Contribution of Portuguese Vernacular Building Strategies to Indoor Thermal Comfort and Occupants’ Perception
Abstract
:1. Introduction
1.1. State of the Art
1.2. Climate-Responsive Strategies in Vernacular Architecture from Northern and Southern Portugal


2. Methodology and Case Studies
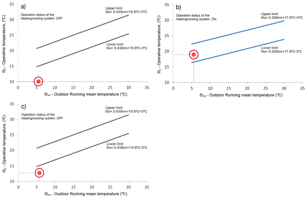
2.1. Methodology and Equipment

2.2. Case Studies Description
2.2.1. Case Study 1—Northern Portugal Glazed-Balcony Building


2.2.2. Case Study 2—Southern Portugal Rammed-Earth Building


3. Results and Discussion
3.1. Case Study 1—Northern Building with a Glazed-Balcony
3.1.1. Summer Monitoring
| Season | Summer | Kitchen/Living Room | Bedroom/Balcony | Bedroom | Bathroom |
|---|---|---|---|---|---|
| Place/Room | Outdoor | ||||
| Temperature (°C) | |||||
| Mean | 23.2 | 23.9 | 25.8 | 26.0 | 26.0 |
| Maximum | 40.8 | 27.3 | 33.8 | 30.0 | 35.2 |
| Minimum | 11.7 | 20.9 | 17.8 | 22.5 | 20.4 |
| Relative Humidity (%) | |||||
| Mean | 59 | 53 | 50 | 50 | 51 |
| Maximum | 100 | 66 | 69 | 61 | 79 |
| Minimum | 14 | 28 | 26 | 29 | 26 |


3.1.2. Winter Monitoring

| Season | Winter | Kitchen/Living Room | Bedroom/Balcony | Bedroom | Bathroom |
|---|---|---|---|---|---|
| Place/Room | Outdoor | ||||
| Temperature (°C) | |||||
| Mean | 4.9 | 6.9 | 7.6 | 6.4 | 6.4 |
| Maximum | 20.9 | 10.0 | 15.7 | 9.8 | 12.8 |
| Minimum | −4.0 | 5.2 | 3.0 | 4.2 | 3.1 |
| Relative Humidity (%) | |||||
| Mean | 79 | 76 | 70 | 80 | 76 |
| Maximum | 95 | 80 | 76 | 83 | 85 |
| Minimum | 15 | 68 | 58 | 77 | 63 |

3.2. Case Study 2—Southern Rammed-Earth Building
3.2.1. Summer Monitoring

| Season | Summer | Living Room | Alcove (Middle) | Bedroom | Attic | Old Kitchen |
|---|---|---|---|---|---|---|
| Place/Room | Outdoor | |||||
| Temperature (°C) | ||||||
| Mean | 25.7 | 25.3 | 25.9 | 25.5 | 26.9 | 25.5 |
| Maximum | 39.8 | 27.0 | 27.4 | 26.8 | 29.8 | 27.9 |
| Minimum | 16.3 | 22.9 | 24.6 | 24.2 | 25.0 | 22.6 |
| Relative Humidity (%) | ||||||
| Mean | 53 | 51 | 53 | 55 | 51 | 52 |
| Maximum | 96 | 68 | 66 | 67 | 64 | 72 |
| Minimum | 16 | 37 | 42 | 43 | 39 | 32 |

3.2.2. Winter Monitoring
| Season | Winter | Living Room | Alcove (Middle) | Bedroom | Attic | Corridor | Old Kitchen | Kitchen |
|---|---|---|---|---|---|---|---|---|
| Place/Room | Outdoor | |||||||
| Temperature (°C) | ||||||||
| Mean | 7.5 | 17.7 | 16.8 | 13.6 | 11.8 | 13.9 | 12.0 | 15.2 |
| Maximum | 14.8 | 25.8 | 20.7 | 19.3 | 14.4 | 16.6 | 15.4 | 22.2 |
| Minimum | 0.2 | 13.6 | 14.9 | 12.3 | 10.2 | 12.6 | 10.7 | 12.0 |
| Relative Humidity (%) | ||||||||
| Mean | 81 | 50 | 57 | 66 | 75 | 69 | 74 | 62 |
| Maximum | 98 | 65 | 69 | 79 | 86 | 87 | 84 | 82 |
| Minimum | 25 | 33 | 39 | 52 | 63 | 55 | 65 | 46 |


4. Conclusions
Acknowledgments
Author Contributions
Conflicts of Interest
References
- Lau, C.C.S.; Lam, J.C.; Yang, L. Climate classification and passive solar design implications in China. Energy Convers. Manag. 2007, 48, 2006–2015. [Google Scholar] [CrossRef]
- Singh, M.K.; Mahapatra, S.; Atreya, S.K. Bioclimatism and vernacular architecture of north-east India. Build. Environ. 2009, 44, 878–888. [Google Scholar] [CrossRef]
- Coch, H. Chapter 4—Bioclimatism in vernacular architecture. Renew. Sustain. Energy Rev. 1998, 2, 67–87. [Google Scholar] [CrossRef]
- Oliveira, E.V.; Galhano, F. Arquitectura Tradicional Portuguesa; Publicações Dom Quixote: Lisboa, Portugal, 1992. [Google Scholar]
- Fernandes, J.; Mateus, R.; Bragança, L.; Correia da Silva, J.J. Portuguese vernacular architecture: The contribution of vernacular materials and design approaches for sustainable construction. Archit. Sci. Rev. 2015, 58, 324–336. [Google Scholar] [CrossRef]
- Cardinale, N.; Rospi, G.; Stefanizzi, P. Energy and microclimatic performance of Mediterranean vernacular buildings: The Sassi district of Matera and the Trulli district of Alberobello. Build. Environ. 2013, 59, 590–598. [Google Scholar] [CrossRef]
- Fernandes, J.; Mateus, R. Energy Efficiency Principles in Portuguese Vernacular Architecture. In Proceedings of the BSA 2012: 1st International Conference on Building Sustainability Assessment, Porto, Portugal, 23–25 May 2012; Amoêda, R., Mateus, R., Bragança, L., Pinheiro, C., Eds.; Greenlines Institute for Sustainable Development: Porto, Portugal, 2012; pp. 561–572. [Google Scholar]
- Healy, S. Air-conditioning and the “homogenization” of people and built environments. Build. Res. Inf. 2008, 36, 312–322. [Google Scholar] [CrossRef]
- Ürge-Vorsatz, D.; Danny Harvey, L.D.; Mirasgedis, S.; Levine, M.D. Mitigating CO2 emissions from energy use in the world’s buildings. Build. Res. Inf. 2007, 35, 379–398. [Google Scholar] [CrossRef]
- Pitts, A. Thermal comfort in transition spaces. Buildings 2013, 3, 122–142. [Google Scholar] [CrossRef]
- Passer, A.; Kreiner, H.; Maydl, P. Assessment of the environmental performance of buildings: A critical evaluation of the influence of technical building equipment on residential buildings. Int. J. Life Cycle Assess. 2012, 17, 1116–1130. [Google Scholar] [CrossRef]
- Li, J.; Colombier, M. Managing carbon emissions in China through building energy efficiency. J. Environ. Manag. 2009, 90, 2436–2447. [Google Scholar] [CrossRef] [PubMed]
- Machado, M.V.; la Roche, P.M.; Mustieles, F.; de Oteiza, I. The fourth house: The design of a bioclimatic house in Venezuela. Build. Res. Inf. 2000, 28, 196–211. [Google Scholar] [CrossRef]
- Kimura, K. Vernacular technologies applied to modern architecture. Renew. Energy 1994, 5, 900–907. [Google Scholar] [CrossRef]
- Singh, M.K.; Mahapatra, S.; Atreya, S.K. Solar passive features in vernacular architecture of North-East India. Sol. Energy 2011, 85, 2011–2022. [Google Scholar] [CrossRef]
- Fernandes, J.; Mateus, R.; Bragança, L. The Potential of Vernacular Materials to the Sustainable Building Design; Correia, M., Carlos, G., Rocha, S., Eds.; CRC Press: Vila Nova da Cerveira, Portugal, 2013. [Google Scholar]
- Martín, S.; Mazarrón, F.R.; Cañas, I. Study of thermal environment inside rural houses of Navapalos (Spain): The advantages of reuse buildings of high thermal inertia. Constr. Build. Mater. 2010, 24, 666–676. [Google Scholar] [CrossRef]
- Shanthi Priya, R.; Sundarraja, M.C.; Radhakrishnan, S.; Vijayalakshmi, L. Solar passive techniques in the vernacular buildings of coastal regions in Nagapattinam, TamilNadu-India—A qualitative and quantitative analysis. Energy Build. 2012, 49, 50–61. [Google Scholar] [CrossRef]
- Singh, M.K.; Mahapatra, S.; Atreya, S.K. Thermal performance study and evaluation of comfort temperatures in vernacular buildings of North-East India. Build. Environ. 2010, 45, 320–329. [Google Scholar] [CrossRef]
- ANSI/ASHRAE Standard 55—Thermal Environmental Conditions for Human Occupancy; American Society of Heating, Refrigerating, and Air-Conditioning Engineers (ASHRAE): Atlanta, GA, USA, 2010.
- EN 15251 Indoor Environmental Input Parameters for Design and Assessment of Energy Performance of Buildings—Addressing Indoor air Quality, Thermal Environment, Lighting and Acoustics; CEN-European Committee for Standardization: Brussels, Belgium, 2007.
- Matias, L. TPI65—Desenvolvimento de um Modelo Adaptativo Para Definição das Condições de Conforto Térmico em Portugal; Laboratório Nacional de Engenharia Civil/National Laboratory of Civil Engineering: Lisboa, Portugal, 2010. [Google Scholar]
- Santos, F.D.; Forbes, K.; Moita, R. Climate Change in Portugal. Scenarios, Impacts and Adaptation Measure—SIAM Project; Gradiva: Lisbon, Portugal, 2002. [Google Scholar]
- IGEO Atlas de Portugal: um país de área Repartida. Available online: http://www.igeo.pt/atlas/cap1/Cap1d_1.html (accessed on 23 April 2013).
- Associação dos Arquitectos Portugueses. Arquitectura Popular em Portugal, 3rd ed.; Associação dos Arquitectos Portugueses: Lisboa, Portugal, 1988. [Google Scholar]
- Ware, J.; Pitts, A. The Role and Impact of Passive Buffer Spaces Retrofitted to Existing Houses. In Proceedings of the Architecture & Sustainable Development. 27th International Conference on Passive and Low Energy Architecture, Louvain-le-Neuve, Belgium, 13–15 July 2011; Bodart, M., Evrar, A., Eds.; Presses universitaires de Louvain: Louvain-le-Neuve, Belgium, 2011; pp. 645–649. [Google Scholar]
- Küess, H.; Koller, M.; Hammerer, T. Detail Green—English Edition; Institut für internationale Architektur-Dokumentation GmbH & Co.: Munich, Germany, 2011; pp. 44–49. [Google Scholar]
- ISO 7726 Ergonomics of the Thermal Environment e Instruments for Measuring Physical Quantities; International Organization for Standardization: Geneva, Switzerland, 1998.
- ISO 7730 Ergonomics of the Thermal Environment: Analytical Determination and Interpretation of Thermal Comfort Using Calculation of the PMV and PPD Indices and Local Thermal Comfort Criteria; International Organization for Standardization: Geneva, Switzerland, 2005.
- Matias, L.; Almeida, S.; Pina Santos, C.; Rebelo, M.; Correia Guedes, M. Adaptive Thermal Comfort for Buildings in Portugal based on Occupants’ Thermal Perception. In Proceedings of the PLEA2009—26th Conference on Passive and Low Energy Architecture: Architecture Energy and the Occupant’s Perspective, Quebec City, Canada, 22–24 June 2009; Demers, C., Potvin, A., Eds.; Les Presses de l’Université Laval: Quebec City, Canada, 2009; pp. 22–24. [Google Scholar]
- AA, V. Atlas Climático Ibérico: Temperatura do Ar e Precipitação (1971–2000)/Iberian Climate Atlas: Air Temperature and Precipitation (1971/2000); Agencia Estatal de Meteorología & Instituto de Meteorologia de Portugal: Madrid, Spain, 2011. [Google Scholar]
- Pina dos Santos, C.A.; Rodrigues, R. ITE54—Coeficientes de Transmissão Térmica de Elementos Opacos da Envolvente dos Edificios; Laboratório Nacional de Engenharia Civil/National Laboratory of Civil Engineering: Lisboa, Portugal, 2009. [Google Scholar]
- Pina dos Santos, C.A.; Matias, L. ITE50—Coeficientes de Transmissão Térmica de Elementos da Envolvente dos Edificios; Laboratório Nacional de Engenharia Civil/National Laboratory of Civil Engineering: Lisboa, Portugal, 2006. [Google Scholar]
- Morton, T. Earth Masonry—Design and Construction Guidelines; HIS BRE Press: Berkshire, UK, 2008. [Google Scholar]
- Berge, B. The Ecology of Building Materials, 2nd ed.; Elsevier: Oxford, UK, 2009. [Google Scholar]
© 2015 by the authors; licensee MDPI, Basel, Switzerland. This article is an open access article distributed under the terms and conditions of the Creative Commons Attribution license (http://creativecommons.org/licenses/by/4.0/).
Share and Cite
Fernandes, J.; Pimenta, C.; Mateus, R.; Silva, S.M.; Bragança, L. Contribution of Portuguese Vernacular Building Strategies to Indoor Thermal Comfort and Occupants’ Perception. Buildings 2015, 5, 1242-1264. https://doi.org/10.3390/buildings5041242
Fernandes J, Pimenta C, Mateus R, Silva SM, Bragança L. Contribution of Portuguese Vernacular Building Strategies to Indoor Thermal Comfort and Occupants’ Perception. Buildings. 2015; 5(4):1242-1264. https://doi.org/10.3390/buildings5041242
Chicago/Turabian StyleFernandes, Jorge, Carlos Pimenta, Ricardo Mateus, Sandra Monteiro Silva, and Luís Bragança. 2015. "Contribution of Portuguese Vernacular Building Strategies to Indoor Thermal Comfort and Occupants’ Perception" Buildings 5, no. 4: 1242-1264. https://doi.org/10.3390/buildings5041242
APA StyleFernandes, J., Pimenta, C., Mateus, R., Silva, S. M., & Bragança, L. (2015). Contribution of Portuguese Vernacular Building Strategies to Indoor Thermal Comfort and Occupants’ Perception. Buildings, 5(4), 1242-1264. https://doi.org/10.3390/buildings5041242

