Development of Geotechnical Seismic Isolation System in the Form of Vertical Barriers: Effectiveness and Perspective
Abstract
1. Introduction
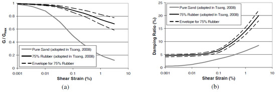
2. Materials and Methods
3. Results and Discussions
3.1. Effect of Barrier Thickness
3.2. Effect of Barrier Depth
3.3. Effect of Distance from the Building
4. Conclusions
- The analysis of theoretical and experimental studies allows us to justify the system of geotechnical seismic isolation as an alternative method in reducing the intensity of seismic loads.
- Geotechnical seismic isolation in the form of vertical barriers, characterized by new principles of action and better modified properties of geomaterial, to reduce inertial seismic loads on buildings is proposed.
- The results of the study highlight the favorable effect of using RSM as a geomaterial for vertical barriers for the response of structures under dynamic loads.
- As a result of numerical studies, it was found that the thickness, height, and distance between the barrier and the building are the main factors determining the damping performance and the degree of reduction in earthquake input motion.
- Vertical seismic barriers made of geomaterials with 75% rubber content reduces horizontal accelerations by 60% at selected optimum thickness, height, and spacing of RSM around the building.
- The effectiveness of geotechnical seismic isolation on the degree of reduction in earthquake input motion is observed by the depth or height of vertical seismic barriers. With increasing barrier depth, a reduction in input acceleration of up to 60% is observed.
- The results of the study recorded a significant decrease in acceleration depending on the location of the barrier from the building: 60% at a distance of 5 m from the building, 40% at a distance of 10 m, and 30% at a distance of 15 m from the building.
- Structural and technical solutions of vertical seismic barriers on RSM are characterized by reliability in providing seismic isolation of objects of existing buildings from the impact of seismic forces and the technological efficiency of their construction during construction and operational periods.
- The results of this study contribute to the substantiation of methodology and scientific and technical efficiency of geotechnical seismic isolation as a simple and reliable system, an economically favorable design alternative to the traditional seismic isolation system, and greatly reduces the financial and time costs of providing seismic resistance.
- The developed system of geotechnical seismic isolation and the results of computational and experimental modeling will become a research, analytical, and design basis for the development of new ways of ensuring seismic resistance of construction objects.
- A promising direction for further research, in our opinion, is the development of a comprehensive theory of calculation, which allows calculating and selecting the structure and geometry of the geotechnical seismic isolation system.
Author Contributions
Funding
Data Availability Statement
Acknowledgments
Conflicts of Interest
References
- Sendai Framework for Disaster Risk Reduction 2015–2030 2015, 37. Available online: https://www.preventionweb.net/files/43291_sendaiframeworkfordrren.pdf (accessed on 14 May 2015).
- Fabio, F.; Carmine, G.; Gemma, G.; Andrea, D.; Luigi Di, S.; Agathoklis, G.; Fernando, G.; Christian, M.; Stergios, A.M.; Grescenzo, P.; et al. Innovations in earthquake risk reduction for resilience: Recent advances and challenges. Int. J. Disaster Risk Reduct. 2021, 60, 102267. [Google Scholar] [CrossRef]
- Avossa, A.M.; Pianese, G. Damping Effects on the Seismic Response of Base-Isolated Structures with LRB Devices. Ing. Sismica 2017, 34, 3–30. Available online: http://ingegneriasismica.org/3782-2/ (accessed on 10 June 2017).
- Castaldo, P.; Ripani, M. Optimal Design of Single Concave Sliding Bearings for Isolated Structures Considering Intermediate Isolation Degrees. Ing. Sismica 2017, 34, 5–23. Available online: https://www.semanticscholar.org/paper/Optimal-design-of-single-concave-sliding-bearings-Castaldo-Ripani/2249e6e1cddbab541df40c4d5e0d2f70ccee97c7 (accessed on 20 August 2017).
- Petrone, G.; Ferrentino, T.; Alfano, G. Influence of PGA/PGV Ratio on the Seismic Reliability of Base-Isolated Systems with FPS. Ing. Sismica 2017, 34, 39–62. Available online: http://ingegneriasismica.org/2017/09/ (accessed on 10 September 2017).
- Calvi, P.M.; Moratti, M.; Calvi, G.M. Seismic Isolation Devices Based on Sliding between Surfaces with Variable Friction Co-efficient. Earthq. Spectra 2016, 32, 2291–2315. [Google Scholar] [CrossRef]
- Yegian, M.K.; Lahlaf, A.M. Dynamic interface shear strength properties of geomembranes and geotextiles. J. Geotech. Eng. 1992, 118, 760–779. [Google Scholar] [CrossRef]
- Yegian, M.K.; Kadakal, U. Foundation isolation for seismic protection using a smooth synthetic liner. J. Geotech. Geoenviron. Eng. 2004, 130, 1121–1130. [Google Scholar] [CrossRef]
- Tsang, H. Seismic isolation by rubber–soil mixtures for developing countries. Earthq. Eng. Struct Dyn. 2008, 37, 283–303. [Google Scholar] [CrossRef]
- Tsang, H.H.; Lam, N.; Yaghmaei-Sabegh, S.; Sheikh, M.N.; Xiong, W.; Shang, S.P. Protecting low-to-medium-rise buildings by scrap tyre-soil mixtures. In Proceedings of the Australian Earthquake Engineering Society Conference, Newcastle, Australia, 11–13 December 2009; pp. 1–8. Available online: https://aees.org.au/wp-content/uploads/2013/11/Tsang-et-al.pdf (accessed on 5 November 2009).
- Tsang, H.; Lo, S.H.; Xu, X.; Sheikh, M.N. Seismic isolation for low-to-medium-rise buildings using granulated rubber—Soil mixtures: Numerical study. Earthq. Eng. Struct Dyn. 2012, 41, 2009–2024. [Google Scholar] [CrossRef]
- Brunet, S.; de la Llera, J.C.; Kausel, E. Non-linear modeling of seismic isolation systems made of recycled tire-rubber. Soil. Dyn. Earthq. Eng. 2016, 85, 134–145. [Google Scholar] [CrossRef]
- Tsiavos, A.; Alexander, N.A.; Diambra, A.; Ibraim, E.; Vardanega, P.J.; Gonzalez-buelga, A.; Sextos, A. A sand-rubber deformable granular layer as a low-cost seismic isolation strategy in developing countries: Experimental investigation. Soil. Dyn. Earthq. Eng. 2019, 125, 105731. [Google Scholar] [CrossRef]
- Tsang, H.H.; Pitilakis, K. Mechanism of geotechnical seismic isolation system: Analytical modeling. Soil. Dyn. Earthq. Eng. 2019, 122, 171–184. [Google Scholar] [CrossRef]
- Hazarika, H. Structural stability and flexibility during earthquakes using tyres (SAFETY)—A novel application for seismic disaster mitigation. In Proceedings of the International Workshop on Scrap Tire Derived Geomaterials—Opportunities and Challenges, Yokosuka, Japan, 23–24 March 2007; pp. 115–125. Available online: https://kyushu-u.elsevierpure.com/en/publications/structural-stability-and-flexibility-during-earthquakes-using-tyr (accessed on 13 March 2007).
- Xiong, W.; Li, Y. Seismic isolation using granulated tire—Soil mixtures for less-developed regions: Experimental validation. Earthq. Eng. Struct. Dyn. 2013, 42, 2187–2193. [Google Scholar] [CrossRef]
- Forcellini, D. Assessment on geotechnical seismic isolation (GSI) on bridge configurations. Innov. Infrastruct. Sol. 2017, 2, 3969–3990. [Google Scholar] [CrossRef]
- Karatzia, X.; Mylonakis, G. Geotechnical isolation of pile-supported bridge piers using EPS geofoam. In Proceedings of the 16th World Conference on Earthquake Engineering, Santiago, Chile, 9–13 January 2017. p. 2278. Available online: https://www.researchgate.net/publication/320258689_GEOTECHNICAL_ISOLATION_OF_PILE-SUPPORTED_BRIDGE_PIERS_USING_EPS_GEOFOAM (accessed on 12 January 2017).
- Hazarika, H.; Kohama, E.; Sugano, T. Underwater shake table tests on waterfront structures protected with tire chips cushion. J. Geotech. Geoenviron. Eng. 2008, 134, 1706–1719. [Google Scholar] [CrossRef]
- Yasuhara, K.; Komine, H.; Murakami, S.; Miyota, S.; Hazarika, H. Mitigation of liquefaction using tire chips as a gravel drain. In Proceedings of the 6th International Congress on Environmental Geotechnology, New Delhi, India, 8–12 November 2010; pp. 1176–1181. [Google Scholar] [CrossRef]
- Tsang, H.H.; Lam, J.Y.K.; Yaghmaei-Sabegh, S.; Lo, S.H. Protecting underground tunnel by rubber–soil mixtures. In Proceedings of the 7th International Conference on Lifeline Earthquake Engineering, ASCE-TCLEE, Oakland, CA, USA, 28 June–1 July 2009. [Google Scholar] [CrossRef]
- Pitilakis, K.; Karapetrou, S.; Tsagdi, K. Numerical investigation of the seismic response of RC buildings on soil replaced with rubber–sand mixtures. Soil Dyn. Earthq. Eng. 2015, 79, 237–252. [Google Scholar] [CrossRef]
- Pistolas, G.A.; Pitilakis, K.; Anastasiadis, A. A numerical investigation on the seismic isolation potential of rubber/soil mixtures. Earthq. Eng. Eng. Vib. 2020, 19, 683–704. [Google Scholar] [CrossRef]
- Forcellini, D. Assessment of Geotechnical Seismic Isolation (GSI) as a Mitigation Technique for Seismic Hazard Events. Geosciences 2020, 10, 222. [Google Scholar] [CrossRef]
- Mehran, N.; Martin, Z.; Raul, F. Vibration Screening in Layered Soil by Geofoam-Filled Barrier. Hal Open Science. Available online: https://hal.science/hal-04155034 (accessed on 20 July 2022).
- Ivan, B.; Jure, R.; Gric, N. Numerical Model for Dynamic Analysis of Structures with Seismic Base Isolation Using a Layer of Stone Pebbles. Ingegneria Sismica. International Journal of Earthquake Engineering. Available online: http://ingegneriasismica.org/numerical-model-for-dynamic-analysis-of-structures-with-seismic-base-isolation-using-a-layer-of-stone-pebbles/ (accessed on 7 March 2021).
- Amato, L.; Flora, A.; Bilotta, E.; Nappa, V. Field trials on soft grouting barriers to mitigate vibrations effects. In Proceedings of the International Society for Soil Mechanics and Geotechnical Engineering, Seoul, Republic of Korea, 17–21 September 2017; Available online: https://www.issmge.org/uploads/publications/59/57/pbdiiiPaper179.pdf (accessed on 18 September 2017).
- Palermo, A.; Vitali, M.; Marzani, A. Metabarriers with multi-mass locally resonating units for broad band Rayleigh waves attenuation. Soil Dyn. Earthq. Eng. 2018, 113, 265–277. [Google Scholar] [CrossRef]
- Bessimbayev, E.; Zhambakina Zh Niyetbay, S. Ensuring the seismic of a building using a geotechnical seismic insulaing screen. East.-Eur. J. Interprise Technol. 2022, 3, 59–67. [Google Scholar] [CrossRef]
- Orekhov, V.V.; Negahdar, H. Efficiency of Trench Barriers Used to Protect Structures from Dynamic Loads and Study of Stress-Strain State of Soil Using Strain-Hardening Model of Soil Behaviour. Vestnik MGSU. Available online: http://old.vestnikmgsu.ru/index.php/ru/archive/article/download/650 (accessed on 15 April 2013).
- Jauhari, N.; Hedge, A. Performance evaluation of single and multiple trenches in screening ground vibrations. In Soil Dynamics, Earthquake and Computational Geotechnical Engineering; Springer: Singapore, 2023; pp. 335–345. [Google Scholar] [CrossRef]
- Senetakis, K.; Anastasiadis, A.; Pitilakis, K. Dynamic properties of dry sand/rubber (SRM) and gravel/rubber (GRM) mixtures in a wide range of shearing strain amplitudes. Soil Dyn. Earthq. Eng. 2012, 33, 38–53. [Google Scholar] [CrossRef]
- Anastasiadis, A.; Senetakis, K.; Pitilakis, K. Small-strain shear modulus and damping ratio of sand-rubber and gravel-rubber mixtures. Geotech. Geol. Eng. 2011, 30, 363–382. [Google Scholar] [CrossRef]
- Pistolas, G.A.; Anastasiadis, A.; Pitilakis, K. Dynamic behaviour of granular soil materials mixed with granulated rubber: Effect of rubber content and granularity on the small-strain shear modulus and damping ratio. Geotech. Geol. Eng. 2018, 36, 1267–1281. [Google Scholar] [CrossRef]
- Feng, Z.Y.; Sutter, K.G. Dynamic properties of granulated rubber/sand mixtures. Geotech. Test. J. 2000, 23, 338–344. [Google Scholar] [CrossRef]
- Mucciarelli, M.; Bianca, M.; Ditommaso, R.; Gallipoli, M.R.; Masi, A.; Milkereit, C.; Parolai, S.; Picozzi, M.; Vona, M. Far field damage on RC buildings: The case study of Navelli during the L’Aquila (Italy) seismic sequence, 2009. Bull. Earthq. Eng. 2010, 9, 263–283. [Google Scholar] [CrossRef]
- Mucciarelli, M.; Bianca, M.; Ditommaso, R.; Vona, M.; Gallipoli, M.R.; Giocoli, A.; Piscitelli, S.; Rizzo, E.; Picozzi, M. Peculiar earthquake damage on a reinforced concrete building in San Gregorio (L’Aquila, Italy): Site effects or building defects? Bull. Earthq. Eng. 2011, 9, 825–840. [Google Scholar] [CrossRef]
- Ditommaso, R.; Mucciarelli, M.; Gallipoli, M.R.; Ponzo, F.C. Effect of a single vibrating building on free-field ground motion: Numerical and experimental evidences. Bull. Earthq. Eng. 2009, 8, 693–703. [Google Scholar] [CrossRef]
- Code of Rules of the Republic of Kazakhstan Euro Norms (CR RK EN) 1998-1:2004/2012. Design of Earthquake-Resistant Structures. Part 1. General Rules, Seismic Effects and Rules for Buildings. Available online: https://new-shop.ksm.kz/upload/e-fond/upload/NTD/NTD_GO_2023/SPRK_EN/48.zip (accessed on 1 March 2016).
- Pistolas, G.A.; Anastasiadis, A.; Pitilakis, K. Cyclic undrained mechanical properties of sand/granulated rubber mixture. In Proceedings of the 7th Greek Geotechnical Conference, Hellenic Society of Soil Mechanics and Geotechnical Engineering, Athens, Greece, 5–7 November 2014; Available online: http://www.hssmge.gr/TEFXOS_No_71_NOVEMBER_2014-%CE%91.pdf (accessed on 7 November 2014).
- Pistolas, G.A.; Anastasiadis, A.; Pitilakis, K. Mechanical shear strength properties of sand/granulated rubber mixtures. In Proceedings of the 7th Greek Geotechnical Conference, Hellenic Society of Soil Mechanics and Geotechnical Engineering, Athens, Greece, 5–7 November 2014; Available online: http://www.hssmge.gr/TEFXOS_No_72_NOVEMBER_2014-B.pdf (accessed on 6 November 2014).
- Code of Rules of the Republic of Kazakhstan Euro Norms (CR RK EN) 1992-1-1:2004/2011. Design of Reinforced Concrete Structures. Part 1-1. General Rules and Regulations for Buildings. Available online: https://new-shop.ksm.kz/upload/e-fond/upload/NTD/NTD_GO_2023/SPRK_EN/12.zip (accessed on 1 July 2015).
- Code of Rules of the Republic of Kazakhstan Euro Norms (CR RK EN) 1991-1-2:2008/2011. Design of Reinforced Concrete Structures. Part 1-1. Own Weight, Permanent and Temporary Loads on Buildings. Available online: https://new-shop.ksm.kz/upload/e-fond/upload/NTD/NTD_GO_2023/SPRK_EN/2.zip (accessed on 1 July 2015).
- Brinkgreve, R.B.J.; Engin, E.; Swolfs, W.M. Material Models Manual, Plaxis 2D. Plaxis bv, Delft, Netherlands. 2011. Available online: https://communities.bentley.com/cfs-file/__key/communityserver-wikis-components-files/00-00-00-05-58/0118.PLAXIS3DCE_2D00_V20.02_2D00_3_2D00_Material_2D00_Models.pdf (accessed on 10 March 2011).
- Code of Rules of the Republic of Kazakhstan 5.01-102-2013. Foundations of Buildings and Structures. Available online: https://new-shop.ksm.kz/upload/e-fond/upload/NTD/NTD_GO_2023/211021/SP_RK_5.01-102-2013.pdf (accessed on 1 July 2015).
- Bolisetti, C.; Whittaker, A.S. Site Response, Soil-Structure Interaction and Structure-Soil-Structure Interaction for Performance Assessment of Buildings and Nuclear Structures. Ph.D. Thesis, New York, NY, USA, 2015. Available online: https://www.eng.buffalo.edu/mceer-reports/15/15-0002.pdf (accessed on 15 June 2015).
- Rashidov, T.R.; Kuznetsov, S.V.; Mardonov, B.M.; Mirzaev, I. Applied Problems of Seismodynamics of Structures; Nauryz: Tashkent, Uzbekistan, 2021; p. 172. ISBN 978-9943-659-43-8. [Google Scholar]
- Xiong, W.; Tsang, H.H.; Lo, S.H.; Shang, S.P.; Wang, H.D.; Zhou, F.Y. Geotechnical seismic isolation system—Experimental study. Adv. Mater. Res. 2011, 163, 4451–4455. Available online: https://www.scientific.net/AMR.163-167.4449 (accessed on 10 December 2011).
- Senetakis, K.; Anastasiadis, A.; Trevlopoulos, K.; Pitilakis, K. Dynamic response of SDOF systems on soil replaced with sand/rubber mixture. In Proceedings of the ECOMAS Thematic Conference on Computation Methods in Structural Dynamics and Earthquake Engineering, Rhodes, Greece, 22–24 June 2009; Available online: https://ikee.lib.auth.gr/record/228299 (accessed on 22 June 2009).
- Pitilakis, K.; Trevlopoulos, K.; Anastasiadis, A.; Senetakis, K. Seismic response of structures on improved soil. In Proceedings of the 8th International Conference on Structural Dynamics, Leuven, Belgium, 4–6 July 2011; Available online: https://bwk.kuleuven.be/apps/bwm/eurodyn2011/papers/KEY99010.pdf (accessed on 4 July 2011).
















| Name | Specific Weight | Modulus of Elasticity | Poisson |
|---|---|---|---|
| RSM 75% | 19.5 kN/m3 | 7.5 MPA | 0.3 |
| Pebble soil | 20.0 kN/m3 | 60 MPA | 0.3 |
| Name | Kobe | Northridge |
|---|---|---|
| Date of the earthquake | 17 January 1994 | 17 January 1995 |
| Magnitude | 6.9 | 6.7 |
| Peak horizontal acceleration | 2.0 | 3.0 |
Disclaimer/Publisher’s Note: The statements, opinions and data contained in all publications are solely those of the individual author(s) and contributor(s) and not of MDPI and/or the editor(s). MDPI and/or the editor(s) disclaim responsibility for any injury to people or property resulting from any ideas, methods, instructions or products referred to in the content. |
© 2024 by the authors. Licensee MDPI, Basel, Switzerland. This article is an open access article distributed under the terms and conditions of the Creative Commons Attribution (CC BY) license (https://creativecommons.org/licenses/by/4.0/).
Share and Cite
Bessimbayev, Y.T.; Shadkam, A.S.; Begaliev, U.T.; Begentayev, M.M.; Suleyev, D.K.; Zhumadilova, Z.O.; Irgibayev, T.I.; Ussipbekov, Y.Y. Development of Geotechnical Seismic Isolation System in the Form of Vertical Barriers: Effectiveness and Perspective. Buildings 2024, 14, 2736. https://doi.org/10.3390/buildings14092736
Bessimbayev YT, Shadkam AS, Begaliev UT, Begentayev MM, Suleyev DK, Zhumadilova ZO, Irgibayev TI, Ussipbekov YY. Development of Geotechnical Seismic Isolation System in the Form of Vertical Barriers: Effectiveness and Perspective. Buildings. 2024; 14(9):2736. https://doi.org/10.3390/buildings14092736
Chicago/Turabian StyleBessimbayev, Yerik T., Assylbek S. Shadkam, Ulugbek T. Begaliev, Meiram M. Begentayev, Dossym K. Suleyev, Zhanar O. Zhumadilova, Tuleukhan I. Irgibayev, and Yerlan Y. Ussipbekov. 2024. "Development of Geotechnical Seismic Isolation System in the Form of Vertical Barriers: Effectiveness and Perspective" Buildings 14, no. 9: 2736. https://doi.org/10.3390/buildings14092736
APA StyleBessimbayev, Y. T., Shadkam, A. S., Begaliev, U. T., Begentayev, M. M., Suleyev, D. K., Zhumadilova, Z. O., Irgibayev, T. I., & Ussipbekov, Y. Y. (2024). Development of Geotechnical Seismic Isolation System in the Form of Vertical Barriers: Effectiveness and Perspective. Buildings, 14(9), 2736. https://doi.org/10.3390/buildings14092736

