Correction: Tsiatas et al. Static and Dynamic Analysis of Strain Gradient Planar Trusses. Buildings 2024, 14, 4031
- Text Correction 1
- Text Correction 2
- Text Correction 3
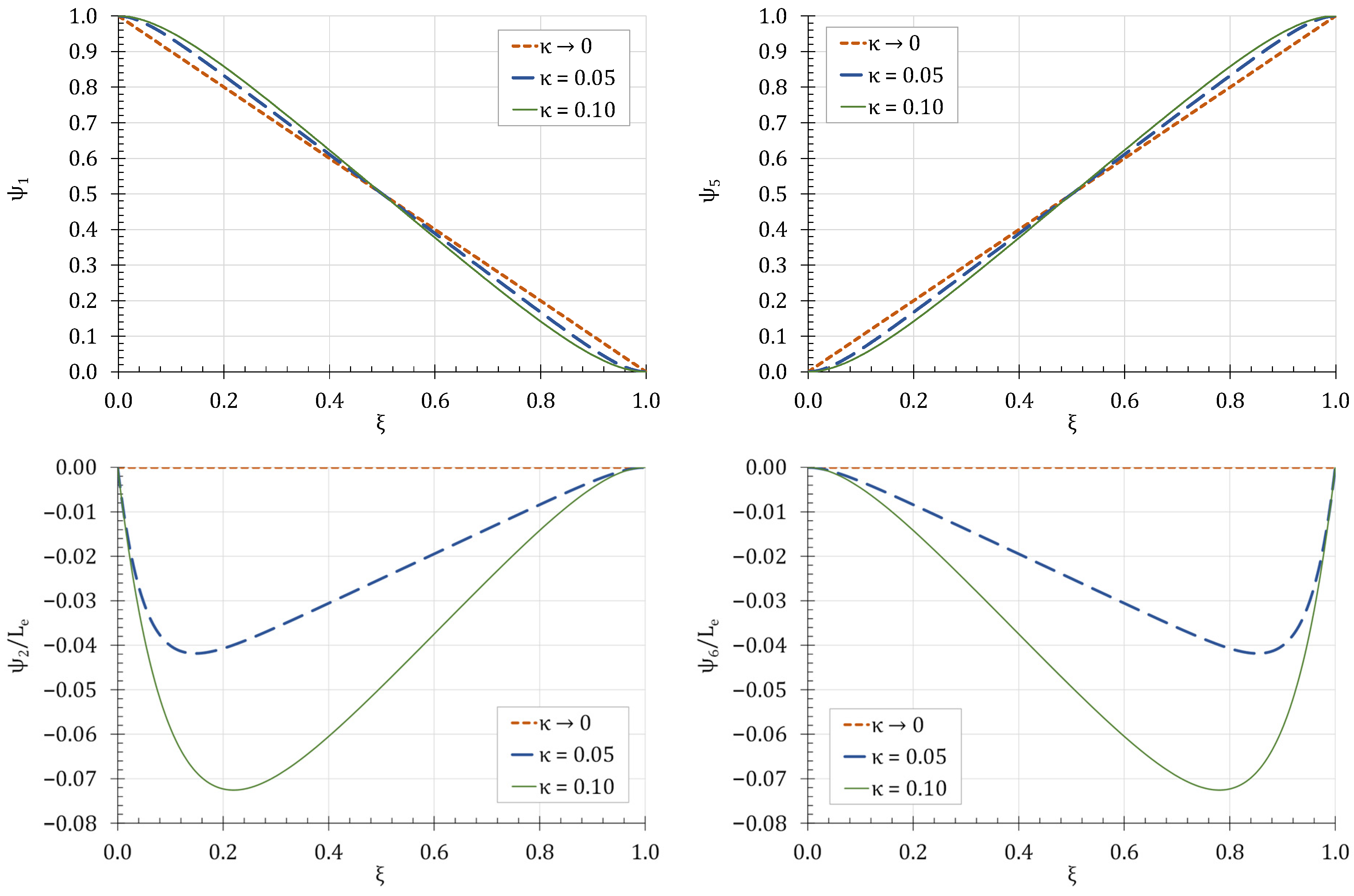
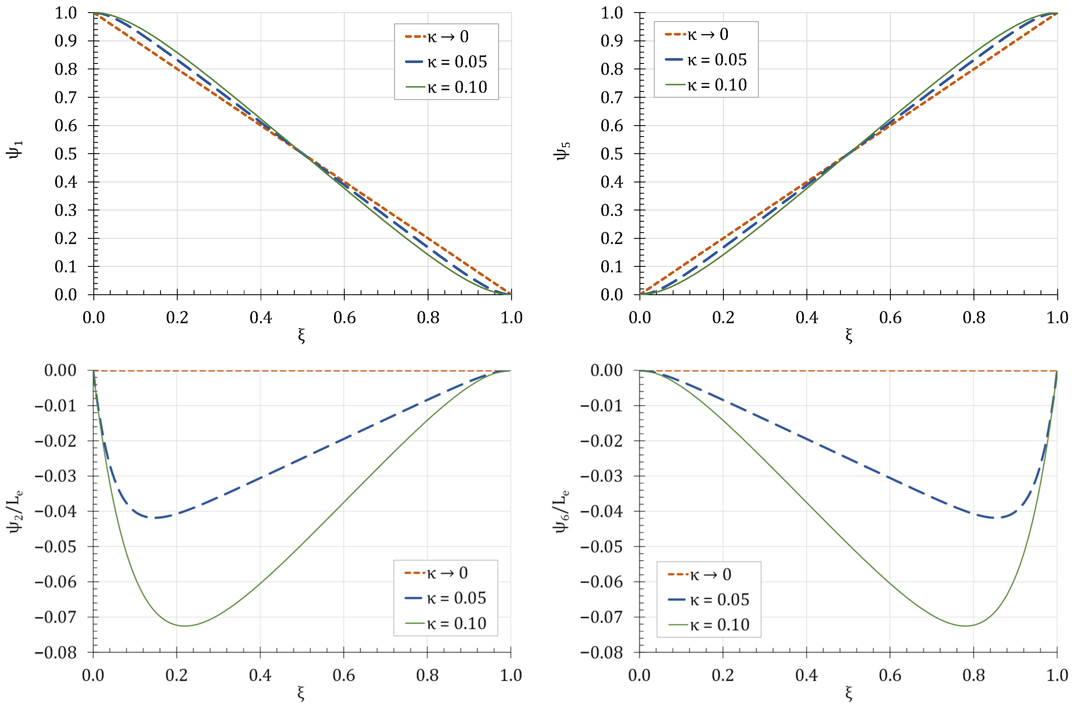
- Error in Figure
- Text Correction 4
- Text Correction 5
- Text Correction 6
- Text Correction 7
- Text Correction 8
- Error in Table
- Reference
Reference
- Tsiatas, G.C.; Charalampakis, A.E.; Giannakopoulos, A.E.; Tsopelas, P. Static and Dynamic Analysis of Strain Gradient Planar Trusses. Buildings 2024, 14, 4031. [Google Scholar] [CrossRef]

| FEM | g = 0.001 | g = 0.1 | g = 0.2 | g = 0.3 | g = 0.4 | g = 0.5 | |
|---|---|---|---|---|---|---|---|
| −0.006821 | −0.006817 | −0.006403 | −0.005984 | −0.005566 | −0.005149 | −0.004735 | |
| - | −0.000364 | −0.000364 | −0.000364 | −0.000364 | −0.000362 | −0.000355 | |
| −0.028799 | −0.028788 | −0.027614 | −0.026429 | −0.025244 | −0.024059 | −0.022880 | |
| −0.034863 | −0.034848 | −0.033423 | −0.031983 | −0.030543 | −0.029104 | −0.027671 | |
| −0.001516 | −0.001516 | −0.001516 | −0.001516 | −0.001516 | −0.001514 |
| n | g = 0.001 | g = 0.1 | g = 0.2 | g = 0.3 | g = 0.4 | g = 0.5 |
|---|---|---|---|---|---|---|
| 1 | 577.970 | 588.199 | 600.109 | 613.669 | 628.893 | 645.734 |
| 2 | 1582.82 | 1622.14 | 1668.00 | 1720.09 | 1778.24 | 1841.69 |
| 3 | 2084.55 | 2112.87 | 2154.76 | 2208.43 | 2272.09 | 2343.45 |
| 4 | 2518.65 | 2527.20 | 2547.72 | 2576.97 | 2611.94 | 2649.96 |
| n | SGE Consistent | CE Consistent | CE Lumped | FEM Lumped |
|---|---|---|---|---|
| 1 | 577.970 | 577.997 | 518.748 | 518.669 |
| 2 | 1582.82 | 1582.69 | 1347.55 | 1347.44 |
| 3 | 2084.55 | 2084.70 | 1596.44 | 1596.27 |
| 4 | 2518.65 | 2518.73 | 1821.88 | 1821.93 |
| n | SGE Consistent | CE Consistent | CE Lumped |
|---|---|---|---|
| 1 | 645.734 | 650.292 | 583.992 |
| 2 | 1841.69 | 1718.49 | 1455.22 |
| 3 | 2343.45 | 2273.35 | 1748.52 |
| 4 | 2649.96 | 2564.37 | 1855.77 |
Disclaimer/Publisher’s Note: The statements, opinions and data contained in all publications are solely those of the individual author(s) and contributor(s) and not of MDPI and/or the editor(s). MDPI and/or the editor(s) disclaim responsibility for any injury to people or property resulting from any ideas, methods, instructions or products referred to in the content. |
© 2025 by the authors. Licensee MDPI, Basel, Switzerland. This article is an open access article distributed under the terms and conditions of the Creative Commons Attribution (CC BY) license (https://creativecommons.org/licenses/by/4.0/).
Share and Cite
Tsiatas, G.C.; Charalampakis, A.E.; Giannakopoulos, A.E.; Tsopelas, P. Correction: Tsiatas et al. Static and Dynamic Analysis of Strain Gradient Planar Trusses. Buildings 2024, 14, 4031. Buildings 2025, 15, 3779. https://doi.org/10.3390/buildings15203779
Tsiatas GC, Charalampakis AE, Giannakopoulos AE, Tsopelas P. Correction: Tsiatas et al. Static and Dynamic Analysis of Strain Gradient Planar Trusses. Buildings 2024, 14, 4031. Buildings. 2025; 15(20):3779. https://doi.org/10.3390/buildings15203779
Chicago/Turabian StyleTsiatas, George C., Aristotelis E. Charalampakis, Antonios E. Giannakopoulos, and Panos Tsopelas. 2025. "Correction: Tsiatas et al. Static and Dynamic Analysis of Strain Gradient Planar Trusses. Buildings 2024, 14, 4031" Buildings 15, no. 20: 3779. https://doi.org/10.3390/buildings15203779
APA StyleTsiatas, G. C., Charalampakis, A. E., Giannakopoulos, A. E., & Tsopelas, P. (2025). Correction: Tsiatas et al. Static and Dynamic Analysis of Strain Gradient Planar Trusses. Buildings 2024, 14, 4031. Buildings, 15(20), 3779. https://doi.org/10.3390/buildings15203779

