Predictive Model for Erosion Rate of Concrete Under Wind Gravel Flow Based on K-Fold Cross-Validation Combined with Support Vector Machine
Abstract
1. Introduction
2. Materials and Methods
2.1. Raw Materials
2.2. Concrete Preparation
2.3. Erosion Test Methods and Equipment
2.4. Erosion Parameters
2.5. CER
3. Test Results and Analysis
3.1. Compressive Strength of Concrete
3.2. Gravel Flow Rate
3.3. Erosion Angle
3.4. Erosion Wind Speed
3.5. Erosion Time
3.6. Gravel Particle Size
3.7. Macroscopic Morphology Analysis
4. SVM Model
4.1. Data Collection and Analysis
4.2. Theoretical Methods
4.3. Data Processing
4.4. Determination of Model Parameters
4.5. SVM Modeling Process
- (1)
- Wind gravel flow erosion test. The test results are used to analyze the correlation between CER changes and erosion parameters. Subsequently, the data are systematically collected and organized.
- (2)
- Data collection and processing. The initial phase consolidates experimental data to pinpoint factors affecting the CER and identifies crucial input and output variables for the ML model. Following this, a sensitivity analysis evaluates the influence of input factors on the CER. The final stage involves training the model using 80% of the dataset and validating it with the remaining 20%.
- (3)
- Model training and validation. First, optimal hyperparameters are identified using a grid search method combined with K-fold cross-validation. The model is then trained on the training set and validated using the test set. Performance is assessed based on four key metrics: R2, RMSE, MAE, and MBE. Finally, the outcomes are contrasted with predictions from BPNN and LSTM ML models.
- (4)
- Model performance analysis. This analysis evaluates the SVM model’s performance, focusing on the data division ratio and input variable count. Additionally, it compares the SVM model’s predictions with those from the formula model.

5. Analysis of SVM Model Prediction Results
5.1. Evaluation Index
5.2. SVM Model Prediction Results
5.3. Comparison with Other ML Models
5.4. Interpretive Analysis of SVM Model
6. SVM Model Performance Analysis
6.1. Percentage of Data Division
6.2. Number of Input Variables
6.3. Comparison with the Formula Model
- (1)
- The Oka improvement model:
- (2)
- The Bitter improvement model:
7. Conclusions
- (1)
- Concrete’s compressive strength directly correlates with its resistance to erosive wear. The CER rises with higher gravel flow rate, erosion wind speed, erosion angle, and erosion time values. During concrete erosion, distinct accelerating and stabilizing phases are evident. Significantly, concrete incurs more severe erosion damage from small-sized gravel than from large-sized gravel.
- (2)
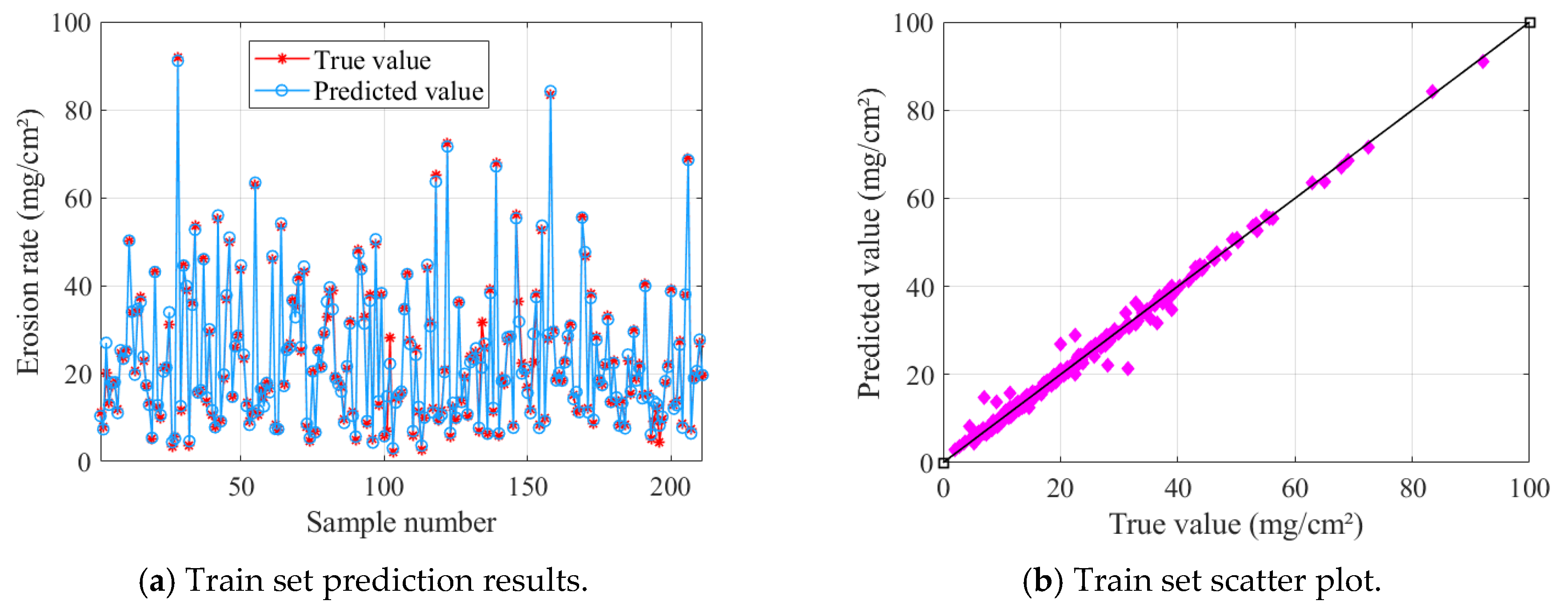
- Compared to models like LSTM, BPNN, and RF, the SVM model achieves an R2 close to 1 (0.990 for the training set and 0.987 for the test set) and an RMSE closer to 0 (1.580 for the training set and 1.868 for the test set). These results indicate that the SVM model offers superior prediction accuracy. Consequently, the SVM-based CER prediction model is more reliable than other ML models.
- (3)
- The SHAP method analyzed the SVM model’s prediction results, revealing that erosion time is the most significant variable influencing the concrete’s erosion rate. In contrast, water content has the least impact. Variables like erosion time, coarse aggregate content, erosion wind speed, erosion angle, gravel flow rate, and fine aggregate content positively affect the erosion rate, while cementation material content, gravel particle size, and water content have a negative effect.
- (4)
- An analysis of the SVM model’s performance demonstrates that maintaining a training set with at least 80% of the total data volume ensures the model’s prediction accuracy. Furthermore, when erosion time is excluded, the SVM model’s R2 decreases from 0.987 to 0.644. This highlights the significant impact of neglecting erosion time on the SVM model’s predictive results, emphasizing the crucial role of erosion time as an input variable. Overall, erosion parameters have a substantially greater influence on CER than the concrete material itself.
- (5)
- CER prediction involves the use of both the theoretically improved erosion model and the SVM model. While the average relative error for the improved Bitter and Oka models stands at 22% and 31.6%, respectively, the SVM model displays an average relative error of just −0.5%. This underscores the SVM model’s superior prediction accuracy, whereas the theoretical improved model’s generalization ability is restricted due to its more limited considerations.
Author Contributions
Funding
Data Availability Statement
Conflicts of Interest
References
- Qu, J.; Wang, T.; Niu, Q.; Liu, B.; Tan, L.; Han, Q.; Gao, Y.; Xiao, J. Mechanisms of the formation of wind-blown sand hazards and the sand control measures in Gobi areas under extremely strong winds along the Lanzhou-Xinjiang high-speed railway. Sci. China Earth Sci. 2022, 66, 292–302. [Google Scholar] [CrossRef]
- Cheng, J.; Jiang, F.; Xue, C.; Xin, G.; Li, K.; Yang, Y. Characteristics of the disastrous wind-sand environment along railways in the Gobi area of Xinjiang, China. Atmos. Environ. 2015, 102, 344–354. [Google Scholar] [CrossRef]
- Liu, D.; Liang, X.; Zhou, W.; Zhong, M.; Lu, Z. Fundamental research on the dynamic safety of a high-speed train under strong wind conditions. Vehicle. Syst. Dyn. 2023, 61, 1602–1620. [Google Scholar] [CrossRef]
- Liu, T.; Wang, L.; Gao, H.; Xia, Y.; Guo, Z.; Li, W.; Liu, H. Research progress on train operation safety in Xinjiang railway under wind environment. Transp. Saf. Environ. 2022, 4, tdac005. [Google Scholar] [CrossRef]
- Wang, T.; Qu, J.; Tan, L.; Gao, Y.; Zhang, K.; Shi, B. Aeolian sediment transport over the Gobi with high gravel coverage under extremely strong winds in the Hundred Miles windy area along the Lanzhou-Xinjiang High-Speed Railway. J. Wind Eng. Ind. Aerod. 2022, 220, 104857. [Google Scholar] [CrossRef]
- Zhang, K.; Feng, Z.; Yu, Y.; Yang, B.; Yu, B.; Xie, C. Concrete erosion mechanism and model research under the action of wind gravel flow in Gobi gale area. Constr. Build. Mater. 2023, 409, 133940. [Google Scholar] [CrossRef]
- Xue, H.; Shen, X.; Liu, Q.; Wang, R.; Liu, Z. Analysis of the damage to the aeolian sand concrete surfaces caused by wind-sand erosion. J. Adv. Concr. Technol. 2017, 15, 724–737. [Google Scholar] [CrossRef]
- Hao, Y.; Feng, Y.; Fan, J. Experimental study into erosion damage mechanism of concrete materials in a wind-blown sand environment. Constr. Build. Mater. 2016, 111, 662–670. [Google Scholar] [CrossRef]
- Wang, Y.; Zhang, J.; Dun, H.; Huang, N. Numerical Investigation on Impact Erosion of Aeolian Sand Saltation in Gobi. Atmosphere 2023, 14, 349. [Google Scholar] [CrossRef]
- Wang, Y.; Yang, Z. Finite element model of erosive wear on ductile and brittle materials. Wear 2008, 265, 871–878. [Google Scholar] [CrossRef]
- Finnie, I. Erosion of surfaces by solid particles. Wear 1960, 3, 87–100. [Google Scholar] [CrossRef]
- Finnie, I. Some observations on the erosion of ductile metals. Wear 1972, 19, 81–90. [Google Scholar] [CrossRef]
- Finnie, I.; Mc Fadden, D.H. On the velocity dependence of the erosion of ductile metals by solid particles at low angles of incidence. Wear 1978, 48, 181–190. [Google Scholar] [CrossRef]
- Finnie, I. Some reflection on the past and future of erosion. Wear 1995, 186–187, 1–10. [Google Scholar] [CrossRef]
- Levy, A. Solid Particle Erosion and Erosion-Corrosion of Materials; ASM International: Materials Park, OH, USA, 1995. [Google Scholar]
- Oka, Y.; Yoshida, T. Practical estimation of erosion damage caused by solid particle impact Part 2: Mechanical properties of materials directly associated with erosion damage. Wear 2005, 259, 102–109. [Google Scholar] [CrossRef]
- Bitter, J. A study of erosion phenomena, part I. Wear 1963, 6, 5–21. [Google Scholar] [CrossRef]
- Bitter, J. A study of erosion phenomena, part II. Wear 1963, 6, 169–190. [Google Scholar] [CrossRef]
- Huang, Y.; Fu, J. Review on application of artificial intelligence in civil engineering. Comput. Model. Eng. Sci. 2019, 121, 845–875. [Google Scholar] [CrossRef]
- Lagaros, N.; Plevris, V. Artificial intelligence (AI) applied in civil engineering. Appl. Sci. 2022, 12, 7595. [Google Scholar] [CrossRef]
- Jordan, M.; Mitchell, T. Machine learning: Trends, perspectives, and prospects. Science 2015, 349, 255–260. [Google Scholar] [CrossRef]
- Janiesch, C.; Zschech, P.; Heinrich, K. Machine learning and deep learning. Electron. Mark. 2021, 31, 685–695. [Google Scholar] [CrossRef]
- Zhou, Z. Open-environment machine learning. Nati. Sci. Rev. 2022, 9, nwac123. [Google Scholar] [CrossRef] [PubMed]
- Hopkins, E. Machine learning tools, algorithms, and techniques. J. Self-Gov. Manag. Econ. 2022, 10, 43–55. [Google Scholar]
- Huang, T.; Liu, T.; Ai, Y.; Ren, Z.; Ou, J.; Li, Y.; Xu, N. Modelling the interface bond strength of corroded reinforced concrete using hybrid machine learning algorithms. J. Build. Eng. 2023, 74, 06862. [Google Scholar] [CrossRef]
- Asteris, P.; Skentou, A.; Bardhan, A.; Samui, P.; Pilakoutas, K. Predicting concrete compressive strength using hybrid ensembling of surrogate machine learning models. Cem. Concr. Res. 2021, 145, 106449. [Google Scholar] [CrossRef]
- Feng, D.; Liu, Z.; Wang, X.; Chen, Y.; Chang, J.; Wei, D.; Jiang, Z. Machine learning-based compressive strength prediction for concrete: An adaptive boosting approach. Constr. Build. Mater. 2020, 230, 117000. [Google Scholar] [CrossRef]
- Shen, Z.; Deifalla, A.; Kamiński, P.; Dyczko, A. Compressive strength evaluation of ultra-high-strength concrete by machine learning. Materials 2022, 15, 3523. [Google Scholar] [CrossRef]
- Qian, Y.; Sufian, M.; Hakamy, A.; Farouk Deifalla, A.; EI-said, A. Application of machine learning algorithms to evaluate the influence of various parameters on the flexural strength of ultra-high-performance concrete. Front. Mater. 2023, 9, 1114510. [Google Scholar] [CrossRef]
- Kang, M.; Yoo, D.; Gupta, R. Machine learning-based prediction for compressive and flexural strengths of steel fiber-reinforced concrete. Constr. Build. Mater. 2021, 266, 121117. [Google Scholar] [CrossRef]
- Wu, Y.; Zhou, Y. Splitting tensile strength prediction of sustainable high-performance concrete using machine learning techniques. Environ. Sci. Pollut. Res. 2022, 29, 89198–89209. [Google Scholar] [CrossRef]
- Albaijan, I.; Mahmoodzadeh, A.; Flaih, L.; Ibrahim, H.; Alashker, Y.; Mohammed, A. Evaluating the Tensile Strength of Reinforced Concrete using Optimized Machine Learning Techniques. Eng. Fract. Mech. 2023, 292, 109677. [Google Scholar] [CrossRef]
- Gao, X.; Yang, J.; Zhu, H.; Xu, J. Estimation of rubberized concrete frost resistance using machine learning techniques. Constr. Build. Mater. 2023, 371, 130778. [Google Scholar] [CrossRef]
- Kahraman, E.; Ozdemir, A. The prediction of durability to freeze–thaw of limestone aggregates using machine-learning techniques. Constr. Build. Mater. 2022, 324, 126678. [Google Scholar] [CrossRef]
- Taffese, W.; Espinosa-Leal, L. Prediction of chloride resistance level of concrete using machine learning for durability and service life assessment of building structures. J. Build. Eng. 2022, 60, 105146. [Google Scholar] [CrossRef]
- Cai, R.; Han, T.; Liao, W.; Huang, J.; Li, D.; Kumar, A.; Ma, H. Prediction of surface chloride concentration of marine concrete using ensemble machine learning. Cem. Concr. Res. 2020, 136, 106164. [Google Scholar] [CrossRef]
- Nunez, I.; Nehdi, M. Machine learning prediction of carbonation depth in recycled aggregate concrete incorporating SCMs. Constr. Build. Mater. 2021, 287, 123027. [Google Scholar] [CrossRef]
- Tran, V.; Mai, H.; To, Q.; Nguyen, M. Machine learning approach in investigating carbonation depth of concrete containing Fly ash. Struct. Concr. 2023, 24, 2145–2169. [Google Scholar] [CrossRef]
- Rong, X.; Liu, Y.; Chen, P.; Lv, X.; Shen, C.; Yao, B. Prediction of creep of recycled aggregate concrete using back-propagation neural network and support vector machine. Struct. Concr. 2023, 24, 2229–2244. [Google Scholar] [CrossRef]
- Zhang, K.; Zhang, K.; Bao, R.; Liu, X. A framework for predicting the carbonation depth of concrete incorporating fly ash based on a least squares support vector machine and metaheuristic algorithms. J. Build. Eng. 2023, 65, 105772. [Google Scholar] [CrossRef]
- Abd, A.; Abd, S. Modelling the strength of lightweight foamed concrete using support vector machine (SVM). Case Stud. Constr. Mat. 2017, 6, 8–15. [Google Scholar] [CrossRef]
- Sun, J.; Zhang, J.; Gu, Y.; Huang, Y.; Sun, Y.; Ma, G. Prediction of permeability and unconfined compressive strength of pervious concrete using evolved support vector regression. Constr. Build. Mater. 2019, 207, 440–449. [Google Scholar] [CrossRef]
- Cui, X.; Wang, Q.; Li, S.; Dai, J.; Xie, C.; Duan, Y.; Wang, J. Deep learning for intelligent identification of concrete wind-erosion damage. Automat. Constr. 2022, 141, 104427. [Google Scholar] [CrossRef]
- Cui, X.; Wang, Q.; Dai, J.; Zhang, R.; Li, S. Intelligent recognition of erosion damage to concrete based on improved YOLO-v3. Mater. Lett. 2021, 302, 130363. [Google Scholar] [CrossRef]
- Chen, M. An improved BP neural network algorithm and its application. Appl. Mech. Mater. 2014, 543, 2120–2123. [Google Scholar] [CrossRef]
- Hochreiter, S.; Schmidhuber, J. Long short-term memory. Neural. Comput. 1997, 9, 1735–1780. [Google Scholar] [CrossRef]
- Gregorutti, B.; Michel, B.; Saint-Pierre, P. Correlation and variable importance in random forests. Stat. Comput. 2017, 27, 659–678. [Google Scholar] [CrossRef]
- Ramosaj, B.; Pauly, M. Consistent estimation of residual variance with random forest Out-Of-Bag errors. Stat. Probabil. Lett. 2019, 151, 49–57. [Google Scholar] [CrossRef]
- Vapnik, V. The Nature of Statistical Learning Theory; Springer Science and Business Media: New York, NY, USA, 1999. [Google Scholar]
- Jorge, N.; Stephen, J. Numerical Optimization; Springer Science and Business Media: New York, NY, USA, 2006. [Google Scholar]
- Sun, Y.; Ding, S.; Zhang, Z.; Jia, W. An improved grid search algorithm to optimize SVR for prediction. Soft. Comput. 2021, 25, 5633–5644. [Google Scholar] [CrossRef]
- Berrar, D. Cross-Validation. In Encyclopedia of Bioinformatics and Computational Biology, 2nd ed.; Elsevier: Amsterdam, The Netherlands, 2019; Volume 1, pp. 542–545. [Google Scholar]



























| Specimen Number | Water-Binder Ratio | Raw Material Consumption (kg/m3) | Water- Reducing Agent (%) | Compressive Strength (MPa) | |||||
|---|---|---|---|---|---|---|---|---|---|
| Water | Cement | Mineral Powder | Fly Ash | Sand | Gravel | ||||
| A-1 | 0.40 | 138 | 173 | 86 | 86 | 863 | 1054 | 1.5 | 39.9 |
| A-2 | 0.39 | 140 | 179 | 90 | 90 | 836 | 1065 | 1.7 | 46.0 |
| A-3 | 0.37 | 138 | 187 | 93 | 93 | 831 | 1058 | 1.9 | 50.8 |
| A-4 | 0.34 | 140 | 206 | 103 | 103 | 815 | 1033 | 2.1 | 58.1 |
| Erosion Parameter | Parameter Value |
|---|---|
| gravel particle size (mm) | 0.25–0.5, 1–2, 3–5 |
| erosion angle (°) | 15, 30, 45, 60, 75, 90 |
| erosion wind speed (m/s) | 20, 25, 30, 35, 40 |
| gravel flow rate (g/min) | 30, 60, 90, 120 |
| erosion time (min) | 1, 2, 3, 4, 5, 6, 7, 8, 9, 10 |
| Input/Output Variables | Unit | Minimum | Maximum | Mean | Standard Deviation | Type |
|---|---|---|---|---|---|---|
| X1: Water content | kg/m3 | 138 | 140 | 139 | 1 | Input |
| X2: Cementitious material content | kg/m3 | 345 | 412 | 372.25 | 24.99 | Input |
| X3: Fine aggregate content | kg/m3 | 815 | 863 | 836.25 | 17.28 | Input |
| X4: Coarse aggregate content | kg/m3 | 1033 | 1065 | 1052.5 | 11.93 | Input |
| X5: Gravel particle size | mm | 0.25–0.5 | 3–5 | 1.96 | 1.51 | Input |
| X6: Erosion angle | ° | 15 | 90 | 79.77 | 21.4 | Input |
| X7: Gravel flow rate | g/min | 30 | 120 | 111.93 | 22.45 | Input |
| X8: Erosion wind speed | m/s | 20 | 40 | 33.86 | 3.97 | Input |
| X9: Erosion time | min | 1 | 10 | 7.95 | 2.96 | Input |
| Y: CER | mg/cm2 | 2.7 | 92 | 23.73 | 15.93 | Output |
| Date Set | Evaluation Index | |||
|---|---|---|---|---|
| R2 | RMSE | MAE | MBE | |
| Train set | 0.990 | 1.580 | 0.944 | −0.013 |
| Test set | 0.987 | 1.868 | 1.232 | 0.457 |
| ML Model | Training Time | Interpretability | Computational Demand |
|---|---|---|---|
| SVM | longer | higher | high |
| BPNN | longer | lower | high |
| LSTM | longest | lowest | highest |
| RF | shorter | higher | intermediate |
| Data Set | ML Models | Evaluation Index | |||
|---|---|---|---|---|---|
| R2 | RMSE | MAE | MBE | ||
| Train date | SVM | 0.990 | 1.580 | 0.944 | −0.013 |
| BPNN | 0.964 | 3.098 | 2.384 | 0.072 | |
| LSTM | 0.981 | 2.192 | 1.559 | 0.166 | |
| RF | 0.900 | 4.795 | 3.540 | 0.221 | |
| Test date | SVM | 0.987 | 1.868 | 1.232 | 0.457 |
| BPNN | 0.944 | 3.441 | 2.581 | 0.150 | |
| LSTM | 0.964 | 2.991 | 2.136 | 0.305 | |
| RF | 0.849 | 7.256 | 5.401 | −1.036 | |
| Data Set | Percentage of Data Division | Evaluation Index | |||
|---|---|---|---|---|---|
| R2 | RMSE | MAE | MBE | ||
| Train date | 9-1 | 0.990 | 1.575 | 0.936 | 0.088 |
| 8-2 | 0.990 | 1.580 | 0.944 | −0.013 | |
| 7-3 | 0.990 | 1.612 | 0.985 | 0.108 | |
| Test date | 9-1 | 0.987 | 1.871 | 1.247 | 0.345 |
| 8-2 | 0.987 | 1.868 | 1.232 | 0.457 | |
| 7-3 | 0.982 | 2.053 | 1.413 | 0.071 | |
| Combination | Evaluation Index | |||
|---|---|---|---|---|
| R2 | RMSE | MAE | MBE | |
| 1: X1, X2, X3, X4, X5, X6, X7, X8, X9 | 0.987 | 1.868 | 1.232 | 0.457 |
| 2: X1, X2, X3, X4, X5, X6, X7, X8 | 0.644 | 8.806 | 5.737 | −0.241 |
| 3: X2, X3, X4, X5, X6, X7, X8, X9 | 0.990 | 1.798 | 1.196 | −0.484 |
| 4: X2, X3, X4, X6, X7, X8, X9 | 0.837 | 5.208 | 4.137 | 0.173 |
| 5: X2, X3, X4, X6, X7, X8 | 0.509 | 10.468 | 8.706 | −0.656 |
| 6: X5, X6, X7, X8, X9 | 0.485 | 11.038 | 8.485 | 3.818 |
Disclaimer/Publisher’s Note: The statements, opinions and data contained in all publications are solely those of the individual author(s) and contributor(s) and not of MDPI and/or the editor(s). MDPI and/or the editor(s) disclaim responsibility for any injury to people or property resulting from any ideas, methods, instructions or products referred to in the content. |
© 2025 by the authors. Licensee MDPI, Basel, Switzerland. This article is an open access article distributed under the terms and conditions of the Creative Commons Attribution (CC BY) license (https://creativecommons.org/licenses/by/4.0/).
Share and Cite
Zhao, Y.; Zhang, K.; Guo, A.; Hao, F.; Ma, J. Predictive Model for Erosion Rate of Concrete Under Wind Gravel Flow Based on K-Fold Cross-Validation Combined with Support Vector Machine. Buildings 2025, 15, 614. https://doi.org/10.3390/buildings15040614
Zhao Y, Zhang K, Guo A, Hao F, Ma J. Predictive Model for Erosion Rate of Concrete Under Wind Gravel Flow Based on K-Fold Cross-Validation Combined with Support Vector Machine. Buildings. 2025; 15(4):614. https://doi.org/10.3390/buildings15040614
Chicago/Turabian StyleZhao, Yanhua, Kai Zhang, Aojun Guo, Fukang Hao, and Jie Ma. 2025. "Predictive Model for Erosion Rate of Concrete Under Wind Gravel Flow Based on K-Fold Cross-Validation Combined with Support Vector Machine" Buildings 15, no. 4: 614. https://doi.org/10.3390/buildings15040614
APA StyleZhao, Y., Zhang, K., Guo, A., Hao, F., & Ma, J. (2025). Predictive Model for Erosion Rate of Concrete Under Wind Gravel Flow Based on K-Fold Cross-Validation Combined with Support Vector Machine. Buildings, 15(4), 614. https://doi.org/10.3390/buildings15040614
