Potential Use of Recycled Foundry Sand as Fine Aggregate in Self-Compacting Concrete: Sustainable Engineering Research
Abstract
1. Introduction
Significance of This Study
2. Materials and Methodology
2.1. Materials
2.1.1. Cement
2.1.2. Mineral Admixture
2.1.3. Chemical Admixture
2.1.4. Aggregates
2.1.5. Waste Foundry Sand (WFS)
2.2. Methodology
2.2.1. Experimental Program
3. Results and Discussion
3.1. Fresh Properties of SCC
3.1.1. Tests on Flowability Properties of SCC
3.1.2. Tests on Passing Ability Properties of SCC
3.1.3. Density
3.2. Mechanical Properties of SCC
3.2.1. Compressive Strength (CS)
3.2.2. Split Tensile Strength (STS)
3.2.3. Flexural Strength
3.3. Durability Properties
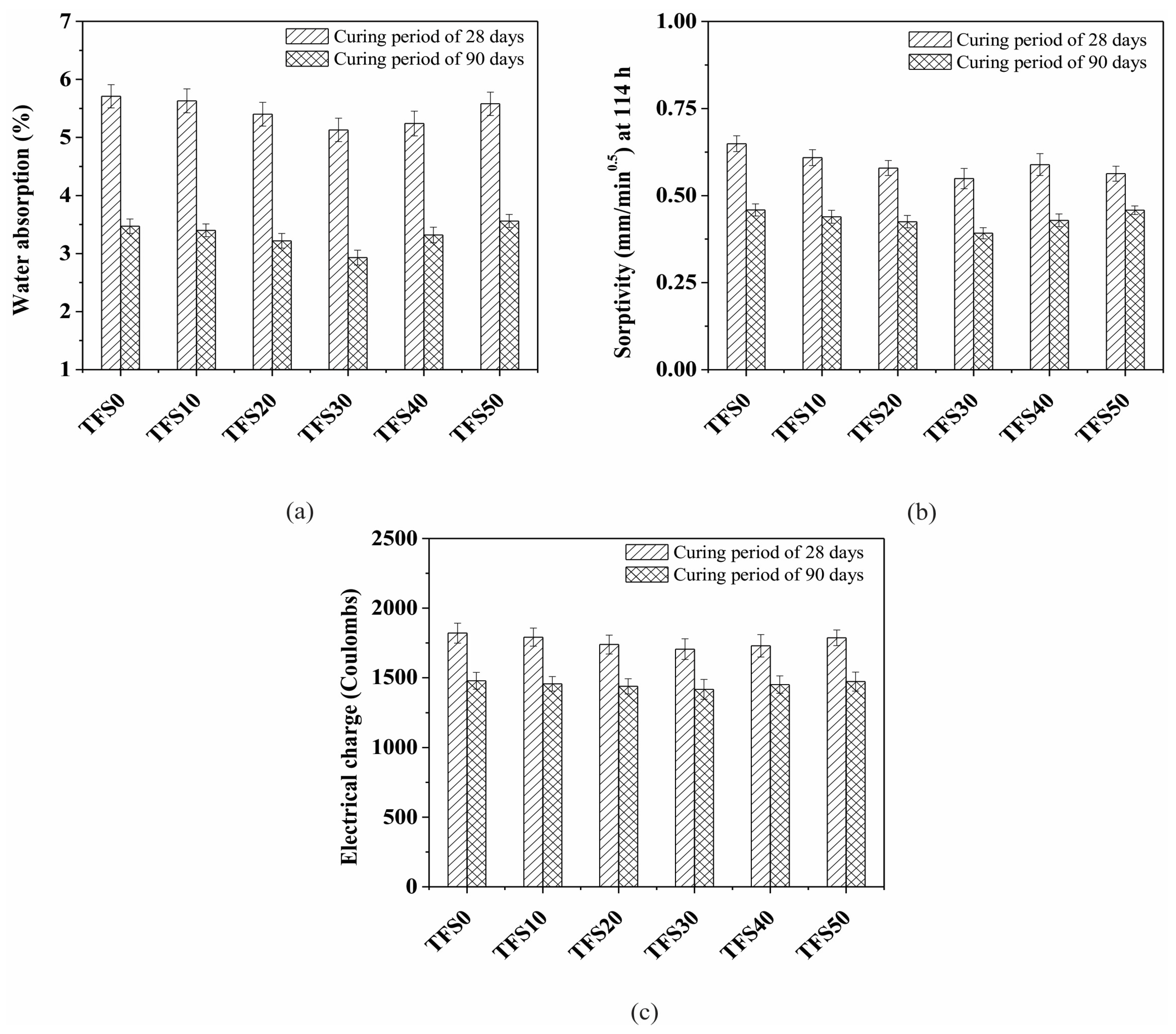
3.3.1. Water Absorption
3.3.2. Sorptivity
3.3.3. Rapid Chloride Penetration Test (RCPT)
3.3.4. Resistance to Chemical Attack
3.4. Microstructure Analysis
4. Conclusions
- -
- The incorporation of TFS into SCC generally results in a slight reduction in workability compared with TFS0. This is because of the presence of clay, specific surface area, and other foreign matter present in the WFS, which increases the water demand towards its surface. However, the use of TFS in SCC marginally enhanced its passing and flowability properties. Based on the passing and flowability properties of SCC, all TFS mixes satisfied the workability requirements as per the EFNARC guidelines.
- -
- The strength properties of SCC mixes incorporated with TFS as an alternative to FA indicate that the TFS30 mix achieved a 6.5–7.5% improvement in CS, STS, and FS in comparison to TFS0 at 28 and 90 days of curing. A slight decrease in strength was observed in comparison to TFS0. The enhancement in the strength of SCC was mainly attributed to densification, better bonding, and the presence of silica in the TFS.
- -
- In addition to the fresh and strength properties of SCC, the durability characteristics of SCC exhibit improved durability and long-term performance. Compared to TFS0, all the SCC mixes prepared with varying proportions of TFS exhibited enhanced durability characteristics such as water absorption, sorptivity, RCPT, and resistance to chemical attack. TFS was proven to be suitable for buildings, even in harsh environments.
- -
- SEM analysis revealed that the TFS concrete had a denser microstructure with a well-bonded interfacial transition zone between the TFS and other constituents of SCC. The presence of TFS contributes to the formation of a continuous and homogenous crystalline gel and reduces micro-cracking and voids. This improved microstructure is crucial for the development of both the mechanical strength and durability.
- -
- Utilizing TFS as an FA in SCC offers substantial environmental benefits by lowering the demand for virgin raw materials and promoting the salvage of industrial waste. This practice not only conserves natural resources but also helps reduce waste management, landfill usage, and the environmental impact associated with sand extraction. Consequently, the TFS in SCC supports green construction practices and circular economic principles.
- -
- While TFS shows promise as a sustainable alternative to FA, its optimal replacement levels need careful consideration to balance performance with environmental benefits. Challenges, such as variability in the chemical composition and physical properties of TFS, must be addressed through thorough material characterization and quality control. Adapting a mixed design to accommodate the specific characteristics of TFS can help overcome these challenges and ensure consistent performance across different batches.
- -
- Overall, the use of TFS as an alternative to FA in SCC offers numerous advantages, including enhanced strength, durability, and significant sustainability benefits. By addressing challenges related to variability and workability, WFS can be effectively included in SCC, supporting the development of high-performance, eco-friendly, and green concrete. However, its widespread adoption in the construction industry has several practical considerations, such as steady supply, thermal or chemical treatment, quality control, economic benefits, and industrial and commercial adoption. In conclusion, the widespread availability of WFS presents a great opportunity for academicians, contractors, and engineering professionals to adopt the usage of TFS/WFS as an alternative to FA to reduce the depletion of natural resources and to overcome the challenges associated with handling WFS.
Author Contributions
Funding
Data Availability Statement
Conflicts of Interest
References
- Iyer, N.R. 1—An Overview of Cementitious Construction Materials. In New Materials in Civil Engineering; Samui, P., Kim, D., Iyer, N.R., Chaudhary, S., Eds.; Butterworth-Heinemann: Oxford, UK, 2020; pp. 1–64. ISBN 978-0-12-818961-0. [Google Scholar]
- Chunchu, B.R.K.; Putta, J. Effect of Recycled Plastic Granules as a Partial Substitute for Natural Resource Sand on the Durability of SCC. Resources 2019, 8, 133. [Google Scholar] [CrossRef]
- Bahij, S.; Omary, S.; Feugeas, F.; Faqiri, A. Fresh and Hardened Properties of Concrete Containing Different Forms of Plastic Waste—A Review. Waste Manag. 2020, 113, 157–175. [Google Scholar] [CrossRef]
- Junaid, M.F.; ur Rehman, Z.; Kuruc, M.; Medveď, I.; Bačinskas, D.; Čurpek, J.; Čekon, M.; Ijaz, N.; Ansari, W.S. Lightweight Concrete from a Perspective of Sustainable Reuse of Waste Byproducts. Constr. Build. Mater. 2022, 319, 126061. [Google Scholar] [CrossRef]
- Miraldo, S.; Lopes, S.; Pacheco-Torgal, F.; Lopes, A. Advantages and Shortcomings of the Utilization of Recycled Wastes as Aggregates in Structural Concretes. Constr. Build. Mater. 2021, 298, 123729. [Google Scholar] [CrossRef]
- Nair, A.T.; Mathew, A.; Archana, A.R.; Akbar, M.A. Use of Hazardous Electric Arc Furnace Dust in the Construction Industry: A Cleaner Production Approach. J. Clean. Prod. 2022, 377, 134282. [Google Scholar] [CrossRef]
- Rashad, A.M. Effect of Nanoparticles on the Properties of Geopolymer Materials. Mag. Concr. Res. 2019, 71, 1283–1301. [Google Scholar] [CrossRef]
- de Matos, P.R.; Marcon, M.F.; Schankoski, R.A.; Prudêncio, L.R. Novel Applications of Waste Foundry Sand in Conventional and Dry-Mix Concretes. J. Environ. Manag. 2019, 244, 294–303. [Google Scholar] [CrossRef]
- Behnood, A.; Golafshani, E.M. Machine Learning Study of the Mechanical Properties of Concretes Containing Waste Foundry Sand. Constr. Build. Mater. 2020, 243, 118152. [Google Scholar] [CrossRef]
- Manjunatha, M.; Seth, D.; Balaji, K.V.G.D. Role of engineered fibers on fresh and mechanical properties of concrete prepared with GGBS and PVC waste powder–An experimental study. Mater. Today Proc. 2021, 47, 3683–3693. [Google Scholar] [CrossRef]
- Rahman, A.; Mazumder, D.; Haque, R.; Sutradhar, G.; Haidar, S. Repurposing Waste Foundry Sand as a Sustainable Building Material with Improved Thermal Performance. Springer Proc. Mater. 2023, 25, 157–166. [Google Scholar] [CrossRef]
- Aslani, M.; Akbardoost, J.; Delnavaz, M. Investigating the Effect of the Foundry Sand and Waste Foundry Sand on the Fracture Toughness of Concrete. Arab. J. Geosci. 2021, 14, 464. [Google Scholar] [CrossRef]
- Bilal, H.; Yaqub, M.; Ur Rehman, S.K.; Abid, M.; Alyousef, R.; Alabduljabbar, H.; Aslam, F. Performance of Foundry Sand Concrete under Ambient and Elevated Temperatures. Materials 2019, 12, 2645. [Google Scholar] [CrossRef]
- Ali, M.; Khan, M.I.; Masood, F.; Alsulami, B.T.; Bouallegue, B.; Nawaz, R.; Fediuk, R. Central Composite Design Application in the Optimization of the Effect of Waste Foundry Sand on Concrete Properties Using RSM. Structures 2022, 46, 1581–1594. [Google Scholar] [CrossRef]
- Ahmad, J.; Zhou, Z.; Martínez-García, R.; Vatin, N.I.; De-Prado-gil, J.; El-Shorbagy, M.A. Waste Foundry Sand in Concrete Production Instead of Natural River Sand: A Review. Materials 2022, 15, 2365. [Google Scholar] [CrossRef]
- Mehta, V. Machine Learning Approach for Predicting Concrete Compressive, Splitting Tensile, and Flexural Strength with Waste Foundry Sand. J. Build. Eng. 2023, 70, 106363. [Google Scholar] [CrossRef]
- Rahim Zai, A.A.; Salhotra, S. Effect of Waste Foundry Sand and Glass Fiber on Mechanical Properties and Fire Resistance of High-Strength Concrete. Mater. Today Proc. 2019, 33, 1733–1740. [Google Scholar] [CrossRef]
- Ashish, D.K.; Verma, S.K.; Ju, M.; Sharma, H. High Volume Waste Foundry Sand Self-Compacting Concrete—Transitioning Industrial Symbiosis. Process Saf. Environ. Prot. 2023, 173, 666–692. [Google Scholar] [CrossRef]
- Dharek, M.S.; Manjunatha, M.; Brijbhushan, S.; Vengala, J.; Tangadagi, R.B. Performance Evaluation of Hybrid Fiber Reinforced Concrete on Engineering Properties and Life Cycle Assessment: A Sustainable Approach. J. Clean. Prod. 2024, 458, 142498. [Google Scholar] [CrossRef]
- Dyer, P.P.O.L.; de Lima, M.G.; Klinsky, L.M.G.; Silva, S.A.; Coppio, G.J.L. Environmental Characterization of Foundry Waste Sand (WFS) in Hot Mix Asphalt (HMA) Mixtures. Constr. Build. Mater. 2018, 171, 474–484. [Google Scholar] [CrossRef]
- Raja, K.C.P.; Thaniarasu, I.; Elkotb, M.A.; Ansari, K.; Saleel, C.A. Shrinkage Study and Strength Aspects of Concrete with Foundry Sand and Coconut Shell as a Partial Replacement for Coarse and Fine Aggregate. Materials 2021, 14, 7420. [Google Scholar] [CrossRef]
- Mushtaq, S.M.; Siddique, R.; Goyal, S.; Kaur, K. Experimental Studies and Drying Shrinkage Prediction Model for Concrete Containing Waste Foundry Sand. Clean. Eng. Technol. 2021, 2, 100071. [Google Scholar] [CrossRef]
- Manjunatha, M.; Seth, D.; KVGD, B.; Roy, S.; Tangadagi, R.B. Utilization of Industrial-Based PVC Waste Powder in Self-Compacting Concrete: A Sustainable Building Material. J. Clean. Prod. 2023, 428, 139428. [Google Scholar] [CrossRef]
- Singh, A.P.; Sharma, A. Predicting Strength of Concrete Containing Waste Foundry Sand and Glass Waste Using Artificial Neural Network. Asian J. Civ. Eng. 2024, 25, 787–804. [Google Scholar] [CrossRef]
- Suji, D.; Adesina, A.; Mirdula, R. Optimization of Self-Compacting Composite Composition Using Taguchi-Grey Relational Analysis. Materialia 2021, 15, 101027. [Google Scholar] [CrossRef]
- Kavitha, S.; Kala, T.F. Effect of Bamboo Fiber in Self Compacting Concrete Partially Replacing Cement with GGBS and Alccofine. Int. J. Civ. Eng. Technol. 2017, 8, 158–166. [Google Scholar]
- Faraj, R.H.; Hama Ali, H.F.; Sherwani, A.F.H.; Hassan, B.R.; Karim, H. Use of Recycled Plastic in Self-Compacting Concrete: A Comprehensive Review on Fresh and Mechanical Properties. J. Build. Eng. 2020, 30, 101283. [Google Scholar] [CrossRef]
- Ashish, D.K.; Verma, S.K. Robustness of Self-Compacting Concrete Containing Waste Foundry Sand and Metakaolin: A Sustainable Approach. J. Hazard. Mater. 2021, 401, 123329. [Google Scholar] [CrossRef]
- Martins, M.A.d.B.; da Silva, L.R.R.; Ranieri, M.G.A.; Barros, R.M.; Dos Santos, V.C.; Gonçalves, P.C.; Rodrigues, M.R.B.; Lintz, R.C.C.; Gachet, L.A.; Martinez, C.B.; et al. Physical and Chemical Properties of Waste Foundry Exhaust Sand for Use in Self-Compacting Concrete. Materials 2021, 14, 5629. [Google Scholar] [CrossRef]
- Sathurshan, M.; Yapa, I.; Thamboo, J.; Jeyakaran, T.; Navaratnam, S.; Siddique, R.; Zhang, J. Untreated Rice Husk Ash Incorporated High Strength Self-Compacting Concrete: Properties and Environmental Impact Assessments. Environ. Chall. 2021, 2, 100015. [Google Scholar] [CrossRef]
- Güneyisi, E.; Atewi, Y.R.; Hasan, M.F. Fresh and Rheological Properties of Glass Fiber Reinforced Self-Compacting Concrete with Nanosilica and Fly Ash Blended. Constr. Build. Mater. 2019, 211, 349–362. [Google Scholar] [CrossRef]
- Parashar, A.; Aggarwal, P.; Saini, B.; Aggarwal, Y.; Bishnoi, S. Study on Performance Enhancement of Self-Compacting Concrete Incorporating Waste Foundry Sand. Constr. Build. Mater. 2020, 251, 118875. [Google Scholar] [CrossRef]
- 12269-2013; Ordinary Portland Cement, 53 Grade—Specifications. Bureau of Indian Standards: New Delhi, India, 2013; pp. 1–17.
- Danish, P.; Mohan Ganesh, G. Study on Influence of Metakaolin and Waste Marble Powder on Self-Compacting Concrete—A State of the Art Review. Mater. Today Proc. 2020, 44, 1428–1436. [Google Scholar] [CrossRef]
- Kumar, R.N.; Patnaikuni, C.K.; Balaji, K.V.G.D.; Kumar, B.S. Strength Effect of Ggbs and Broken Tiles in M30 Grade Self Compacting Concrete (SCC). Int. J. Civ. Eng. Technol. 2018, 9, 1446–1455. [Google Scholar]
- Rahla, K.M.; Mateus, R.; Bragança, L. Comparative Sustainability Assessment of Binary Blended Concretes Using Supplementary Cementitious Materials (SCMs) and Ordinary Portland Cement (OPC). J. Clean. Prod. 2019, 220, 445–459. [Google Scholar] [CrossRef]
- Srinath, B.L.N.S.; Patnaikuni, C.K.; Balaji, K.V.G.D.; Kumar, B.S.; Manjunatha, M. A Prospective Review of Alccofine as Supplementary Cementitious Material. Mater. Today Proc. 2021, 47, 3953–3959. [Google Scholar] [CrossRef]
- EFNARC; BIBM; CEMBUREAU; EFCA; ERMCO. The European Guidelines for Self-Compacting Concrete; ASTM International: West Conshohocken, PA, USA, 2005; Volume 63. [Google Scholar]
- IS 10262-2019; Concrete Mix Proportioning-Guidelines. Bureau of Indian Standards: NewDelhi, India, 2019; pp. 1–40.
- IS 516-1959; Method of Tests for Strength of Concrete. Bureau of Indian Standards: New Delhi, India, 2004.
- ASTM C20-00(2010); Standard Test Methods for Apparent Porosity, Water Absorption, Apparent Specific Gravity, and Bulk Density of Burned Refractory Brick and Shapes by Boiling Water 1. ASTM International: West Conshohocken, PA, USA, 2019. [CrossRef]
- ASTM D570—98; Standard Test Method for Water Absorption of Plastics. ASTM International: West Conshohocken, PA, USA, 2018. Available online: https://www.astm.org/Standards/D570 (accessed on 28 February 2025).
- Iloh, P.; Fanourakis, G.; Ogra, A. Evaluation of Physical and Chemical Properties of South African Waste Foundry Sand (WFS) for Concrete Use. Sustainability 2019, 11, 193. [Google Scholar] [CrossRef]
- Siddique, R.; Singh, G. Utilization of Waste Foundry Sand (WFS) in Concrete Manufacturing. Resour. Conserv. Recycl. 2011, 55, 885–892. [Google Scholar] [CrossRef]
- Alterary, S.S.; Marei, N.H. Fly Ash Properties, Characterization, and Applications: A Review. J. King Saud Univ.-Sci. 2021, 33, 101536. [Google Scholar] [CrossRef]








| Property | OPC | GGBS | Alccofine |
|---|---|---|---|
| Grade | 53 | -- | 1203 |
| Specific gravity | 3.05 | 2.87 | 2.85 |
| Loss on ignition (%) | 0.69 | 0.79 | 0.53 |
| Particle size (µm) | 90 | 23 | 4.31 |
| Bulk density (kg/m3) | 1309 | 1042 | 706 |
| Composition | OPC (%) | GGBS (%) | Alccofine (%) | WFS (%) | TFS (%) |
|---|---|---|---|---|---|
| CaO | 69.37 | 39.8937 | 32.90 | 1.562 | 0.005 |
| Fe2O3 | 2.96 | 1.01 | 1.52 | 4.11 | 5.63 |
| Al2O3 | 4.81 | 15.02 | 20.68 | 3.352 | 4.03 |
| K2O | 0.69 | 0.32 | 0.00 | 0.31 | 0.30 |
| MgO | 0.89 | 5.67 | 8.99 | 0.40 | 0.23 |
| SO3 | 2.57 | -- | 0.31 | 0.86 | 0.12 |
| Na2O | 0.23 | -- | 0.00 | 3.04 | 4.41 |
| SiO2 | 18.48 | 38.09 | 35.60 | 86.22 | 85.27 |
| Cr2O7 | -- | -- | -- | 0.001 | -- |
| TiO2 | -- | -- | -- | 0.152 | 0.002 |
| Property | Test Results |
|---|---|
| Colour | Light brown |
| pH | 5.87 |
| Volumetric mass | 1.07 ± 0.02 kg/L |
| Chloride content | Nill |
| Dosage | 0.3–1.5% by weight of binder |
| Characteristics | Test Results | |||
|---|---|---|---|---|
| FA | WFS | TFS | CA | |
| Fineness modulus | 2.79 | 2.35 | 2.12 | 6.79 |
| Water absorption | 0.31% | 3.15% | 0.52% | 1.03% |
| Bulk density (kg/m3) | 1972 | 2076 | 1531 | 1625 |
| Specific gravity | 2.61 | 2.53 | 2.41 | 2.73 |
| Mix Designation | Binder Content | OPC | GGBS | Alccofine | FA | CA | WFS | Water (Litres) | Admixture (Litres) |
|---|---|---|---|---|---|---|---|---|---|
| TFS0 | 640 | 384 | 192 | 64 | 868 | 732 | -- | 161 | 3.2 |
| TFS10 | 781.2 | 86.8 | |||||||
| TFS20 | 694.4 | 173.6 | |||||||
| TFS30 | 607.6 | 260.4 | |||||||
| TFS40 | 520.8 | 347.2 | |||||||
| TFS50 | 434 | 434 |
Disclaimer/Publisher’s Note: The statements, opinions and data contained in all publications are solely those of the individual author(s) and contributor(s) and not of MDPI and/or the editor(s). MDPI and/or the editor(s) disclaim responsibility for any injury to people or property resulting from any ideas, methods, instructions or products referred to in the content. |
© 2025 by the authors. Licensee MDPI, Basel, Switzerland. This article is an open access article distributed under the terms and conditions of the Creative Commons Attribution (CC BY) license (https://creativecommons.org/licenses/by/4.0/).
Share and Cite
Tangadagi, R.B.; Ravichandran, P.T. Potential Use of Recycled Foundry Sand as Fine Aggregate in Self-Compacting Concrete: Sustainable Engineering Research. Buildings 2025, 15, 815. https://doi.org/10.3390/buildings15050815
Tangadagi RB, Ravichandran PT. Potential Use of Recycled Foundry Sand as Fine Aggregate in Self-Compacting Concrete: Sustainable Engineering Research. Buildings. 2025; 15(5):815. https://doi.org/10.3390/buildings15050815
Chicago/Turabian StyleTangadagi, Ranjitha B., and Panruti T. Ravichandran. 2025. "Potential Use of Recycled Foundry Sand as Fine Aggregate in Self-Compacting Concrete: Sustainable Engineering Research" Buildings 15, no. 5: 815. https://doi.org/10.3390/buildings15050815
APA StyleTangadagi, R. B., & Ravichandran, P. T. (2025). Potential Use of Recycled Foundry Sand as Fine Aggregate in Self-Compacting Concrete: Sustainable Engineering Research. Buildings, 15(5), 815. https://doi.org/10.3390/buildings15050815

