Patterns and Persistence of Educational Mismatch: A Trajectory Approach Using Chilean Panel Data
Abstract
:1. Introduction
2. The Chilean Context
3. Educational Mismatch: Theory and Evidence
4. Methods
4.1. Data and Sample
4.2. Educational Mismatch Measures
4.3. Sequence and Cluster Analysis
4.4. Multivariate Analysis
5. Results
5.1. Patterns of Educational Mismatch Trajectories
5.2. Predictors of the Educational Mismatch Trajectories
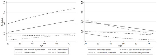
5.3. Wage Penalty in the Educational Mismatch Trajectories
6. Discussion and Conclusions
Author Contributions
Funding
Institutional Review Board Statement
Data Availability Statement
Conflicts of Interest
Appendix A
| Trajectory Pattern | % | Cummulative % of Sample | 
|---|---|---|
| 2 | 18.69 | 18.69 | 
| 0 2 | 14.75 | 33.44 | 
| 2 0 2 | 5.56 | 39.00 | 
| 0 2 0 2 | 5.22 | 44.22 | 
| 0 3 | 3.72 | 47.94 | 
| 1 | 3.16 | 51.10 | 
| 0 1 | 2.94 | 54.05 | 
| 2 0 | 2.43 | 56.48 | 
| 0 2 0 | 2.28 | 58.76 | 
| 2 3 | 2.02 | 60.78 | 
| 3 | 1.99 | 62.77 | 
| 2 1 | 1.66 | 64.42 | 
| 2 0 2 0 2 | 1.36 | 65.78 | 
| 0 2 0 2 0 2 | 1.21 | 67.00 | 
| 0 3 0 3 | 1.10 | 68.10 | 
| Total number of trajectories = 1272 | ||
| 2 Clusters | 4 Clusters | 6 Clusters | 8 Clusters | Most Frequent Trajectory Patterns | Distribution (%) | 
|---|---|---|---|---|---|
| Mismatch career (50.4%) | Joblessness career (36.27%) | Joblessness  (23.21%)  | Joblessness | 0 1, 0 2, 0 3 | 17.51 | 
| Slow transition to overeducation | 0 3 | 5.70 | |||
| Slow transition to good match  (13.06%)  | Slow transition to good match | 0 2 | 13.06 | ||
| Overeducation career (7.54%) | Overeducation  (7.54%)  | Overeducation | 3 | 7.54 | |
| Undereducation career (6.59%) | Undereducation (6.59%)  | Undereducation | 1 | 6.59 | |
| Good match career (49.6%) | Good match career (49.6%) | Good match with mismatch periods (23.44%)  | Good match to joblessness/mismatch | 2 1, 2 3, 2 0 | 14.68 | 
| Fast transition to good match | 0 2 | 8.76 | |||
| Good match (26.16%)  | Good match | 2 | 26.16 | 
| Joblessness Career | Slow Transition to Overeducation | Slow Transition to Good Match | Overeducation Career | Undereducation Career | Good Match to Joblessness/Mismatch | Fast Transition to Good Match | Good Match Career | Total | |
|---|---|---|---|---|---|---|---|---|---|
| Demographics | |||||||||
| Female (%) | 65.97 | 49.03 | 63.1 | 34.63 | 27.93 | 45.61 | 52.52 | 33.19 | 47.02 | 
| Age 2009 (years) | 24.27 (11.57) | 22.21 (9.33) | 27.11 (13.11) | 31.31 (12.09) | 46.27 (12.41) | 31.93 (12.73) | 25.14 (10.50) | 39.42 (11.84) | 31.67 (13.88) | 
| Indigenous (%) | 10.29 | 9.68 | 7.61 | 8.29 | 8.94 | 9.52 | 9.24 | 6.05 | 8.35 | 
| Foreign (%) | 0.42 | 1.29 | 1.13 | 1.95 | 0.00 | 0.75 | 3.36 | 0.00 | 0.85 | 
| Education at the begining of period (2009) | |||||||||
| Some Primary (%) | 18.07 | 0.00 | 10.99 | 0.00 | 88.83 | 16.29 | 10.08 | 20.39 | 19.06 | 
| Some High School (%) | 65.34 | 53.55 | 71.83 | 17.07 | 10.06 | 62.41 | 71.01 | 67.23 | 58.79 | 
| Some Higher Educacion (%) | 16.60 | 46.45 | 17.18 | 82.93 | 1.12 | 21.30 | 18.91 | 12.38 | 22.15 | 
| Education at the end of period (2019) | |||||||||
| Some Primary (%) | 15.13 | 0.00 | 9.01 | 0.00 | 80.45 | 14.29 | 7.98 | 17.16 | 16.41 | 
| Some High School (%) | 31.93 | 0.00 | 46.48 | 6.83 | 15.64 | 45.11 | 57.56 | 66.39 | 42.24 | 
| Some Higher Educacion (%) | 52.94 | 100.00 | 44.51 | 93.17 | 3.91 | 40.60 | 34.45 | 16.46 | 41.35 | 
| Occupation at the begining of period (2009) | |||||||||
| No occupation (%) | 82.98 | 74.84 | 72.68 | 21.95 | 5.03 | 20.55 | 69.33 | 1.97 | 39.88 | 
| Manuf/agricul/machine op./elementary (%) | 3.57 | 5.81 | 8.17 | 39.51 | 78.77 | 47.62 | 10.92 | 72.57 | 37.12 | 
| Services (%) | 12.18 | 11.61 | 14.65 | 1.95 | 2.79 | 2.51 | 11.34 | 0.28 | 6.48 | 
| Tech. professionales/Clerical support (%) | 0.84 | 2.58 | 2.54 | 29.76 | 11.17 | 22.81 | 5.88 | 19.69 | 12.62 | 
| Managerial/Professional (%) | 0.42 | 5.16 | 1.97 | 6.83 | 2.23 | 6.52 | 2.52 | 5.49 | 3.90 | 
| Occupation at the end of period (2019) | |||||||||
| No occupation (%) | 19.12 | 5.16 | 6.48 | 6.34 | 8.38 | 15.54 | 6.30 | 6.05 | 9.93 | 
| Manuf/agricul/machine op./elementary (%) | 36.55 | 26.45 | 45.35 | 34.63 | 82.12 | 44.61 | 47.48 | 68.78 | 50.55 | 
| Services (%) | 4.41 | 0.00 | 0.00 | 1.95 | 0.00 | 4.51 | 2.52 | 0.70 | 1.99 | 
| Tech. professionales/Clerical support (%) | 18.28 | 54.84 | 23.10 | 35.12 | 6.70 | 27.57 | 25.63 | 17.58 | 23.33 | 
| Managerial/Professional (%) | 21.64 | 13.55 | 25.07 | 21.95 | 2.79 | 7.77 | 18.07 | 6.89 | 14.20 | 
| Monthly salary begining of period (2009) | 244,636 (142,640) | 410,658 (456,429) | 295,952 (164,225) | 509,753 (454,807) | 293,755 (165,930) | 401,844 (584,586) | 316,407 (289,055) | 406,071 (345,280) | 386,004 (395,132) | 
| Monthly salary end of period (2019) | 403,142 (308,843) | 566,935 (369,547) | 477,866 (393,482) | 636,562 (509,878) | 370,875 (217,473) | 483,163 (379,973) | 514,123 (481,239) | 479,208 (297,027) | 479,050 (368,491) | 
| Number of jobs 2009–2019 | 3.70 (2.61) | 4.28 (3.41) | 3.59 (2.38) | 4.15 (2.64) | 3.76 (3.06) | 4.60 (3.18) | 4.66 (2.67) | 3.35 (2.26) | 3.88 (2.72) | 
| Length of time at a job 2009–2019 (years) | 1.34 (1.07) | 2.68 (1.25) | 2.80 (1.22) | 2.47 (1.32) | 2.85 (1.24) | 2.02 (1.28) | 2.86 (1.20) | 3.04 (1.07) | 2.47 (1.33) | 
| Average entropy 2009–2019 | 0.54 (0.42) | 0.52 (0.28) | 0.38 (0.26) | 0.70 (0.36) | 0.42 (0.24) | 0.82 (0.39) | 0.52 (0.24) | 0.12 (0.09) | 1.13 (0.04) | 
| Number of observations | 476 | 155 | 355 | 205 | 179 | 399 | 238 | 711 | 2718 | 
| Joblessness Career | Slow Transition to Overeducation | Slow Transition to Good Match | Overeducation Career | Undereducation Career | Good Match to Joblessness/Mismatch | Fast Transition to Good Match | Good Match Career | |
|---|---|---|---|---|---|---|---|---|
| Female | 0.057 *** | −0.016 * | 0.030 ** | −0.031 *** | −0.020 ** | 0.017 | −0.010 | −0.028 * | 
| (0.013) | (0.009) | (0.013) | (0.009) | (0.008) | (0.014) | (0.011) | (0.015) | |
| Age | −0.001 ** | −0.002 *** | 0.002*** | 0.000 | 0.001 *** | −0.003 *** | 0.000 | 0.003 *** | 
| (0.001) | (0.001) | (0.001) | (0.000) | (0.000) | (0.001) | (0.001) | (0.001) | |
| Indigenous | 0.004 | 0.007 | −0.025 | 0.032 * | −0.005 | 0.031 | 0.003 | −0.046 * | 
| (0.022) | (0.016) | (0.020) | (0.019) | (0.013) | (0.026) | (0.019) | (0.025) | |
| Foreign | −0.114 *** | −0.015 | 0.023 | 0.037 | −0.066 *** | 0.184 * | 0.214 ** | −0.262 *** | 
| (0.042) | (0.029) | (0.069) | (0.052) | (0.004) | (0.108) | (0.095) | (0.007) | |
| Education (ref = Some primary or less) | ||||||||
| Some high school | −0.100 *** | 0.045 *** | 0.062 *** | 0.022 *** | −0.271 *** | 0.045 ** | 0.029 * | 0.167 *** | 
| (0.022) | (0.005) | (0.017) | (0.004) | (0.019) | (0.018) | (0.016) | (0.017) | |
| Some higher education | −0.135 | 0.116 *** | 0.012 | 0.365 *** | −0.286 *** | −0.018 | −0.002 | −0.051 ** | 
| (0.024) | (0.013) | (0.019) | (0.022) | (0.019) | (0.020) | (0.017) | (0.020) | |
| Occupation (ref = No occupation) | ||||||||
| Manufacture/agriculture/machine operator/elementary occupations | −0.319 *** | −0.067 *** | −0.232 *** | 0.112 *** | 0.052 *** | 0.150 *** | −0.114 *** | 0.418 *** | 
| (0.019) | (0.012) | (0.019) | (0.015) | (0.008) | (0.019) | (0.016) | (0.018) | |
| Services | −0.031 | 0.024 | 0.012 | −0.025 * | 0.030 | −0.014 | 0.010 | −0.006 | 
| (0.038) | (0.025) | (0.037) | (0.013) | (0.019) | (0.020) | (0.030) | (0.010) | |
| Technical profesional/Clerical support | −0.330 *** | −0.076 *** | −0.244 *** | 0.042 *** | 0.160 *** | 0.198 *** | −0.106 *** | 0.356 *** | 
| (0.019) | (0.011) | (0.019) | (0.013) | (0.020) | (0.027) | (0.018) | (0.027) | |
| Managerial/Professional | −0.327 *** | −0.043 ** | −0.224 *** | −0.011 | 0.233 *** | 0.153 *** | −0.100 *** | 0.318 *** | 
| (0.021) | (0.019) | (0.025) | (0.013) | (0.051) | (0.045) | (0.025) | (0.051) | 
| 1 | Around one third of the 4115 individuals did not have occupation or education information in the 2019 wave. It is worth mentioning that the fieldwork of the most recent wave of the Social Welfare Survey was planned for the second semester of 2019. However, due to Chile’s protests and social movements, this fieldwork could not be concluded and was postponed for the first semester of 2020. Then, the pandemic forced a large part of this last wave (40%) to be collected by phone. The phone questionnaire was shorter and less specific than the in-person questionnaire. Thus, we concurred in a considerable loss in sample size, especially due to the fact that we could not identify the educational attainment in the 2019 wave for a large part of the individuals surveyed by phone. Despite this cost, we preferred to include the 2019 wave in order to expand the time-horizon of the analysis (including the 2015 to 2019 period) and to take advantage of the most updated data regarding the Chilean job market.  | 
| 2 | The average entropy is measure by Shannon H index. This entropy measure quantifies the uncertainty (entropy or level of surprise) inherent in randomly selecting an observation and guessing its state. The entropy is, then, a measure of within group heterogeneity of the states (unemployment, under, good, and overeducation) that is calculated in each point in time. A value of 0 represents no uncertainty, meaning that all sequences within a group are identical (Gabadinho et al. 2009).  | 
References
- Altbach, Philip, Liz Reisberg, and Hans de Wit, eds. 2017. Responding to Massification: Differentiation in Postsecondary Education Worldwide. Rotterdam: Sense Publishers. [Google Scholar]
 - Abbott, Andrew, and Alexandra Hrycak. 1990. Measuring Resemblance in Sequence Data: An Optimal Matching Analysis of Musicians’ Careers. American Journal of Sociology 96: 144–85. [Google Scholar] [CrossRef]
 - Acemoglu, Daron, and David Autor. 2011. Skills, Tasks and Technologies: Implications for Employment and Earnings. In Handbook of Labor Economics. Amsterdam: Elsevier, vol. 4, pp. 1043–171. [Google Scholar]
 - Acosta-Ballesteros, Juan, María del Pilar Osorno-del Rosal, and Olga María Rodríguez-Rodríguez. 2018. Overeducation of Young Workers in Spain: How Much Does the First Job Matter? Social Indicators Research 138: 109–39. [Google Scholar] [CrossRef]
 - Aisenbrey, Silke, and Anette Fasang. 2017. The interplay of work and family trajectories over the life course: Germany and the United States in comparison. American Journal of Sociology 122: 1448–84. [Google Scholar] [CrossRef]
 - Baert, Stijn, Bart Cockx, and Dieter Verhaest. 2013. Overeducation at the Start of the Career: Stepping Stone or Trap? Labour Economics 25: 123–40. [Google Scholar] [CrossRef] [Green Version]
 - Becker, Gary. 1964. Human Capital: A Theoretical and Empirical Analysis, with Special Reference to Education. London: University of Chicago Press. [Google Scholar]
 - Bender, Keith A., and John S. Heywood. 2011. Educational Mismatch and the Careers of Scientists. Education Economics 19: 253–74. [Google Scholar] [CrossRef] [Green Version]
 - Boll, Christina, Julian Sebastian Leppin, Anja Rossen, and André Wolf. 2016. Overeducation-New Evidence for 25 European Countries (No. 173). HWWI Research Paper. Nuremberg: Institute for Employment Research. [Google Scholar]
 - Brzinsky-Fay, Christian, Ulrich Kohler, and Magdalena Luniak. 2006. Sequence analysis with Stata. The Stata Journal 6: 435–60. [Google Scholar] [CrossRef] [Green Version]
 - Cabello-Hutt, Tania. 2020. Changes in Work and Care Trajectories during the Transition to Motherhood. Social Science Research 90: 102439. [Google Scholar] [CrossRef]
 - Capsada-Munsech, Queralt. 2017. Overeducation: Concept, Theories, and Empirical Evidence. Sociology Compass 11: 1–17. [Google Scholar] [CrossRef]
 - Capsada-Munsech, Queralt. 2019a. Measuring Overeducation: Incidence, Correlation and Overlaps Across Indicators and Countries. Social Indicators Research 145: 279–301. [Google Scholar] [CrossRef] [Green Version]
 - Capsada-Munsech, Queralt. 2019b. Overeducation, Skills and Social Background: The Influence of Parental Education on Overeducation in Spain. Compare 50: 216–36. [Google Scholar] [CrossRef]
 - Casen. 2017a. Resultados Educación Casen 2017. Santiago de Chile: Ministerio de Desarrollo Social y Familia. [Google Scholar]
 - Casen. 2017b. Resultados Trabajo Casen 2017. Santiago de Chile: Ministerio de Desarrollo Social y Familia. [Google Scholar]
 - Castro Ramirez, Daniel J. 2019. Sobreeducacion En El Mercado Laboral Chileno. Revista de Análisis Económico 34: 51–83. [Google Scholar] [CrossRef] [Green Version]
 - Cecchini, Simone, and Rodrigo Martínez. 2012. Inclusive Social Protection in Latin America: A Comprehensive, Rights-Based Approach. SSRN Electronic Journal 111. [Google Scholar] [CrossRef] [Green Version]
 - CEDEFOP. 2018. Insights Into Skill Shortages and Skill Mismatch: Learning from Cedefop’s European Skills and Jobs Survey. Luxembourg: Publications Office, vol. 106. [Google Scholar]
 - Clogg, Clifford, and James Shockey. 1984. Mismatch between occupation and schooling: A prevalence measure, recent trends and demographic analysis. Demography 21: 235–57. [Google Scholar] [CrossRef] [PubMed]
 - Contreras, Dante, and Gonzalo Plaza. 2010. Cultural factors in women’s labor force participation in Chile. Feminist Economics 16: 27–46. [Google Scholar] [CrossRef]
 - Dolton, Peter, and Anna Vignoles. 2000. The Incidence and Effects of Overeducation in the U.K. Graduate Labour Market. Economics of Education Review 19: 179–98. [Google Scholar] [CrossRef]
 - Duncan, Greg, and Saul. D. Hoffman. 1981. The incidence and wage effects of overeducation. Economics of Education Review 1: 75–86. [Google Scholar] [CrossRef]
 - Farías, Mauricio. 2013. Effects of Early Career Decisions on Future Opportunities: The Case of Vocational Education in Chile. Doctoral Dissertation, Stanford University, Stanford, CA, USA, February. [Google Scholar]
 - Flisi, Sara, Valentina Goglio, Elena Claudia Meroni, Margarida Rodrigues, and Esperanza Vera-Toscano. 2017. Measuring Occupational Mismatch: Overeducation and Overskill in Europe—Evidence from PIAAC. Social Indicators Research 131: 1211–49. [Google Scholar] [CrossRef] [Green Version]
 - Freeman, Richard. 1976. The Overeducated American. New York: Academic Press. [Google Scholar]
 - Frenette, Marc. 2004. The Overqualified Canadian Graduate: The Role of the Academic Program in the Incidence, Persistence, and Economic Returns to Overqualification. Economics of Education Review 23: 29–45. [Google Scholar] [CrossRef]
 - Gabadinho, Alexis, Gilbert Ritschard, Matthias Studer, and Nicolas S. Müller. 2009. Mining Sequence Data in R with the TraMineR Package: A User’s Guide. Geneva: Department of Econometrics and Laboratory of Demography, University of Geneva. [Google Scholar]
 - Green, Francis, and Steven McIntosh. 2007. Is there a genuine under-utilization of skills amongst the over-qualified? Applied Economics 39: 427–39. [Google Scholar] [CrossRef] [Green Version]
 - Green, Francis, and Yu Zhu. 2010. Overqualification, job dissatisfaction, and increasing dispersion in the returns to graduate education. Oxford Economic Papers 62: 740–63. [Google Scholar] [CrossRef]
 - Halpin, Brendan, and Tak Wing Chan. 1998. Class careers as sequences: An optimal matching analysis of work-life histories. European Sociological Review 14: 111–30. [Google Scholar] [CrossRef]
 - Hansson, Bo. 2007. Effects of Tertiary Expansion: Crowding-Out Effects and Labour Market Matches for the Higher Educated. OECD Education Working Papers 10. Paris: OECD Publishing. [Google Scholar]
 - Horowitz, Jonathan. 2018. Relative Education and the Advantage of a College Degree. American Sociological Review 83: 771–801. [Google Scholar] [CrossRef] [PubMed]
 - Jovanovic, Boyan. 1979. Job matching and the theory of turnover. The Journal of Political Economy 87: 972–90. [Google Scholar] [CrossRef]
 - Kalfa, Eleni, and Matloob Piracha. 2018. Social Networks and the Labour Market Mismatch. Journal of Population Economics 31: 877–914. [Google Scholar] [CrossRef] [Green Version]
 - Leuven, Edwin, and Hessel Oosterbeek. 2011. Overeducation and mismatch in the labor market. Handbook of the Economics of Education 4: 283–326. [Google Scholar]
 - Lopez, Dorotea. 2020. State Neutrality, Business Elite and the Lack of Export Services Development in Chile: An Exploratory Qualitative Analysis. Organizations and Markets in Emerging Economies 11: 152–72. [Google Scholar] [CrossRef]
 - Lu, Yao, and Xiaoguang Li. 2021. Vertical Education-Occupation Mismatch and Wage Inequality by Race/Ethnicity and Nativity among Highly Educated US Workers. Social Forces, soaa145. [Google Scholar] [CrossRef]
 - Macindoe, Heather, and Andrew Abbott. 2004. Sequence analysis and optimal matching techniques for social science data. In Handbook of Data Analysis. London: SAGE Publications, pp. 386–406. [Google Scholar]
 - Madero-Cabib, Ignacio, Rosario Undurraga, and Cristián Valenzuela. 2019. How Have Women’s Employment Patterns during Young Adulthood Changed in Chile? A Cohort Study. Longitudinal and Life Course Studies 10: 375–97. [Google Scholar] [CrossRef]
 - Mavromaras, Kostas, and Seamus McGuinness. 2012. Overskilling dynamics and education pathways. Economics of Education Review 31: 619–28. [Google Scholar] [CrossRef] [Green Version]
 - Mavromaras, Kostas, Seamus McGuinness, Nigel O’Leary, Peter Sloane, and Zhang Wei. 2013. Job mismatches and labour market outcomes: Panel evidence on university graduates. Economic Record 89: 382–95. [Google Scholar] [CrossRef]
 - McGowan, Adalet, and Dan Andrews. 2017. Labor Market Mismatch and Labor Productivity: Evidence from PIAAC Data. Skill Mismatch in Labor Markets. Emerald Publishing Limited 45: 199–241. [Google Scholar]
 - Meroni, Elena Claudia, and Esperanza Vera-Toscano. 2017. The persistence of overeducation among recent graduates. Labour Economics 48: 120–43. [Google Scholar] [CrossRef]
 - Nunley, John, Adam Pugh, Nicholas Romero, and Alan Seals. 2017. The Effects of Unemployment and Underemployment on Employment Opportunities: Results from a Correspondence Audit of the Labor Market for College Graduates. Industrial and Labor Relations Review 70: 642–69. [Google Scholar] [CrossRef]
 - Oosterbeek, Hessel. 2000. Introduction to special issue on overschooling. Economics of Education Review 19: 129–30. [Google Scholar] [CrossRef]
 - Ordoñez, Felix, and Ignacio Silva. 2019. Estructura productiva y dificultades para el crecimiento de largo plazo en Chile. Revista Economía y Desafíos del Desarrollo. Available online: http://www.unsam.edu.ar/escuelas/economia/revistaedd/wp-content/uploads/2019/06/2_4.pdf (accessed on 11 March 2021).
 - Pedulla, David S. 2018. How Race and Unemployment Shape Labor Market Opportunities: Additive, Amplified, or Muted Effects? Social Forces 96: 1477–506. [Google Scholar] [CrossRef]
 - Perry, Anja, Simon Wiederhold, and Daniela Ackermann-Piek. 2014. How can skill mismatch be measured? New approaches with PIAAC. Methods, Data, Analyses: A Journal for Quantitative Methods and Survey Methodology 8: 137–74. [Google Scholar]
 - Pissarides, Christhoper. 1994. Search unemployment with on-the-job search. The Review of the Economic Studies 61: 457–75. [Google Scholar] [CrossRef] [Green Version]
 - Quintini, Glenda. 2011. Over-Qualified or Under-Skilled: A Review of Existing Literature. OECD Social, Employment, and Migration Working Papers 121. Paris: OECD Publishing. [Google Scholar]
 - Quintini, Glenda. 2018. Getting Skills Right: Skills and Labour Market Disadvantage in Chile. Paris: OECD Publishing. [Google Scholar]
 - Sattinger, Michael, and Joop Hartog. 2013. Nash Bargaining and the Wage Consequences of Educational Mismatches Labour. Economics 23: 50–56. [Google Scholar]
 - Scherer, Stegfani. 2004. Stepping-stones or traps? The consequences of labor market entry positions on future careers in West Germany, Great Britain and Italy. Work, Employment and Society 18: 369–94. [Google Scholar] [CrossRef]
 - Sevilla, María-Paola, and Mauricio Farías. 2020. Labour market mismatch in emerging countries: The case of Chile. Compare: A Journal of Comparative and International Education 50: 276–93. [Google Scholar] [CrossRef]
 - Sharma, Swati, and Prateek Sharma. 2017. Educational mismatch and its impact on earnings: Evidence from Indian labour market. International Journal of Social Economics 44: 1778–95. [Google Scholar] [CrossRef]
 - Sicherman, Nachim, and Oded Galor. 1990. A theory of career mobility. Journal of Political Economy 28: 169–92. [Google Scholar] [CrossRef]
 - Spence, Michael. 1973. Job market signaling. Quarterly Journal of Economics 87: 355–74. [Google Scholar] [CrossRef]
 - Soto, Daniel. 2020. Technology and the future of work in emerging economies: What is different? OECD Social, Employment and Migration Working Papers No. 236. Paris: Organisation for Economic Co-operation and Development. [Google Scholar]
 - Thurow, Lester. 1975. Generating Inequality: Mechanisms of Distribution in the US Economy. New York: Basic Books. [Google Scholar]
 - Tsai, Yuping. 2010. Returns to Overeducation: A Longitudinal Analysis of the U.S. Labor Market. Economics of Education Review 29: 606–17. [Google Scholar] [CrossRef]
 - UNESCO Institute for Statistics. 2021. How Much Your Country Invest in R&D. Available online: http://uis.unesco.org/apps/visualisations/research-and-development-spending/ (accessed on 17 August 2021).
 - Verdugo, Richard, and Naomi Turner Verdugo. 1989. The Impact of Surplus Schooling on Earnings: Some Additional Findings. The Journal of Human Resources 24: 629–43. [Google Scholar] [CrossRef]
 - Verhaest, Dieter, and Eddy Omey. 2006. The impact of overeducation and its measurement. Social Indicators Research 77: 419–44. [Google Scholar] [CrossRef]
 - Verhaest, Dieter, Tom Schatteman, and Walter Van Trier. 2015. Overeducation in the Early Career of Secondary Education Graduates. Young 23: 336–56. [Google Scholar] [CrossRef] [Green Version]
 - Wiedner, Jonas, and Merlin Schaeffer. 2020. Career Trajectories into Undereducation. Which Skills and Resources Substitute Formal Education in the Intergenerational Transmission of Advantage? Research in Social Stratification and Mobility 68: 100526. Available online: https://www.sciencedirect.com/science/article/abs/pii/S0276562420300627?via%3Dihub (accessed on 11 March 2021). [CrossRef]
 





| Group Name (Share of Population)  | Description of Trajectory | People Characteristics | Job Market Indicators | Entropy | 
|---|---|---|---|---|
| 1. Joblessness Career (17.5%)  | Characterized by several periods of unemployment, showing the highest rate at the beginning of the period. | Women (66%), young (24 years old in average), and indigenous people (10%) are overrepresented in this group. Most individuals in this group achieved secondary education at the beginning of the period (2009) and higher education at the end (2019), suggesting that some individuals were students. | Presents the smallest indicator of average length of time at a job (1.34 years). | 0.54—The distribution plot suggests the group is relatively homogenous, particularly during the first half of the period. | 
| 2. Slow Transition to Overeducation (5.7%) | Characterized by a large period of unemployment at the beginning, followed by overeducation at the end of the analyzed period. | Mostly comprised of young individuals (22 years old on average) that were studying. Consequently, the educational level of most individuals in this group correspond to secondary education at the beginning of the period (2009) and higher education at the end (2019). | It has one of the highest rates of unemployment at the beginning of the period but one of the lowest at the end. | 0.52—The distribution plot suggests a relatively homogenous group, particularly at the beginning and at the end of the period. In the middle, the entropy level is higher due to transitions from states of unemployment to overeducation. | 
| 3. Slow transition to Good Match (13%)  | Characterized by several years of unemployment at the beginning, followed by a good match at the end of the analyzed period. | Women are largely overrepresented in this group (63% vs. 47% in the sample). On average, individuals in this group are 27 years old, which is younger than the sample average (32 years old). The educational level of most individuals in this group is high school at the beginning and end of the analyzed period. | Unemployment is high at the beginning (72.7%) and low at the end (6.5%). | 0.38—relatively low. The distribution plot suggests a relatively homogenous group, particularly at the beginning and at the end of the period. In the middle, the entropy level is higher due to transitions from unemployment to good match.  | 
| 4. Overeducation (7.5%) | Dominated by the overeducation state during the entire period. | Women are underrepresented in this group (34.6%). Individuals in this group are, on average, 32 years old, the same as the sample average. The educational level of most individuals is higher education at the beginning and end of the analyzed period. Individuals in this group are overrepresented in both VET/clerical support and managerial/professional positions. | Unemployment moves from 22 to 6.3, one of the lowest rates. | 0.7—It is higher compared to other trajectory groups. This is due to the fact that around 1/3 of the individuals in this group follow a persistent trajectory, namely, they always stay in the overeducation state, whereas the rest have some periods of good match, undereducation, and/or unemployment. | 
| 5. Undereducation (6.6%) | Dominated by the undereducation state during the entire period | Females are largely underrepresented in this group compared to the entire sample (27.93% vs. 47%). Individuals belonging to this group are, on average, 46 years old, largely higher than the sample average of 32 years old. The educational level of most individuals is primary education at the beginning and end of the analyzed period. Individuals in this group are overrepresented in manufacture, agriculture, machine operator, and elementary occupations. | Unemployment moves from 5 to 8.4%; in both cases lower than the average. | 0.42—relatively low. This is due to the fact that most individuals in this group maintain a persistent status—undereducation—over the entire period. | 
| 6. Good Match to Joblessness/Mismatch  (15%)  | Characterized by several years of a good match at the beginning followed by a mismatch state, i.e., a period of joblessness, under or overeducation | The distribution of demographics resembles the entire sample. Most individuals achieve secondary education. However, the share of people with higher education goes from 21.3% at the beginning to 40.6% at the end of the period. This suggests that some individuals may have increased their educational qualification while staying in the same occupation, which resulted in overeducation. On the other hand, the percentage of individuals participating in more specialized type of occupations such as VET/clerical support and managerial/professionals increased by the end of the period. This may explain transitions from good match to undereducation of some individuals | About 15% of the individuals belonging to this group started with a good match trajectory but lost their jobs by the end of the period. | 0.82—the highest (ie. it is the most heterogenous group) | 
| 7. Fast Transition to Good Match  (9%)  | Characterized by a few years of unemployment at the beginning followed by a good match at the end of the period. This group trajectory resembles group 3 but transitions occur earlier | Compared to group 3, there are slightly more women in this group (52.5%) and individuals are, on average, 2 years younger. Another noteworthy characteristic is that foreigners are overrepresented in this group (3.36% vs. 0.85% in the sample). The educational level of most individuals in this group is high school at the beginning and end of the analyzed period. | Similarly to group 3, unemployment is high at the beginning (69.33%) and low at the end (6.3%). | 0.52—The distribution plot suggests that the group is relatively homogenous, particularly at the end of the analyzed period. At the beginning, the entropy level is higher due to the transition from states of unemployment to good matches. | 
| 8. Good Match  (26%)  | The trajectory of individuals in this group is dominated by the good match state | Women are underrepresented (33%). Individuals are, on average, 39 years old (8 years older than the sample average). The educational level of most individuals in this group is high school at the beginning and end of the period. | Unemployment moves from 2 to 6.1%. In both cases, it is the lowest rate. | 0.12—the lowest. Most individuals in this group have a persistent trajectory, with very few individuals having some short lags of unemployment. | 
| Monthly Salary (Log Transformed) | ||||
|---|---|---|---|---|
| Model 1 | Model 2 | |||
| Educational mismatch trajectory (ref = good match career) | ||||
| Joblessness career | −0.278 *** | (0.040) | −0.313 *** | (0.057) | 
| Slow transition to overeducation | −0.133 ** | (0.058) | −0.204 *** | (0.075) | 
| Slow transition to good match | −0.154 *** | (0.041) | −0.227 *** | (0.059) | 
| Overeducation career | −0.085 * | (0.051) | −0.128 ** | (0.061) | 
| Undereducation career | −0.087 | (0.053) | −0.023 | (0.062) | 
| Good match to joblessness/mismatch | −0.116 *** | (0.038) | −0.054 | (0.048) | 
| Fast transition to good match | −0.026 | (0.046) | −0.037 | (0.063) | 
| Educational mismatch trajectory × Female (ref = good match career and male) | ||||
| Joblessness career × Female | 0.054 | (0.073) | ||
| Slow transition to overeducation × Female | 0.138 | (0.103) | ||
| Slow transition to good match × Female | 0.117 | (0.079) | ||
| Overeducation career × Female | 0.109 | (0.097) | ||
| Undereducation career × Female | −0.222 ** | (0.106) | ||
| Good match to joblessness/mismatch × Female | −0.138 * | (0.074) | ||
| Fast transition to good match × Female | 0.022 | (0.088) | ||
| Female | −0.400 *** | (0.024) | −0.409 *** | (0.047) | 
| Age | 0.033 *** | (0.006) | 0.033 *** | (0.006) | 
| Age × Age | 0.000 *** | (0.000) | 0.000 *** | (0.000) | 
| Indigenous | −0.100 ** | (0.040) | −0.103 *** | (0.040) | 
| Foreign | −0.114 | (0.122) | −0.101 | (0.122) | 
| Education (ref = Some primary or less) | ||||
| Some high school | 0.148 *** | (0.037) | 0.149 *** | (0.037) | 
| Some higher education | 0.311 *** | (0.048) | 0.321 *** | (0.048) | 
| Occupation (ref = No occupation) | ||||
| Manufacture/agriculture/machine operator/elementary occupations | −0.137 *** | (0.046) | −0.141 *** | (0.046) | 
| Services | −0.271 *** | (0.089) | −0.276 *** | (0.089) | 
| Technical professional, clerical support | 0.283 *** | (0.050) | 0.278 *** | (0.050) | 
| Managerial/Professional | 0.531 *** | (0.056) | 0.524 *** | (0.056) | 
| Number of observations | 2718 | 2718 | ||
Publisher’s Note: MDPI stays neutral with regard to jurisdictional claims in published maps and institutional affiliations.  | 
© 2021 by the authors. Licensee MDPI, Basel, Switzerland. This article is an open access article distributed under the terms and conditions of the Creative Commons Attribution (CC BY) license (https://creativecommons.org/licenses/by/4.0/).
Share and Cite
Sevilla, M.P.; Farías, M.; Luengo-Aravena, D. Patterns and Persistence of Educational Mismatch: A Trajectory Approach Using Chilean Panel Data. Soc. Sci. 2021, 10, 333. https://doi.org/10.3390/socsci10090333
Sevilla MP, Farías M, Luengo-Aravena D. Patterns and Persistence of Educational Mismatch: A Trajectory Approach Using Chilean Panel Data. Social Sciences. 2021; 10(9):333. https://doi.org/10.3390/socsci10090333
Chicago/Turabian StyleSevilla, María Paola, Mauricio Farías, and Daniela Luengo-Aravena. 2021. "Patterns and Persistence of Educational Mismatch: A Trajectory Approach Using Chilean Panel Data" Social Sciences 10, no. 9: 333. https://doi.org/10.3390/socsci10090333
APA StyleSevilla, M. P., Farías, M., & Luengo-Aravena, D. (2021). Patterns and Persistence of Educational Mismatch: A Trajectory Approach Using Chilean Panel Data. Social Sciences, 10(9), 333. https://doi.org/10.3390/socsci10090333
        
                                                
