The Moderating Effect of Education Level and Income on Job Performance of Supervising Engineers
Abstract
1. Introduction
1.1. Job Performance
1.2. Autonomy
1.3. Feedback
1.4. Task Identity
1.5. Competence
1.6. Affective Commitment
2. Study Method
2.1. Process of Questionnaire Development
| Variable | Codes | Items | References |
|---|---|---|---|
| Job Performance (JP) | JP1 | I always complete the duties specified in my job description. | [93] |
| JP2 | I meet all the formal performance requirements of my job. | ||
| JP3 | I fulfill all responsibilities required by my job. | ||
| JP4 | I never neglect aspects of my job that I am obligated to perform. | ||
| JP5 | I often fail to perform important duties. * | ||
| Autonomy (Aut) | AU1 | I decide on my own how to go about doing the work. | [94,95] |
| AU2 | I cannot use my personal initiative and judgment in carrying out my job. * | ||
| AU3 | I have considerable opportunity for independence and freedom in how I do my job. | ||
| Feedback (FB) | FE1 | My job provides me clues about how well I am doing. | [94,95] |
| FE2 | I can figure out how well I am doing, just by doing the work required by my job. | ||
| FE3 | After I finish my job, I don’t know whether I performed well. * | ||
| Task Identity (TI) | TI1 | My job is a complete piece of work that has an obvious beginning and end. | [94,95] |
| TI2 | My job is arranged so that I cannot do an entire piece of work from beginning to end. * | ||
| TI3 | I completely finish the pieces of work I begin. | ||
| Competence (Com) | CO1 | I am confident about my ability to do my job. | [96] |
| CO2 | I am self-assured about my capabilities to perform my work activities. | ||
| CO3 | I have mastered the skills necessary for my job. | ||
| Affective Commitment (AC) | AC1 | Supervisor engineering is important to my self-image. | [97] |
| AC2 | I regret having entered the supervisor engineering profession. * | ||
| AC3 | I am proud to be in the supervisor engineering profession. | ||
| AC4 | I dislike being a supervisor engineer. * | ||
| AC5 | I do not identify with the supervisor engineering profession. * | ||
| AC6 | I am enthusiastic about supervisor engineering. |
2.2. Data Collection Process
2.3. Data Analysis Method
3. Data Analysis and Results
3.1. Evaluation of Measurement Model
3.2. Structural Model Evaluation
3.3. Mediator Analysis
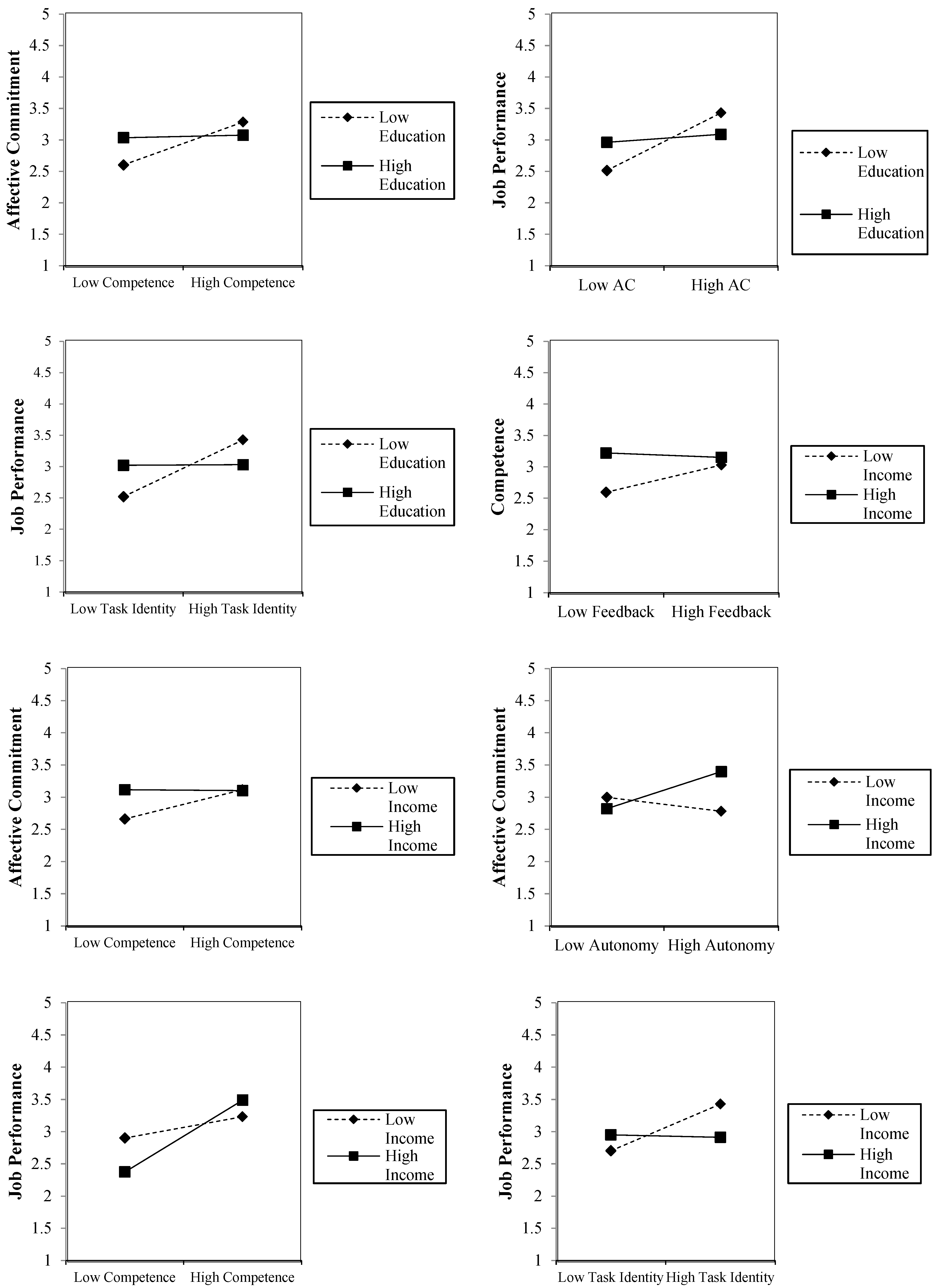
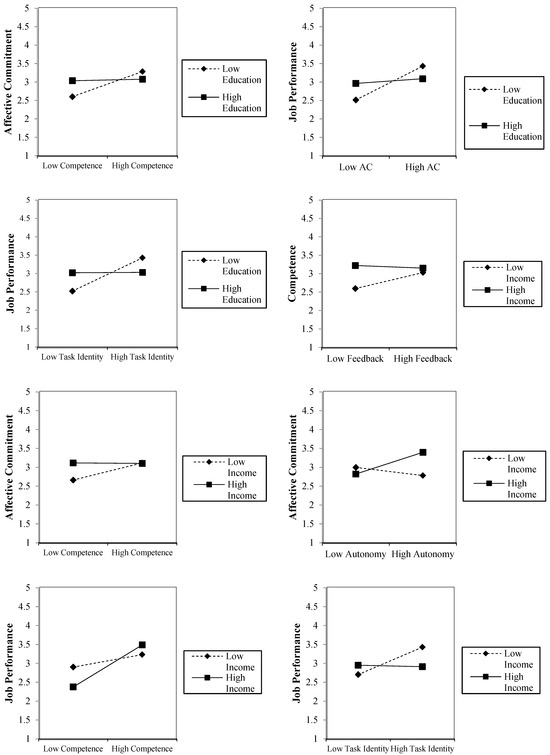
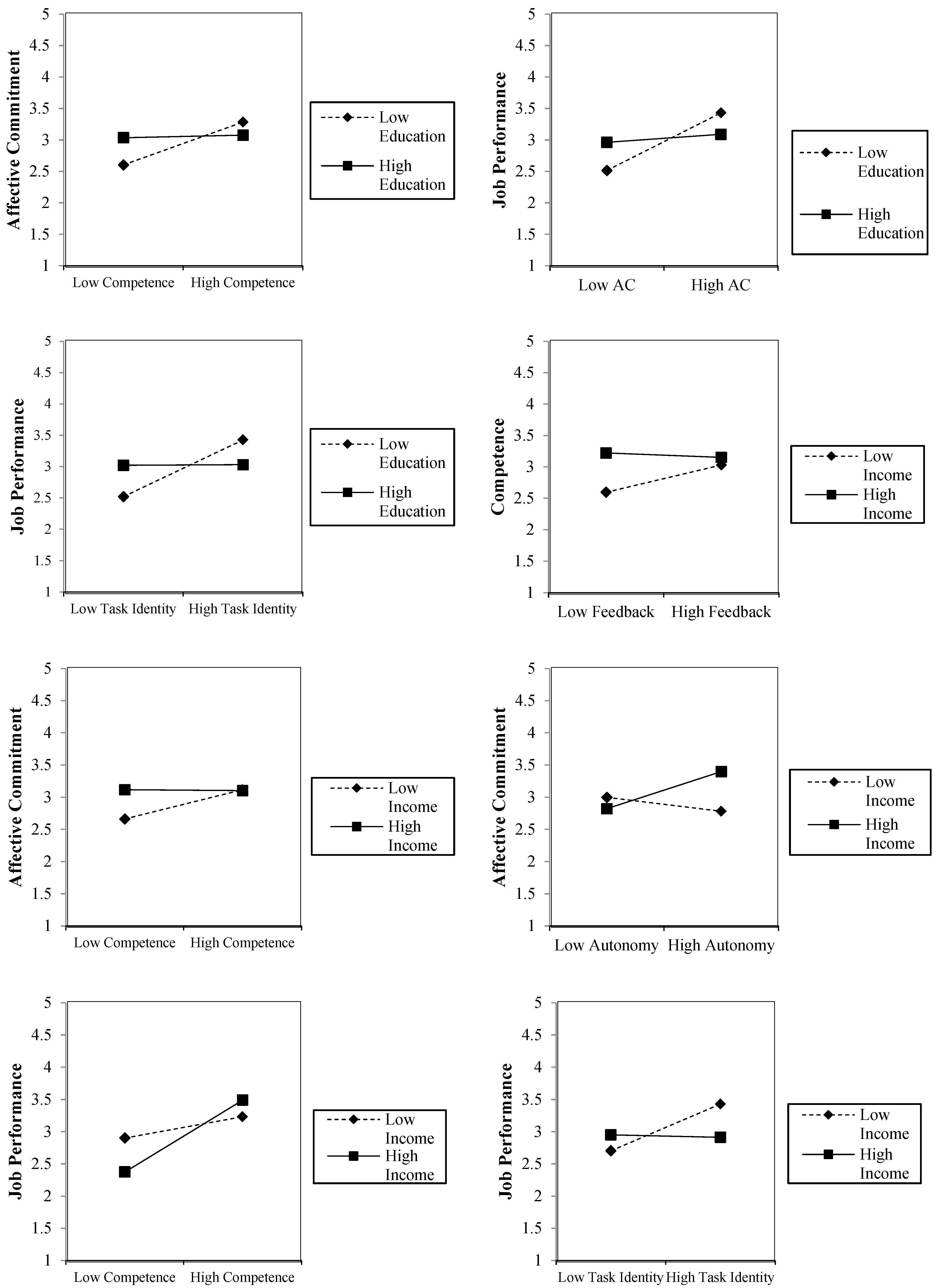
3.4. The Results of the Moderator Analysis
4. Discussion
4.1. The Mediation Effect of Affective Commitment
4.2. The Moderator Effect of Education and Income
4.3. Scientific and Practical Benefits of the Research
4.4. Research Limitations and Future Study Opportunities
5. Conclusions
Author Contributions
Funding
Institutional Review Board Statement
Informed Consent Statement
Data Availability Statement
Conflicts of Interest
References
- Rekola, M.; Mäkeläinen, T.; Häkkinen, T. The role of design management in the sustainable building process. Arch. Eng. Des. Manag. 2012, 8, 78–89. [Google Scholar] [CrossRef]
- Fallah Tafti, E.; Mosalman Yazdi, H.; Javaheri, M. Investigating and evaluating the performance of supervising engineers and prioritizing the factors affecting it. In Proceedings of the 3rd National Conference on Construction Materials and New Technologies in the Construction Industry, Meybod, Iran, 18 February 2016. (In Persian). [Google Scholar]
- Shahraki, S.; Saghatforoush, E.; Ravasan, A.Z. Identification and Classification of Factors Affecting the Performance of Building Supervisor Engineers for Construction Industry. J. Eng. Proj. Prod. Manag. 2018, 8, 65–74. [Google Scholar] [CrossRef]
- Gupta, V.; Kansal, R. Improvement of construction labor productivity in Chambal Region. Int. J. Res. Eng. Technol. 2014, 3, 34–37. [Google Scholar] [CrossRef]
- FIDIC|Quality of Construction|International Federation of Consulting Engineers. Available online: https://www.fidic.org/node/751 (accessed on 3 August 2021).
- Spilsbury, M.J.; Brann, J.; Norgbey, S. Quality of Project Supervision Review 2009; Summary Report; Evaluation Office, Quality Assurance Section, UNEP: Nairobi, Kenya, 2010; Available online: https://wedocs.unep.org/xmlui/bitstream/handle/20.500.11822/268/Review_of_the_UNEP_Quality_of_Project_Supervision.pdf?sequence=1&isAllowed=y (accessed on 18 January 2022).
- Liu, F. Analysis of supervision engineers’ quality. Shanxi Constr. 2004, 30, 86–87. [Google Scholar]
- Hardison, D.; Behm, M.; Hallowell, M.R.; Fonooni, H. Identifying construction supervisor competencies for effective site safety. Saf. Sci. 2014, 65, 45–53. [Google Scholar] [CrossRef]
- TCEO. TCEO|Complaints About the Low Wages of Engineering Services; What Happened to the 1400 Tariff?|Tehran Construction Engineering Organization. 2021. Available online: https://www.tceo.ir (accessed on 6 January 2022). (In Persian).
- Hackman, J.R.; Oldham, G.R. Development of the job diagnostic survey. J. Appl. Psychol. 1975, 60, 159–170. [Google Scholar] [CrossRef]
- Hsu, L.; Liao, P. From job characteristics to job satisfaction of foreign workers in Taiwan’s construction industry: The mediating role of organizational commitment. Hum. Factors Ergon. Manuf. 2016, 26, 243–255. [Google Scholar] [CrossRef]
- Said, N.A.; Munap, R. Job characteristics and job satisfaction: A relationship study on supervisors performance. In Proceedings of the 2010 IEEE International Conference on Management of Innovation & Technology, Singapore, 2–5 June 2010; pp. 714–719. [Google Scholar]
- Johari, J.; Shamsudin, F.M.; Yean, T.F.; Yahya, K.K.; Adnan, Z. Job characteristics, employee well-being, and job performance of public sector employees in Malaysia. Int. J. Public Sect. Manag. 2019, 32, 102–119. [Google Scholar] [CrossRef]
- Onukwube, H.N.; Iyagba, R. Construction professionals job performance and characteristics: A comparison of indigenous and expatriate construction companies in Nigeria. Constr. Econ. Build. 2011, 11, 71–83. [Google Scholar] [CrossRef]
- Lazear, E.P. Agency, earnings profiles, productivity, and hours restrictions. Am. Econ. Rev. 1981, 71, 606–620. [Google Scholar]
- Howard, A. College experiences and managerial performance. J. Appl. Psychol. 1986, 71, 530–552. [Google Scholar] [CrossRef]
- Cappelli, P. A market-driven approach to retaining talent. Harv. Bus. Rev. 2000, 78, 103. [Google Scholar]
- Ng, T.W.H.; Feldman, D.C. How broadly does education contribute to job performance? Pers. Psychol. 2009, 62, 89–134. [Google Scholar] [CrossRef]
- Spence, M. Market Signalling: Information Transfer in Hiring and Related Processes; Harvard University Press: Cambridge, MA, USA, 1973. [Google Scholar]
- Riley, J.G. Weak and Strong Signals. Scand. J. Econ. 2002, 104, 213–236. [Google Scholar] [CrossRef]
- Van Der Sluis, J.; Van Praag, M.; Vijverberg, W. Education and entrepreneurship selection and performance: A review of the empirical literature. J. Econ. Surv. 2008, 22, 795–841. [Google Scholar] [CrossRef]
- Weick, K.E. Drop your tools: An allegory for organizational studies. Adm. Sci. Q. 1996, 41, 301. [Google Scholar] [CrossRef]
- Boon, L.K.; Fern, Y.S.; Sze, C.C.; Yean, O.K. Factors affecting individual job performance. In Proceedings of the International Conference on Management, Economics and Finance, Kuching, Malaysia, 15–16 October 2012. [Google Scholar]
- Chang, E.; Hahn, J. Does pay-for-performance enhance perceived distributive justice for collectivistic employees? Pers. Rev. 2006, 35, 397–412. [Google Scholar] [CrossRef]
- Mujtaba, B.G.; Shuaib, S. An equitable total rewards approach to pay for performance management. J. Manag. Policy Pract. 2010, 11, 11–121. [Google Scholar]
- Valaei, N.; Jiroudi, S. Job satisfaction and job performance in the media industry: A synergistic application of partial least squares path modelling. Asia Pac. J. Mark. Logist. 2016, 28, 984–1014. [Google Scholar] [CrossRef]
- Schmidt, F.L.; Hunter, J.E. Development of a causal model of processes determining job performance. Curr. Dir. Psychol. Sci. 1992, 1, 89–92. [Google Scholar] [CrossRef]
- Bono, J.E.; Judge, T.A. Core self-evaluations: A review of the trait and its role in job satisfaction and job performance. Eur. J. Pers. 2003, 17, S5–S18. [Google Scholar] [CrossRef]
- Katebi, A.; Homami, P.; Najmeddin, M. Acceptance model of precast concrete components in building construction based on Technology Acceptance Model (TAM) and Technology, Organization, and Environment (TOE) framework. J. Build. Eng. 2021, 45, 103518. [Google Scholar] [CrossRef]
- Judge, T.A.; Erez, A.; Bono, J.E. The power of being positive: The relation between positive self-concept and job performance. Hum. Perform. 1998, 11, 167–187. [Google Scholar] [PubMed]
- Folan, P.; Browne, J. A review of performance measurement: Towards performance management. Comput. Ind. 2005, 56, 663–680. [Google Scholar] [CrossRef]
- Sony, M.; Mekoth, N. The relationship between emotional intelligence, frontline employee adaptability, job satisfaction and job performance. J. Retail. Consum. Serv. 2016, 30, 20–32. [Google Scholar] [CrossRef]
- Motowidlo, S.J.; Kell, H.J. Chapter 5 job performance. In Handbook of Psychology; Wiley: Hoboken, NJ, USA, 2012; pp. 91–131. [Google Scholar]
- Krima, N.A.; Wood, G.; Aouad, G.F.; Hatush, Z. Assessing the performance of Libyan supervising engineers. Constr. Manag. Econ. 2007, 25, 509–518. [Google Scholar] [CrossRef]
- Oldham, G.R. Job characteristics and internal motivation: The moderating effect of interpersonal and individual variables. Hum. Relat. 1976, 29, 559–569. [Google Scholar] [CrossRef]
- Hackman, J.R.; Lawler, E.E. Employee reactions to job characteristics. J. Appl. Psychol. 1971, 55, 259–286. [Google Scholar] [CrossRef]
- Bontis, N.; Richards, D.; Serenko, A. Improving service delivery: Investigating the role of information sharing, job characteristics, and employee satisfaction. Learn. Organ. 2011, 18, 239–250. [Google Scholar] [CrossRef]
- Krasman, J. Putting feedback-seeking into “context”: Job characteristics and feedback-seeking behaviour. Pers. Rev. 2013, 42, 50–66. [Google Scholar] [CrossRef]
- Hassan, S. Sources of professional employees’ job involvement: An empirical assessment in a government agency. Rev. Public Pers. Adm. 2014, 34, 356–378. [Google Scholar] [CrossRef]
- Cui, N.; Xiao, S.F. How Much does Job Autonomy Matter for Job Performance of Chinese Supervising Engineers: A Quantitative Study. East Asian J. Bus. Econ. 2021, 9, 71–82. [Google Scholar]
- Bacha, E. The relationship between transformational leadership, task performance and job characteristics. J. Manag. Dev. 2014, 33, 410–420. [Google Scholar] [CrossRef]
- Ghosh, P.; Rai, A.; Chauhan, R.; Gupta, N.; Singh, A. Exploring the moderating role of context satisfaction between job characteristics and turnover intention of employees of Indian public sector banks. J. Manag. Dev. 2015, 34, 1019–1030. [Google Scholar] [CrossRef]
- Faturochman, M.A. The job characteristics theory: A review. Bul. Psikol. 1997, 5, 1–13. [Google Scholar] [CrossRef]
- A Uruthirapathy, A.; Grant, G.G. The influence of job characteristics on IT and non-IT job professional’s turnover intentions. J. Manag. Dev. 2015, 34, 715–728. [Google Scholar] [CrossRef]
- Alsop, A. Perspectives on competence. Br. J. Ther. Rehabil. 2001, 8, 258–264. [Google Scholar] [CrossRef]
- Hager, P.; Gonczi, A. Professions and competencies. In Boundaries adult Learn; Routledge: London, UK, 1996; pp. 246–260. [Google Scholar]
- Eraut, M. Concepts of competence. J. Interprofess. Care 1998, 12, 127–139. [Google Scholar] [CrossRef]
- Gonczi, A.; Hager, P.; Athanasou, J. The Development of Competency-Based Assessment Strategies for the Professions; AGPS: Canberra, Australia, 1993; Available online: http://hdl.voced.edu.au/10707/104071 (accessed on 5 March 2022).
- Messick, S. The psychology of educational measurement. ETS Res. Rep. Ser. 1984, 1, i-55. [Google Scholar]
- Sekaran, U.; Wagner, F.R. Sense of competence: A cross-cultural analysis for managerial application. Group Organ. Stud. 1980, 5, 340–352. [Google Scholar] [CrossRef]
- Meyer, J.P.; Allen, N.J. A three-component conceptualization of organizational commitment. Hum. Resour. Manag. Rev. 1991, 1, 61–89. [Google Scholar] [CrossRef]
- Qian, S.; Yuan, Q.; Niu, W.; Liu, Z. Is job insecurity always bad? The moderating role of job embeddedness in the relationship between job insecurity and job performance. J. Manag. Organ. 2019, 28, 956–972. [Google Scholar] [CrossRef]
- Allen, N.J.; Meyer, J.P. Construct validation in organizational behavior research: The case of organizational commitment. In Problems and Solutions in Human Assessment; Springer: Berlin/Heidelberg, Germany, 2000; pp. 285–314. [Google Scholar]
- Ribeiro, N.; Gomes, D.; Kurian, S. Authentic leadership and performance: The mediating role of employees’ affective commitment. Soc. Responsib. J. 2018, 14, 213–225. [Google Scholar] [CrossRef]
- Settoon, R.P.; Bennett, N.; Liden, R.C. Social exchange in organizations: Perceived organizational support, leader–member exchange, and employee reciprocity. J. Appl. Psychol. 1996, 81, 219–227. [Google Scholar] [CrossRef]
- Vandenberghe, C.; Bentein, K.; Stinglhamber, F. Affective commitment to the organization, supervisor, and work group: Antecedents and outcomes. J. Vocat. Behav. 2004, 64, 47–71. [Google Scholar] [CrossRef]
- Hackman, J.R. Group Influences on Individuals in Organizations; Consulting Psychologists Press: Palo Alto, CA, USA, 1992. [Google Scholar]
- Heffner, T.S.; Rentsch, J.R. Organizational commitment and social interaction: A multiple constituencies approach. J. Vocat. Behav. 2001, 59, 471–490. [Google Scholar] [CrossRef]
- Riketta, M. Attitudinal organizational commitment and job performance: A meta-analysis. J. Organ. Behav. 2002, 23, 257–266. [Google Scholar] [CrossRef]
- Meyer, J.P.; Stanley, D.J.; Herscovitch, L.; Topolnytsky, L. Affective, continuance, and normative commitment to the organization: A meta-analysis of antecedents, correlates, and consequences. J. Vocat. Behav. 2002, 61, 20–52. [Google Scholar] [CrossRef]
- Vandenberghe, C.; Bentein, K.; Panaccio, A. Affective commitment to organizations and supervisors and turnover: A role theory perspective. J. Manag. 2017, 43, 2090–2117. [Google Scholar] [CrossRef]
- Meyer, J.P.; Herscovitch, L. Commitment in the workplace: Toward a general model. Hum. Resour. Manag. Rev. 2001, 11, 299–326. [Google Scholar] [CrossRef]
- Cooper-Hakim, A.; Viswesvaran, C. The construct of work commitment: Testing an integrative framework. Psychol. Bull. 2005, 131, 241–259. [Google Scholar] [CrossRef]
- Hobfoll, S.E. Social and psychological resources and adaptation. Rev. Gen. Psychol. 2002, 6, 307–324. [Google Scholar] [CrossRef]
- Schmidt, K.-H. Organizational commitment: A further moderator in the relationship between work stress and strain? Int. J. Stress Manag. 2007, 14, 26–40. [Google Scholar] [CrossRef]
- Lapointe, É.; Vandenberghe, C.; Panaccio, A. Organizational commitment, organization-based self-esteem, emotional exhaustion and turnover: A conservation of resources perspective. Hum. Relat. 2011, 64, 1609–1631. [Google Scholar] [CrossRef]
- Lapointe, É.; Vandenberghe, C.; Boudrias, J.-S. Psychological contract breach, affective commitment to organization and supervisor, and newcomer adjustment: A three-wave moderated mediation model. J. Vocat. Behav. 2013, 83, 528–538. [Google Scholar] [CrossRef]
- Organ, D.W.; Ryan, K. A meta-analytic review of attitudinal and dispositional redictors of organizational citizenship behavior. Pers. Psychol. 1995, 48, 775–802. [Google Scholar] [CrossRef]
- Binnewies, C.; Ohly, S.; Niessen, C. Age and creativity at work: The interplay between job resources, age and idea creativity. J. Manag. Psychol. 2008, 23, 438–457. [Google Scholar] [CrossRef]
- Ribeiro, N.; Duarte, A.P.; Filipe, R.; de Oliveira, R.T. How authentic leadership promotes individual creativity: The mediating role of affective commitment. J. Leadersh. Organ. Stud. 2020, 27, 189–202. [Google Scholar] [CrossRef]
- Randall, D.M. The consequences of organizational commitment: Methodological investigation. J. Organ. Behav. 1990, 11, 361–378. [Google Scholar] [CrossRef]
- Mathieu, J.E.; Zajac, D.M. A review and meta-analysis of the antecedents, correlates, and consequences of organizational commitment. Psychol. Bull. 1990, 108, 171–194. [Google Scholar] [CrossRef]
- Cohen, A. Career stage as a moderator of the relationships between organizational commitment and its outcomes: A meta-analysis. J. Occup. Psychol. 1991, 64, 253–268. [Google Scholar] [CrossRef]
- Rashid, Z.A.; Sambasivan, M.; Johari, J. The influence of corporate culture and organisational commitment on performance. J. Manag. Dev. 2003, 22, 708–728. [Google Scholar] [CrossRef]
- Samad, S.; Selangor, S.A. Unraveling the organizational commitment and job performance relationship: Exploring the moderating effect of job satisfaction. Bus. Rev. 2005, 4, 79–84. [Google Scholar]
- Chen, J.; Silverthorne, C.; Hung, J. Organization communication, job stress, organizational commitment, and job performance of accounting professionals in Taiwan and America. Leadersh. Organ. Dev. J. 2006, 27, 242–249. [Google Scholar] [CrossRef]
- Yousef, D.A. Organizational commitment: A mediator of the relationships of leadership behavior with job satisfaction and performance in a non-western country. J. Manag. Psychol. 2000, 15, 6–24. [Google Scholar] [CrossRef]
- Trivellas, P. Work motivation and job performance of frontline employees: The mediating role of organizational commitment. In Proceedings of the 2011 IEEE International Conference on Industrial Engineering and Engineering Management (IEEM), Singapore, 6–9 December 2011; pp. 1878–1882. [Google Scholar]
- Ribeiro, N.; Yücel, İ.; Gomes, D. How transformational leadership predicts employees’ affective commitment and performance. Int. J. Prod. Perform. Manag. 2018, 67, 1901–1917. [Google Scholar] [CrossRef]
- Ugboro, I.O. Organizational commitment, job redesign, employee empowerment and intent to quit among survivors of restructuring and downsizing. J. Behav. Appl. Manag. 2006, 7, 232–257. [Google Scholar] [CrossRef]
- Humphrey, S.E.; Nahrgang, J.D.; Morgeson, F.P. Integrating motivational, social, and contextual work design features: A meta-analytic summary and theoretical extension of the work design literature. J. Appl. Psychol. 2007, 92, 1332–1356. [Google Scholar] [CrossRef]
- Zargar, M.S.; Vandenberghe, C.; Marchand, C.; Ben Ayed, A.K. Job scope, affective commitment, and turnover: The moderating role of growth need strength. J. Occup. Organ. Psychol. 2014, 87, 280–302. [Google Scholar] [CrossRef]
- Nikou, S. Factors driving the adoption of smart home technology: An empirical assessment. Telemat. Inform. 2019, 45, 101283. [Google Scholar] [CrossRef]
- Katebi, A.; HajiZadeh, M.H.; Bordbar, A.; Salehi, A.M. The Relationship Between “Job Satisfaction” and “Job Performance”: A Meta-analysis. Glob. J. Flex. Syst. Manag. 2021, 23, 21–42. [Google Scholar] [CrossRef]
- Almanasreh, E.; Moles, R.; Chen, T.F. Evaluation of methods used for estimating content validity. Res. Soc. Adm. Pharm. 2019, 15, 214–221. [Google Scholar] [CrossRef] [PubMed]
- Ifinedo, P. An empirical analysis of factors influencing Internet/e-business technologies adoption by SMEs in Canada. Int. J. Inf. Technol. Decis. Mak. 2011, 10, 731–766. [Google Scholar] [CrossRef]
- Lawshe, C.H. A quantitative approach to content validity. Pers. Psychol. 1975, 28, 563–575. [Google Scholar] [CrossRef]
- Polit, D.F.; Beck, C.T. The content validity index: Are you sure you know what’s being reported? critique and recommendations. Res. Nurs. Health 2006, 29, 489–497. [Google Scholar] [CrossRef] [PubMed]
- Babakus, E.; Mangold, W.G. Adapting the SERVQUAL scale to hospital services: An empirical investigation. Health Serv. Res. 1992, 26, 767. [Google Scholar] [PubMed]
- Buttle, F. SERVQUAL: Review, critique, research agenda. Eur. J. Mark. 1996, 30, 8–32. [Google Scholar] [CrossRef]
- Hayes, B.E. Measuring Customer Satisfaction: Survey Design, Use, and Statistical Analysis Methods; ASQ Quality Press: Milwaukee, WI, USA, 1998. [Google Scholar]
- Devlin, S.J.; Dong, H.K.; Brown, M. Selecting a scale for measuring quality. Mark. Res. 2003, 15, 13. [Google Scholar]
- Manzoor, F.; Wei, L.; Bányai, T.; Nurunnabi, M.; Subhan, Q.A. An examination of sustainable HRM practices on job performance: An application of training as a moderator. Sustainability 2019, 11, 2263. [Google Scholar] [CrossRef]
- Morris, M.G.; Venkatesh, V. Job characteristics and job satisfaction: Understanding the role of enterprise resource planning system implementation. MIS Q. 2010, 34, 143. [Google Scholar] [CrossRef]
- Thatcher, J.B.; Stepina, L.P.; Boyle, R.J. Turnover of information technology workers: Examining empirically the influence of attitudes, job characteristics, and external markets. J. Manag. Inf. Syst. 2014, 19, 231–261. [Google Scholar] [CrossRef]
- Spreitzer, G.M. Psychological, empowerment in the workplace: Dimensions, measurement and validation. Acad. Manag. J. 1995, 38, 1442–1465. [Google Scholar] [CrossRef]
- Meyer, J.P.; Allen, N.J.; Smith, C.A. Commitment to organizations and occupations: Extension and test of a three-component conceptualization. J. Appl. Psychol. 1993, 78, 538–551. [Google Scholar] [CrossRef]
- Nulty, D.D. The adequacy of response rates to online and paper surveys: What can be done? Assess. Eval. High. Educ. 2008, 33, 301–314. [Google Scholar] [CrossRef]
- Hair, J.F.; Hult, G.T.M.; Ringle, C.M.; Sarstedt, M.; Danks, N.P.; Ray, S. A Primer on Partial Least Squares Structural Equation Modeling (PLS-SEM); Sage Publications: Thousand Oaks, CA, USA, 2021. [Google Scholar] [CrossRef]
- Henseler, J.; Chin, W.W. A comparison of approaches for the analysis of interaction effects between latent variables using partial least squares path modeling. Struct. Equ. Model. Multidiscip. J. 2010, 17, 82–109. [Google Scholar] [CrossRef]
- Hair, J.F.; Sarstedt, M.; Ringle, C.M.; Mena, J.A. An assessment of the use of partial least squares structural equation modeling in marketing research. J. Acad. Mark. Sci. 2012, 40, 414–433. [Google Scholar] [CrossRef]
- Ringle, C.M.; Wende, S.; Becker, J.M. “SmartPLS 3” Boenningstedt; SmartPLS GmbH: Bönningstedt, Germany, 2015. [Google Scholar]
- Henseler, J.; Ringle, C.M.; Sinkovics, R.R. The use of partial least squares path modeling in international marketing. In New Challenges to International Marketing; Emerald Group Publishing Limited: Bingley, UK, 2009. [Google Scholar] [CrossRef]
- Tenenhaus, M.; Vinzi, V.E.; Chatelin, Y.M.; Lauro, C. PLS path modeling. Comput. Stat. Data Anal. 2005, 48, 159–205. [Google Scholar] [CrossRef]
- Hair, J.F.; Ringle, C.M.; Sarstedt, M. PLS-SEM: Indeed a silver bullet. J. Mark. Theory Pract. 2011, 19, 139–152. [Google Scholar] [CrossRef]
- Ringle, C.M.; Sarstedt, M.; Schlittgen, R. Genetic algorithm segmentation in partial least squares structural equation modeling. OR Spectr. 2014, 36, 251–276. [Google Scholar] [CrossRef]
- Ringle, C.M.; Sarstedt, M.; Straub, D.W. Editor’s comments: A critical look at the use of PLS-SEM in “MIS Quarterly”. MIS Q. 2012, 36, iii–xiv. [Google Scholar] [CrossRef]
- Fornell, C.; Larcker, D.F. Evaluating structural equation models with unobservable variables and measurement error. J. Mark. Res. 1981, 18, 39–50. [Google Scholar] [CrossRef]
- Lee, C.-Y.; Chong, H.-Y.; Li, Q.; Wang, X. Joint contract–function effects on BIM-enabled EPC project performance. J. Constr. Eng. Manag. 2020, 146, 4020008. [Google Scholar] [CrossRef]
- Henseler, J.; Ringle, C.M.; Sarstedt, M. A new criterion for assessing discriminant validity in variance-based structural equation modeling. J. Acad. Mark. Sci. 2015, 43, 115–135. [Google Scholar] [CrossRef]
- Geisser, S. A predictive approach to the random effect model. Biometrika 1974, 61, 101–107. [Google Scholar] [CrossRef]
- Stone, M. Cross-validatory choice and assessment of statistical predictions. J. R. Stat. Soc. Ser. B (Methodol.) 1974, 36, 111–133. [Google Scholar] [CrossRef]
- Chin, W.W. The partial least squares approach to structural equation modeling. Mod. Methods Bus. Res. 1998, 295, 295–336. [Google Scholar]
- Cohen, J. Statistical Power Analysis for the Behavioral Sciences; Routledge: New York, NY, USA, 1998. [Google Scholar] [CrossRef]
- Bentler, P.M.; Bonett, D.G. Significance tests and goodness of fit in the analysis of covariance structures. Psychol. Bull. 1980, 88, 588–606. [Google Scholar] [CrossRef]
- Dijkstra, T.K.; Henseler, J. Consistent partial least squares path modeling. MIS Q. 2015, 39, 297–316. [Google Scholar] [CrossRef]
- Tenenhaus, M.; Amato, S.; Esposito Vinzi, V. A global goodness-of-fit index for PLS structural equation modelling. In Proceedings of the XLII SIS Scientific Meeting; CLEUP: Padova, Italy, 2004; Volume 1, pp. 739–742. [Google Scholar]
- Wetzels, M.; Odekerken-Schröeder, G.; Van Oppen, C. Using PLS path modeling for assessing hierarchical construct models: Guidelines and empirical illustration. MIS Q. 2009, 33, 177–195. [Google Scholar] [CrossRef]
- Sobel, M.E. Asymptotic confidence intervals for indirect effects in structural equation models. Sociol. Methodol. 1982, 13, 290–312. [Google Scholar] [CrossRef]
- Mackinnon, D.P.; Dwyer, J.H. Estimating mediated effects in prevention studies. Eval. Rev. 1993, 17, 144–158. [Google Scholar] [CrossRef]
- MacKinnon, D.P.; Warsi, G.; Dwyer, J.H. A simulation study of mediated effect measures. Multivar. Behav. Res. 1995, 30, 41–62. [Google Scholar] [CrossRef]
- Preacher, K.J.; Leonardelli, G.J. Calculation for the Sobel Test: An Interactive Calculation Tool for Mediation Tests. 2001. Available online: https://quantpsy.org/sobel/sobel.htm (accessed on 21 March 2022).
- Yay, M. The mediation analysis with the Sobel test and the percentile bootstrap. Int. J. Manag. Appl. Sci. 2017, 3, 123–125. [Google Scholar]
- Chin, W.W.; Marcolin, B.L.; Newsted, P.R. A partial least squares latent variable modeling approach for measuring interaction effects: Results from a Monte Carlo simulation study and an electronic-mail emotion/adoption study. In Proceedings of the 17th International Conference on Information Systems, Cleveland, OH, USA, 3–6 January 1996. [Google Scholar]
- Chin, W.W.; Marcolin, B.L.; Newsted, P.R. A partial least squares latent variable modeling approach for measuring interaction effects: Results from a Monte Carlo simulation study and an electronic-mail emotion/adoption study. Inf. Syst. Res. 2003, 14, 189–217. [Google Scholar] [CrossRef]
- Ifinedo, P. The moderating effects of demographic and individual characteristics on nurses’ acceptance of information systems: A canadian study. Int. J. Med. Inform. 2016, 87, 27–35. [Google Scholar] [CrossRef] [PubMed]
- Avolio, B.J.; Gardner, W.L.; Walumbwa, F.O.; Luthans, F.; May, D.R. Unlocking the mask: A look at the process by which authentic leaders impact follower attitudes and behaviors. Leadersh. Q. 2004, 15, 801–823. [Google Scholar] [CrossRef]
- Dawson, J.F. Moderation in management research: What, why, when, and how. J. Bus. Psychol. 2014, 29, 1–19. [Google Scholar] [CrossRef]
- Leather, P.J. Safety and accidents in the construction industry: A work design perspective. Work. Stress 2007, 1, 167–174. [Google Scholar] [CrossRef]
- Salehi, A.; Sadat Goosheh, P. Evaluating the role of supervising engineers and designers in optimizing buildings energy consumptions in line with the implementation of national building regulations. In Proceedings of the 3rd National Conference on Climate Building, and Energy Consumption Optimization with Sustainable Development Approach, Tehran, Iran, 15–17 December 2015. (In Persian). [Google Scholar]
- Mjakuškina, S.; Kavosa, M.; Lapiņa, I. Achieving Sustainability in the Construction Supervision Process. J. Open Innov. Technol. Mark. Complex. 2019, 5, 47. [Google Scholar] [CrossRef]





| Respondents’ Characteristics | Frequency | Frequency Percentage | Cumulative Frequency Percentage |
|---|---|---|---|
| Gender | |||
| Male | 151 | 88.82 | 88.82 |
| Female | 19 | 11.18 | 100 |
| Marital Status | |||
| Single (Not Married) | 61 | 35.88 | 35.88 |
| Married | 109 | 64.12 | 100 |
| Age (Years) | |||
| Under 25 | 1 | 0.59 | 0.59 |
| 25 to 35 | 65 | 38.23 | 38.82 |
| 35 to 45 | 80 | 47.06 | 85.88 |
| 45 to 55 | 20 | 11.76 | 97.64 |
| Over 55 | 4 | 2.35 | 100 |
| Work Experience (Years) | |||
| Under 5 | 22 | 12.94 | 12.94 |
| 5 to 10 | 50 | 29.41 | 42.35 |
| 10 to 15 | 58 | 34.12 | 76.47 |
| 15 to 20 | 21 | 12.35 | 88.82 |
| Over 20 | 19 | 11.18 | 100 |
| Education Level | |||
| B.S. | 102 | 60 | 60 |
| M.S. | 54 | 31.76 | 91.76 |
| Ph.D. | 14 | 8.24 | 100 |
| Monthly Income (USD) | |||
| Under 120 | 34 | 20 | 20 |
| 120 to 240 | 68 | 40 | 60 |
| 240 to 360 | 47 | 27.65 | 87.65 |
| 360 to 480 | 13 | 7.65 | 95.30 |
| Over 480 | 8 | 4.70 | 100 |
| Variable | Cronbach’s Alpha | Rho-A | CR | AVE | HTMT | CV-Com | |||||
|---|---|---|---|---|---|---|---|---|---|---|---|
| AC | Aut | Com | FB | JP | TI | ||||||
| AC | 0.965 | 0.973 | 0.972 | 0.851 | 0.735 | ||||||
| Aut | 0.940 | 0.981 | 0.961 | 0.891 | 0.170 | 0.665 | |||||
| Com | 0.876 | 0.875 | 0.924 | 0.803 | 0.263 | 0.182 | 0.535 | ||||
| FB | 0.908 | 0.912 | 0.942 | 0.844 | 0.273 | 0.163 | 0.207 | 0.598 | |||
| JP | 0.889 | 0.892 | 0.923 | 0.751 | 0.391 | 0.103 | 0.446 | 0.203 | 0.545 | ||
| TI | 0.791 | 0.867 | 0.903 | 0.823 | 0.143 | 0.340 | 0.300 | 0.266 | 0.352 | 0.386 | |
| Hypotheses | β | p-Value | T-Value | S/NS | |
|---|---|---|---|---|---|
| H1 | Autonomy → Job performance | −0.095 | 0.159 | 1.409 | NS |
| H2 | Feedback → Job performance | 0.022 | 0.792 | 0.264 | NS |
| H3 | Task Identity → Job performance | 0.207 *** | 0.009 | 2.618 | S |
| H4 | Competence → Job performance | 0.281 ** | 0.010 | 2.588 | S |
| H4-1 | Autonomy → Competence | 0.089 | 0.223 | 1.221 | NS |
| H4-2 | Feedback → Competence | 0.121 * | 0.089 | 1.705 | S |
| H4-3 | Task Identity → Competence | 0.212 *** | 0.009 | 2.641 | S |
| H5 | Affective Commitment → Job performance | 0.282 *** | 0.000 | 3.977 | S |
| H5-1 | Autonomy → Affective Commitment | 0.107 | 0.177 | 1.351 | NS |
| H5-2 | Feedback → Affective Commitment | 0.206 *** | 0.009 | 2.612 | S |
| H5-3 | Task Identity → Affective Commitment | 0.001 | 0.989 | 0.014 | NS |
| H5-4 | Competence → Affective Commitment | 0.189 ** | 0.010 | 2.584 | S |
| Moderator | Path | Β | p-Value | T-Value | Validation |
|---|---|---|---|---|---|
| Education Level | Autonomy → Competence | 0.202 ** | 0.035 | 2.110 | Supported |
| Education Level | Feedback → Competence | −0.176 *** | 0.007 | 2.706 | Supported |
| Education Level | Competence → Affective Commitment | −0.160 * | 0.068 | 1.830 | Supported |
| Education Level | Affective Commitment → Job Performance | −0.197 ** | 0.017 | 2.394 | Supported |
| Education Level | Task Identity → Job Performance | −0.224 *** | 0.002 | 3.107 | Supported |
| Income | Feedback → Competence | −0.126 * | 0.053 | 1.942 | Supported |
| Income | Competence → Affective Commitment | −0.117 * | 0.098 | 1.657 | Supported |
| Income | Autonomy → Affective Commitment | 0.198 *** | 0.008 | 2.658 | Supported |
| Income | Competence → Job Performance | 0.196 * | 0.081 | 1.750 | Supported |
| Income | Task Identity → Job Performance | −0.191 * | 0.053 | 1.940 | Supported |
Disclaimer/Publisher’s Note: The statements, opinions and data contained in all publications are solely those of the individual author(s) and contributor(s) and not of MDPI and/or the editor(s). MDPI and/or the editor(s) disclaim responsibility for any injury to people or property resulting from any ideas, methods, instructions or products referred to in the content. |
© 2025 by the authors. Licensee MDPI, Basel, Switzerland. This article is an open access article distributed under the terms and conditions of the Creative Commons Attribution (CC BY) license (https://creativecommons.org/licenses/by/4.0/).
Share and Cite
Katebi, A.; Keshtkar-Ghalati, A.; Katebi, B.; Ardestani, Z.A.; Bordbar, A. The Moderating Effect of Education Level and Income on Job Performance of Supervising Engineers. Buildings 2025, 15, 397. https://doi.org/10.3390/buildings15030397
Katebi A, Keshtkar-Ghalati A, Katebi B, Ardestani ZA, Bordbar A. The Moderating Effect of Education Level and Income on Job Performance of Supervising Engineers. Buildings. 2025; 15(3):397. https://doi.org/10.3390/buildings15030397
Chicago/Turabian StyleKatebi, Ali, Ahmadreza Keshtkar-Ghalati, Bahareh Katebi, Zahra Alsadat Ardestani, and Ali Bordbar. 2025. "The Moderating Effect of Education Level and Income on Job Performance of Supervising Engineers" Buildings 15, no. 3: 397. https://doi.org/10.3390/buildings15030397
APA StyleKatebi, A., Keshtkar-Ghalati, A., Katebi, B., Ardestani, Z. A., & Bordbar, A. (2025). The Moderating Effect of Education Level and Income on Job Performance of Supervising Engineers. Buildings, 15(3), 397. https://doi.org/10.3390/buildings15030397

