all publications are solely those of the individual author(s) and contributor(s) and not of MDPI and/or the editor(s). MDPI and/or the editor(s) disclaim responsibility for any injury to people or property resulting from any ideas, methods, instructions or products referred to in the content. |
© 2023 by the authors. Licensee MDPI, Basel, Switzerland. This article is an open access article distributed under the terms and conditions of the Creative Commons Attribution (CC BY) license (https://creativecommons.org/licenses/by/4.0/).
Share and Cite
Bai, Y.; Zhou, J.; He, W. How Employee Job Burnout, Work Engagement, and Turnover Intention Relate to Career Plateau during the Epidemic. Soc. Sci. 2023, 12, 394. https://doi.org/10.3390/socsci12070394
Bai Y, Zhou J, He W. How Employee Job Burnout, Work Engagement, and Turnover Intention Relate to Career Plateau during the Epidemic. Social Sciences. 2023; 12(7):394. https://doi.org/10.3390/socsci12070394
Chicago/Turabian StyleBai, Yang, Jinquan Zhou, and Wenjin He. 2023. "How Employee Job Burnout, Work Engagement, and Turnover Intention Relate to Career Plateau during the Epidemic" Social Sciences 12, no. 7: 394. https://doi.org/10.3390/socsci12070394
APA StyleBai, Y., Zhou, J., & He, W. (2023). How Employee Job Burnout, Work Engagement, and Turnover Intention Relate to Career Plateau during the Epidemic. Social Sciences, 12(7), 394. https://doi.org/10.3390/socsci12070394

