Establishing Grounds for Building Orientation Mapping and Validation of Noise Level Correlation Modeling on Aircraft Take-off and Landing
Abstract
1. Introduction
1.1. Aircraft Noise Impacts to the Environment and Buildings
1.2. Procedures on Predicting the Aircraft Noise
1.3. Noise Control on the Aircraft Noise
2. Materials and Methods
3. Results
3.1. Relative Value (RV) for Establishing Building Orientation toward Runway
3.2. Correlation Modeling between Orientation Angle (α) and Noise Level
3.2.1. Aircraft take-off
3.2.2. Aircraft landing
3.3. Humid Tropical Climate Influence to Noise level
4. Discussion
4.1. Relative Value (RV) for Establishing Building Orientation toward Runway
4.2. Humid Tropical Climate Influence to Noise Level
4.3. Theoretical Validation of the Correlation Modeling
4.4. Empirical Validation of the Correlation Modeling
5. Conclusions
Author Contributions
Funding
Acknowledgments
Conflicts of Interest
References
- Harris, C.M.; Piersol, A.G. Harris’ Shock and Vibration Handbook, 5th ed.; McGRAW-HILL: New York, NY, USA, 2002. [Google Scholar]
- Setyowati, E.; Trilistyo, H. Climate Assessment of orientation design in the housing master plan close to the airport. GSTF Int. J. Eng. Technol. 2013, 2, 158–164. [Google Scholar] [CrossRef]
- Babisch, W.; Houthuijs, D.; Pershagen, G.; Cadum, E.; Katsouyanni, K.; Velonakis, M.; Dudley, M.L.; Marohn, H.D.; Swart, W.; Breugelmans, O.; et al. Annoyance due to aircraft noise has increased over the years—Results of the HYENA study. Environ. Int. 2009, 35, 1169–1176. [Google Scholar] [CrossRef] [PubMed]
- Ministry of Environment, The Indonesian Government. Baku Tingkat Kebisingan (Environmental Noise Quality Standard); Indonesia, 1996; 9p.
- Lagonigro, R.; Martori, J.C.; Apparicio, P. Environmental noise inequity in the city of Barcelona. Transp. Res. Part D Transp. Environ. 2018, 63, 309–319. [Google Scholar] [CrossRef]
- Ganić, E.; Babić, O.; Mirjana, Č.; Stanojević, M. Air traffic assignment to reduce population noise exposure using activity-based approach. Transp. Res. 2018, 63, 58–71. [Google Scholar] [CrossRef]
- Caniato, M.; Bettarello, F.; Schmid, C.; Fausti, P. Assessment criterion for indoor noise disturbance in the presence of low frequency sources. Appl. Acoust. 2016, 113, 22–33. [Google Scholar] [CrossRef]
- Setyowati, E.; Sadwikasari, A.F. Building materials composition influence to Sound Transmission Loss (STL) reduction. Adv. Mater. Res. 2013, 789, 242–247. [Google Scholar] [CrossRef]
- Setyowati, E. Algorythm Evolution of new environmental acoustic theory on housing masterplan design. Int. J. Eng. Technol. 2013, 13, 49–58. [Google Scholar]
- Ozkurt, N.; Hamamci, S.F.; Sari, D. Estimation of airport noise impacts on public health. A case study of Izmir Adnan Menderes Airport. Transp. Res. Part D Transp. Environ. 2015, 36, 152–159. [Google Scholar] [CrossRef]
- Licitra, G.; Gagliardi, P.; Fredianelli, L.; Simonetti, D. Noise mitigation action plan of Pisa civil and military airport and its effects on people exposure. Appl. Acoust. 2014, 84, 25–36. [Google Scholar] [CrossRef]
- Lawton, R.N.; Fujiwara, D. Living with aircraft noise: Airport proximity, aviation noise and subjective wellbeing in England. Transp. Res. Part D Transp. Environ. 2016, 42, 104–118. [Google Scholar] [CrossRef]
- Lambert, J.; Champelovier, P.; Blanchet, R.; Lavandier, C.; Terroir, J.; Márki, F.; Griefahn, B.; Iemma, U.; Janssens, K.; Bisping, R. Human response to simulated airport noise scenarios in home-like environments. Appl. Acoust. 2015, 90, 116–125. [Google Scholar] [CrossRef]
- Krunic, N.; Nenkovic, M. The impact of airport noise as part of a Strategic Environmental Assessment, case study: The Tivat (Montenegro) Airport expansion plan. Transp. Res. 2016, 49, 271–279. [Google Scholar]
- Janssen, S.A.; Centen, M.R.; Vos, H.; Van Kamp, I. The effect of the number of aircraft noise events on sleep quality. Appl. Acoust. 2014, 84, 9–16. [Google Scholar] [CrossRef]
- Camara, T.; Kamsu-Foguem, B.; Diourte, B.; Faye, J.P.; Hamadoun, O. Management of acoustic risks for buildings near airports. Ecol. Inform. 2018, 44, 43–56. [Google Scholar] [CrossRef]
- Gagliardi, P.; Teti, L.; Licitra, G. A statistical evaluation on flight operational characteristics affecting aircraft noise during take-off. Appl. Acoust. 2018, 134, 8–15. [Google Scholar] [CrossRef]
- Ignaccolo, M. Environmental capacity: Noise pollution at Catania-Fontanarossa international airport. J. Air Transp. Manag. 2000, 6, 191–199. [Google Scholar] [CrossRef]
- Sahai, A.K.; Snellen, M.; Simons, D.G. Objective quantification of perceived differences between measured and synthesized aircraft sounds. Aerosp. Sci. Technol. 2018, 72, 25–35. [Google Scholar] [CrossRef]
- Schäffer, B.; Plüss, S.; Thomann, G. Estimating the model-specific uncertainty of aircraft noise calculations. Appl. Acoust. 2014, 84, 58–72. [Google Scholar] [CrossRef]
- Lu, C. Combining a theoretical approach and practical considerations for establishing aircraft noise charge schemes. Appl. Acoust. 2014, 84, 17–24. [Google Scholar] [CrossRef]
- Aparecida, T.; Ghislain, J.; Maldonado, F. Analysis of airport noise through L Aeq noise metrics. J. Air Transp. Manag. 2014, 37, 5–9. [Google Scholar]
- Xie, H.; Li, H.; Kang, J. The characteristics and control strategies of aircraft noise in China. Appl. Acoust. 2014, 84, 47–57. [Google Scholar] [CrossRef]
- Pàmies, T.; Romeu, J.; Genescà, M.; Arcos, R. Active control of aircraft fly-over sound transmission through an open window. Appl. Acoust. 2014, 84, 1–6. [Google Scholar] [CrossRef]
- Ku, H.; Kim, H. Acoustic insulation performance of improved airtight windows. Constr. Build. Mater. 2015, 93, 542–550. [Google Scholar]
- Suárez, E.; Barros, J.L. Traffic noise mapping of the city of Santiago de Chile. Sci. Total Environ. 2014, 466–467, 539–546. [Google Scholar] [CrossRef] [PubMed]
- Cai, M.; Zou, J.; Xie, J.; Ma, X. Road traffic noise mapping in Guangzhou using GIS and GPS. Appl. Acoust. 2015, 87, 94–102. [Google Scholar] [CrossRef]
- Tsai, K.; Lin, M.; Chen, Y. Noise mapping in urban environments: A Taiwan study. Appl. Acoust. 2009, 70, 964–972. [Google Scholar] [CrossRef]
- Ko, J.H.; Chang, S.I.; Lee, B.C. Noise impact assessment by utilizing noise map and GIS: A case study in the city of Chungju, Republic of Korea. Appl. Acoust. 2011, 72, 544–550. [Google Scholar] [CrossRef]
- Vogiatzis, K.; Remy, N. From environmental noise abatement to soundscape creation through strategic noise mapping in medium urban agglomerations in South Europe. Sci. Total Environ. 2014, 482–483, 420–431. [Google Scholar] [CrossRef]
- Dintrans, A.; Préndez, M. A method of assessing measures to reduce road traffic noise: A case study in Santiago, Chile. Appl. Acoust. 2013, 74, 1486–1491. [Google Scholar] [CrossRef]
- Bastián-Monarca, N.A.; Suárez, E.; Arenas, J.P. Assessment of methods for simplified traffic noise mapping of small cities: Casework of the city of Valdivia, Chile. Sci. Total Environ. 2016, 550, 439–448. [Google Scholar] [CrossRef]
- Duta Citra Consultant. Final Report: Building and Environment Spatial Planning (RTBL) in Ahmad Yani Airport Area Semarang; Semarang, Indonesia, 2005. [Google Scholar]
- International Organization for Standardization. ISO 1996-1: 2016: Acoustics—Description, Measurement and Assessment of Environmental Noise—Part 1: Basic Quantities and Assessment Procedures; International Organization for Standardization: Geneva, Switzerland, 2016; 11p, Available online: https://www.sis.se/api/document/preview/920252/ (accessed on 19 January 2019).
- Filippone, A. Aircraft noise prediction. Prog. Aerosp. Sci. 2014, 68, 27–63. [Google Scholar] [CrossRef]
- Persson-Waye, K.; Bjorkman, M.; Rylander, R. Loudness, annoyance and dBA in evaluating low frequency sounds. J. Low Freq. Noise Vib. Act. Control 1990, 9, 32–45. [Google Scholar] [CrossRef]
- Sahlgrenska Academy. Effects of Low Frequency Noise and Vibrations: Environmental and Occupational Perspectives; Göteborg University: Göteborg, Sweden, 2011; pp. 240–253. [Google Scholar]




















| Instruments | Unit of Tools | Branded |
|---|---|---|
| Sound Level Meter | 2 | Luthron SL-4001 Calibrated number F80550 & G18304 |
| Dry-wet thermo-hygrometer | 1 | Krisbow KW06-561 |
| Thermo-Anemometer | 1 | Extech AN-100 |
| Stopwatch | 2 | Pursun PS-08 |
| Camera Digital | 1 | Canon EOS M-100 |
| Laptop | 1 | ASUS W 5FM, CPU Duo T5500 Memory 512 MB |
| Aircraft Condition | Measurement Condition in Building | Code | Number of Angles × Data | Equation Used | Results |
|---|---|---|---|---|---|
| Take-off | Outside | OS-T | 16 × 40 = 640 data | Mapping and Ranks | |
| Inside-closed window | CW-T | 16 × 40 = 640 data | |||
| Inside-opened window | OW-T | 16 × 40 = 640 data | |||
| Landing | Outside | OS-L | 16 × 40 = 640 data | Mapping and Ranks | |
| Inside-closed window | CW-L | 16 × 40 = 640 data | |||
| Inside-opened window | OW-L | 16 × 40 = 640 data |
| Building Orientation towards Runway | Number of Measurements | Take-off | Landing | ||||
|---|---|---|---|---|---|---|---|
| Outside (OS-T) | Closed Window (CW-T) | Open Window (OW-T) | Outside (OS-L) | Closed Window (CW-L) | Open Window (OW-L) | ||
| 0° | 40 | 0.922 | 0.861 | 0.954 | 0.919 | 0.856 | 0.961 |
| 30° | 40 | 0.883 | 0.793 | 0.953 | 0.880 | 0.784 | 0.957 |
| 45° | 40 | 0.861 | 0.751 | 0.967 | 0.870 | 0.770 | 0.941 |
| 60° | 40 | 0.900 | 0.828 | 0.963 | 0.893 | 0.807 | 0.968 |
| 90° | 40 | 0.855 | 0.740 | 0.956 | 0.829 | 0.697 | 0.969 |
| 120° | 40 | 0.841 | 0.877 | 0.936 | 0.821 | 0.685 | 0.952 |
| 135° | 40 | 0.834 | 0.703 | 0.940 | 0.802 | 0.655 | 0.951 |
| 150° | 40 | 0.854 | 0.746 | 0.935 | 0.828 | 0.689 | 0.949 |
| 180° | 40 | 0.950 | 0.916 | 0.918 | 0.827 | 0.692 | 0.903 |
| 210° | 40 | 0.861 | 0.750 | 0.962 | 0.857 | 0.742 | 0.960 |
| 225° | 40 | 0.928 | 0.878 | 0.939 | 0.849 | 0.730 | 0.941 |
| 240° | 40 | 0.862 | 0.751 | 0.952 | 0.873 | 0.771 | 0.955 |
| 270° | 40 | 1.041 | 1.076 | 0.967 | 0.976 | 0.965 | 0.962 |
| 300° | 40 | 0.898 | 0.827 | 0.967 | 0.828 | 0.715 | 0.963 |
| 315° | 40 | 0.954 | 0.922 | 0.967 | 0.955 | 0.920 | 0.963 |
| 330° | 40 | 0.961 | 0.930 | 0.972 | 0.957 | 0.957 | 0.956 |
| Average of RV | 0.900 | 0.834 | 0.953 | 0.873 | 0.777 | 0.953 | |
| α | OS (Outside the Building) | CW (Closed Window) | OW (Open Window) | |||||||||
|---|---|---|---|---|---|---|---|---|---|---|---|---|
| Leq (dB) | T (°C) | RH % | V m/sec | Leq (dB) | T (°C) | RH % | V m/sec | Leq (dB) | T (°C) | RH % | V m/sec | |
| 0° | 79.00 | 28–32 | 70 | 5.0 | 50.05 | 28–32 | 70 | 5.0 | 63.85 | 27–30 | 72 | 5.0 |
| 30° | 66.38 | 27–33 | 60 | 4.8 | 37.43 | 27–33 | 60 | 4.8 | 63.70 | 27–30 | 79 | 5.0 |
| 45° | 61.15 | 27–33 | 60 | 4.0 | 32.20 | 27–33 | 60 | 4.0 | 63.80 | 29–33 | 92 | 6.0 |
| 60° | 69.65 | 27–33 | 60 | 4.0 | 40.70 | 27–33 | 60 | 4.0 | 62.29 | 25–27 | 80 | 7.0 |
| 90° | 67.51 | 31–36 | 60 | 5.0 | 38.56 | 31–36 | 60 | 5.0 | 64.48 | 28–31 | 80 | 1.5 |
| 120° | 62.03 | 28–32 | 72 | 5.1 | 33.08 | 28–32 | 72 | 5.1 | 63.54 | 30–35 | 65 | 1.7 |
| 135° | 60.24 | 27–30 | 75 | 4.6 | 31.29 | 27–30 | 75 | 4.6 | 62.34 | 30–35 | 65 | 5.0 |
| 150° | 61.69 | 26–27 | 90 | 3.6 | 32.74 | 26–27 | 90 | 3.6 | 62.96 | 30–35 | 70 | 1.8 |
| 180° | 66.85 | 29–34 | 70 | 5.0 | 45.45 | 29–34 | 70 | 5.0 | 65.75 | 28–31 | 72 | 4.5 |
| 210° | 63.83 | 30–37 | 55 | 4.5 | 34.88 | 30–37 | 55 | 4.5 | 61.68 | 31–37 | 70 | 12.0 |
| 225° | 70.67 | 29–35 | 55 | 8.7 | 41.72 | 29–35 | 55 | 8.7 | 66.36 | 28–32 | 65 | 8.0 |
| 240° | 60.74 | 29–35 | 55 | 4.0 | 31.79 | 29–35 | 55 | 4.0 | 70.34 | 28–32 | 65 | 8.0 |
| 270° | 81.44 | 28–31 | 80 | 11.0 | 52.49 | 28–31 | 80 | 11.0 | 62.29 | 29–31 | 70 | 2.0 |
| 300° | 70.79 | 27–30 | 80 | 7.4 | 41.84 | 27–30 | 80 | 7.4 | 62.96 | 27–29 | 90 | 1.5 |
| 315° | 72.66 | 25–26 | 92 | 0.3 | 43.71 | 25–26 | 92 | 0.3 | 64.76 | 30–36 | 75 | 4.0 |
| 330° | 63.89 | 27–30 | 82 | 4.0 | 34.94 | 27–30 | 82 | 4.0 | 62.86 | 30–36 | 75 | 3.0 |
| α (°) | Leq (dB) |
|---|---|
| 0 | 90.10 |
| 60 | 80.90 |
| 180 | 86.70 |
| 210 | 74.80 |
| 225 | 82.70 |
| 270 | 86.30 |
| 315 | 83.7 |
| Condition | Noise Level | R2 | L=L0+A∗sin(π∗(α−αc)/ω) | |||
|---|---|---|---|---|---|---|
| αc | w | A | L0 | |||
| OS-T | Average | 0.729 | 29.647 | 11.934 | 3.913 | 58.834 |
| Maximum | 0.841 | 63.081 | 41.826 | 7.173 | 83.381 | |
| CW-T | Average | 0.729 | 29.647 | 11.934 | 3.913 | 30.144 |
| Maximum | 0.841 | 63.081 | 41.826 | 7.173 | 54.431 | |
| OW-T | Average | 0.819 | −92.854 | 149.866 | 1.010 | 63.037 |
| Maximum | 0.929 | 166.021 | 132.151 | 3.045 | 73.150 | |
| α | OS (Outside the Building) | CW (Closed Window) | OW (Open Window) | |||||||||
|---|---|---|---|---|---|---|---|---|---|---|---|---|
| Leq (dB) | T (°C) | RH (%) | V (m/sec) | Leq (dB) | T (°C) | RH (%) | V (m/sec) | Leq (dB) | T (°C) | RH (%) | V (m/sec) | |
| 0° | 62.86 | 28–32 | 70 | 5.0 | 33.91 | 28–32 | 70 | 5.0 | 61.45 | 27–30 | 72 | 6.0 |
| 30° | 60.11 | 28–33 | 60 | 3.0 | 31.16 | 28–33 | 60 | 3.0 | 61.70 | 28–30 | 83 | 6.0 |
| 45° | 58.13 | 27–33 | 60 | 3.0 | 29.18 | 27–33 | 60 | 3.0 | 65.69 | 28–32 | 75 | 6.0 |
| 60° | 60.43 | 27–33 | 60 | 4.0 | 31.48 | 27–33 | 60 | 4.0 | 61.56 | 28–29 | 80 | 0.2 |
| 90° | 57.72 | 30–32 | 90 | 10.5 | 28.77 | 30–32 | 90 | 10.5 | 62.77 | 30–32 | 85 | 0.9 |
| 120° | 54.97 | 28–35 | 70 | 4.5 | 26.02 | 28–35 | 70 | 4.5 | 60.92 | 28–33 | 65 | 0.5 |
| 135° | 55.10 | 27–29 | 85 | 6.6 | 26.15 | 27–29 | 85 | 6.6 | 60.85 | 29–34 | 70 | 5.0 |
| 150° | 65.19 | 26–27 | 90 | 3.6 | 36.24 | 26–27 | 90 | 3.6 | 60.77 | 28–33 | 70 | 3.0 |
| 180° | 55.25 | 27–31 | 65 | 4.2 | 26.30 | 27–31 | 65 | 4.2 | 57.88 | 28–31 | 72 | 4.5 |
| 210° | 56.63 | 28–34 | 70 | 5.0 | 27.68 | 28–34 | 70 | 5.0 | 61.08 | 28–31 | 72 | 5.0 |
| 225° | 55.87 | 30–37 | 55 | 6.0 | 26.92 | 30–37 | 55 | 6.0 | 60.93 | 31–37 | 70 | 12.0 |
| 240° | 63.50 | 29–35 | 55 | 8.7 | 34.55 | 29–35 | 55 | 8.7 | 60.64 | 28–32 | 65 | 8.0 |
| 270° | 70.79 | 28–31 | 80 | 11.0 | 41.84 | 28–31 | 80 | 11.0 | 61.39 | 29–31 | 70 | 4.5 |
| 300° | 69.27 | 27–30 | 80 | 7.4 | 40.32 | 27–30 | 80 | 7.4 | 62.16 | 30–36 | 60 | 3.0 |
| 315° | 63.62 | 26–27 | 90 | 1.5 | 34.67 | 26–27 | 90 | 1.5 | 63.84 | 30–36 | 60 | 3.0 |
| 330° | 63.29 | 26–27 | 95 | 1.5 | 34.34 | 26–27 | 95 | 1.5 | 61.33 | 29–35 | 65 | 5.9 |
| α (°) | Leq (dB) |
|---|---|
| 120 | 60.350 |
| 150 | 61.000 |
| 180 | 61.550 |
| 210 | 60.930 |
| 240 | 60.450 |
| 300 | 61.450 |
| 330 | 61.460 |
| Condition | Noise Level | R2 | L = L0 + A∗sin(π∗(α − αc)/ω) | |||
|---|---|---|---|---|---|---|
| αc | w | A | L0 | |||
| OS-L | Average | 0.999 | 106.903 | 74.261 | 3.740 | 59.209 |
| Maximum | 0.951 | 225.778 | 163.667 | 5.497 | 67.021 | |
| CW-L | Average | 0.999 | 106.903 | 74.261 | 3.740 | 30.519 |
| Maximum | 0.951 | 225.778 | 163.667 | 5.497 | 38.331 | |
| OW-L | Average | 0.963 | 11.283 | 67.381 | 0.605 | 60.942 |
| Maximum | 0.853 | 59.219 | 121.485 | 2.853 | 65.504 | |
| Condition | Time | Take-off | Landing | ||||||
|---|---|---|---|---|---|---|---|---|---|
| Leq (dB) | T °C | RH (%) | Wind (m/sec) | Leq (dB) | T °C | RH (%) | Wind (m/sec) | ||
| OS | 1 | 70.17 | 24.30 | 95.00 | 0.02 | 65.43 | 30.00 | 65.70 | 1.08 |
| 2 | 71.62 | 25.00 | 70.50 | 0.30 | 64.76 | 30.30 | 57.70 | 0.78 | |
| 3 | 72.18 | 30.90 | 56.70 | 1.20 | 69.77 | 32.50 | 48.10 | 2.00 | |
| 4 | 72.18 | 30.90 | 56.70 | 1.35 | 72.11 | 33.20 | 45.10 | 2.06 | |
| 5 | 68.13 | 34.40 | 45.40 | 1.53 | 71.34 | 34.50 | 41.30 | 3.34 | |
| 6 | 68.80 | 34.40 | 45.40 | 2.30 | 68.95 | 34.90 | 40.20 | 2.57 | |
| 7 | 70.26 | 34.50 | 40.20 | 2.70 | 67.10 | 32.00 | 56.50 | 5.00 | |
| 8 | 70.97 | 33.60 | 53.70 | 3.26 | 72.02 | 28.60 | 72.10 | 3.00 | |
| 9 | 67.90 | 31.00 | 63.90 | 3.60 | 70.98 | 28.70 | 76.20 | 2.00 | |
| 10 | 75.88 | 28.50 | 75.30 | 2.30 | 68.75 | 28.50 | 76.50 | 2.00 | |
| 11 | 69.86 | 28.60 | 76.80 | 2.00 | 68.11 | 28.10 | 77.20 | 1.60 | |
| 12 | 73.23 | 28.10 | 77.10 | 1.60 | 68.73 | 28.00 | 78.20 | 1.40 | |
| CW | 1 | 37.95 | 25.50 | 81.00 | 0.07 | 36.48 | 30.80 | 66.30 | 0.04 |
| 2 | 42.67 | 26.00 | 71.00 | 0.02 | 35.81 | 30.80 | 63.20 | 0.01 | |
| 3 | 43.23 | 31.00 | 60.20 | 0.01 | 40.82 | 32.80 | 50.90 | 0.05 | |
| 4 | 43.23 | 31.00 | 60.20 | 0.05 | 43.16 | 33.70 | 51.20 | 0.07 | |
| 5 | 39.18 | 34.90 | 43.90 | 0.01 | 42.39 | 34.80 | 42.40 | 0.05 | |
| 6 | 39.85 | 34.90 | 43.90 | 0.01 | 40.00 | 35.40 | 42.30 | 0.07 | |
| 7 | 41.31 | 35.30 | 42.30 | 0.01 | 38.15 | 32.50 | 59.30 | 0.01 | |
| 8 | 42.02 | 36.60 | 48.60 | 0.01 | 43.07 | 28.60 | 72.10 | 0.01 | |
| 9 | 38.95 | 31.00 | 63.90 | 0.01 | 42.03 | 28.70 | 76.20 | 0.01 | |
| 10 | 46.93 | 28.50 | 75.30 | 0.01 | 39.80 | 28.50 | 76.50 | 0.01 | |
| 11 | 40.91 | 28.60 | 76.80 | 0.01 | 39.16 | 28.10 | 77.20 | 0.01 | |
| 12 | 44.28 | 28.10 | 77.10 | 0.01 | 39.78 | 28.00 | 78.20 | 0.01 | |
| OW | 1 | 67.95 | 25.50 | 80.10 | 0.01 | 63.95 | 25.50 | 79.40 | 0.01 |
| 2 | 65,86 | 27.40 | 70.10 | 0.01 | 63.46 | 25.50 | 79.40 | 0.01 | |
| 3 | 64.00. | 28.10 | 67.30 | 0.04 | 63.02 | 32.00 | 54.30 | 0.03 | |
| 4 | 65.84 | 33.50 | 48.20 | 0.03 | 67.71 | 33.40 | 49.90 | 0.01 | |
| 5 | 66.58 | 36.30 | 43.40 | 0.06 | 67.01 | 33.50 | 48.20 | 0.03 | |
| 6 | 66.02 | 37.10 | 39.10 | 0.03 | 67.01 | 36.50 | 42.20 | 0.02 | |
| 7 | 65.64 | 37.20 | 37.70 | 0.09 | 65.08 | 37.10 | 39.10 | 0.01 | |
| 8 | 66.58 | 35.80 | 40.40 | 0.12 | 64.98 | 37.10 | 39.40 | 0.02 | |
| 9 | 64.39 | 31.00 | 63.90 | 0.02 | 62.76 | 32.50 | 62.50 | 0.02 | |
| 10 | 65.09 | 28.50 | 75.30 | 0.02 | 66.50 | 28.60 | 72.10 | 0.02 | |
| 11 | 64.82 | 28.60 | 76.80 | 0.02 | 66.46 | 28.70 | 76.20 | 0.02 | |
| 12 | 64.91 | 28.10 | 77.10 | 0.02 | 66.48 | 28.50 | 76.50 | 0.02 | |
| Variable | Take-off | Landing | |||
|---|---|---|---|---|---|
| Noise Level | Wind Speed | Noise Level | Wind Speed | ||
| Noise level | Pearson Correlation | 1 | 0.492 ** | 1 | 0.488 ** |
| Sig. (2-tailed) | 0.001 | 0.002 | |||
| N | 41 | 41 | 38 | 38 | |
| Wind speed | Pearson Correlation | 0.492 ** | 1 | 0.488 ** | 1 |
| Sig. (2-tailed) | 0.001 | 0.002 | |||
| N | 41 | 41 | 38 | 38 | |
| Variable | Value | Standard Error |
|---|---|---|
| OW-T | ||
| Variable | Value | Standard Error |
|---|---|---|
| OW-L | ||
| Variable | Value | Standard Error |
|---|---|---|
| OS-L | ||
| Variable | Value | Standard Error |
|---|---|---|
| OW-L | ||
| Variable | Value | Standard Error |
|---|---|---|
| OS-T | ||
| Variable | Value | Standard Error |
|---|---|---|
| CW-T | ||
| Condition | N | Minimum | Maximum | Average | Standard Deviation |
|---|---|---|---|---|---|
| OS-T (66°) | 20 | 65.10 | 80.50 | 68.04 | 3.96 |
| Valid N (list wise) | 20 | - | - | - | - |
| Condition | N | Minimum | Maximum | Average | Standard Deviation |
|---|---|---|---|---|---|
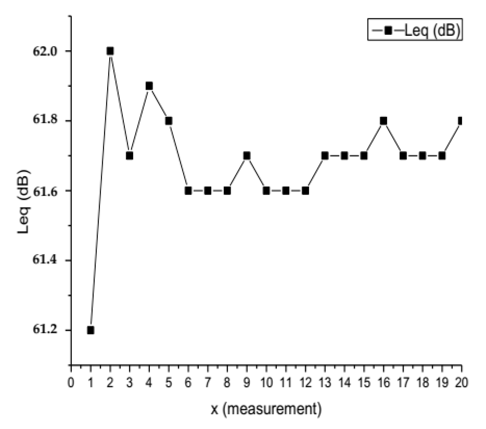
| OS-L (180°) | 20 | 61.60 | 62.00 | 61.69 | 0.117 |
| Valid N (listwise) | 20 | - | - | - | - |
| Aircraft Condition | Angle | On Site Measurements (dB) | Empirical Validation (dB) | Deviation | ||
|---|---|---|---|---|---|---|
| Maximum | Average | Maximum | Average | |||
| Take-off | 66° | 80.50 | 68.04 | 82.94 | 69.36 | 0.0194 |
| 180° | 82.40 | 72.85 | 82.78 | 73.19 | 0.0046 | |
| 246° | 82.70 | 73.55 | 83.70 | 74.44 | 0.0121 | |
| Average | 81.86 | 71.48 | 83,14 | 72.33 | 0.0120 | |
| Landed | 66° | 67.10 | 60.56 | 66.24 | 60.55 | 0.0127 |
| 180° | 62.00 | 61.69 | 61.20 | 60.91 | 0.0127 | |
| 246° | 62.20 | 57.26 | 61.66 | 56.76 | 0.0086 | |
| Average | 63.76 | 59.83 | 63.03 | 59.51 | 0.0113 | |
© 2019 by the authors. Licensee MDPI, Basel, Switzerland. This article is an open access article distributed under the terms and conditions of the Creative Commons Attribution (CC BY) license (http://creativecommons.org/licenses/by/4.0/).
Share and Cite
Setyowati, E.; Budihardjo, M.A.; Putri, A.R. Establishing Grounds for Building Orientation Mapping and Validation of Noise Level Correlation Modeling on Aircraft Take-off and Landing. Buildings 2019, 9, 27. https://doi.org/10.3390/buildings9010027
Setyowati E, Budihardjo MA, Putri AR. Establishing Grounds for Building Orientation Mapping and Validation of Noise Level Correlation Modeling on Aircraft Take-off and Landing. Buildings. 2019; 9(1):27. https://doi.org/10.3390/buildings9010027
Chicago/Turabian StyleSetyowati, Erni, Mochamad Arief Budihardjo, and Agitta Raras Putri. 2019. "Establishing Grounds for Building Orientation Mapping and Validation of Noise Level Correlation Modeling on Aircraft Take-off and Landing" Buildings 9, no. 1: 27. https://doi.org/10.3390/buildings9010027
APA StyleSetyowati, E., Budihardjo, M. A., & Putri, A. R. (2019). Establishing Grounds for Building Orientation Mapping and Validation of Noise Level Correlation Modeling on Aircraft Take-off and Landing. Buildings, 9(1), 27. https://doi.org/10.3390/buildings9010027

