An Analytical Model and Parameter Sensitivity Analysis of the Energy Dissipation Ratio for Nonlinear Viscous Dampers Under Seismic Excitation
Abstract
1. Introduction
2. Theoretical Model Construction and Derivation of Computational Formulas
2.1. Single Degree of Freedom System Analytical Model
2.1.1. Basic Assumptions and Parameter Definitions
- Structural model parameters
- 2.
- Nonlinear viscous damper model
- 3.
- Seismic excitation model
2.1.2. Equations of Motion and the Definition of Energy
2.1.3. Statistical Characteristics of Velocity Response
- 1.
- Power spectral density
- 2.
- Standard deviation of velocity
- 3.
- Higher-order moment functions
2.1.4. Derivation of Energy Expectation and Energy Consumption Ratio
- 1.
- Energy dissipation expectations of the damper
- 2.
- Expectation of seismic input energy
- 3.
- Energy consumption ratio analytical formula
2.2. Extension to Multi-Degree-of-Freedom Systems
2.2.1. Mode Decomposition and Dominance of the First Mode
2.2.2. Formula for Energy Consumption Ratio in Multi-Degree-of-Freedom Systems
2.3. Research Framework and Workflow
- Analytical Formulation: Establishing the theoretical model of the energy dissipation ratio for structures equipped with non-viscous dampers. This phase primarily focuses on evaluating the influence of key governing parameters, specifically the damping coefficient (C), the velocity exponent (α), and the Peak Ground Acceleration (PGA) of the seismic input.
- Structural Modeling: Developing a detailed numerical model of a multi-story reinforced concrete (RC) frame based on a real-world case study. For instance, a representative six-story building is utilized as the benchmark structural system to implement and verify the proposed analytical model.
- Dynamic Analysis: Performing comprehensive nonlinear time history analyses on the established numerical model, which is subjected to a carefully selected suite of representative ground motion records to simulate realistic seismic excitations.
- Response Evaluation: Extracting and analyzing key macroscopic structural responses. Special attention is given to correlating the energy dissipation ratio with critical deformation metrics—such as the roof displacement and base shear force—to comprehensively assess the overall dynamic behavior and structural safety.
3. Numerical Validation Design
3.1. Parameters of the Six-Layer Reinforced Concrete Frame Structure Model
- Material properties
- 2.
- Component cross-section
- 3.
- Mass distribution
- 4.
- Dynamic characteristics
3.2. Arrangement and Parameter Range of Nonlinear Viscous Dampers
- 1.
- Damper arrangement plan
- 2.
- Range of values for damper parameters
3.3. Selection and Loading Scheme of Seismic Excitation
3.4. Numerical Simulation Methods and Parameter Sensitivity Analysis
3.4.1. Numerical Simulation Methods
- 1.
- Structural units and materials
- 2.
- Damping unit
- 3.
- Dynamic time history analysis
3.4.2. Parameter Sensitivity Analysis
- 1.
- Range of parameter values
- 2.
- Sensitivity evaluation indicators
- 3.
- Analysis Logic
4. Results and Discussions
4.1. Parametric Sensitivity Analysis for SDOF Systems
- (1)
- The damping coefficient C has a significant positive effect on the energy dissipation ratio. At any given PGA level, the energy dissipation ratio increases markedly with the damping coefficient. This indicates that enhancing the structural damping is an effective means of improving its energy dissipation capacity.
- (2)
- A distinct negative correlation is observed between the energy dissipation ratio and PGA. For each fixed value of the damping coefficient, the corresponding curve shows a consistent decrease in the energy dissipation ratio as PGA increases. This trend is in complete agreement with the phenomenon observed in Figure 3, further confirming that the relative energy dissipation efficiency of the system diminishes under high-intensity ground motions.
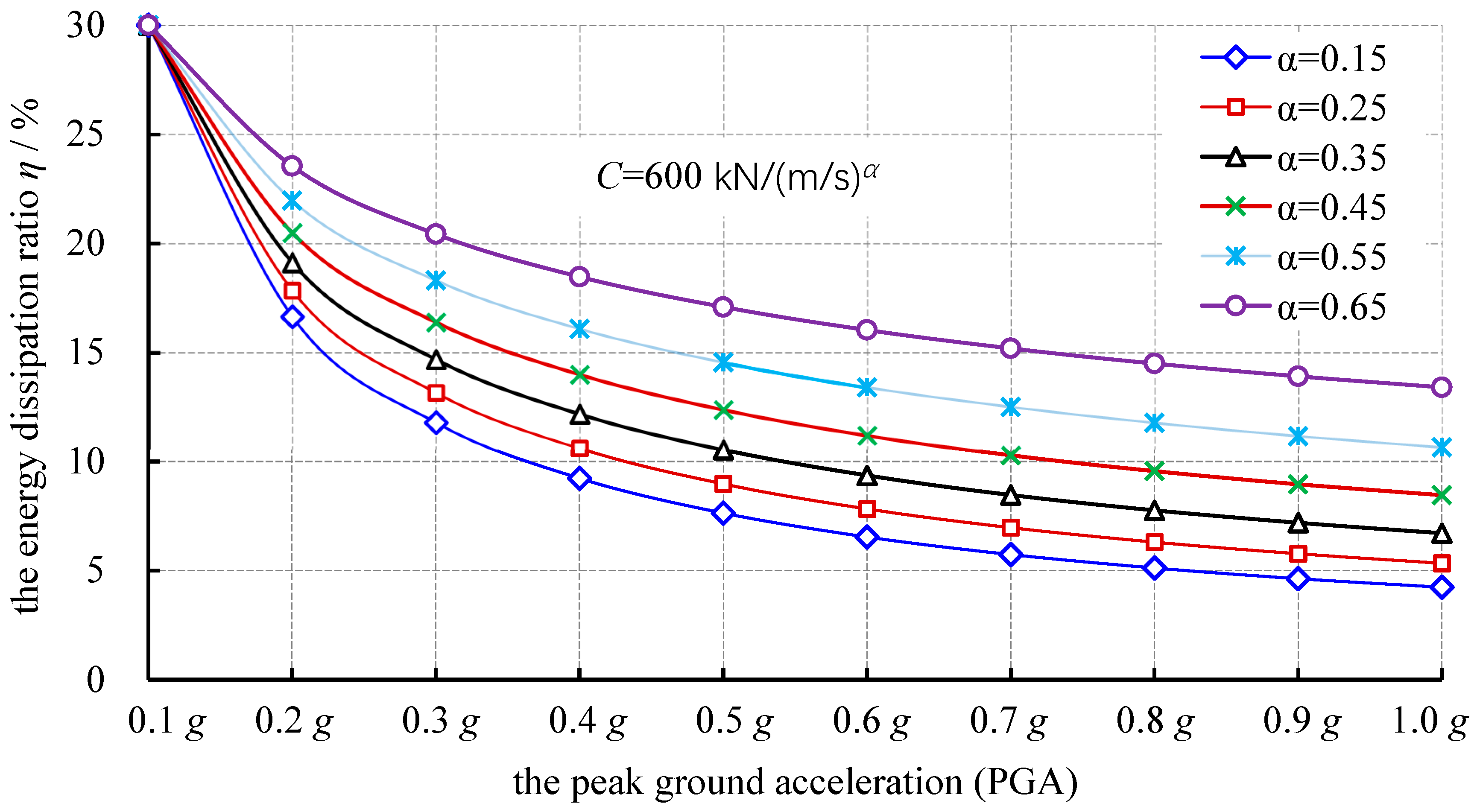
- (1)
- The damping coefficient is the dominant factor influencing the energy dissipation ratio. For any given damping exponent α, the energy dissipation ratio increases significantly with the damping coefficient.
- (2)
- In contrast, the influence of the damping exponent α is more moderate. When the damping coefficient is held constant, the energy dissipation ratio also increases with α, but the growth trend is relatively gentle.
4.2. Parametric Sensitivity Analysis for MDOF Systems
4.2.1. Sensitivity of the Damping Coefficient (C)
- (1)
- The relationship between the additional damping ratio and the damping coefficient is dependent on the seismic intensity (PGA). Under all tested seismic intensities, the additional damping ratio first increases to a peak and then decreases as the damping coefficient increases. This trend is consistent for the structure in both the X and Y directions.
- (2)
- The optimal damping coefficient, which corresponds to the peak additional damping ratio, shifts toward a larger value as the PGA increases. In other words, a higher seismic intensity requires a larger damping coefficient to maximize the additional damping ratio.
- (3)
- The effect of seismic intensity on the additional damping ratio is contingent on the magnitude of the damping coefficient. For smaller values of the damping coefficient, a higher seismic intensity results in a lower additional damping ratio. Conversely, for larger values of the damping coefficient, a higher seismic intensity leads to a greater additional damping ratio.
- (1)
- The relationship between the energy dissipation ratio and the damping coefficient is dependent on the seismic intensity (PGA). Under all tested seismic intensities, the energy dissipation ratio first increases and then decreases as the damping coefficient increases. This trend is consistent for the structure in both the X and Y directions.
- (2)
- The optimal damping coefficient, which corresponds to the peak energy dissipation ratio, shifts toward a larger value as the PGA increases. In other words, a higher seismic intensity requires a larger damping coefficient to maximize the energy dissipation ratio.
- (3)
- For smaller values of the damping coefficient, a higher seismic intensity results in a lower energy dissipation ratio. Conversely, for larger values of the damping coefficient, a higher seismic intensity leads to a greater energy dissipation ratio.
4.2.2. Sensitivity of the Damping Exponent (α)
- (1)
- The relationship between the additional damping ratio and the damping exponent is dependent on the seismic intensity (PGA). Under varying seismic intensities, the additional damping ratio first increases to a peak and then decreases as the damping exponent increases. This trend is consistent for the structure in both the X and Y directions. However, under low seismic intensity (0.07 g), the additional damping ratio does not exhibit an initial increasing phase; instead, it decreases monotonically as the damping exponent increases.
- (2)
- The optimal damping exponent, which corresponds to the peak additional damping ratio, is influenced by both the seismic intensity and the damping coefficient. As the PGA increases, the optimal damping exponent shifts toward a larger value. In other words, a higher seismic intensity requires a larger damping exponent to maximize the additional damping ratio. Conversely, as the damping coefficient increases, the optimal damping exponent shifts toward a smaller value.
- (1)
- The relationship between the energy dissipation ratio and the damping exponent is dependent on the seismic intensity (PGA). Under varying seismic intensities, the energy dissipation ratio first increases to a peak and then decreases as the damping exponent increases. This trend is consistent for the structure in both the X and Y directions. However, under low seismic intensity (0.07 g), the energy dissipation ratio does not exhibit an initial increasing phase; instead, it decreases monotonically as the damping exponent increases.
- (2)
- The optimal damping exponent, which corresponds to the peak energy dissipation ratio, is influenced by both the seismic intensity and the damping coefficient. As the PGA increases, the optimal damping exponent shifts toward a larger value. In other words, a higher seismic intensity requires a larger damping exponent to maximize the energy dissipation ratio. Conversely, as the damping coefficient increases, the optimal damping exponent shifts toward a smaller value.
4.2.3. Sensitivity of the Peak Ground Acceleration (PGA)
4.3. Discussions
- (1)
- The principal mechanism behind this non-monotonic behavior is the “local locking” effect. In an MDOF structure, dampers are installed between specific degrees of freedom (e.g., inter-story). As the damping coefficient exceeds an optimal value, the greater damping force severely restricts the inter-story velocity and displacement. This causes the targeted story to behave rigidly, effectively “locking” it. Once locked, the damper can no longer dissipate energy through motion, leading to a decline in the overall added damping ratio.
- (2)
- Furthermore, this localized stiffening largely alters the dynamic properties of the MDOF system. Unlike an SDOF system with its single vibration mode, an “over-damped” MDOF structure can experience modal redistribution. Seismic energy may bypass the stiffened, inefficiently damped stories and excite higher-order vibration modes or concentrate in other, less protected parts of the structure. This phenomenon further explains the reduction in system-level damping performance.
5. Conclusions
- (1)
- An analytical model for an SDOF system was established, defining its equations of motion and energy balance. Based on this framework, formulas for the statistical characteristics of velocity response, expected energy, and the energy dissipation ratio were derived.
- (2)
- The methodology was extended to MDOF structures. Through modal decomposition, it was demonstrated that the first mode typically dominates the overall response, leading to a simplified, approximate formula for the energy dissipation ratio in MDOF systems.
- (3)
- The theoretical framework was evaluated using a six-story reinforced concrete frame as a numerical case study. Nonlinear time history and sensitivity analyses were performed, considering various damper parameters (damping coefficient C, exponent α), and seismic inputs with different peak ground accelerations.
- (4)
- The results indicate that C, α, and PGA all significantly influence the energy dissipation ratio and the structural response, while the effect of C is more direct.
- (5)
- The energy dissipation ratio serves as a key performance indicator for optimizing the selection and placement of dampers. For common frame structures, the first-mode dominant approximation demonstrates good engineering applicability.
Author Contributions
Funding
Data Availability Statement
Conflicts of Interest
References
- Talley, P.; Javidialesaadi, A.; Wierschem, N.; Denavit, M. Evaluation of steel building structures with inerter-based dampers under seismic loading. Eng. Struct. 2021, 242, 112488. [Google Scholar] [CrossRef]
- Elwardany, H.; Jankowski, R.; Seleemah, A. Mitigating the seismic pounding of multi-story buildings in series using linear and nonlinear fluid viscous dampers. Archiv. Civ. Mech. Eng. 2021, 21, 137. [Google Scholar] [CrossRef]
- Dong, S.; Pan, W.; Ye, L.; Wang, J. Design of displacement-based viscous damper damping structures. Sci. Rep. 2025, 15, 11742. [Google Scholar] [CrossRef] [PubMed]
- Kaleybar, R.; Tehrani, P. Effects of using different arrangements and types of viscous dampers on seismic performance of intermediate steel moment frames in comparison with different passive dampers. Structures 2021, 33, 3382–3396. [Google Scholar] [CrossRef]
- Deringöl, A.; Güneyisi, E. Influence of nonlinear fluid viscous dampers in controlling the seismic response of the base-isolated buildings. Structures 2021, 34, 1923–1941. [Google Scholar] [CrossRef]
- Asadpour, G.; Asadi, P.; Hajirasouliha, I. A new modified stochastic linearization technique to analyze structures with nonlinear fluid viscous dampers. J. Vib. Control 2021, 28, 2746–2761. [Google Scholar] [CrossRef]
- De Domenico, D.; Hajirasouliha, I. Multi-level performance-based design optimisation of steel frames with nonlinear viscous dampers. Bull. Earthq. Eng. 2021, 19, 5015–5049. [Google Scholar] [CrossRef]
- Mehmandousti, A.; Jalaeefar, A. Effect of seismic sequences on behavior of mid-rise steel moment-resisting frames equipped with fluid viscous dampers. Structures 2023, 54, 657–668. [Google Scholar] [CrossRef]
- Jia, S.; Ma, P. Comparative Assessment of Seismic Damping Scheme for Multi-Storey Frame Structures. Infrastructures 2025, 10, 258. [Google Scholar] [CrossRef]
- Zeng, B.; Gao, J.; Qing, Y.; Wang, C.; Sun, X. Seismic performance of suspended-floor structures with viscous dampers considering acceptable interstory drift. Struct. Design Tall Spec. Build. 2021, 31, e1912. [Google Scholar] [CrossRef]
- Ma, P.; Yuan, S. Seismic Retrofitting of RC Frames Using Viscous Dampers: Numerical Simulation and Nonlinear Response Analysis. Infrastructures 2025, 10, 235. [Google Scholar] [CrossRef]
- Ras, A.; Boumechra, N. Seismic energy dissipation study of linear fluid viscous dampers in steel structure design. Alex. Eng. J. 2016, 55, 2821–2832. [Google Scholar] [CrossRef]
- Mohemmi, M.; Dehcheshmeh, E.; Broujerdian, V. Seismic Vibration Control of Moment-Resistant Concrete Frames Using Nonlinear Viscous Dampers. Iran. J. Sci. Technol. Trans. Civ. Eng. 2022, 47, 973–986. [Google Scholar] [CrossRef]
- Kookalani, S.; Shen, D. Effect of Fluid Viscous Damper parameters on the seismic performance. J. Civ. Eng. Mater. Appl. 2020, 4, 141–153. [Google Scholar] [CrossRef]
- Waghmare, M.; Madhekar, S.; Matsagar, V. Influence of Nonlinear Fluid Viscous Dampers on Seismic Response of RC Elevated Storage Tanks. Civ. Eng. J. 2020, 6, 98–118. [Google Scholar] [CrossRef]
- Drosos, J.; Tsinopoulos, S.; Karabalis, D. Seismic retrofit of spherical liquid storage tanks with energy dissipative devices. Soil Dyn. Earthq. Eng. 2019, 119, 158–169. [Google Scholar] [CrossRef]
- Xian, J.; Su, C.; Spencer, B. Stochastic sensitivity analysis of energy-dissipating structures with nonlinear viscous dampers by efficient equivalent linearization technique based on explicit time-domain method. Probabilistic Eng. Mech. 2020, 61, 103080. [Google Scholar] [CrossRef]
- Rajana, K.; Wang, Z.; Giaralis, A. Optimal design and assessment of tuned mass damper inerter with nonlinear viscous damper in seismically excited multi-storey buildings. Bull. Earthq. Eng. 2023, 21, 1509–1539. [Google Scholar] [CrossRef]
- Idels, O.; Lavan, O. Performance-based seismic retrofitting of frame structures using negative stiffness devices and fluid viscous dampers via optimization. Earthq. Eng. Struct. Dyn. 2021, 50, 3116–3137. [Google Scholar] [CrossRef]
- Altieri, D.; Tubaldi, E.; De Angelis, M.; Patelli, E.; Dall’asta, A. Reliability-based optimal design of nonlinear viscous dampers for the seismic protection of structural systems. Bull. Earthq. Eng. 2018, 16, 963–982. [Google Scholar] [CrossRef]
- Domenico, D.; Ricciardi, G. Earthquake protection of structures with nonlinear viscous dampers optimized through an energy-based stochastic approach. Eng. Struct. 2019, 179, 523–539. [Google Scholar] [CrossRef]
- Domenico, D.; Deastra, P.; Ricciardi, G.; Sims, N.; Wagg, D. Novel fluid inerter based tuned mass dampers for optimised structural control of base-isolated buildings. J. Frankl. Inst. 2019, 356, 7626–7649. [Google Scholar] [CrossRef]
- Navarra, G.; Lo Iacono, F.; Oliva, M. An Efficient Stochastic Linearisation Procedure for the Seismic Optimal Design of Passive Control Devices. Front. Built Environ. 2020, 6, 32. [Google Scholar] [CrossRef]
- Su, C.; Li, B.; Chen, T.; Dai, X. Stochastic optimal design of nonlinear viscous dampers for large-scale structures subjected to non-stationary seismic excitations based on dimension-reduced explicit method. Eng. Struct. 2018, 175, 217–230. [Google Scholar] [CrossRef]
- Zbiciak, A.; Kraśkiewicz, C.; Oleksiewicz, W.; Zagrajek, M.; Lipko, C. Mechanical modelling and application of vibroacoustic isolators in railway tracks. MATEC Web Conf. 2017, 117, 00090. [Google Scholar] [CrossRef]
- Xian, J.; Su, C. Stochastic optimization of uncertain viscous dampers for energy-dissipation structures under random seismic excitations. Mech. Syst. Signal Process. 2021, 164, 108208. [Google Scholar] [CrossRef]
- Domenico, D.; Ricciardi, G.; Takewaki, I. Design strategies of viscous dampers for seismic protection of building structures: A review. Soil Dyn. Earthq. Eng. 2019, 118, 144–165. [Google Scholar] [CrossRef]
- Idels, O.; Lavan, O. Optimization-based seismic design of steel moment-resisting frames with nonlinear viscous dampers. Struct. Control Health Monit. 2020, 28, e2655. [Google Scholar] [CrossRef]
- Shahzad, M.M.; Zhang, X.A.; Wang, X.; Abdulhadi, M.; Wang, T.; Xiao, Y. Response control analysis of a new mega-subcontrolled structural system (MSCSS) under seismic excitation. Struct. Des. Tall Spec. Build. 2022, 31, e1935. [Google Scholar] [CrossRef]
- Shahzad, M.M.; Zhang, X.A.; Wang, X. Identification of structural damage and damping performance of a Mega-Subcontrolled Structural System (MSCSS) subjected to seismic action. Sustainability 2022, 14, 12390. [Google Scholar] [CrossRef]
- Fan, B.; Zhang, X.A.; Xiao, Y.; Abdulhadi, M.; Wang, X.; Shahzad, M.M. Failure mode and optimization for MSCSS with LRBs based on IDA method. Buildings 2022, 12, 998. [Google Scholar] [CrossRef]
- Ruggieri, S.; Chatzidaki, A.; Vamvatsikos, D.; Uva, G. Reduced-order models for the seismic assessment of plan-irregular low-rise frame buildings. Earthq. Eng. Struct. Dyn. 2022, 51, 3327–3346. [Google Scholar] [CrossRef]
- Ruggieri, S.; Perrone, D.; Leone, M.; Uva, G.; Aiello, M.A. A prioritization RVS methodology for the seismic risk assessment of RC school buildings. Int. Disaster Risk Reduct. 2020, 54, 101807. [Google Scholar] [CrossRef]
- Tubaldi, E.; Kougioumtzoglou, I.A. Nonstationary stochastic response of structural systems equipped with nonlinear viscous dampers under seismic excitation. Earthq. Eng. Struct. Dyn. 2014, 44, 121–138. [Google Scholar] [CrossRef]
- Moslehi Tabar, A.; De Domenico, D. Nonlinear response spectrum analysis of structures equipped with nonlinear power law viscous dampers. Eng. Struct. 2020, 219, 110857. [Google Scholar] [CrossRef]
- Landi, L.; Fabbri, O.; Diotallevi, P.P. A two-step direct method for estimating the seismic response of nonlinear structures equipped with nonlinear viscous dampers. Earthq. Eng. Struct. Dyn. 2014, 43, 1641–1659. [Google Scholar] [CrossRef]
- El Hankouri, Y.; El Ghoulbzouri, A. A Numerical Investigation of the Impact of Non-linear Viscous Damping on Structural Response to Seismic Excitation. Iran. J. Sci. Technol. Trans. Civ. Eng. 2025, 49, 5817–5838. [Google Scholar] [CrossRef]
- Diotallevi, P.P.; Landi, L.; Dellavalle, A. A Methodology for the Direct Assessment of the Damping Ratio of Structures Equipped with Nonlinear Viscous Dampers. J. Earthq. Eng. 2012, 16, 350–373. [Google Scholar] [CrossRef]
- Rofooei, F.R.; Mobarake, A.; Ahmadi, G. Generation of artificial earthquake records with a nonstationary Kanai–Tajimi model. Eng. Struct. 2001, 23, 827–837. [Google Scholar] [CrossRef]
- GB 50011-2010; Chinese Standard, Standard for Seismic Design of Buildings. Chinese Architecture and Building Press: Beijing, China, 2024. (In Chinese)













Disclaimer/Publisher’s Note: The statements, opinions and data contained in all publications are solely those of the individual author(s) and contributor(s) and not of MDPI and/or the editor(s). MDPI and/or the editor(s) disclaim responsibility for any injury to people or property resulting from any ideas, methods, instructions or products referred to in the content. |
© 2026 by the authors. Licensee MDPI, Basel, Switzerland. This article is an open access article distributed under the terms and conditions of the Creative Commons Attribution (CC BY) license.
Share and Cite
Lan, X.; Zhang, X.; Xu, W. An Analytical Model and Parameter Sensitivity Analysis of the Energy Dissipation Ratio for Nonlinear Viscous Dampers Under Seismic Excitation. Buildings 2026, 16, 1020. https://doi.org/10.3390/buildings16051020
Lan X, Zhang X, Xu W. An Analytical Model and Parameter Sensitivity Analysis of the Energy Dissipation Ratio for Nonlinear Viscous Dampers Under Seismic Excitation. Buildings. 2026; 16(5):1020. https://doi.org/10.3390/buildings16051020
Chicago/Turabian StyleLan, Xiang, Xingxian Zhang, and Wandong Xu. 2026. "An Analytical Model and Parameter Sensitivity Analysis of the Energy Dissipation Ratio for Nonlinear Viscous Dampers Under Seismic Excitation" Buildings 16, no. 5: 1020. https://doi.org/10.3390/buildings16051020
APA StyleLan, X., Zhang, X., & Xu, W. (2026). An Analytical Model and Parameter Sensitivity Analysis of the Energy Dissipation Ratio for Nonlinear Viscous Dampers Under Seismic Excitation. Buildings, 16(5), 1020. https://doi.org/10.3390/buildings16051020

