This is an early access version, the complete PDF, HTML, and XML versions will be available soon.
Open AccessArticle
Investigating the Impact of Wind Tower Geometry on Ventilation Efficiency in Semi-Enclosed Spaces: A Comprehensive Parametric Analysis and Design Implications
by
Ahmed H. Hafez
Ahmed H. Hafez 1,2
,
Ahmed Marey
Ahmed Marey 1,3
,
Sherif Goubran
Sherif Goubran
Sherif Goubran, PhD, is an interdisciplinary scholar driving the transition of the built environment [...]
Sherif Goubran, PhD, is an interdisciplinary scholar driving the transition of the built environment from incremental efficiency to transformational sustainability. He serves as an Assistant Professor of Sustainable Design at the American University in Cairo (AUC). His academic foundation, anchored by the prestigious Vanier Canada Graduate Scholarship, synthesizes rigorous quantitative building science with advanced real estate finance and design policy. His research is distinguished by a strong publication record, featuring influential work published in the Journal of Environmental Management, which reconciles Green Building standards with the UN Sustainable Development Goals (SDGs). As founder of the Engaged Sustainable Futures (ESF-MAM-BE) lab, he directs a research portfolio that bridges macro-policy and localized climate strategy. This program is supported by successful grants, including dedicated funding for Machine Learning-based ESG assessment in Real Estate, and demonstrates significant ambition through strategic collaboration in major international research proposals. He mobilizes this expertise into high-impact regional solutions, from pioneering experimental testing of air leakage in Egyptian residential stock to co-leading a creative decarbonization studio showcased at the 2023 Venice Architecture Biennale. His work leverages data and design to articulate and achieve resilient and equitable built futures.
1
and
Omar Abdelaziz
Omar Abdelaziz
Omar Abdelaziz is an Associate Professor of Thermofluids at the American University in Cairo on and [...]
Omar Abdelaziz is an Associate Professor of Thermofluids at the American University in Cairo focusing on energy-efficient building technologies, sustainable energy production, alternative cooling and heating technologies, and lower global warming refrigerants. Abdelaziz is currently a Senior Advisor to the Cool Coalition with a focus on data and reporting for the Global Cooling Pledge and one of the Lead Authors of its flagship biannual publication Global Cooling Watch. He is an expert in NCAP and is currently working with the Cool Coalition on contextualizing the NCAP for the MENA region. Abdelaziz serves as an international independent consultant to UNIDO, UNEP, and other non-governmental organizations and philanthropies. He started his career at Oak Ridge National Laboratory in 2009 and later joined the US Department of Energy Building Technologies Office as a Senior Fellow. Abdelaziz led the building equipment research group at ORNL until 2017. He then moved to UAE and established CLEAT consulting to provide consulting services. He collaborates with leading appliance manufacturers on developing advanced HVAC&R equipment. Abdelaziz is a member of the UN Ozone Secretariat Techno-economic Assessment Panel And Co-Chair of the Refrigeration Air Conditioning, and Heat Pump Technical Options Committee. He is an active member of the ASHRAE. He has received numerous awards, has published around 150 peer-reviewed papers, several spotlight reports, and holds several patents.
4,*
1
Department of Architecture, The School of Sciences and Engineering, The American University in Cairo, Cairo 11511, Egypt
2
Department of Aerospace Engineering, Faculty of Engineering, Cairo University, Giza 12613, Egypt
3
Centre for Zero Energy Building Studies, Department of Building, Civil and Environmental Engineering, Concordia University, Montreal, QC H3G 1M8, Canada
4
Department of Mechanical Engineering, The School of Sciences and Engineering, The American University in Cairo, Cairo 11511, Egypt
*
Author to whom correspondence should be addressed.
Buildings 2026, 16(2), 322; https://doi.org/10.3390/buildings16020322 (registering DOI)
Submission received: 2 December 2025
/
Revised: 5 January 2026
/
Accepted: 8 January 2026
/
Published: 12 January 2026
Abstract
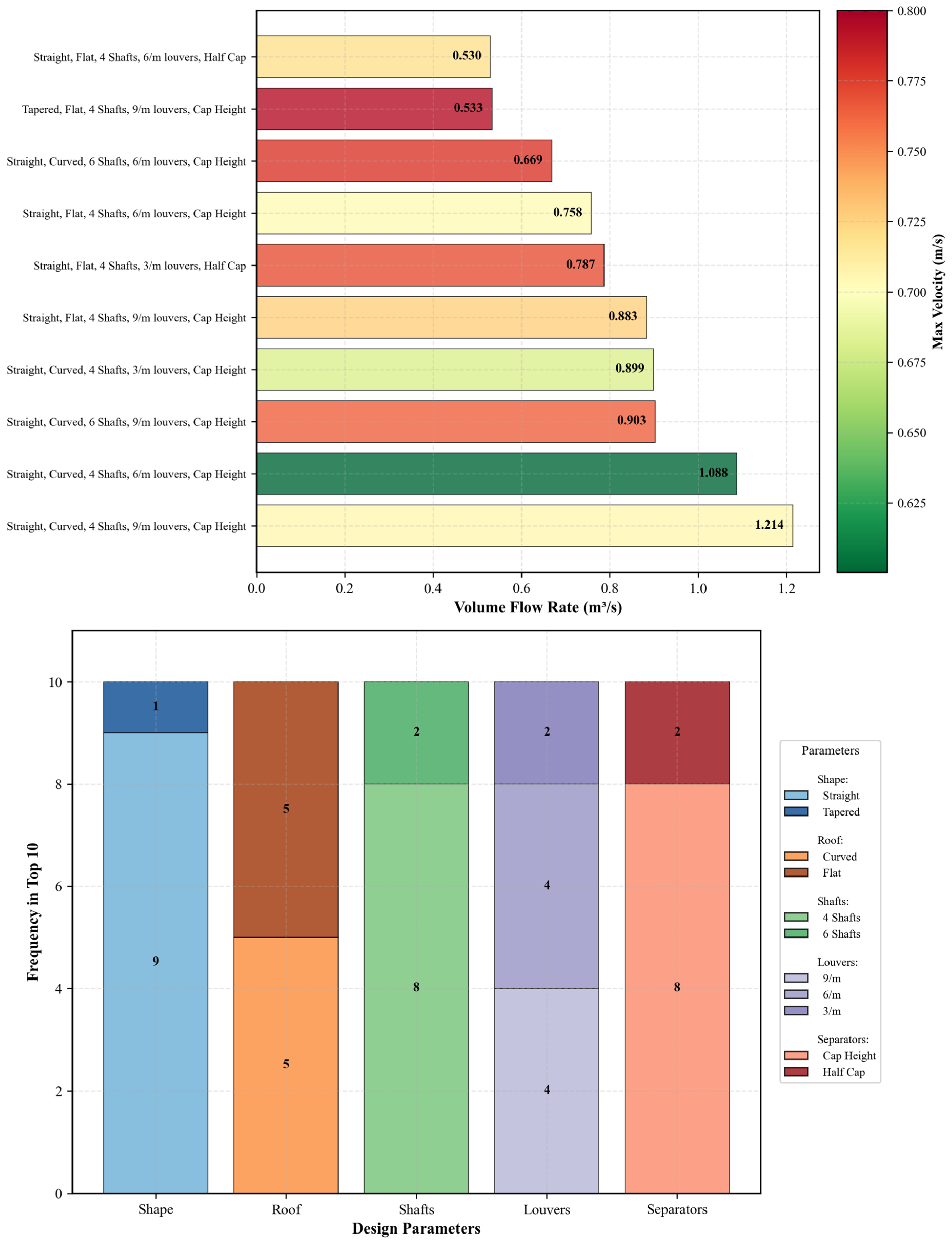
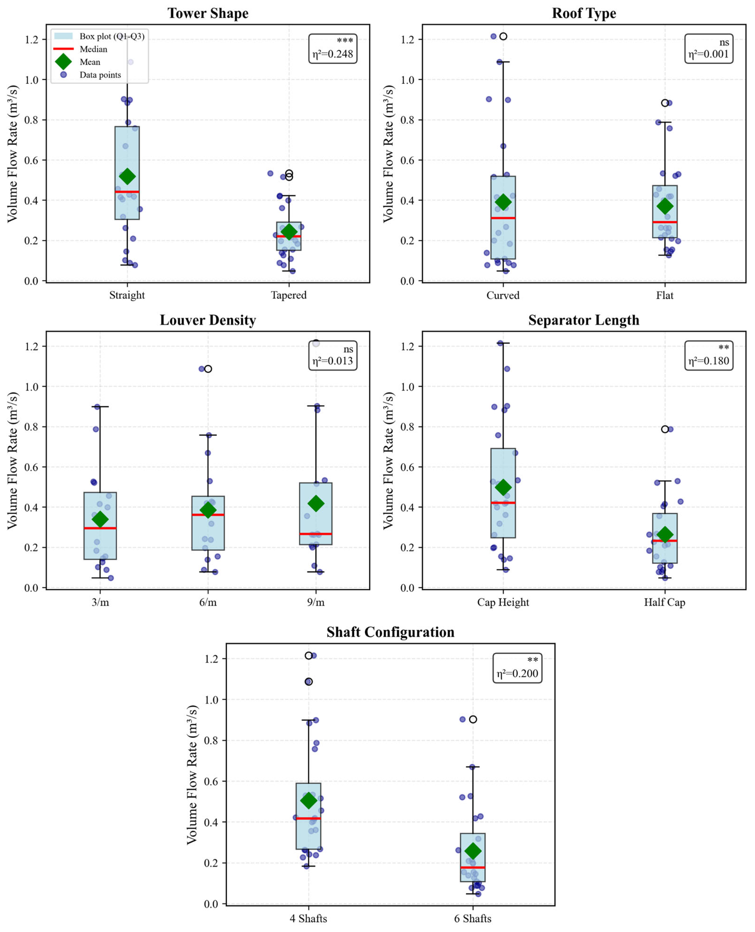
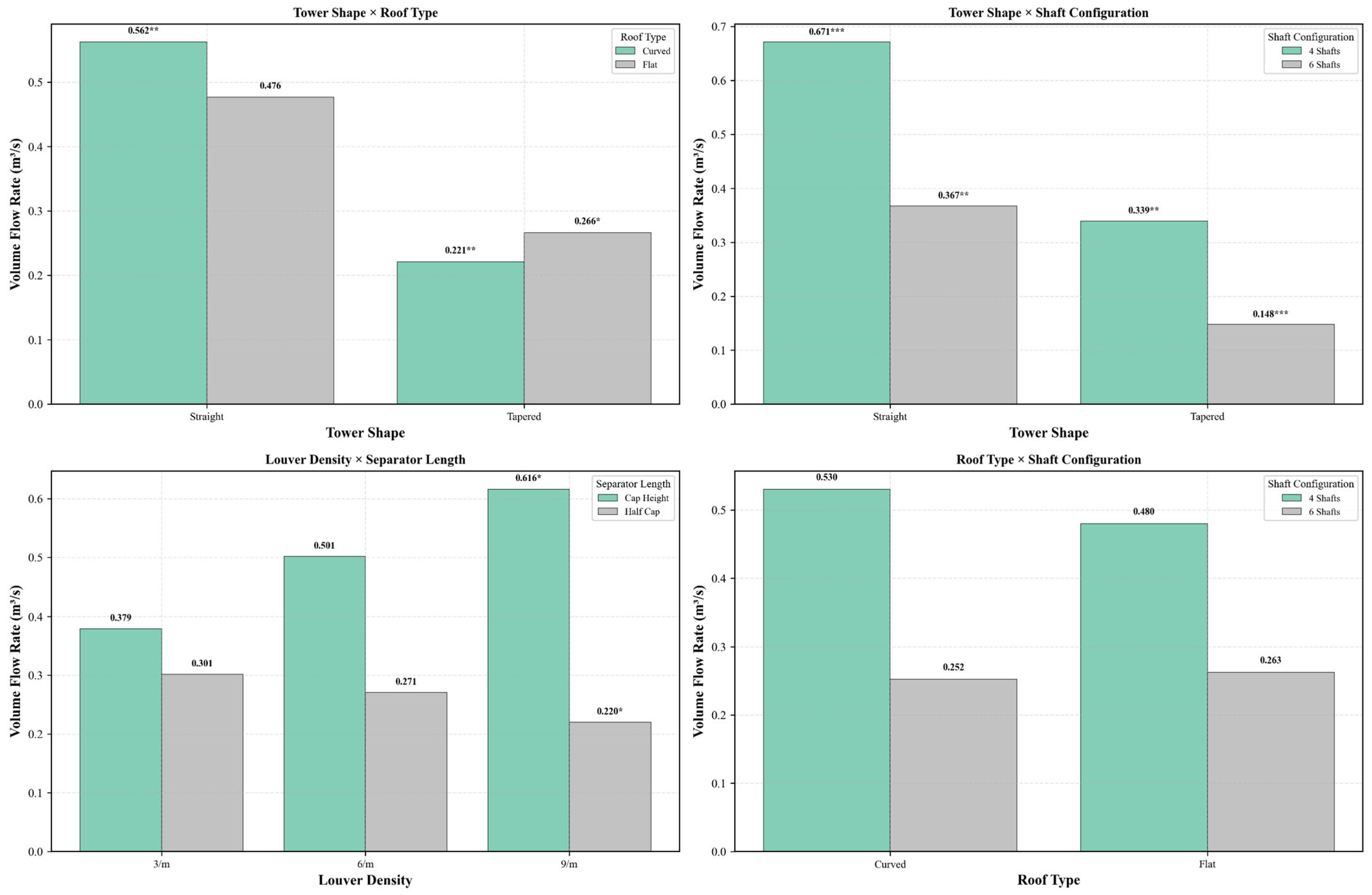
Passive building ventilation features, such as wind towers, can help meet rising cooling and ventilation demands in hot, arid regions. However, most prior studies rely on scaled models or isolate single design parameters, limiting holistic insight. This study conducts a full-scale, validated computational fluid dynamics (CFD) parametric analysis of wind tower geometry and its impact on ventilation efficiency in semi-enclosed spaces. Five geometric properties are investigated: tower shape, roof type, number of shafts, separator height, and number of louvres. Additionally, the sensitivity of the optimal configuration to wind speed, wind direction, and louvre orientation is assessed. Results from 88 CFD cases highlight strong interactions among design parameters and show that straight towers with curved roofs consistently perform best. Compared with a tower with six shafts, a flat internal roof, and downward-facing louvres, an optimized tower with four shafts, a convex internal roof, and upward-facing louvres increases airflow rate by a factor of 2.7 and occupied-zone air velocity by 45%, underscoring the importance of holistic geometric optimization.
Share and Cite
MDPI and ACS Style
Hafez, A.H.; Marey, A.; Goubran, S.; Abdelaziz, O.
Investigating the Impact of Wind Tower Geometry on Ventilation Efficiency in Semi-Enclosed Spaces: A Comprehensive Parametric Analysis and Design Implications. Buildings 2026, 16, 322.
https://doi.org/10.3390/buildings16020322
AMA Style
Hafez AH, Marey A, Goubran S, Abdelaziz O.
Investigating the Impact of Wind Tower Geometry on Ventilation Efficiency in Semi-Enclosed Spaces: A Comprehensive Parametric Analysis and Design Implications. Buildings. 2026; 16(2):322.
https://doi.org/10.3390/buildings16020322
Chicago/Turabian Style
Hafez, Ahmed H., Ahmed Marey, Sherif Goubran, and Omar Abdelaziz.
2026. "Investigating the Impact of Wind Tower Geometry on Ventilation Efficiency in Semi-Enclosed Spaces: A Comprehensive Parametric Analysis and Design Implications" Buildings 16, no. 2: 322.
https://doi.org/10.3390/buildings16020322
APA Style
Hafez, A. H., Marey, A., Goubran, S., & Abdelaziz, O.
(2026). Investigating the Impact of Wind Tower Geometry on Ventilation Efficiency in Semi-Enclosed Spaces: A Comprehensive Parametric Analysis and Design Implications. Buildings, 16(2), 322.
https://doi.org/10.3390/buildings16020322
Note that from the first issue of 2016, this journal uses article numbers instead of page numbers. See further details
here.
Article Metrics
Article Access Statistics
For more information on the journal statistics, click
here.
Multiple requests from the same IP address are counted as one view.