Refined Simulation Study of Hydrodynamic Properties and Flow Field Characteristics around Tandem Bridge Piers under Ice-Cover Conditions
Abstract
1. Introduction
2. Numerical Methods and Verification
2.1. Numerical Method
2.2. Verification of Convergence and Flow Conditions
2.3. Verification of Scouring Results and Error Analysis
3. Analysis of the Influence of Hydrodynamic Characteristics around Piers
3.1. Distribution Characteristics of Turbulent Kinetic Energy and Turbulent Velocity
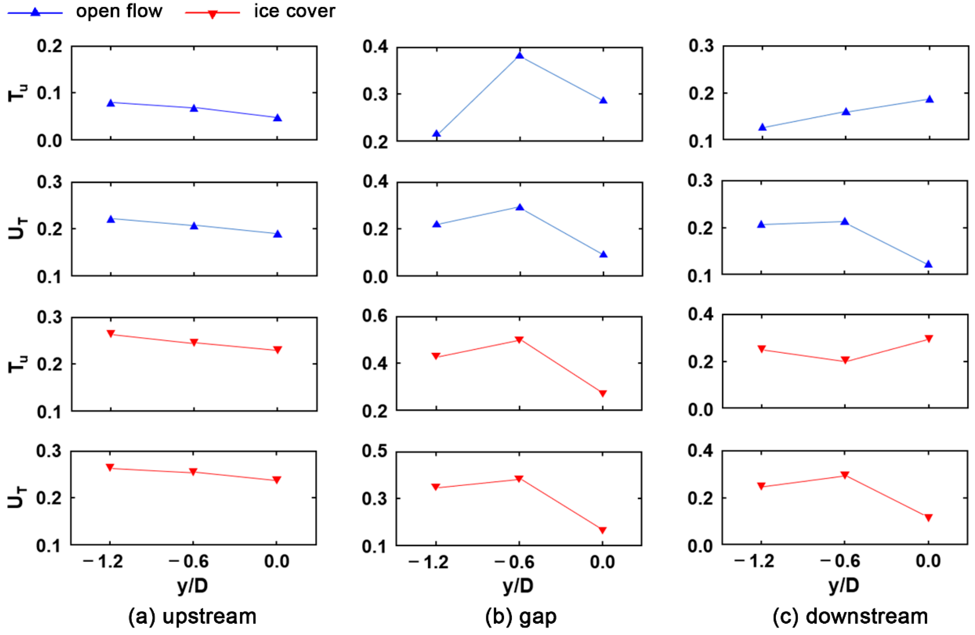
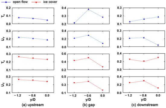
3.2. Evolution Trend in Turbulent Intensity and Combined Velocity
4. Analysis of Spatial and Temporal Characteristics of Flow around Pier
4.1. Tangential Velocity Distribution
4.2. Time-Averaged Eigenvalue Distribution
5. Conclusions
Author Contributions
Funding
Data Availability Statement
Conflicts of Interest
References
- Shih, D.-S.; Shih, S.-S.; Hsu, S.M.; Lin, S.-Y.; Lin, Y.; Hung, C.-T.; Wang, K. A framework for the sustainable risk assessment of in-river hydraulic structures: A case study of Taiwan’s Daan River. J. Hydrol. 2023, 617, 129028. [Google Scholar] [CrossRef]
- Wei, M.; Cheng, N.-S.; Lu, Y. Revisiting the concept of hydraulic radius. J. Hydrol. 2023, 625, 130134. [Google Scholar] [CrossRef]
- Roulund, A.; Sumer, B.M.; Fredsøe, J.; Michelsen, J. Numerical and experimental investigation of flow and scour around a circular pile. J. Fluid Mech. 2005, 534, 351–401. [Google Scholar] [CrossRef]
- Zhang, Q.; Zhou, X.-L.; Wang, J.-H. Numerical investigation of local scour around three adjacent piles with different arrangements under current. Ocean Eng. 2017, 142, 625–638. [Google Scholar] [CrossRef]
- Mittal, S.; Kumar, V.; Raghuvanshi, A. Unsteady incompressible flows past two cylinders in tandem and staggered arrangements. Int. J. Numer. Methods Fluids 1997, 25, 1315–1344. [Google Scholar] [CrossRef]
- Kobayashi, T. 3-D Analysis of Flow around a Vertical Cylinder on a Scoured Bed. In Proceedings of the Coastal Engineering 1992, Venice, Italy, 4 October 1992; pp. 3482–3495. [Google Scholar]
- Carnacina, I.; Leonardi, N.; Pagliara, S. Characteristics of Flow Structure around Cylindrical Bridge Piers in Pressure-Flow Conditions. Water 2019, 11, 2240. [Google Scholar] [CrossRef]
- Kumar, A.; Kothyari, U.C. Three-Dimensional Flow Characteristics within the Scour Hole around Circular Uniform and Compound Piers. J. Hydraul. Eng. 2012, 138, 420–429. [Google Scholar] [CrossRef]
- Kitsikoudis, V.; Kirca, V.S.O.; Yagci, O.; Celik, M.F. Clear-water scour and flow field alteration around an inclined pile. Coast. Eng. 2017, 129, 59–73. [Google Scholar] [CrossRef]
- Kumar, A.; Kothyari, U.C.; Ranga Raju, K.G. Flow structure and scour around circular compound bridge piers—A review. J. Hydro Environ. Res. 2012, 6, 251–265. [Google Scholar] [CrossRef]
- Salaheldin, T.M.; Imran, J.; Chaudhry, M.H. Numerical Modeling of Three-Dimensional Flow Field Around Circular Piers. J. Hydraul. Eng. 2004, 130, 91–100. [Google Scholar] [CrossRef]
- Meneghini, J.R.; Saltara, F.; Siqueira, C.L.R.; Ferrari, J.A. Numerical Simulation of Flow Interference Between Two Circular Cylinders in Tandem and Side-by-Side Arrangements. J. Fluids Struct. 2001, 15, 327–350. [Google Scholar] [CrossRef]
- Guissart, A.; Andrianne, T.; Dimitriadis, G.; Terrapon, V.E. Numerical and experimental study of the flow around a 4:1 rectangular cylinder at moderate Reynolds number. J. Wind Eng. Ind. Aerodyn. 2019, 189, 289–303. [Google Scholar] [CrossRef]
- Kim, H.S.; Nabi, M.; Kimura, I.; Shimizu, Y. Computational modeling of flow and morphodynamics through rigid-emergent vegetation. Adv. Water Resour. 2015, 84, 64–86. [Google Scholar] [CrossRef]
- Le Quéré, P.A.; Nistor, I.; Mohammadian, A. Numerical Modeling of Tsunami-Induced Scouring around a Square Column: Performance Assessment of FLOW-3D and Delft3D. J. Coast. Res. 2020, 36, 1278–1291. [Google Scholar] [CrossRef]
- Zhu, Z.-W.; Liu, Z.-Q. CFD prediction of local scour hole around bridge piers. J. Cent. South Univ. 2012, 19, 273–281. [Google Scholar] [CrossRef]
- Amini Baghbadorani, D.; Ataie-Ashtiani, B.; Beheshti, A.; Hadjzaman, M.; Jamali, M. Prediction of current-induced local scour around complex piers: Review, revisit, and integration. Coast. Eng. 2018, 133, 43–58. [Google Scholar] [CrossRef]
- Laursen, E.M.; Ettema, R.; Melville, B.W. Scale Effect in Pier-Scour Experiments. J. Hydraul. Eng. 1999, 125, 894–895. [Google Scholar] [CrossRef]
- Pandey, M.; Azamathulla, H.M.; Chaudhuri, S.; Pu, J.H.; Pourshahbaz, H. Reduction of time-dependent scour around piers using collars. Ocean Eng. 2020, 213, 107692. [Google Scholar] [CrossRef]
- Zhao, M.; Cheng, L.; Teng, B.; Dong, G. Hydrodynamic forces on dual cylinders of different diameters in steady currents. J. Fluids Struct. 2007, 23, 59–83. [Google Scholar] [CrossRef]
- Gupta, L.K.; Pandey, M.; Anand Raj, P. Numerical simulation of local scour around the pier with and without airfoil collar (AFC) using FLOW-3D. Environ. Fluid Mech. 2023. [Google Scholar] [CrossRef]
- Yang, S.; Lai, X.; Huang, P.; Hu, T. Numerical simulation of local scour of submarine pipeline under reciprocating flow. Mar. Sci. Bull. 2022, 41, 342–348. [Google Scholar] [CrossRef]
- Zhao, M.; Cheng, L.; Teng, B.; Liang, D. Numerical simulation of viscous flow past two circular cylinders of different diameters. Appl. Ocean Res. 2005, 27, 39–55. [Google Scholar] [CrossRef]
- Deng, X.; He, S.; Cao, Z. Numerical investigation of the local scour around a coconut tree root foundation under wave-current joint actions. Ocean Eng. 2022, 245, 110563. [Google Scholar] [CrossRef]
- Baker, C.J. The laminar horseshoe vortex. J. Fluid Mech. 2006, 95, 347–367. [Google Scholar] [CrossRef]
- Chakrabarti, S.K.; McBride, M. Model Tests on Current Forces on a Large Bridge Pier Near an Existing Pier. J. Offshore Mech. Arct. Eng. 2005, 127, 212–219. [Google Scholar] [CrossRef]
- Pournazeri, S.; Li, S.S.; Haghighat, F. An efficient multi-layer model for pier scour computations. Proc. Inst. Civ. Eng.-Water Manag. 2016, 169, 168–179. [Google Scholar] [CrossRef]
- Graf, W.H.; Yulistiyanto, B. Experiments on flow around a cylinder; the velocity and vorticity fields. J. Hydraul. Res. 2010, 36, 637–654. [Google Scholar] [CrossRef]
- Fuhrman, D.R.; Baykal, C.; Mutlu Sumer, B.; Jacobsen, N.G.; Fredsøe, J. Numerical simulation of wave-induced scour and backfilling processes beneath submarine pipelines. Coast. Eng. 2014, 94, 10–22. [Google Scholar] [CrossRef]
- Sumner, D. Two circular cylinders in cross-flow: A review. J. Fluids Struct. 2010, 26, 849–899. [Google Scholar] [CrossRef]
- Khaple, S.; Hanmaiahgari, P.R.; Gaudio, R.; Dey, S. Splitter plate as a flow-altering pier scour countermeasure. Acta Geophys. 2017, 65, 957–975. [Google Scholar] [CrossRef]
- Dey, S.; Raikar, R.V. Characteristics of Horseshoe Vortex in Developing Scour Holes at Piers. J. Hydraul. Eng. 2007, 133, 399–413. [Google Scholar] [CrossRef]
- Graf, W.H.; Istiarto, I. Flow pattern in the scour hole around a cylinder. J. Hydraul. Res. 2010, 40, 13–20. [Google Scholar] [CrossRef]
- Zhou, Y.; Yiu, M.W. Flow structure, momentum and heat transport in a two-tandem-cylinder wake. J. Fluid Mech. 2006, 548, 17–48. [Google Scholar] [CrossRef]
- Guan, D.; Chiew, Y.-M.; Wei, M.; Hsieh, S.-C. Characterization of horseshoe vortex in a developing scour hole at a cylindrical bridge pier. Int. J. Sediment Res. 2019, 34, 118–124. [Google Scholar] [CrossRef]
- Kim, H.S.; Nabi, M.; Kimura, I.; Shimizu, Y. Numerical investigation of local scour at two adjacent cylinders. Adv. Water Resour. 2014, 70, 131–147. [Google Scholar] [CrossRef]
- Debnath, K.; Chaudhuri, S. Effect of suspended sediment concentration on local scour around cylinder for clay–sand mixed sediment beds. Eng. Geol. 2011, 117, 236–245. [Google Scholar] [CrossRef]
- Izadinia, E.; Heidarpour, M. Simultaneous use of cable and collar to prevent local scouring around bridge pier. Int. J. Sediment Res. 2012, 27, 394–401. [Google Scholar] [CrossRef]
- Robert, A.; Tran, T. Mean and turbulent flow fields in a simulated ice-covered channel with a gravel bed: Some laboratory observations. Earth Surf. Process. Landf. 2012, 37, 951–956. [Google Scholar] [CrossRef]
- Zdravkovich, M.M. The effects of interference between circular cylinders in cross flow. J. Fluids Struct. 1987, 1, 239–261. [Google Scholar] [CrossRef]
- Omara, H.; Ookawara, S.; Nassar, K.A.; Masria, A.; Tawfik, A. Assessing local scour at rectangular bridge piers. Ocean Eng. 2022, 266, 112912. [Google Scholar] [CrossRef]






















| Numerical Model | Scour Environment | D/cm | H/cm | V/Vc | Fr | Re |
|---|---|---|---|---|---|---|
| Run 1 | Ice-cover flow | 4.8 | 15 | 0.82 | 0.20 | 11,808 |
| Run 2 | Open-channel flow | 4.8 | 15 | 0.82 | 0.20 | 11,808 |
| Software | Boundary Conditions | ||||
|---|---|---|---|---|---|
| Upstream | Downstream | Free Surface | Floor | Lateral | |
| Flow3D | Grid overlay | Specified pressure | Specified pressure | Wall | Wall |
| Verification Model | Grid Size (m) | Total Cells | Time Step (s) | Pressure Iteration (max) | Run Time (h) | Elapsed Time (h) | Iteration Residual | Convergence Speed |
|---|---|---|---|---|---|---|---|---|
| 1 | 0.020 | 12 × 104 | 0.010 | 1 | 0.5 | 3 | 10−4 | fast |
| 2 | 0.010 | 80 × 104 | 0.010 | 3 | 0.5 | 10 | 10−6 | normal |
| 3 | 0.005 | 450 × 104 | 0.010 | 10 | 0.5 | 42 | 10−5 | slow |
| 4 | 0.010 | 80 × 104 | 0.005 | 5 | 0.5 | 31 | 10−6 | slow |
Disclaimer/Publisher’s Note: The statements, opinions and data contained in all publications are solely those of the individual author(s) and contributor(s) and not of MDPI and/or the editor(s). MDPI and/or the editor(s) disclaim responsibility for any injury to people or property resulting from any ideas, methods, instructions or products referred to in the content. |
© 2024 by the authors. Licensee MDPI, Basel, Switzerland. This article is an open access article distributed under the terms and conditions of the Creative Commons Attribution (CC BY) license (https://creativecommons.org/licenses/by/4.0/).
Share and Cite
Gao, P.; Mou, X.; Ji, H.; Gao, F.; Su, H.; Gao, L.; Shang, Z.; Chang, L.; Che, M. Refined Simulation Study of Hydrodynamic Properties and Flow Field Characteristics around Tandem Bridge Piers under Ice-Cover Conditions. Buildings 2024, 14, 2853. https://doi.org/10.3390/buildings14092853
Gao P, Mou X, Ji H, Gao F, Su H, Gao L, Shang Z, Chang L, Che M. Refined Simulation Study of Hydrodynamic Properties and Flow Field Characteristics around Tandem Bridge Piers under Ice-Cover Conditions. Buildings. 2024; 14(9):2853. https://doi.org/10.3390/buildings14092853
Chicago/Turabian StyleGao, Pengcheng, Xianyou Mou, Honglan Ji, Feng Gao, Haitao Su, Lina Gao, Zhiqiang Shang, Lei Chang, and Mingnan Che. 2024. "Refined Simulation Study of Hydrodynamic Properties and Flow Field Characteristics around Tandem Bridge Piers under Ice-Cover Conditions" Buildings 14, no. 9: 2853. https://doi.org/10.3390/buildings14092853
APA StyleGao, P., Mou, X., Ji, H., Gao, F., Su, H., Gao, L., Shang, Z., Chang, L., & Che, M. (2024). Refined Simulation Study of Hydrodynamic Properties and Flow Field Characteristics around Tandem Bridge Piers under Ice-Cover Conditions. Buildings, 14(9), 2853. https://doi.org/10.3390/buildings14092853

