Next Article in Journal
Mapping the Digital Transformation Maturity of the Building Construction Industry Using Structural Equation Modeling
Previous Article in Journal
Enhancing Underground Thermal Environments in Cairo: The Role of Subway Entrance Geometry in Optimizing Natural Ventilation
Previous Article in Special Issue
Study of the Dynamic Reaction Mechanism of the Cable-Stayed Tube Bridge under Earthquake Action
 
 
Font Type:
Arial Georgia Verdana
Font Size:
Aa Aa Aa
Line Spacing:
Column Width:
Background:
Article

The Fluid Behavior of a Non-Orifice TLCD under Harmonic Excitation: From Experiments to Analytical Solution

1
Department of Mechanical Engineering, Istanbul Technical University, Istanbul 34437, Türkiye
2
Department of Mechanical Engineering, Turkish German University, Istanbul 34820, Türkiye
3
Department of Mechanical Engineering, Sakarya University, Sakarya 54050, Türkiye
4
Department of Machine and Metal Technologies, Sakarya University of Applied Sciences, Sakarya 54300, Türkiye
*
Author to whom correspondence should be addressed.
Buildings 2024, 14(9), 2782; https://doi.org/10.3390/buildings14092782
Submission received: 19 July 2024 / Revised: 24 August 2024 / Accepted: 27 August 2024 / Published: 4 September 2024
(This article belongs to the Special Issue Structural Vibration Control Research)

Abstract

Tuned liquid column damper (TLCD) is a well-known liquid damper designed to absorb the vibration of structures used in many applications, such as high-story buildings, wind turbines, and offshore platforms, requiring an accurate mathematical determination of the liquid level to model the TLCD structure system motion. The mathematical model of a TLCD is a nonlinear ordinary differential equation, unlike the structure, due to the term containing a viscous damping coefficient, and cannot be solved analytically. In this study, the fluid behavior of a TLCD without an orifice, directly connected to a shaking table under harmonic excitation, was investigated experimentally and a new linearization coefficient was proposed to be used in the mathematical model. First, the nonlinear mathematical model was transformed to a nondimensional form to better analyze the parameter relations, focusing on the steady-state amplitude of the liquid level during the harmonic excitation. The experimental data were then processed using the fourth-order Runge–Kutta method, and a correlation to calculate the viscous damping coefficient was proposed in the dimensionless form. Accordingly, a novel empirical model was proposed for the dimensionless steady-state amplitude of the liquid level using this correlation. Finally, with the help of the proposed correlation and the empirical model, an original linearization coefficient was introduced which does not need experimental data. The nonlinear mathematical model was linearized by using the developed linearization coefficient and solved analytically using the Laplace transform method. The study presents a generalized method for the analytical determination of the liquid level in a non-orifice TLCD under harmonic excitation, using a correlation and an empirical model proposed for the first time in this study, providing a novel and simple solution to be used in the examination of various TLCD structure systems.

1. Introduction

Various natural external effects on structures cause the structure to exhibit vibration behavior. These external effects can be disturbances such as wind, which exerts forces on the structure independent of its mass [1], or inertial forces, such as an earthquake, which has an effect depending on the mass of the structure [2]. If these vibrations exceed certain limits, destructive consequences might occur. Nowadays, thanks to advancing technology, building high-story structures has become possible. On the other hand, it has become even more important to take precautions against these natural effects. For this reason, various passive vibration damping systems have been developed to suppress vibrations affected on structures.
One of these systems is the tuned liquid column damper (TLCD) proposed by Sakai in 1989 [3]. TLCDs are a U-shaped pipe system consisting of two vertical and one horizontal column containing liquid. A TLCD fixed to the structure can reduce the vibration of the structure with the help of the fluid movement in the opposite direction of the structure’s motion. However, increasing its effectiveness depends on the parameters of the TLCD, which need to be adjusted according to the structure [4]. In order to characterize the TLCD or investigate the design principles, these parameters should be defined as dimensionless parameters [5,6].
These dimensionless parameters can be categorized into three groups: The first group is the parameters defined by the relationship between the TLCD and the structure, which are the mass ratio, defined as the ratio of the mass of the liquid to the mass of the structure, and the natural frequency ratio, defined as the ratio of the natural frequency of the TLCD to those of the structure. The second group consists of parameters related to the TLCD itself. These parameters are the length ratio, defined as the ratio of the horizontal column length to the total liquid length, and the viscous damping coefficient, which comprises the viscous losses during oscillation. The third group is the parameters defined by the relationship between the TLCD and the excitation. These parameters are the dimensionless excitation acceleration amplitude and the excitation frequency ratio. The optimum values of these parameters [7,8] and their relations [5,9] are widely studied in the literature.
Different from the studies on the TLCD structure system above, there are also studies directly focusing on the fluid behavior of TLCDs under external effects. These studies mostly involve a TLCD directly connected to a shaking table and excited with harmonic excitation, and the mathematical model is investigated. The mathematical model under any harmonic excitation is a second order, nonlinear, inhomogeneous ordinary differential equation. The dimensionless parameters in that equation are the length ratio, the viscous damping coefficient, the dimensionless excitation acceleration amplitude and the excitation frequency ratio [6]. Among the dimensionless parameters associated with TLCD, the length ratio is independent of the other parameters. Among other dependent parameters, the viscous damping coefficient shows a complex characteristic according to the principles of fluid mechanics. Viscous losses in internal flows depend on the thermophysical properties of the fluid, the properties of the pipe (local losses or roughness), as well as the regime of the flow (turbulence or laminar). The dimensionless number that determines the regime of the flow and the viscous losses is known as the Reynolds number. The Reynolds number is also related to the velocity term of the fluid. Hence, the viscous damping coefficient is also dependent on the fluid velocity [10]. Moreover, the term involving the viscous damping coefficient is a nonlinear term in the mathematical equation representing the motion of fluid in TLCDs, and it makes the direct solution of the equation impossible. Alternatively, the equation can be solved using various numerical methods such as Euler’s method, high-order Taylor methods, and Runge–Kutta methods [11,12].
In most of the studies on TLCDs, the viscous damping coefficient is considered as a constant number and its optimum value is determined [13]. On the other hand, there are studies investigating the effect of the viscous damping coefficient on the damping of structural vibration. Serbes et al. (2023) reported in a numerical study that viscous damping coefficient values less than 10 are highly effective on structural vibration damping. Accordingly, an increase in the viscous damping coefficient enhances the damping performance at excitation frequencies close to resonance while deteriorating the damping performance in regions far from resonance [14].
In studies on TLCDs with orifices, the viscous damping coefficient is directly related to the orifice opening ratio and considered independent of other system parameters, such as in the study by Wu (2005) [6] and Min et al. (2015) [15], where they proposed viscous damping coefficient correlations for TLCDs with orifices based on the orifice opening ratio. In addition, Yu et al. (2017) proposed a correlation of the viscous damping coefficient with other dimensionless parameters besides the orifice opening ratio for TLCDs with orifices [16]. The accurate determination of the viscous damping coefficient plays a vital role in the linearization of the equation and in reaching its approximate analytical solution. Various methods are used to determine the optimum number of the viscous damping coefficient, such as those used by Gao et al. (1997), who used an energy-based method [4], and Yalla et al. (2000), who used a statistical method [17] to linearize the nonlinear term in the equation.
As for non-orifice TLCDs, Hitchcock et al. (1997) investigated viscous losses in a non-orifice TLCD using liquids with different viscosities and observed that the viscous damping coefficient increases with increasing excitation amplitude [18]. Colwell et al. (2008) experimentally investigated the relationship between the viscous damping coefficient and other system parameters in TLCDs and numerically optimized the viscous damping coefficient for different liquids in non-orifice TLCDs [19]. Di Matteo et al. (2014) used two non-orifice TLCDs, assumed the viscous damping coefficient to be constant, and compared it with numerical results. Then, they linearized the mathematical model and proposed a new analytical model [20]. In another study conducted in 2020, Das et al. performed a CFD analysis of a non-orifice TLCD under turbulent conditions to investigate the sloshing effect and validated it with experimental results. In this study, they obtained the results related to the maximum value of the TLCD liquid level at different excitation frequencies under a constant excitation amplitude [21].
Moreover, some innovative TLCD designs do not use an orifice. In some designs, such as the bidirectional TLCD [22] and the TLCD with a magnetorheological damper [23], the orifice is completely removed. In some designs, such as the tuned liquid column ball damper [24] and the spring-controlled modified tuned liquid column ball damper [25], new components are added to replace the removed orifice. Regarding those innovative designs, it is important to study the non-orifice TLCD, which represents the basic form of the TLCD mathematical model.
To the authors’ knowledge, the fluid behavior of a non-orifice TLCD under harmonic excitation has not been extensively analyzed in the literature using a nondimensionalization approach. The aim of this study is to investigate the behavior of a non-orifice TLCD fluid under harmonic excitation at different length ratios, acceleration amplitudes, and frequencies. The behavior of non-orifice TLCDs is characterized by the viscous damping coefficient and the maximum liquid level during the steady-state condition under harmonic excitation. The following contributions are introduced to the literature for the interest of researchers working on TLCDs:
  • A novel correlation predicting the viscous damping coefficient for any frequency, amplitude and length ratio, within the ranges considered in the study, is proposed by using the experimental data;
  • An original empirical model is developed predicting the steady-state amplitude of the liquid level under harmonic excitation;
  • The linearization coefficient of the mathematical model of a TLCD liquid motion under harmonic excitation proposed by Wu (2005) [6] is updated for non-orifice TLCDs by using the proposed correlation and empirical model. As a result, the coefficient isindependent of the steady-state amplitude of the liquid level, allowing the analytical solution to be solved without the need for any experimental tests unlike the method proposed by Wu (2005).

2. Theoretical Background

In this section, the mathematical model describing the behavior of TLCDs and the dimensionless mathematical model are explained. Figure 1 shows a schematic representation of a TLCD fixed to a shaking table.
As shown in Figure 1, t , x ( t ) , y ( t ) , L , and L h represent time, the horizontal position of the shaking table, the TLCD liquid level in reference to the liquid-free surface (shown with a dashed line in Figure 1), the total liquid length of the TLCD, and the horizontal column length of the TLCD, respectively.

2.1. Mathematical Model

As for the mathematical model of the TLCD under shaking table excitation, Equation (1) is used, which is the fundemantal equation of a TLCD derived from the Lagrange’s equation [6].
ρ A L y ¨ + 0.5 ρ A η y ˙ y ˙ + 2 ρ A g y = ρ A L h x ¨
ρ , A , η , and g represent the density of the fluid, the cross-sectional area of the TLCD pipe, the viscous damping coefficient of the fluid, and the gravitational acceleration, respectively. As can be seen, the equation is a mathematical model of a mass–spring–damper system with a nonlinear damper coefficient, where the inertial force from the shaking table is applied as the excitation. Accordingly, the first, second, and third terms on the left side of the equation represent the mass, the nonlinear damper, and the spring, respectively. The excitation is the inertial force acting on the fluid by the shaking table. As the motion of the shaking table is horizontal, the force only acts on the horizontal column of the liquid, which is expressed in the right-hand side of the equation. The displacement input of the shaking table is provided in Equation (2) as a harmonic displacement.
x ( t ) = x m s i n ( ω t )
x m and ω are the displacement amplitude and excitation frequency of the shaking table, respectively. The same equation can be expressed as acceleration in Equation (3).
x ¨ ( t ) = ω 2 x m s i n ( ω t )
If Equation (3) is substituted into Equation (1), the mathematical model of the system under harmonic excitation is obtained, as shown in Equation (4).
y ¨ + 0.5 ( 1 / L ) η y ˙ y ˙ + ( 2 g / L ) y = ( L h / L ) ω 2 x m s i n ( ω t )
There are six independent variables in Equation (4), namely L , η , g , L h , ω , and x m . The natural frequency and natural period of the system are provided in Equations (5) and (6), respectively.
ω n = 2 g / L
T n = 2 π L / 2 g
The response of the system, denoted as y ( t ) , is supposed to show a periodic behavior under a harmonic excitation after a certain time interval, called the steady-state condition. To express the amplitude of the liquid level at the steady-state condition, a parameter is identified, called hereafter as y s s a .

2.2. Nondimensionalization

The mathematical model obtained in Equation (4) is a dimensional mathematical model of the system. In order to obtain a more general form of the equation, Equation (4) is nondimensionalized with various dimensional parameters as provided in Equations (7)–(11).
T = t / T n
Y = y / L h
α = L h / L
β = ω / ω n
θ = x m L h β 2
T , Y , α , β , and θ are the dimensionless time, the dimensionless TLCD liquid level, the length ratio, the excitation frequency ratio, and the dimensionless excitation acceleration amplitude, respectively. The general dimensionless form of the mathematical model is provided in Equation (12).
Y ¨ + 0.5 α η Y ˙ Y ˙ + 4 π 2 Y = 4 π 2 α θ s i n ( 2 π β T )
In addition, the steady-state amplitude of the liquid level is also nondimensionalized, as in Equation (13).
Y s s a = y s s a L h
In Equation (12), the variables are reduced from six to four, namely α , β , θ , and η . The parameters of α , β , and θ are set as independent variables. The viscous damping coefficient, η , is considered as the focus of the study, and its relationship with those three independent parameters will be investigated throughout the paper.

2.3. Bounds of Dimensionless Parameters

In this section, theoretical intervals of the variables are discussed. Considering the length ratio of the TLCD, α , having a value of zero means the TLCD only consists of two vertical columns with no horizontal one, which means it shows no damping effect. In the case where α = 1 , the TLCD only consists of a horizontal column with no vertical columns, which means it is not possible for the liquid to rise in the vertical columns. Both cases are the boundaries of the physical conditions of the TLCD, and α only can take a value between 0 and 1 . As for β , representing the frequency, there is no theoretical upper bound. In practice, the maximum excitation frequency the shaking table can deliver determines the upper bound of β . This upper bound is represented by β m a x ( s t ) , to emphasize that the limit depends on the capacity of the shaking table. The bounds of θ , representing the acceleration amplitude, are limited with the capacity of the shaking table as well since the maximum displacement of the shaking table is limited. As the frequency decreases for the same θ , the stroke of the shaking table needs to be larger. Thus, the limit of θ decreases with a decreasing β value. Since the limit of θ varies depending on the capacity of the shaking table, its value is denoted as θ m a x ( s t ) as well. The lower limit value of θ is zero, since the excitation amplitude cannot take a negative value. As for the limits of η , there is no upper limit. The theoretical lower limit is zero, which corresponds the theoretical condition where viscous friction is neglected.
In short, the bounds of the length ratio are expressed as 0 < α < 1 , while the excitation frequency ratio is within the range 0 < β < β m a x ( s t ) . As for the bounds of the dimensionless excitation acceleration amplitude, it is located in the range 0 < θ < θ m a x ( s t ) . Lastly, the viscous damping coefficient is in the range 0 < η < .

3. Numerical Method

In this section, the numerical solution of the mathematical model provided by Equation (12) is presented using the fourth-order Runge–Kutta method. The aforementioned equation is nonlinear and not suitable for an analytical solution. Therefore, it was solved numerically. As a first step, the mathematical model consisting of one second-order differential equation was transformed into two first-order differential equations using transformations of Y 1 = Y and Y 2 = Y ˙ . As a result, Equation (12) becomes the system of equations expressed in Equations (14) and (15).
Y ˙ 1 = Y 2
Y ˙ 2 = 4 π 2 Y 1 0.5 α η Y 2 Y 2 + 4 π 2 α θ s i n ( 2 π β T )
Since the dimensionless TLCD liquid level and velocity at the initial time ( T = 0 ) are zero, the initial values of the system of equations, Y 1 ( 0 ) and Y 2 ( 0 ) , are zero. If the right-hand sides of Equations (14) and (15) are set equal to the functions F k and F l , respectively, Equations (16) and (17) are obtained. In the fourth-order Runge–Kutta algorithm, h represents the dimensionless time step, the j index represents the value at the current time, and the j + 1 index represents the value of the next time step.
F k T , Y 1 , Y 2 = Y 2
F l T , Y 1 , Y 2 = 4 π 2 Y 1 0.5 α η Y 2 Y 2 + 4 π 2 α θ s i n ( 2 π β T )
k 1 4 and l 1 4 coefficients used in the algorithm of the fourth order Runge–Kutta method are provided in Equations (18)–(25).
k 1 = F k ( T j , Y 1 j , Y 2 j )
l 1 = F l ( T j , Y 1 j , Y 2 j )
k 2 = F k ( T j + h 2 ,   Y 1 j + h k 1 2 , Y 2 j + h l 1 2 )
l 2 = F l ( T j + h 2 ,   Y 1 j + h k 1 2 , Y 2 j + h l 1 2 )
k 3 = F k ( T j + h 2 ,   Y 1 j + h k 2 2 , Y 2 j + h l 2 2 )
l 3 = F l ( T j + h 2 ,   Y 1 j + h k 2 2 , Y 2 j + h l 2 2 )
k 4 = F k ( T j + h ,   Y 1 j + h k 3 , Y 2 j + h l 3 )
l 4 = F l ( T j + h ,   Y 1 j + h k 3 , Y 2 j + h l 3 )
The values of Y 1 ( j + 1 ) and Y 2 ( j + 1 ) at time step j + 1 are provided in Equations (26) and (27).
Y 1 j + 1 = Y 1 j + h 6 ( k 1 + 2 k 2 + 2 k 3 + k 4 )
Y 2 j + 1 = Y 2 j + h 6 ( l 1 + 2 l 2 + 2 l 3 + l 4 )
Thus, the algorithm was completed. The script code of the algorithm was generated using MATLAB R2022a software with a dimensionless time step of h = 0.05 in the range of T = 0 50 . Then, the equation was solved numerically. The obtained result is Y 1 ( T ) , which gives the liquid level value. From the maximum value of Y 1 ( T ) in the last five periods, the dimensionless steady-state amplitude of the liquid level, Y s s a , was found. The mathematical model was also calculated under the same conditions using the MATLAB SIMULINK toolbox. The relative error between the two calculations was measured as 0.03 % during the verification of the MATLAB script code.

4. Experimental Setup

The six-degrees-of-freedom (DOF) shaking table (Stewart platform) at Sakarya University’s SARGEM Research Center was used in the experimental study. A close shot of the SMotion 3000 shaking table produced by SANLAB located in Istanbul, Türkiye, is shown in Figure 2. The shaking table is 250 cm wide and 250 cm long. With a 2000 kg net and 3000 kg gross moving load capacity, the maximum displacement of the shaking table is 0.34 m, and the maximum speed it can reach is 0.7 m/s. The device has a nominal operating power of 6 kW, and has a six-axis movement capability. The displacement input can be provided as a sinusoidal function at desired frequencies and amplitudes. Before the experimental study, the accuracy of the amplitudes and frequencies of the displacement inputs obtained from the shaking table were tested. A 4533-B-002 model uniaxial accelerometer produced by Bruel&Kjaer located in Virum, Denmark with a wide frequency range was used to ensure the accuracy of the shaking table.
The TLCD used in the experiments was made of transparent plexiglass material with an inner diameter of 150 mm. The horizontal column length of the TLCD was L h = 0.84 m. To stabilize the TLCD during tests, it was fixed to a 30 × 30 mm sigma profile frame using clamps. Figure 3 shows the TLCD setup over the shaking table.
Water was used as the TLCD liquid, and its height was measured using images from video recordings of the experiments. Therefore, a white paper was wrapped around the right vertical column of the TLCD, and black stripes with a spacing of 5 mm were marked on the paper with an accuracy of ± 2.5 mm.

5. Experimental Procedure

Before starting the experiments, the bounds of the parameters representing the ratio of the horizontal fluid column length to the total fluid length, called length ratio, α , and the dimensionless excitation frequency ratio, called β , were defined. Since the same TLCD was used in the experiments, the horizontal column length, represented by L h , was constant throughout the study. α was adjusted by varying the total liquid length. The test points for α were set to 0.4 , 0.45 , and 0.5 , and for β , they were set to 0.8 , 0.9 , 1 , 1.1 , and 1.2 . The center point of the bounds for β was set to 1 , where the damping efficiency of the TLCD is at the maximum [4]. The bounds for the dimensionless excitation acceleration amplitude, called θ , was initially set to 0 < θ < θ m a x ( s t ) . θ m a x ( s t ) is the dimensionless amplitude of the maximum acceleration that the shaking table can deliver. This value is obtained by substituting the maximum displacement capacity of the shaking table with the displacement amplitude, x m , in Equation (11). The maximum displacement capacity of the shaking table was 0.34 m, which was set to 0.336 m in this study to avoid limits. Thus, θ m a x ( s t ) was calculated for each β value based on Equation (11). However, at values of the excitation frequency ratio, β , close to resonance, it was observed that above a certain value of θ , the TLCD fluid dropped down and reached the elbow joint of the TLCD tube. In this case, L h for Equation (4) and hence α for Equation (12) lose their constant characteristics, and thus the corresponding variables lose their validity. So, the highest value of the dimensionless excitation amplitude, θ , needs to be determined using two conditions: the capacity limit of the shaking table or the test condition preventing the liquid from reaching the elbow joint of the tube. For each excitation frequency ratio, β , the displacement input of the shaking table, x m , can be calculated using Equation (11) based on the dimensionless excitation amplitude, θ . Then, for each pair of α and β , experiments were conducted in which the displacement of the shaking table was gradually increased. In case the TLCD fluid exceeded the elbow joint of the tube, the dimensionless excitation acceleration amplitude input was defined as θ m a x ( t j ) . In case the corresponding displacement value of the θ value reached the limits of the shaking table, the dimensionless excitation acceleration amplitude input was defined as θ m a x ( s t ) . The θ m a x value of each parameter for a given α and β pair and their limiting cases, denoted as “st” and “tj” for the shaking table or tube joint, respectively, is presented in Table 1.
After determining the θ m a x values, test points for θ were determined. For this purpose, six or seven θ values less than θ m a x were set for each α and β pair. The steady-state amplitude of the liquid level, called y s s a , is defined as the output parameter for experiments. To ensure the steady-state conditions, each test was conducted for 100 s. Each experiment was recorded with a 12 MP resolution using a 60 fps video camera. Then, the last 10 s of each video was converted into discrete images via MATLAB code. The exact y s s a values, which are the maximum rising levels of the fluid in the steady-state condition, were obtained by looking at the stripes in the discrete images. The y s s a has a crucial importance in evaluating the input parameters since it is the only measured output parameter uncovering the behavior of the fluid. Then, the obtained y s s a values were converted to the dimensionless steady-state amplitude, Y s s a , by dividing the horizontal column length, L h .
As for the repeatability of the experiments, the repeatability tests were examined in the cases of α = 0.5 , β = 1 , and θ = 0.09 . The same experiment was repeated ten times, and it was determined that the results of the experiments were within the precision limit of ± 2.5 mm.

6. Results and Discussion

All the points of experiments are converted to the chart showing the relation between α , β , and θ parameters with Y s s a . As mentioned, α is related to the total fluid length of the TLCD. β is related to the excitation frequency, while θ is related to the excitation acceleration amplitude. As for Y s s a , it is related to the liquid level. Figure 4 shows the Y s s a values depending on θ for different values of β for α = 0.4 , α = 0.45 , and α = 0.5 , respectively.
The following remarks are presented regarding the results:
  • As the excitation frequency ratio, β , approaches resonance, the sensitivity of Y s s a to θ increases;
  • The larger length ratio, α , values slightly increase the slope of the Y s s a θ curve;
  • Y s s a θ curves are more sensitive to the excitation frequency ratio rather than the length ratio;
  • In the case where the excitation frequency ratio is greater than one, the shifting of the curve to the right is greater than in the case where the excitation frequency ratio is smaller than one. If the system exhibited a linear mass–spring–damper system behavior, the shifting would be expected to be equal [26]. This situation indicates that the viscous damping force is more dominant in the region where the excitation frequency ratio is larger than one.
In addition, Y s s a settles to a limit value in several cases, such as β = 1.1 and β = 1.2 at α = 0.45 , and for β = 1.2 at α = 0.4 and α = 0.5 . Initially, this situation appeared to be related to the distance of the test point from the resonance frequency ( β = 1 ). In order to ensure this behavior is associated with this distance, extra tests were conducted at the value of β = 0.6 and β = 1.4 for α = 0.45 . Tests were conducted at the limit of the shaking table, represented by the parameter θ m a x ( s t ) , for both β values. The results are plotted for β = 0.6 , β = 1.1 , β = 1.2 , and β = 1.4 at α = 0.45 in Figure 5.
It is clearly seen in Figure 5 that the dimensionless steady-state amplitude of the liquid level, Y s s a , becomes independent of the dimensionless excitation acceleration amplitude, θ , after a certain value of θ , converging to a limit value. This limit value of steady-state amplitude of the liquid level is represented by the parameter y s s a ( l i m ) , along with its dimensionless form called Y s s a ( l i m ) , and the corresponding θ value is expressed as θ l i m . This finding is one of the important contributions of this study to the literature on TLCDs.
This behavior is more visible in the region where the excitation frequency ratio is greater than one. The reason is that the shaking table can produce higher excitation acceleration amplitude, θ , values, as the required stroke length of the shaking table is inversely proportional to the square of the excitation frequency ratio, β , according to Equation (11).
The reason why Y s s a ( l i m ) cannot be observed in the case of β = 0.6 is that θ m a x ( s t ) is smaller than the limit value, θ l i m , as the shaking table cannot produce a higher excitation acceleration amplitude. Similarly, when the excitation frequency ratio is close to one, the liquid reaches tube joint limits, which is another condition, limiting the dimensionless excitation acceleration amplitude where it cannot reach its limit value, θ l i m . The following concluding remarks can be made accordingly:
  • In regions of the excitation frequency ratio close to resonance, the dimensionless excitation acceleration amplitude limit of the tube joint, represented by θ m a x ( t j ) , is limiting the test condition. Thus, Y s s a ( l i m ) , and hence θ l i m cannot be observed;
  • In regions of the excitation frequency far from resonance, fortunately, the tube joint does not limit the test boundaries. Y s s a ( l i m ) , and therefore θ l i m can be extracted as long as the condition θ l i m < θ m a x ( s t ) is satisfied;
  • In the presence of Y s s a ( l i m ) , as one moves away from the resonance region, Y s s a ( l i m ) decreases while θ l i m increases.

7. Determination of Viscous Damping Coefficient

In this section, the viscous damping coefficient values of the experiments, represented by η , were extracted using the numerical solution code prepared in Section 3. The data obtained from experiments cover the range of β between 0.8 1.2 . The data for β = 0.6 and β = 1.4 were excluded for the ease of analysis, as it was only generated for the evaluation of Y s s a ( l i m ) . Accordingly, the solution code generated in Section 3 was put into a loop with incremented η values. For the cases where the excitation frequency ratio, β , was equal to one, the increment was set to 0.001 , and for the remaining cases 0.01 increments were used. This is due to the high sensitivity of the dimensionless excitation acceleration amplitude, θ , to the dimensionless steady-state amplitude of the liquid level, Y s s a , at the resonant frequency which necessitates a precise determination of η . At each step of the loop, the numerically determined Y s s a was compared with the experimental one. The η value was predicted, satisfying the minimum absolute error with the experiments. After the determination of the viscous damping coefficient, η , it was revealed that η is independent of θ under the condition θ < θ l i m for a given α and β value. On the contrary, η changes with θ if this condition is not satisfied. Then, η was recalculated along the incremented θ values at a given pair of α and β , minimizing the error regarding Y s s a under the condition θ < θ l i m . The recalculated η values for each α and β pair are provided in Table 2.
According to the results, the lowest η value is observed at the resonance frequency. This value tends to exhibit an accelerating growth as one moves away from the resonance region. Another important finding is that the viscous damping coefficient is significantly more sensitive to β than α . These two findings are highly critical for predicting the viscous damping coefficient in non-orifice TLCDs.
Based on the data in Table 2, a viscous damping coefficient correlation form was derived for the range of 0.4 to 0.5 and 0.8 to 1.2 for α and β , respectively, valid for θ < θ l i m or θ < θ m a x ( t j ) conditions. The correlation is converted to a dimensionless form with respect to the viscous damping coefficient at the resonance frequency, denoted as η r . The correlation form is provided in Equation (28).
η η r ( β ) = a 1 β 3 + b 1 β 2 + 1
The coefficients a and b are the correlation coefficients. The right-hand side of the equation containing the term 1 β reflects that η increases with the distance to the resonance point. The length ratio, α , is not included as a parameter in the correlation because it is already accounted for in the viscous damping coefficient at the resonance point, η r , generated for each α . This dimensionless correlation is generated in a more general form to be used for TLCDs with different diameters, cross-sections, and/or TLCDs having liquids with different viscosities. The correlation inherently results in a value of one at β = 1, reaching a local minimum, and it is formed in a piecewise form, having separate functions for the cases β 1 and β > 1 . This is because the change of the viscous damping coefficient is not symmetric with respect to the resonance point, even though the curve characteristic is similar.
Following the derivation of the correlation form, coefficients for all intermediate values of α in the range 0.4 0.5 were obtained. For this purpose, the optimal value of η / η r was determined for each excitation frequency ratio value from all experiments under θ < θ l i m or θ < θ m a x ( t j ) conditions. For each α value, the η at β = 1 in Table 2 is taken as the η r . The η / η r values were calculated for each β , satisfying all θ and α values under θ < θ l i m or θ < θ m a x ( t j ) by using a numerical loop incrementing η / η r by 0.0001, which minimizes the error of the Y s s a value regarding the experimental results. Accordingly, the η / η r values were obtained for values where the excitation frequency ratio is equal to 0.8 , 0.9 , 1.1 , and 1.2 , as equal to 2.1646, 1.1506, 1.2552, and 1.8868, respectively. Finally, the correlation provided by Equation (29) was obtained with curve-fitting applied to three points on both sides sharing the value at β = 1 .
η η r β = 140.55   1 β 3 + 1.005   1 β 2 + 1 ,       β 1 33.5   1 β 3 + 28.87   1 β 2 + 1 ,       β > 1  
The correlation of η η r β provided by Equation (29) is plotted in Figure 6.
Then, the numerical solution results using the calculated viscous damping coefficient values (provided in Table 2), and the numerical solution results using the η η r β correlation were compared with the experimental results, shown in Figure 7. The results for both numerical solutions and the experiment for α = 0.4 , α = 0.45 , and α = 0.5 are presented where the experimental results are indicated by the marked points and are named with the abbreviation “exp.”. Numerical results using the calculated values of the viscous damping coefficient are shown with a dashed line and abbreviated as “num1.”. Numerical results using the η η r β correlation are shown with a dotted line and abbreviated as “num2.”
The general form of the mean relative error was provided in Equation (30), where ε ¯ , N , Y s s a ( r e f ) , and Y s s a ( c a l ) represent the mean relative error, the number of cases under the corresponding α and β conditions where θ < θ l i m or θ < θ m a x ( t j ) , the reference Y s s a value, and the calculated Y s s a value, respectively.
ε ¯ = 1 N Y s s a ( r e f ) Y s s a ( c a l ) 1 N Y s s a ( r e f )
According to the general form of the mean relative error, two specific error analyses were performed. First, ε ¯ was calculated considering the experimental values of Y s s a as Y s s a ( r e f ) and the Y s s a results obtained from the calculated η provided in Table 2 as Y s s a ( c a l ) . In the second error analysis, Y s s a ( c a l ) was replaced with the Y s s a values obtained using the η η r β correlation.
The mean relative errors of the numerical solution using the calculated viscous damping coefficient values were obtained as ε ¯ = 2.03 % , ε ¯ = 2.33 % , and ε ¯ = 3.52 % for α = 0.4 , α = 0.45 , and α = 0.5 , respectively. The mean relative errors of the numerical solution using the η η r β correlation were obtained as ε ¯ = 2.87 % , ε ¯ = 2.70 % , and ε ¯ = 3.66 % for α = 0.4 , α = 0.45 , and α = 0.5 , respectively. The following remarks can be made according to the results:
  • A novel correlation predicting the viscous damping coefficient for any frequency, amplitude, and length ratio was proposed by using the experimental data;
  • The maximum mean relative errors of the numerical solutions using the calculated viscous damping coefficient and the η η r β correlation were calculated to be 3.52 % and 3.66 % , respectively;
  • Using the same viscous damping coefficient value for different dimensionless excitation acceleration amplitudes, θ , results in a difference less than 4% with the experiments. This situation proves that the viscous damping coefficient is independent of the excitation acceleration amplitude in the range θ < θ l i m or θ < θ m a x ( t j ) . On the other hand, for θ > θ l i m , the difference between the experimental results and the numerical solutions increases gradually, as shown in Figure 7. It means that the viscous damping coefficient becomes dependent on the excitation acceleration amplitude under the θ > θ l i m condition;
  • Numerical solutions using the calculated viscous damping coefficient, η , have a lower error than numerical solutions using the correlation η η r β . However, these solutions are only valid for discrete values of α and β . In addition, this difference is not significant, favoring the use of the η η r β correlation instead of using the calculated η , as it is not discrete and is more practical for numerical analysis.

8. Empirical Model for Y s s a

After obtaining the viscous damping coefficient correlation, it became possible to solve the mathematical model for different values of β in the interval of interest, making the empirical expression of Y s s a possible. First, using the correlation η η r β , the mathematical model was solved numerically for 81   β values in the range of 0.8 1.2 . The relationship between Y s s a and θ was plotted and analyzed. According to the plots, Y s s a can be modeled as a power function dependent on θ for each value of α . The coefficients in each model can be determined depending on β . Thus, the form of the function Y s s a ( θ , β ) for any value of α in the specified range can be written as in Equation (31).
Y s s a ( θ , β ) = m ( β )   θ n ( β )
The functions m ( β ) and n ( β ) in Equation (31) represent the β -dependent coefficients of the empirical model. Accordingly, n ( β ) in the model has an effect on the curvature of the function Y s s a ( θ , β ) and shapes the concave character of the curve. The value of n ( β ) at β = 1 crosses from a minimum value of 0.5 and gradually increases as one moves away the resonance region. In contrast, m ( β ) is crossing from a local maximum around β = 0.9 and decreases as one moves away from the resonance region. In addition, m ( β ) and n ( β ) are not independent of each other when it comes to composing an empirical model for Y s s a ( θ , β ) , since changing the concaveness of a curve results in a change in its average slope, and vice versa. In order to describe their relationship, it was necessary to identify a range of θ for the Y s s a ( θ , β ) equation. The lower bound of θ is selected as 0 , and the upper bound was set to 0.4 to cover the range of θ where the correlation η η r β is valid. The empirical model was equalized with the numerical solution at θ = 0.4 , which is the upper limit of θ . In this case, m ( β ) can be expressed as in Equation (32) for a value of α considered dependent on n ( β ) .
m ( β ) = Y s s a ( 0.4 , β ) 0.4 n ( β )
The numerator of the expression in Equation (32) is Y s s a , which is obtained from numerical results at the relevant β value. Thus, the formulation of the empirical model was reduced to the determination of the optimal n ( β ) . Then, for each α value, numerical solutions were performed for 81 values of β in the interval of 0.8 < β < 1.2 and 300 values of θ in the interval of 0 < θ < 0.4 , and the correlation η η r β was embedded in the mathematical model. The obtained Y s s a results were recorded. Then, for each pair α and β , the Y s s a values corresponding to 300 values of θ in the range 0 to 0.4 were compared with 10,000 different values of n ( β ) in the range 0.5 to 1 . The value of n ( β ) that gives the minimum mean error was found to be the most appropriate value of n ( β ) for the relevant α and β pair. In addition, the optimal m ( β ) value for each α and β pair was found by using Equation (32). The m ( β ) and n ( β ) plots for different values of α in the considered β interval are provided in Figure 8.
After obtaining the graphs in Figure 8, curve forms were defined for the functions m ( β ) and n ( β ) . The function form defined for m ( β ) is the Fourier series type which is provided in Equation (33).
m β = c 0 + c 1 c o s k β + s 1 s i n k β + c 2 c o s 2 k β + s 2 s i n ( 2 k β )
The parameters c 0 2 , s 0 2 and k in Equation (33) are coefficients, and these coefficients were determined for each α value with the help of the curve fitting toolbox in MATLAB software. Accordingly, the R-square value of each fitted curve is greater than 0.99 . This shows that the determined coefficients are highly compatible with the available m ( β ) data. Table 3 shows the values of the coefficients c 0 2 , s 0 2 and k for each α value.
As for the function form of n ( β ) , the determined form of the function n ( β ) is of a polynomial function type and is provided in Equation (34).
n ( β ) = p 1 1 β 4 + p 2 1 β 3 + p 3 1 β 2 + 0.5
The function n ( β ) was described in piecewise form for two different intervals, β 1 and β > 1 , as in the η η r β correlation. In addition, at β = 1 , the value of both functions must be equal, and their derivatives must also be equal. Taking care to fulfill this condition, the function form was defined to be related to 1 β , as n ( β ) increases as one moves away from the resonance region. The parameters p 1 3 in Equation (34) are coefficients, and the determination of these coefficients for each α value was done with the help of the curve fitting toolbox in MATLAB software. Accordingly, the R-square value of each fitted curve is greater than 0.99 , as in the n ( β ) function. This shows that the coefficients are highly compatible with the available n ( β ) data. Table 4 shows the values of p 1 3 coefficients for each α value.
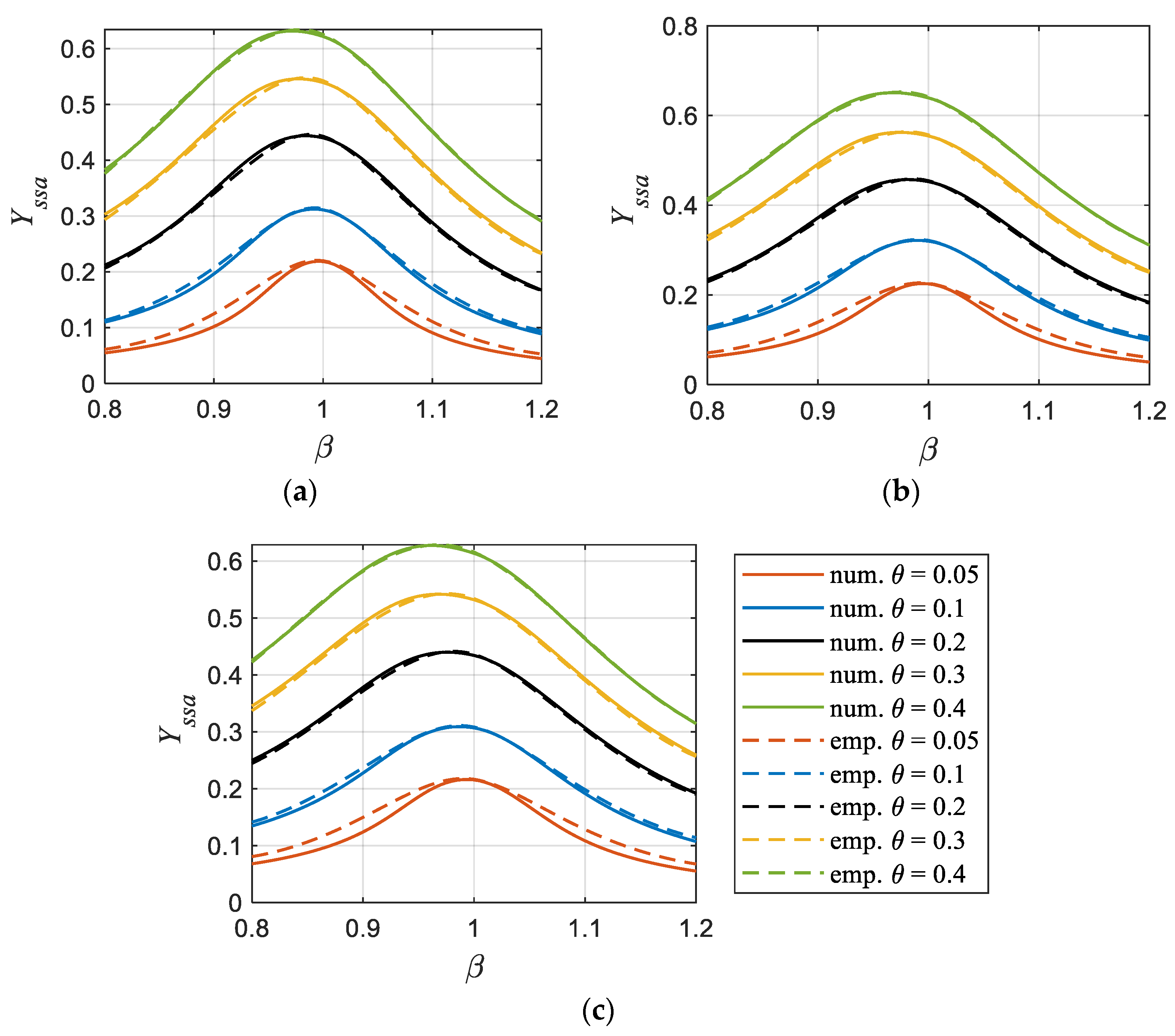
After determining the empirical model, it was compared with the experimental and numerical results using the η η r β correlation. For this purpose, graphs were plotted for each value of the length ratio. The experimental results are denoted with the marked point abbreviated as “exp.”. Numerical results are shown with a dashed line abbreviated as “num.” and the empirical model is shown with a dotted line abbreviated as “emp.”. Figure 9 shows the results obtained from the empirical model numerical solution using the η η r β correlation and experimental results for α = 0.4 , α = 0.45 , and α = 0.5 . After obtaining the graphs for the empirical model Y s s a ( θ , β ) , two different mean relative errors were calculated using Equation (30). In the first calculation, Y s s a ( r e f ) represents the experimental results, and in the second calculation, Y s s a ( r e f ) , showing the numerical results using the correlation η η r β , were compared with Y s s a ( c a l ) , representing the results obtained from the Y s s a ( θ , β ) empirical model. For α = 0.4 , the error with reference to the experimental results was calculated as ε ¯ = 4.32 % , while the error with reference to the numerical results was calculated as ε ¯ = 2.29 % for the empirical model.
For α = 0.45 , the errors with reference to the experimental results and numerical results are calculated as ε ¯ = 4.05 % and ε ¯ = 2.41 % , respectively. For α = 0.5 , the errors are ε ¯ = 5.84 % and ε ¯ = 3.01 % , respectively.
Then, for each value of α , the variation in Y s s a with respect to β for the empirical model in the interval of 0 < θ < 0.4 was plotted. The numerical results using the η η r β correlation were also added to the plots. Figure 10 shows the variation in Y s s a with respect to β at different values of θ for α = 0.4 , α = 0.45 , and α = 0.5 , respectively. Note that some of the regions in the plots are above the θ l i m or θ m a x ( t j ) bounds. However, the purpose of the plots is to demonstrate the agreement between numerical models using the proposed correlation and the empirical model.
Finally, for each α value, mean relative errors were plotted depending on θ and β . The mean relative error charts were generated using Equation (30), with reference to the numerical results using the η η r β correlation. First, for each α value, mean relative errors were calculated for all β values in the interval of the study ( 0.8 < β < 1.2 ) having the same θ values. Accordingly, mean relative error curves were generated depending on θ , shown in Figure 11a. Since the mean relative error shows an accelerating growth for values of θ smaller than 0.05 , the y-axis was restricted for the sake of clarity. Second, mean relative error calculations were made for the same β values, covering all θ values in the interval of the study ( 0 < θ < 0.4 ) , and β -dependent mean relative error curves were generated, as shown in Figure 11b.
The following remarks can be made about the proposed empirical model Y s s a ( θ , β ) :
  • An original empirical model is developed for the first time in the literature, predicting the steady-state maximum liquid level under harmonic excitation. The model can be used by the researchers working on non-orifice TLCDs;
  • The empirical model is derived from the numerical solution results using the correlation η η r β , and it is valid in the interval of θ between 0 and 0.4 as long as the θ < θ l i m or θ < θ m a x ( t j ) condition is satisfied where the correlation η η r β is valid at 0.8 < β < 1.2 ;
  • According to the mean relative error analysis in Figure 11a, under the condition θ < 0.05 , the mean relative error exceeds 11 % for all α values. However, since the value of θ at this condition is very small, the contribution of the TLCD to the damping of the structure can be considered as negligible. Therefore, it can be simply said that the empirical model is valid for 0 < θ < θ l i m or 0 < θ < θ m a x ( t j ) . Moreover, the mean relative error is below 3 % for all values of θ in the range 0.1 0.4 , showing the stability of the model where the errors are very close to each other for different α values;
  • According to Figure 11b, the mean relative error is below 3.5 % for the entire interval of β and for all values of α , and decreases below 1 % in regions where β is close to one, showing the robustness of the model;
  • The frequency response of the system at θ = 1 gives the function m ( β ) according to the empirical model. Accordingly, m ( β ) is directly related to the frequency response of the system. In addition, in damped systems, the excitation frequency that resonates with the system is slightly off from the natural frequency as explained in the reference [26]. Therefore, the peak of the m ( β ) function in the empirical model is not exactly at β = 1 ;
  • The fact that the function n ( β ) in the empirical model increases as one moves away from the point β = 1 and approaches the value n ( β ) = 1 indicates that the nonlinear characteristic of the system decreases as one moves away from the resonance region. Accordingly, the error due to a possible inclusive linearization is estimated to be smaller in regions away from the resonance.

9. Analytical Solution of Mathematical Model

After obtaining the empirical model for Y s s a , linearization of the mathematical model became possible. Accordingly, the linearization coefficient is defined first. This coefficient is provided in a dimensionless form in Equation (35).
C e q = 0.5 α η Y ˙
Since the linearized term is the damping term and linearization is applied to the dimensionless mathematical model, the linearization coefficient is defined as the dimensionless equivalent linear damping coefficient and denoted by C e q . Gao et al. (1997) used an energy-based method to describe the equivalent linear damping coefficient for TLCDs under harmonic excitation in terms of system parameters [4]. Subsequently, Wu (2005) nondimensionalized this expression. Accordingly, the expression for C e q in terms of dimensionless system parameters is provided in Equation (36) [6].
C e q = 8 3 α β η Y s s a
If one uses the expressions described by Equations (29) and (31) for the parameters η and Y s s a in Equation (36), C e q becomes as shown in Equation (37) for non-orifice TLCDs.
C e q = 8 3 α β η r a 1 β 3 + b 1 β 2 + 1 m ( β )   θ n ( β )
Accordingly, the dimensionless mathematical model provided by Equation (12) is transformed into Equation (38).
Y ¨ + C e q Y ˙ + 4 π 2 Y = 4 π 2 α θ s i n ( 2 π β T )
With linearization, the dimensionless mathematical model can be solved analytically. The Laplace transform method was used to obtain the analytical solution. First, the Laplace transform was applied to the left and right sides of Equation (38). After the relevant transformation, Y ( T ) was obtained in the s-domain. The form of Y ( T ) in the s-domain is provided in Equation (39).
L Y ( T ) = 8 π 3 α β θ ( s 2 + C e q s + 4 π 2 ) ( s 2 + 4 π 2 β 2 )
In Equation (39), L Y ( T ) stands for Y ( T ) in the s-domain. In order to obtain Y ( T ) using the inverse Laplace transform, Equation (39) needs to be discretized. The discretization of the corresponding equation is provided in Equation (40).
L Y T = z 1 s s r 1 2 + r 2 2 + z 2 s r 1 2 + r 2 2 + z 3 s s 2 + r 3 2 + z 4 s 2 + r 3 2
In Equation (40), the parameters r 1 3 and z 1 4 are the coefficients obtained after discretization of the corresponding equation. r 1 3 coefficients are provided in Equations (41)–(43).
r 1 = C e q 2
r 2 = 16 π 2 C e q 2 2
r 3 = 2 π β
After determining the coefficients of r 1 3 , Equation (39) was equated to Equation (40) to obtain the linear system of equations required to determine the parameters of z 1 4 . The related linear system of equations is provided in matrix form in Equation (44).
1 0 1 0 0 1 2 r 1 1 r 4 2 0 r 1 2 + r 2 2 2 r 1 0 r 4 2 0 r 1 2 + r 2 2   z 1 z 2 z 3 z 4 = 0 0 0 8 π 3 α β θ
Then, the linear system of equations provided by Equation (44) was solved. Three additional parameters were derived in order to easily obtain the parameters z 1 4 , which is the solution of the linear system of equations. These parameters, denoted by q 1 3 , made the solution simpler and clearer, as provided in Equations (45)–(47).
q 1 = r 1 2 + r 2 2 r 3 2
q 2 = 3 r 1 2 r 2 2 + r 3 2 2 r 1
q 3 = r 1 4 + r 2 4 + r 3 4 + 2 r 1 2 r 2 2 + 2 r 1 2 r 3 2 2 r 2 2 r 3 2 2 r 1
Accordingly, the parameters z 1 4 are provided in Equations (48)–(51).
z 1 = 8 π 3 α β θ q 3
z 2 = 8 π 3 α β θ q 2 q 3
z 3 = 8 π 3 α β θ q 3
z 4 = 4 π 3 α β θ q 1 r 1 q 3
Y ( T ) was obtained by defining the parameters z 1 4 and applying the inverse Laplace transform to L Y ( T ) . The obtained Y ( T ) is provided in Equation (52).
Y T = exp r 1 T z 1 cos r 2 T + z 1 r 1 + z 2 r 2 sin r 2 T + z 3 cos r 3 T + z 4 r 3 sin r 3 T
Thus, the dimensionless mathematical model was solved analytically. Then, for three random cases, the analytical solution of the dimensionless mathematical model was conducted and compared with the numerical solution using the η η r β correlation. Y ( T ) results are shown in the plots for the first twelve peak values. The first twelve peaks of Y ( T ) cover approximately twice the dimensionless time at which the TLCD fluid settles into a periodic steady state. In case 1, the independent variables are α = 0.4 , β = 0.88 , and θ = 0.27 . In case 2, the independent variables are α = 0.45 , β = 1.17 , and θ = 0.36 . In case 3, the independent variables are α = 0.5 , β = 0.98 , and θ = 0.18 . Figure 12 shows the results for case 1, case 2, and case 3, respectively.
Then, the relative errors were calculated for each case as the ratio of the absolute value of the difference between the root mean square (RMS) value of the analytical solution and the RMS value of the numerical solution to the RMS value of the numerical solution. This error formula is provided in Equation (53).
ε = 100 Y R M S ( n u m ) Y R M S ( a n a l ) Y R M S ( n u m )   %
In Equation (53), Y R M S ( n u m ) and Y R M S ( a n a l ) represent RMS values of the numerical solution and analytical solution, respectively. Accordingly, the relative error for case 1 was calculated as 0.01 % . For case 2 and case 3, the relative errors were 0.84 % and 4 % , respectively.
Then, for each α value, the mean relative error plots were created depending on θ and β using Equation (30), with reference to the RMS value of Y ( T ) of the numerical results using the η η r β correlation. First, for each α value, the mean relative errors were calculated for all β values in the interval of the study ( 0.8 < β < 1.2 ) having the same θ values. Accordingly, mean relative error curves were generated depending on θ , shown in Figure 13a. Second, mean relative error calculations were performed covering all θ values in the interval of the study ( 0 < θ < 0.4 ) , and β -dependent error curves were generated as shown in Figure 13b.
The following comments can be summarized regarding the analytical solution of the dimensionless mathematical model:
  • The linearization coefficient of the mathematical model of a TLCD liquid motion under harmonic excitation proposed by Wu (2005) [6] is updated for non-orifice TLCDs by using the proposed correlation and empirical model. As a result, the coefficient becomes independent of the steady-state amplitude of the liquid level, which needs experimental tests for each case;
  • The maximum mean relative error between the analytical solution and the numerical solution using the η η r β correlation is 5.67 % . In addition, the mean relative error is below 2 % for a significant part of the range considered;
  • The linearization of the analytical solution is based on the periodic steady-state amplitude, resulting in a higher error in the transient state. However, this error level is still within a reasonable bound;
  • The error of the analytical solution can be reduced if another specific linearization coefficient is determined for the transient state and the analytical solution is defined in piecewise function form with two separate linearization coefficients;
  • The mean relative error increases significantly with decreasing θ from θ < 0.1 . For θ < 0.05 , the mean relative error exceeds 3 % . However, the contribution of the TLCD to the damping of the structural vibration is negligible in these conditions ( θ < 0.05 ) . Accordingly, the analytical solution can be accepted as valid in the interval 0 < θ < 0.4 ;
  • The mean relative error in regions close to resonance is higher than the regions away from resonance. This is because the error associated with the transient state is significantly higher in regions close to resonance since the transient state is included in the error analysis.

10. Conclusions

In this study, the fluid behavior of a non-orifice TLCD under harmonic excitation was experimentally investigated. Through the experimental data, the region where the viscous damping coefficient is independent of the acceleration amplitude has been identified and analyzed by considering the dimensionless steady-state amplitude of the liquid level, Y s s a . The investigation was carried out on the dimensionless parameters, and the experimental data were interpreted with the help of a numerical solution algorithm using the fourth-order Runge–Kutta method. Using the obtained data, the nonlinear mathematical model of the fluid motion was linearized and solved analytically. The proposed method provides a systematic and generalized solution for modeling the fluid behavior of non-orifice TLCDs without using nonlinear equations, which is suitable for real-time control.
As a result of the study, a correlation predicting the viscous damping coefficient for any frequency, amplitude, and length ratio is proposed, relying on the experimental data. An empirical model is also developed predicting the maximum steady-state liquid level under harmonic excitation. Both the correlation and the empirical model are proposed for the first time in the literature for the attention of researchers. The linearization coefficient of the mathematical model of a TLCD liquid motion under harmonic excitation proposed by Wu (2005) [6] was updated for non-orifice TLCDs as a contribution to the literature. The updated coefficient has become independent of the steady-state amplitude of the liquid level, unlike the coefficient proposed by Wu [6], which needs experimental tests for each case.
It was observed that the dimensionless steady-state liquid level amplitude, Y s s a , remains constant above the limit excitation amplitude θ l i m . This indicates that as the excitation amplitude increases, the viscous damping coefficient must be increased to maintain the same liquid level. Below this limit, the viscous damping coefficient is independent of the excitation amplitude and primarily influenced by the excitation frequency. This finding is expected to enhance the accuracy of mathematical models for non-orifice TLCD structure systems, improving their performance under both harmonic and seismic excitations.
The study has several limitations. Notably, the experimental conditions are limited by the capacity of the shaking table and physical boundaries of the manufactured TLCD, as the increased excitation amplitude at excitation frequencies close to resonance causes the TLCD liquid to overshoot the tube joint limit or exceeds the capacity of the shaking table, restricting the results to a limited region of interest. Additionally, the analytical solution is derived under steady-state conditions. Future work could include deriving an additional linearization coefficient for transient states, which would improve the accuracy of the solution and reduce the discrepancy between the analytical and experimental results.

Author Contributions

Experimental setup, S.A.S. and A.A.; conceptualization, S.A.S. and T.E.; formal analysis, S.A.S.; experimental study, S.A.S. and E.K.; literature review, S.A.S. and E.K.; mathematical modeling, S.A.S.; numerical study, S.A.S. and E.K.; mathematical models and solutions, S.A.S.; review and editing, T.E. and M.K.; writing, S.A.S. and M.K.; supervision, T.E. and M.K.; project administration, T.E. and M.K. All authors have read and agreed to the published version of the manuscript.

Funding

This research was funded by the Scientific and Technological Research Council of Türkiye (TÜBİTAK), grant number 221M148, and the APC was funded by Sakarya University.

Data Availability Statement

The data in the paper can be requested via e-mail to the corresponding author.

Conflicts of Interest

The authors declare no conflicts of interest.

References

  1. Wang, H.; Wu, T. Knowledge-enhanced deep learning for wind-induced nonlinear structural dynamic analysis. J. Struct. Eng. 2020, 146, 04020235. [Google Scholar] [CrossRef]
  2. Rodriguez, M.E.; Restrepo, J.I.; Carr, A.J. Earthquake-induced floor horizontal accelerations in buildings. Earthq. Eng. Struct. Dyn. 2001, 31, 693–718. [Google Scholar] [CrossRef]
  3. Sakai, F.; Takaeda, S.; Tamaki, T. Tuned liquid column damper-new type device for suppression of building vibration. Proc. Int. Conf. High-Rise Build. 1989, 926–931. Available online: https://cir.nii.ac.jp/crid/1572824499443773184 (accessed on 26 August 2024).
  4. Gao, H.; Kwok, K.; Samali, B. Optimization of tuned liquid column dampers. Eng. Struct. 1997, 19, 476–486. [Google Scholar] [CrossRef]
  5. Farshidianfar, A.; Oliazadeh, P. Closed form optimal solution of a tuned liquid column damper responding to earthquake. Civ. Environ. Eng. 2009, 3, 457–462. [Google Scholar]
  6. Wu, J.-C. Experimental calibration and head loss prediction of tuned liquid column damper. Tamkang J. Sci. Eng. 2005, 8, 319–325. [Google Scholar] [CrossRef]
  7. Shum, K. Closed form optimal solution of a tuned liquid column damper for suppressing harmonic vibration of structures. Eng. Struct. 2009, 31, 84–92. [Google Scholar] [CrossRef]
  8. Di Matteo, A.; Lo Iacono, F.; Navarra, G.; Pirrotta, A. Optimal tuning of tuned liquid column damper systems in random vibration by means of an approximate formulation. Meccanica 2014, 50, 795–808. [Google Scholar] [CrossRef]
  9. Mendes, M.V.; Ghedini, L.B.; Batista, R.N.; Pedroso, L.J. A study of TLCD parameters for structural vibration mitigation. Lat. Am. J. Solids Struct. 2023, 20, e475. [Google Scholar] [CrossRef]
  10. White, F.M. Viscous flow in ducts. In Fluid Mechanics, 7th ed.; McGraw-Hill Education: New York, NY, USA, 2011; pp. 343–447. [Google Scholar]
  11. Chang, C.; Hsu, C. Control performance of liquid column vibration absorbers. Eng. Struct. 1998, 20, 580–586. [Google Scholar] [CrossRef]
  12. Burden, R.L.; Faires, J.D. Initial-value problems for ordinary differential equations. In Numerical Analysis, 5th ed.; PWS Publishing Company: Boston, MA, USA, 1993; pp. 239–263. [Google Scholar]
  13. Wu, J.C.; Shih, M.H.; Lin, Y.Y.; Shen, Y.C. Design guidelines for tuned liquid column damper for structures responding to wind. Eng. Struct. 2005, 27, 1893–1905. [Google Scholar] [CrossRef]
  14. Serbes, S.A.; Kemerli, M.; Aydin, A.; Inanir, M.N.S.; Engin, T. Effect of viscous damping coefficient on suppression of structural earthquake induced vibrations with tuned liquid column dampers. In Proceedings of the 7th International Symposium on Innovative Approaches in Smart Technologies (ISAS)/Proceedings of IEEE, İstanbul, Türkiye, 23–25 November 2023; pp. 1–6. [Google Scholar] [CrossRef]
  15. Min, K.-W.; Kim, Y.-W.; Kim, J. Analytical and experimental investigations on performance of tuned liquid column dampers with various orifices to wind-excited structural vibration. J. Wind Eng. Ind. Aerodyn. 2015, 139, 62–69. [Google Scholar] [CrossRef]
  16. Yu, Y.; Xu, L.; Zhang, L. Experimental study on variation rules of damping with influential factors of tuned liquid column damper. Shock Vib. 2017, 2017, 6209205. [Google Scholar] [CrossRef]
  17. Yalla, S.K.; Kareem, A. Optimum absorber parameters for tuned liquid column dampers. J. Struct. Eng. 2000, 126, 906–915. [Google Scholar] [CrossRef]
  18. Hitchcock, P.; Kwok, K.; Watkins, R.; Samali, B. Characteristics of liquid column vibration absorbers (LCVA)—II. Eng. Struct. 1997, 19, 135–144. [Google Scholar] [CrossRef]
  19. Colwell, S.; Basu, B. Experimental and theoretical investigations of equivalent viscous damping of structures with TLCD for different fluids. J. Struct. Eng. 2008, 134, 154–163. [Google Scholar] [CrossRef]
  20. Di Matteo, A.; Lo Iacono, F.; Navarra, G.; Pirrotta, A. A novel mathematical model for TLCD: Theoretical and experimental investigations. Vulnerability Uncertain. Risk 2014, 1086–1094. [Google Scholar] [CrossRef]
  21. Das, A.; Maity, D.; Bhattacharyya, S.K. Characterization of liquid sloshing in U-shaped containers as dampers in high-rise buildings. Ocean Eng. 2020, 210, 107462. [Google Scholar] [CrossRef]
  22. Rozas, L.; Boroschek, R.L.; Tamburrino, A.; Rojas, M. A bidirectional tuned liquid column damper for reducing the seismic response of buildings. Struct. Control Health Monit. 2015, 23, 621–640. [Google Scholar] [CrossRef]
  23. Sun, H.X.; Wang, X.Y. An investigation on a semi-active magnetorheological tuned liquid column damper (MR-TLCD). In Active and Passive Smart Structures and Integrated Systems; SPIE: Bellingham, DC, USA, 2016; pp. 1–8. [Google Scholar] [CrossRef]
  24. Shah, M.U.; Shah, S.W.; Farooq, S.H.; Usman, M.; Ullah, F. Experimental investigation of tuned liquid column ball damper’s position on vibration control of structure using different fluids. Innov. Infrastruct. Solut. 2023, 8, 111. [Google Scholar] [CrossRef]
  25. Shah, M.U.; Usman, M.; Farooq, S.H.; Rizwan, M. Spring-controlled modified tuned liquid column ball damper for vibration mitigation of structures. J. Sound Vib. 2023, 545, 117443. [Google Scholar] [CrossRef]
  26. Rao, S.S. Harmonically excited vibration. In Mechanical Vibrations, 5th ed.; Pearson Education: London, UK, 2011; pp. 259–362. [Google Scholar]
Figure 1. Schematic representation of a TLCD fixed to a shaking table.
Figure 1. Schematic representation of a TLCD fixed to a shaking table.
Buildings 14 02782 g001
Figure 2. SANLAB SMotion 3000 six DOF shaking table used in the experimental study.
Figure 2. SANLAB SMotion 3000 six DOF shaking table used in the experimental study.
Buildings 14 02782 g002
Figure 3. The TLCD setup placed on the shaking table.
Figure 3. The TLCD setup placed on the shaking table.
Buildings 14 02782 g003
Figure 4. Experimental results for α = 0.4 (a), α = 0.45 (b), and α = 0.5 (c).
Figure 4. Experimental results for α = 0.4 (a), α = 0.45 (b), and α = 0.5 (c).
Buildings 14 02782 g004
Figure 5. Experiments to investigate the Y s s a ( l i m ) phenomenon.
Figure 5. Experiments to investigate the Y s s a ( l i m ) phenomenon.
Buildings 14 02782 g005
Figure 6. η η r β correlation.
Figure 6. η η r β correlation.
Buildings 14 02782 g006
Figure 7. Numerical and experimental results for α = 0.4 (a), α = 0.45 (b), and α = 0.5 (c).
Figure 7. Numerical and experimental results for α = 0.4 (a), α = 0.45 (b), and α = 0.5 (c).
Buildings 14 02782 g007
Figure 8. The plots of m ( β ) and n ( β ) functions used in the empirical model.
Figure 8. The plots of m ( β ) and n ( β ) functions used in the empirical model.
Buildings 14 02782 g008
Figure 9. Y s s a ( θ , β ) empirical model compared with numerical and experimental results for α = 0.4 (a), α = 0.4 5 (b), and α = 0.5 (c).
Figure 9. Y s s a ( θ , β ) empirical model compared with numerical and experimental results for α = 0.4 (a), α = 0.4 5 (b), and α = 0.5 (c).
Buildings 14 02782 g009
Figure 10. Comparison of Y s s a results obtained from numerical solution and empirical model with respect to β for α = 0.4 (a), α = 0.45 (b), and α = 0.5 (c).
Figure 10. Comparison of Y s s a results obtained from numerical solution and empirical model with respect to β for α = 0.4 (a), α = 0.45 (b), and α = 0.5 (c).
Buildings 14 02782 g010
Figure 11. Mean relative error curves of the empirical model with reference to the numerical solution depending on θ (a) and β (b).
Figure 11. Mean relative error curves of the empirical model with reference to the numerical solution depending on θ (a) and β (b).
Buildings 14 02782 g011
Figure 12. Y ( T ) results for case 1 (a), case 2 (b), and case 3 (c).
Figure 12. Y ( T ) results for case 1 (a), case 2 (b), and case 3 (c).
Buildings 14 02782 g012
Figure 13. Mean relative error curves of the analytical solution with reference to the numerical solution depending on θ (a) and β (b).
Figure 13. Mean relative error curves of the analytical solution with reference to the numerical solution depending on θ (a) and β (b).
Buildings 14 02782 g013
Table 1. θ m a x values for a given α and β pair.
Table 1. θ m a x values for a given α and β pair.
α = 0.4   ( L = 2.1   m ) α = 0.45   ( L = 1.87   m ) α = 0.5   ( L = 1.68   m )
β = 0.8 θ m a x ( s t ) = 0.256 θ m a x ( s t ) = 0.256 θ m a x ( s t ) = 0.256
β = 0.9 θ m a x ( t j ) = 0.243 θ m a x ( s t ) = 0.324 θ m a x ( t j ) = 0.162
β = 1 θ m a x ( t j ) = 0.240 θ m a x ( t j ) = 0.200 θ m a x ( t j ) = 0.130
β = 1.1 θ m a x ( t j ) = 0.363 θ m a x ( s t ) = 0.484 θ m a x ( t j ) = 0.194
β = 1.2 θ m a x ( s t ) = 0.576 θ m a x ( s t ) = 0.576 θ m a x ( s t ) = 0.576
Table 2. The recalculated η values covering all θ values for a given pair of α and β under θ < θ l i m .
Table 2. The recalculated η values covering all θ values for a given pair of α and β under θ < θ l i m .
α = 0.4 α = 0.45 α = 0.5
β = 0.8 5.49 5.00 4.32
β = 0.9 2.66 2.82 2.70
β = 1 2.445 2.312 2.512
β = 1.1 2.73 2.80 3.21
β = 1.2 3.53 3.22 4.79
Table 3. Coefficients of the m ( β ) function used in the empirical model.
Table 3. Coefficients of the m ( β ) function used in the empirical model.
α = 0.4 α = 0.45 α = 0.5
c 0 0.8575 0.8817 0.842
c 1 0.04832 0.02199 0.1123
s 1 0.2183 0.2275 0.1891
c 2 0.002183 0.02755 0.03702
s 2 0.04718 0.03523 0.000618
k 11.87 11.59 11.17
Table 4. Coefficients of the n ( β ) function used in the empirical model.
Table 4. Coefficients of the n ( β ) function used in the empirical model.
α = 0.4 α = 0.45 α = 0.5
β 1 p 1 336.3 202.6 77.5
p 2 225 164.8 100.2
p 3 40.77 33.37 24.23
β > 1 p 1 358.5 276.6 177.4
p 2 199.8 159.3 109.3
p 3 33.64 28.04 20.72
Disclaimer/Publisher’s Note: The statements, opinions and data contained in all publications are solely those of the individual author(s) and contributor(s) and not of MDPI and/or the editor(s). MDPI and/or the editor(s) disclaim responsibility for any injury to people or property resulting from any ideas, methods, instructions or products referred to in the content.

Share and Cite

MDPI and ACS Style

Serbes, S.A.; Engin, T.; Kemerli, M.; Kayrakoğlu, E.; Aydın, A. The Fluid Behavior of a Non-Orifice TLCD under Harmonic Excitation: From Experiments to Analytical Solution. Buildings 2024, 14, 2782. https://doi.org/10.3390/buildings14092782

AMA Style

Serbes SA, Engin T, Kemerli M, Kayrakoğlu E, Aydın A. The Fluid Behavior of a Non-Orifice TLCD under Harmonic Excitation: From Experiments to Analytical Solution. Buildings. 2024; 14(9):2782. https://doi.org/10.3390/buildings14092782

Chicago/Turabian Style

Serbes, Sefer Arda, Tahsin Engin, Muaz Kemerli, Egemen Kayrakoğlu, and Ahmet Aydın. 2024. "The Fluid Behavior of a Non-Orifice TLCD under Harmonic Excitation: From Experiments to Analytical Solution" Buildings 14, no. 9: 2782. https://doi.org/10.3390/buildings14092782

APA Style

Serbes, S. A., Engin, T., Kemerli, M., Kayrakoğlu, E., & Aydın, A. (2024). The Fluid Behavior of a Non-Orifice TLCD under Harmonic Excitation: From Experiments to Analytical Solution. Buildings, 14(9), 2782. https://doi.org/10.3390/buildings14092782

Note that from the first issue of 2016, this journal uses article numbers instead of page numbers. See further details here.

Article Metrics

Back to TopTop