Evaluating Stakeholders’ Decisions in a Blockchain-Based Recycling Construction Waste Project: A Hybrid Evolutionary Game and System Dynamics Approach
Abstract
1. Introduction
2. Literature Review
2.1. Resource Management of Construction Waste
2.2. Waste Management Based on Blockchain Technology
2.3. Behavioral Strategies of Stakeholders in Construction Waste
3. Research Methodology
3.1. Problem Description
3.1.1. Behavioral Strategies of Multiple Stakeholders
- (1)
- Behavioral strategies of the government
- (2)
- Behavioral strategies of CEs
- (3)
- Behavioral strategies for CWRR enterprises
3.1.2. Tripartite Game Model Assumptions
3.2. Model Construction
3.2.1. Income Payoff Matrix
3.2.2. Replicated Dynamic Analysis
3.2.3. Stability Analysis
4. Numerical Simulation Analysis
4.1. Simulation of the Tripartite Evolutionary Game Model Based on SD
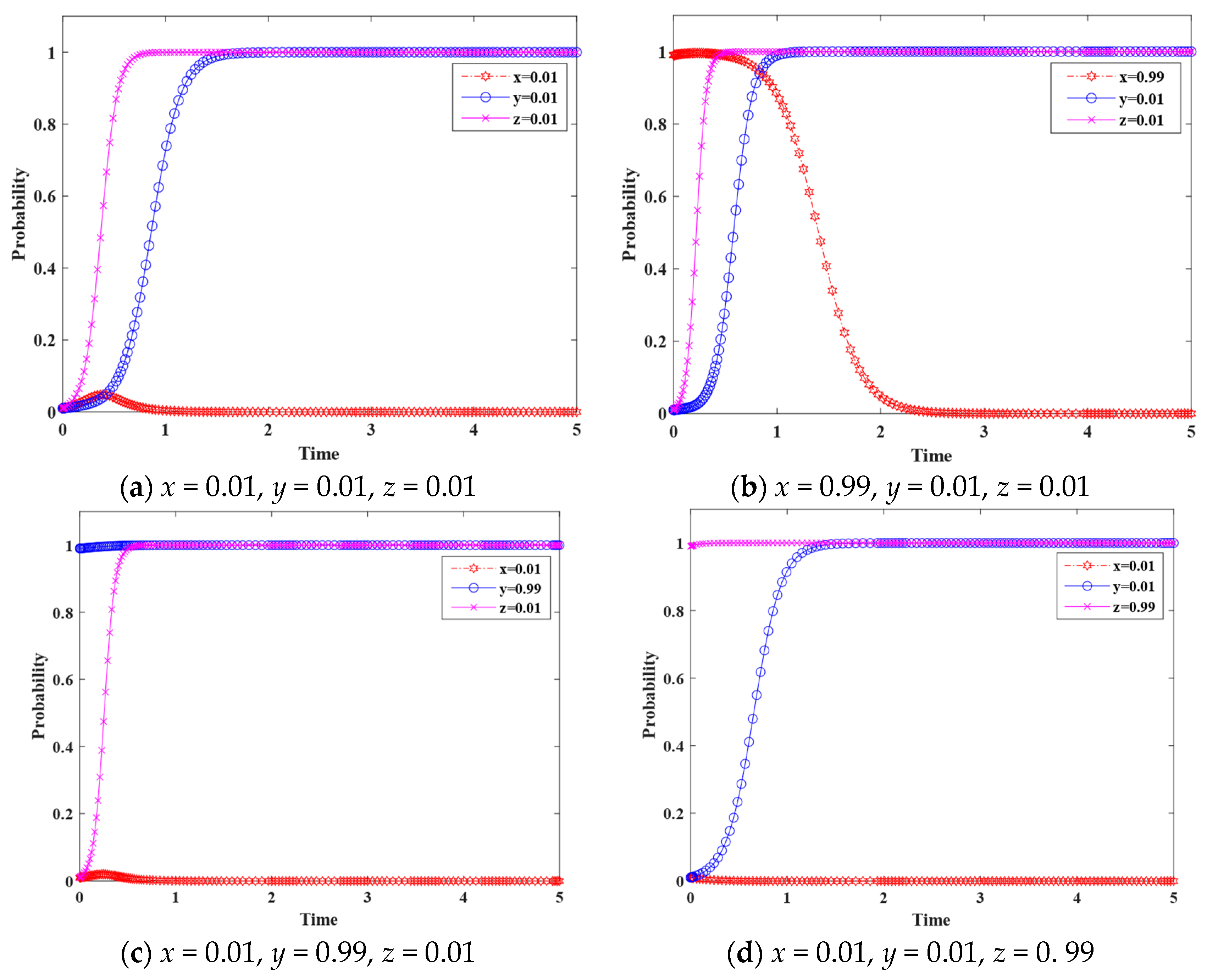
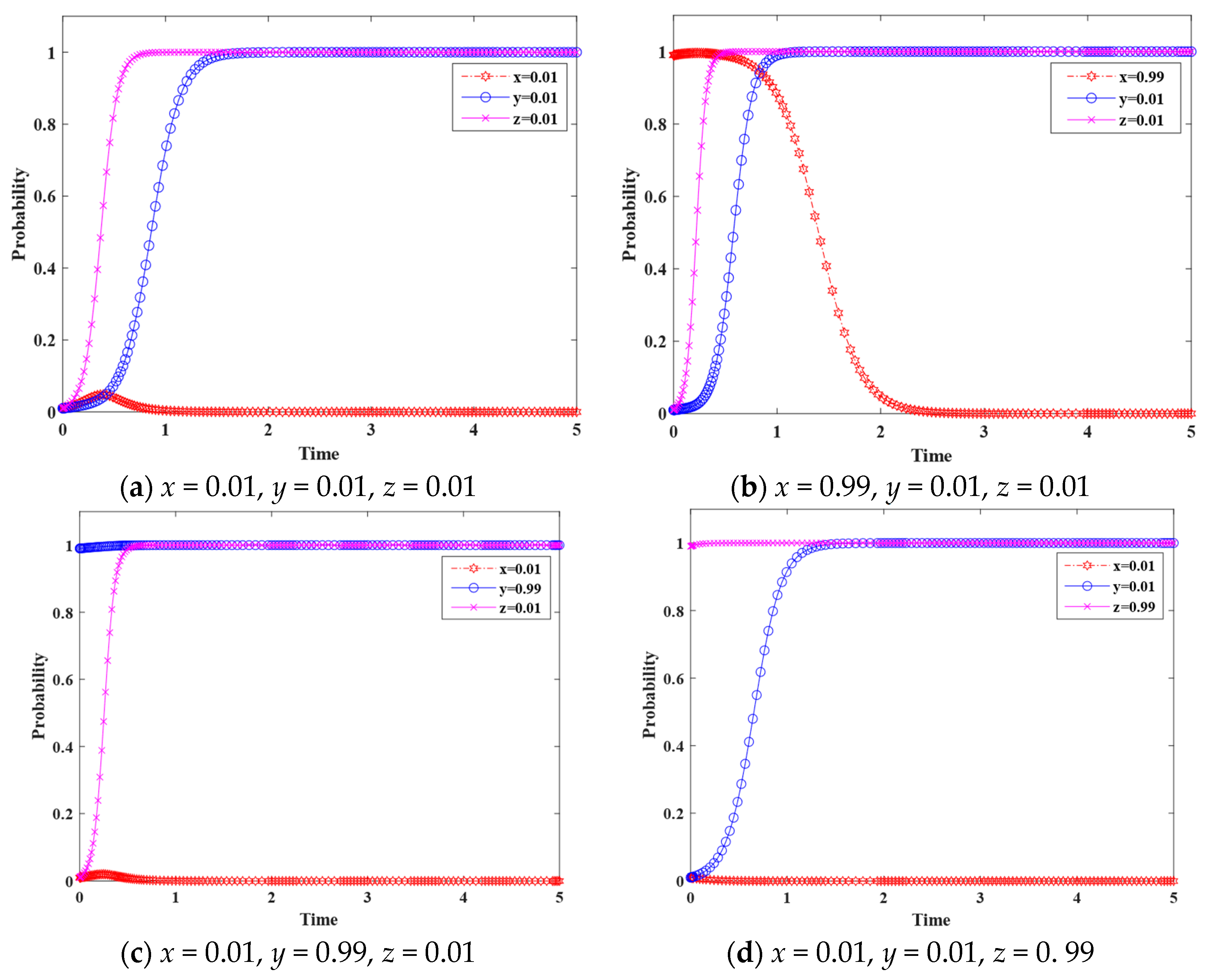
4.2. Influence of Strategy Choices from an Individual Level on the Evolution Results of the System
4.2.1. Influence of the Strategies of Two Parties on the Evolution Result
4.2.2. Influence of the Strategies of One Party on the Evolution Result
Influence of Strategies of Government on the Evolution Result
Influence of Strategies of CEs on the Evolution Result
Influence of the Strategies of REs on the Evolution Result
4.3. Numerical Simulation Result Analysis
5. Discussion and Implications
- From the perspective of the government: The government is decisive in promoting blockchain-based CWRR
- From the perspective of CEs: Attention should be paid to the negative effects of construction waste treatment costs and the influence of compensation
- From the perspective of REs: Participation costs, illegal punishment, and participation benefits should be considered
6. Conclusions
Author Contributions
Funding
Data Availability Statement
Conflicts of Interest
Abbreviations
| CWRR | construction waste recycling and reuse |
| CEs | construction enterprises |
| REs | recycling enterprises |
Appendix A
References
- Villoria Sáez, P.; Barbero-Álvarez, M.A.; Porras-Amores, C.; Álvarez Alonso, M.; García Torres, Á. Design and Validation of a Mobile Application for Construction and Demolition Waste Traceability. Buildings 2023, 13, 1908. [Google Scholar] [CrossRef]
- Yazdani, M.; Kabirifar, K.; Frimpong, B.E.; Shariati, M.; Mirmozaffari, M.; Boskabadi, A. Improving Construction and Demolition Waste Collection Service in an Urban Area Using a Simheuristic Approach: A Case Study in Sydney, Australia. J. Clean. Prod. 2021, 280, 124138. [Google Scholar] [CrossRef]
- Xiao, W.; Yang, J.; Fang, H.; Zhuang, J.; Ku, Y. A Robust Classification Algorithm for Separation of Construction Waste Using NIR Hyperspectral System. Waste Manag. 2019, 90, 1–9. [Google Scholar] [CrossRef] [PubMed]
- da Silva Souza, F.; Mendes, J.C.; Morais, L.J.B.; Silva, J.S.; Peixoto, R.A.F. Mapping and Recycling Proposal for the Construction and Demolition Waste Generated in the Brazilian Amazon. Resour. Conserv. Recycl. 2022, 176, 105896. [Google Scholar] [CrossRef]
- Ma, L.; Zhang, L. Evolutionary Game Analysis of Construction Waste Recycling Management in China. Resour. Conserv. Recycl. 2020, 161, 104863. [Google Scholar] [CrossRef]
- Sáez, P.V.; Osmani, M. A Diagnosis of Construction and Demolition Waste Generation and Recovery Practice in the European Union. J. Clean. Prod. 2019, 241, 118400. [Google Scholar] [CrossRef]
- Ahmad, R.W.; Salah, K.; Jayaraman, R.; Yaqoob, I.; Omar, M.; Ellahham, S. Blockchain-Based Forward Supply Chain and Waste Management for COVID-19 Medical Equipment and Supplies. IEEE Access 2021, 9, 44905–44927. [Google Scholar] [CrossRef] [PubMed]
- Poongodi, M.; Hamdi, M.; Vijayakumar, V.; Rawal, B.S.; Maode, M. An Effective Electronic Waste Management Solution Based on Blockchain Smart Contract in 5G Communities. In Proceedings of the 2020 IEEE 3rd 5G World Forum (5GWF), Bangalore, India, 10–12 September 2020; pp. 1–6. [Google Scholar]
- Hakak, S.; Khan, W.Z.; Gilkar, G.A.; Haider, N.; Imran, M.; Alkatheiri, M.S. Industrial Wastewater Management Using Blockchain Technology: Architecture, Requirements, and Future Directions. IEEE Internet Things Mag. 2020, 3, 38–43. [Google Scholar] [CrossRef]
- Gopalakrishnan, P.K.; Hall, J.; Behdad, S. A Blockchain-Based Traceability System for Waste Management in Smart Cities. In Proceedings of the International Design Engineering Technical Conferences and Computers and Information in Engineering Conference, Washington, DC, USA, 25–28 August 2024; Volume 83952, p. V006T06A015. [Google Scholar]
- Lu, W.; Wu, L.; Xue, F. Blockchain Technology for Projects: A Multicriteria Decision Matrix. Proj. Manag. J. 2022, 53, 84–99. [Google Scholar] [CrossRef]
- Shen, L.; Yang, Q.; Hou, Y.; Lin, J. Research on Information Sharing Incentive Mechanism of China’s Port Cold Chain Logistics Enterprises Based on Blockchain. Ocean Coast. Manag. 2022, 225, 106229. [Google Scholar] [CrossRef]
- Liu, C.; Zhang, X.; Medda, F. Plastic Credit: A Consortium Blockchain-Based Plastic Recyclability System. Waste Manag. 2021, 121, 42–51. [Google Scholar] [CrossRef] [PubMed]
- Alsheyab, M.A.T. Recycling of Construction and Demolition Waste and Its Impact on Climate Change and Sustainable Development. Int. J. Environ. Sci. Technol. 2022, 19, 2129–2138. [Google Scholar] [CrossRef]
- Teng, Y.; Lin, P.W.; Chen, X.L.; Wang, J.L. An Analysis of the Behavioral Decisions of Governments, Village Collectives, and Farmers under Rural Waste Sorting. Environ. Impact Assess. Rev. 2022, 95, 106780. [Google Scholar] [CrossRef]
- Du, L.; Feng, Y.; Lu, W.; Kong, L.; Yang, Z. Evolutionary Game Analysis of Stakeholders’ Decision-Making Behaviours in Construction and Demolition Waste Management. Environ. Impact Assess. Rev. 2020, 84, 106408. [Google Scholar] [CrossRef]
- Liu, H.; Tang, Y.M.; Iqbal, W.; Raza, H. Assessing the Role of Energy Finance, Green Policies, and Investment towards Green Economic Recovery. Environ. Sci. Pollut. Res. 2022, 29, 21275–21288. [Google Scholar] [CrossRef] [PubMed]
- Liu, J.; Teng, Y. Evolution Game Analysis on Behavioral Strategies of Multiple Stakeholders in Construction Waste Resource Industry Chain. Environ. Sci. Pollut. Res. 2023, 30, 19030–19046. [Google Scholar] [CrossRef] [PubMed]
- Coninx, K.; Deconinck, G.; Holvoet, T. Who Gets My Flex? An Evolutionary Game Theory Analysis of Flexibility Market Dynamics. Appl. Energy 2018, 218, 104–113. [Google Scholar] [CrossRef]
- Zhang, L.; Chen, L.; Wu, Z.; Zhang, S.; Song, H. Investigating Young Consumers’ Purchasing Intention of Green Housing in China. Sustainability 2018, 10, 1044. [Google Scholar] [CrossRef]
- Wang, J.; Qin, Y.; Zhou, J. Incentive Policies for Prefabrication Implementation of Real Estate Enterprises: An Evolutionary Game Theory-Based Analysis. Energy Policy 2021, 156, 112434. [Google Scholar] [CrossRef]
- Hu, Q.; Peng, Y.; Guo, C.; Cai, D.; Su, P. Dynamic Incentive Mechanism Design for Recycling Construction and Demolition Waste under Dual Information Asymmetry. Sustainability 2019, 11, 2943. [Google Scholar] [CrossRef]
- Wang, J.; Zhou, Z.; Botterud, A. An Evolutionary Game Approach to Analyzing Bidding Strategies in Electricity Markets with Elastic Demand. Energy 2011, 36, 3459–3467. [Google Scholar] [CrossRef]
- Gunantara, N. A Review of Multi-Objective Optimization: Methods and Its Applications. Cogent Eng. 2018, 5, 1502242. [Google Scholar] [CrossRef]
- United States Environmental Protection Agency. Advancing Sustainable Materials Management: 2014 Fact Sheet; United States Environmental Protection Agency: Washington, DC, USA, 2016.
- Islam, R.; Nazifa, T.H.; Yuniarto, A.; Uddin, A.S.M.S.; Salmiati, S.; Shahid, S. An Empirical Study of Construction and Demolition Waste Generation and Implication of Recycling. Waste Manag. 2019, 95, 10–21. [Google Scholar] [CrossRef] [PubMed]
- Wang, Z.; Li, H.; Yang, X. Vision-Based Robotic System for on-Site Construction and Demolition Waste Sorting and Recycling. J. Build. Eng. 2020, 32, 101769. [Google Scholar] [CrossRef]
- Lai, Y.-Y.; Yeh, L.-H.; Chen, P.-F.; Sung, P.-H.; Lee, Y.-M. Management and Recycling of Construction Waste in Taiwan. Procedia Environ. Sci. 2016, 35, 723–730. [Google Scholar] [CrossRef]
- Bao, Z.; Lee, W.M.W.; Lu, W. Implementing On-Site Construction Waste Recycling in Hong Kong: Barriers and Facilitators. Sci. Total Environ. 2020, 747, 141091. [Google Scholar] [CrossRef] [PubMed]
- Nakamoto, S.; Bitcoin, A. A Peer-to-Peer Electronic Cash System. Bitcoin. 2008. Available online: https://bitcoin.org/bitcoin.pdf (accessed on 15 March 2024).
- Lu, Y. Blockchain and the Related Issues: A Review of Current Research Topics. J. Manag. Anal. 2018, 5, 231–255. [Google Scholar] [CrossRef]
- Van Rijmenam, M.; Ryan, P. Blockchain: Transforming Your Business and Our World; Routledge: London, UK, 2018; ISBN 0429855559. [Google Scholar]
- Beck, R.; Müller-Bloch, C.; King, J.L. Governance in the Blockchain Economy: A Framework and Research Agenda. J. Assoc. Inf. Syst. 2018, 19, 1020–1034. [Google Scholar] [CrossRef]
- Zhang, D. Application of Blockchain Technology in Incentivizing Efficient Use of Rural Wastes: A Case Study on Yitong System. Energy Procedia 2019, 158, 6707–6714. [Google Scholar] [CrossRef]
- França, A.S.L.; Neto, J.A.; Gonçalves, R.F.; Almeida, C. Proposing the Use of Blockchain to Improve the Solid Waste Management in Small Municipalities. J. Clean. Prod. 2020, 244, 118529. [Google Scholar] [CrossRef]
- Akram, S.V.; Alshamrani, S.S.; Singh, R.; Rashid, M.; Gehlot, A.; AlGhamdi, A.S.; Prashar, D. Blockchain Enabled Automatic Reward System in Solid Waste Management. Secur. Commun. Netw. 2021, 2021, 6952121. [Google Scholar] [CrossRef]
- Li, Y.; Lu, Y.; Ma, L.; Kwak, Y.H. Evolutionary Governance for Mega-Event Projects (Meps): A Case Study of the World Expo 2010 in China. Proj. Manag. J. 2018, 49, 57–78. [Google Scholar] [CrossRef]
- Xiao, Y.; Zuo, X.; Huang, J.; Konak, A.; Xu, Y. The Continuous Pollution Routing Problem. Appl. Math. Comput. 2020, 387, 125072. [Google Scholar] [CrossRef]
- Guo, F.; Wang, J.; Song, Y. Research on High Quality Development Strategy of Green Building: A Full Life Cycle Perspective on Recycled Building Materials. Energy Build. 2022, 273, 112406. [Google Scholar] [CrossRef]
- Su, Y. Multi-Agent Evolutionary Game in the Recycling Utilization of Construction Waste. Sci. Total Environ. 2020, 738, 139826. [Google Scholar] [CrossRef]
- Zhang, Z.; Wang, X.; Su, C.; Sun, L. Evolutionary Game Analysis of Shared Manufacturing Quality Synergy under Dynamic Reward and Punishment Mechanism. Appl. Sci. 2022, 12, 6792. [Google Scholar] [CrossRef]
- Guo, F.; Peng, X.; Gu, J. Promotion Strategy of Smart Construction Site Based on Stakeholder: An Evolutionary Game Analysis. Buildings 2022, 12, 585. [Google Scholar] [CrossRef]
- Chen, H.; Xiao, Y.; Liu, Q.; Fu, G. Incentive Mechanism and Subsidy Design for Continuous Monitoring of Energy Consumption in Public Buildings (CMECPB): An Overview Based on Evolutionary Game Theory. Buildings 2023, 13, 984. [Google Scholar] [CrossRef]
- Chen, Y.; Li, Z.; Xu, J.; Liu, Y.; Meng, Q. How Does the Government Policy Combination Prevents Greenwashing in Green Building Projects? An Evolutionary Game Perspective. Buildings 2023, 13, 917. [Google Scholar] [CrossRef]
- Lin, Y.H.; Wang, J.; Niu, D.; Tao, X. Blockchain-Driven Framework for Construction Waste Recycling and Reuse. J. Build. Eng. 2024, 89, 109355. [Google Scholar] [CrossRef]
- Zeng, X.; Li, S.; Yin, S.; Xing, Z. How Does the Government Promote the Collaborative Innovation of Green Building Projects? An Evolutionary Game Perspective. Buildings 2022, 12, 1179. [Google Scholar] [CrossRef]
- Gopalakrishnan, P.K.; Hall, J.; Behdad, S. Cost Analysis and Optimization of Blockchain-Based Solid Waste Management Traceability System. Waste Manag. 2021, 120, 594–607. [Google Scholar] [CrossRef] [PubMed]
- Jiang, P.; Zhang, L.; You, S.; Van Fan, Y.; Tan, R.R.; Klemeš, J.J.; You, F. Blockchain Technology Applications in Waste Management: Overview, Challenges and Opportunities. J. Clean. Prod. 2023, 421, 138466. [Google Scholar] [CrossRef]
- Su, P.; Peng, Y.; Hu, Q.; Tan, R. Incentive Mechanism and Subsidy Design for Construction and Demolition Waste Recycling under Information Asymmetry with Reciprocal Behaviors. Int. J. Environ. Res. Public Health 2020, 17, 4346. [Google Scholar] [CrossRef] [PubMed]
- Shao, Z.; Li, M.; Han, C.; Meng, L. Evolutionary Game Model of Construction Enterprises and Construction Material Manufacturers in the Construction and Demolition Waste Resource Utilization. Waste Manag. Res. 2023, 41, 477–495. [Google Scholar] [CrossRef]
- Ma, X. Blockchain-Enabled Construction and Demolition Waste Management: Advancing Information Management for Enhanced Sustainability and Efficiency. Sustainability 2024, 16, 721. [Google Scholar] [CrossRef]
- Liu, Z.; Wu, T.; Wang, F.; Osmani, M.; Demian, P. Blockchain Enhanced Construction Waste Information Management: A Conceptual Framework. Sustainability 2022, 14, 12145. [Google Scholar] [CrossRef]
- He, L.; Yuan, H. Investigation of Construction Waste Recycling Decisions by Considering Consumers’ Quality Perceptions. J. Clean. Prod. 2020, 259, 120928. [Google Scholar] [CrossRef]
- Liu, Y.; Hao, J.; Li, C.; Li, Y.; Zhou, C.; Zheng, H.; Xu, S.; Chen, W.; Li, X. How Can Construction and Demolition Waste Recycling Public–Private Partnership Projects Performance Compensate during the Operation Period? A Two-Stage Perspective of Recycling and Remanufacturing. Systems 2023, 11, 170. [Google Scholar] [CrossRef]
- Sun, Y.; Gu, Z. Implementation of Construction Waste Recycling under Construction Sustainability Incentives: A Multi-Agent Stochastic Evolutionary Game Approach. Sustainability 2022, 14, 3702. [Google Scholar] [CrossRef]
- Shen, H.; Peng, Y.; Guo, C. Analysis of the Evolution Game of Construction and Demolition Waste Recycling Behavior Based on Prospect Theory under Environmental Regulation. Int. J. Environ. Res. Public Health 2018, 15, 1518. [Google Scholar] [CrossRef] [PubMed]
- Jiang, K.; You, D.; Merrill, R.; Li, Z. Implementation of a Multi-Agent Environmental Regulation Strategy under Chinese Fiscal Decentralization: An Evolutionary Game Theoretical Approach. J. Clean. Prod. 2019, 214, 902–915. [Google Scholar] [CrossRef]
- Xu, L.; Di, Z.; Chen, J. Evolutionary Game of Inland Shipping Pollution Control under Government Co-Supervision. Mar. Pollut. Bull. 2021, 171, 112730. [Google Scholar] [CrossRef] [PubMed]
- Zhang, C.; Lv, L.; Wang, Z. Evolutionary Game Analysis for Key Participants’ Behavior in Digital Transformation of the Chinese Construction Industry. Buildings 2023, 13, 922. [Google Scholar] [CrossRef]
- Shan, S.-N.; Zhang, Z.C.; Ji, W.Y.; Wang, H. Analysis of Collaborative Urban Public Crisis Governance in Complex System: A Multi-Agent Stochastic Evolutionary Game Approach. Sustain. Cities Soc. 2023, 91, 104418. [Google Scholar] [CrossRef]
- Wang, Y.; Wang, C.; Deng, X.; Wu, Z. Evolutionary Game Analysis of the Utilization of Construction Waste Resources Based on Prospect Theory. Sustainability 2023, 15, 2577. [Google Scholar] [CrossRef]
- He, L.; Yuan, H.; Wu, H. Collaborative Mechanism for Promoting the Cross-Regional Management of Construction and Demolition Waste. J. Clean. Prod. 2022, 372, 133706. [Google Scholar] [CrossRef]
- Su, Y.; Si, H.; Chen, J.; Wu, G. Promoting the Sustainable Development of the Recycling Market of Construction and Demolition Waste: A Stakeholder Game Perspective. J. Clean. Prod. 2020, 277, 122281. [Google Scholar] [CrossRef]
- Zhao, X. Stakeholder-Associated Factors Influencing Construction and Demolition Waste Management: A Systematic Review. Buildings 2021, 11, 149. [Google Scholar] [CrossRef]
- Long, H.; Liu, H.; Li, X.; Chen, L. An Evolutionary Game Theory Study for Construction and Demolition Waste Recycling Considering Green Development Performance under the Chinese Government’s Reward–Penalty Mechanism. Int. J. Environ. Res. Public Health 2020, 17, 6303. [Google Scholar] [CrossRef]
- Chen, Y.; Wang, J.; Jia, X. Refurbished or Remanufactured?—An Experimental Study on Consumer Choice Behavior. Front. Psychol. 2020, 11, 518549. [Google Scholar] [CrossRef]
- Cheng, B.; Huang, J.; Guo, Z.; Li, J.; Chen, H. Towards Sustainable Construction through Better Construction and Demolition Waste Management Practices: A SWOT Analysis of Suzhou, China. Int. J. Constr. Manag. 2023, 23, 2614–2624. [Google Scholar] [CrossRef]
- Huang, B.; Wang, X.; Kua, H.; Geng, Y.; Bleischwitz, R.; Ren, J. Construction and Demolition Waste Management in China through the 3R Principle. Resour. Conserv. Recycl. 2018, 129, 36–44. [Google Scholar] [CrossRef]
- Yuan, H. Barriers and Countermeasures for Managing Construction and Demolition Waste: A Case of Shenzhen in China. J. Clean. Prod. 2017, 157, 84–93. [Google Scholar] [CrossRef]
- Kim, J. Construction and Demolition Waste Management in Korea: Recycled Aggregate and Its Application. Clean Technol. Environ. Policy 2021, 23, 2223–2234. [Google Scholar] [CrossRef]









| Parameter | Implication(s) |
|---|---|
| Benchmark government revenue from recycling | |
| Decision-making and publicity costs of the government’s choice of strict supervision | |
| Cost of building a blockchain-driven platform under the government’s strict supervision | |
| Positive benefits obtained by the government when adopting strict supervision measures | |
| Negative effects of government under light supervision | |
| Penalties for illegal acts taken by REs or compensation obtained by CEs when they choose to actively recycle | |
| Under the active recycling strategy, CEs earn extra income by selecting blockchain-driven platform recycling | |
| Treatment cost of passive recycling chosen by CEs | |
| When the government strictly supervises, the CEs will receive extra compensation for the non-participation of the recycling enterprise in illegal activities | |
| Negative effects of CEs selecting passive recycling | |
| Additional costs incurred by REs not participating | |
| Recycling costs associated with RE participation | |
| Revenue from recycling services provided by REs | |
| REs participate in recycling, resulting in positive benefits | |
| RE fines for publishing false information or illegally disposing of construction waste | |
| Recycling the extra losses caused by illegal acts of enterprises | |
| x | Probability of government selecting strict supervision strategy G1 |
| y | Probability of CEs selecting active recycling strategy CE1 |
| z | Probability of REs selecting to participate in recycling platform RE1 |
| Parameter | ||||||||||||||||
| Value | 4 | 5 | 3 | 3 | 5 | 2 | 4 | 3 | 2 | 4 | 3 | 5 | 6 | 5 | 3 | 5 |
| Behavioral Strategy Choices of Tripartite Stakeholders | Parameters | Influence Path: Parameters → Behavioral Strategy Choices of Stakeholders → the Overall Evolution Result of the System | Significance of the Parameters |
|---|---|---|---|
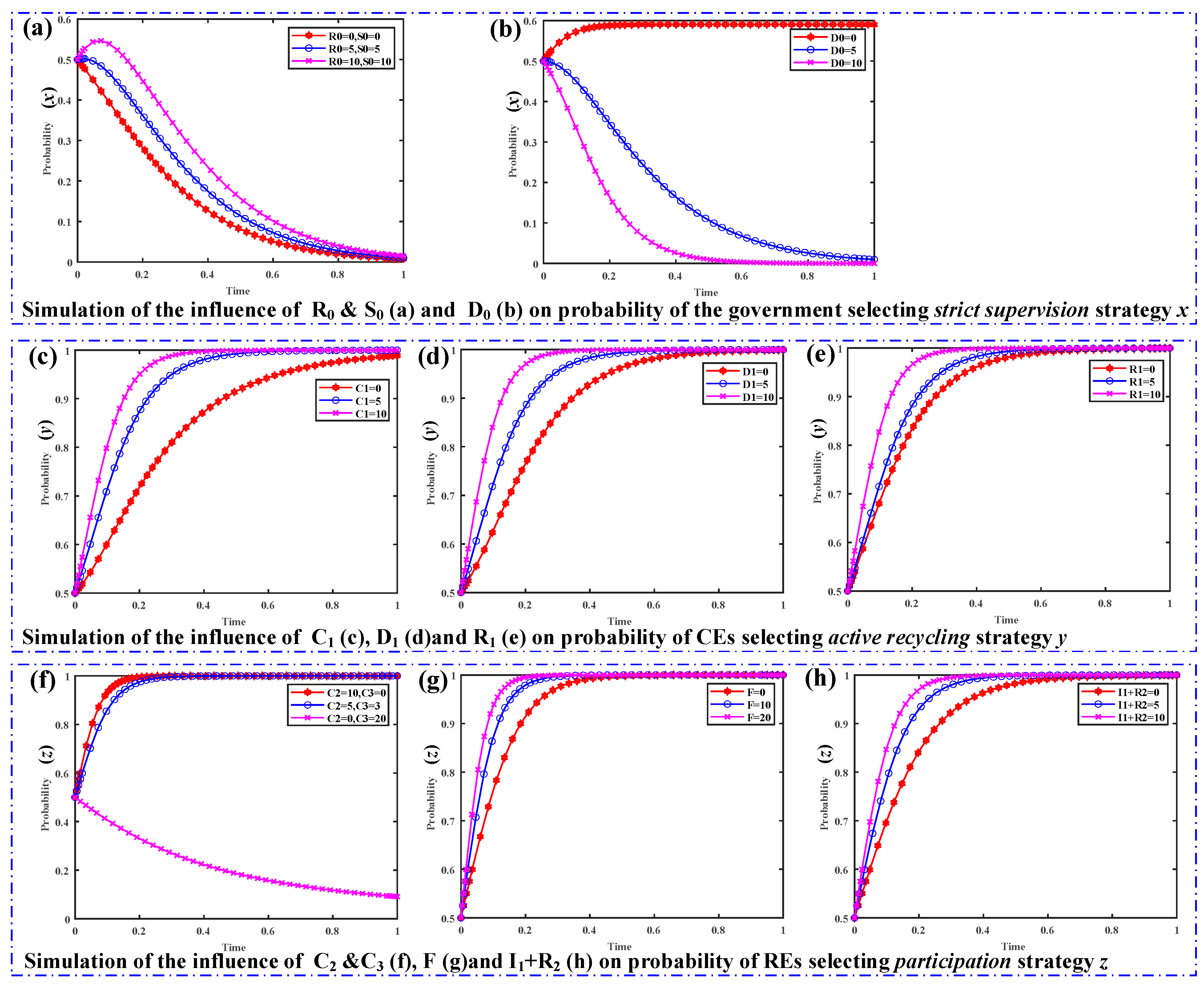
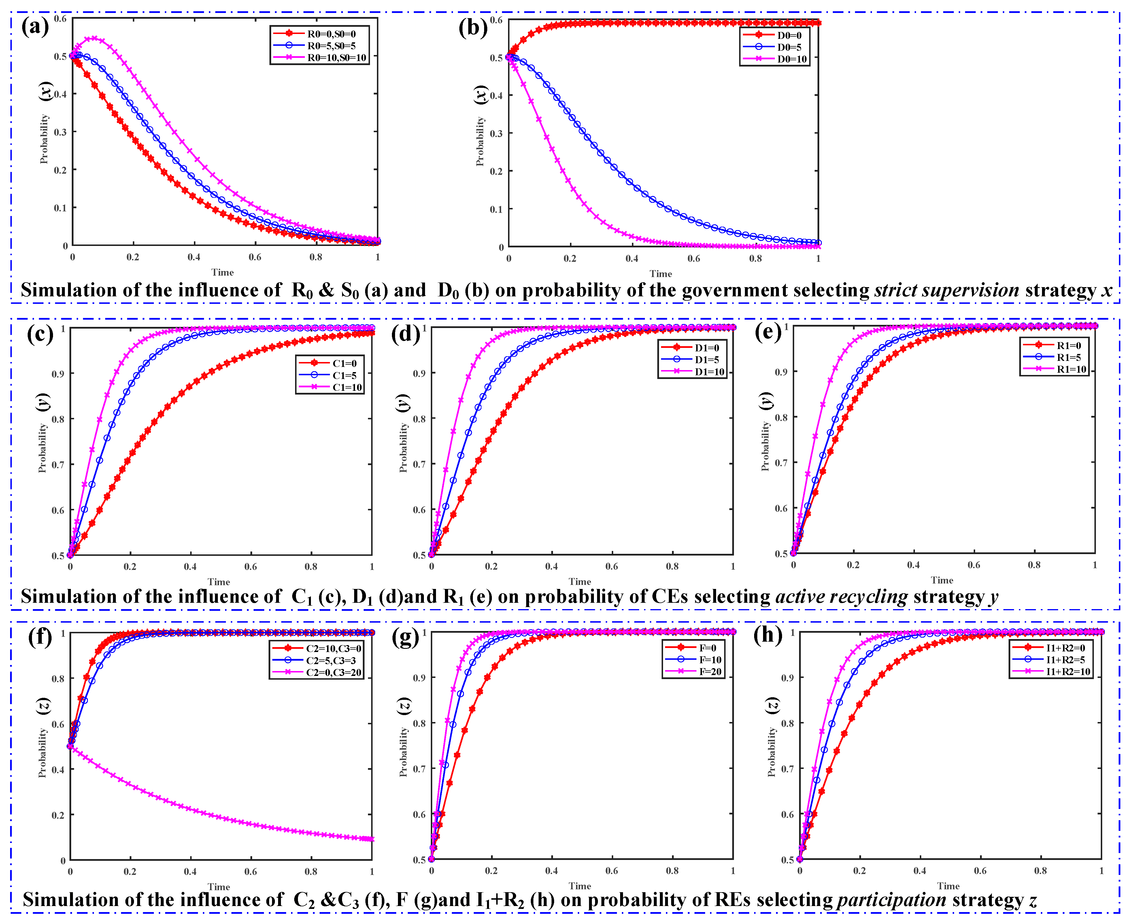
| Probability of government selecting strategy x () | L: Penalties for illegal acts taken by REs or compensation obtained by CEs | ① The increase in L can encourage the government to choose light supervision strategy; ② the larger the value of L, the faster the government will choose light supervision strategy; ③ the equilibrium point of the overall system is (see Figure 6) | Main parameter L has significant influence on the strategy choice of the government |
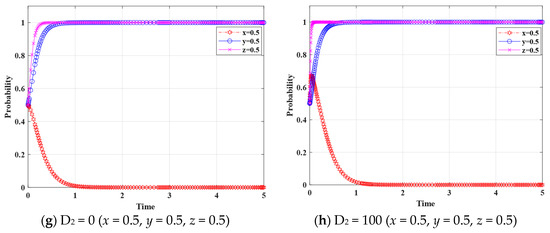
| D2: Fines of REs for publishing false information or illegally disposing | ① The increase in D2 can encourage the government to choose light supervision strategy; ② the larger the value of D2, the more hesitant the government will be when choosing light supervision strategy; ③ control the fluctuations of the tripartite game in the system by bringing the system to a stable state, (see Figure 6) | Main parameter D2 has significant influence on the strategy choice of the government | |
| Positive benefits obtained by the government when adopting strict supervision measures | ① The increase in can encourage the government to choose light supervision strategy; ② the smaller the value of , the faster the government will choose light supervision strategy; ③ the equilibrium point of the overall system is (see Figure 5 and Figure 7a) | Main parameter has significant influence on the strategy choice of the government | |
| : Negative effects of government under light supervision | ① The increase in can encourage the government to choose light supervision strategy; ② the smaller the value of , the faster the government will choose light supervision strategy; ③ the equilibrium point of the overall system is (see Figure 5 and Figure 7a) | Main parameter has significant influence on the strategy choice of the government | |
| : Decision-making and publicity costs of the government’s choice of strict supervision | ① The decrease in can encourage the government to adopt strict supervision strategies (x = 1); ② when supervision cost is below a certain value (e.g., ), governments tend to maintain strict supervision strategies; ③ the equilibrium point of the overall system is or (see Figure 5 and Figure 7b) | Main parameter has significant influence on the strategy choice of the government | |
| Probability of CEs selecting strategy y () | L: Penalties for illegal acts taken by REs or compensation obtained by CEs | ① The increase in L can encourage the CEs to choose active recycling strategy and stabilize at 1 (y = 1); ② no matter how compensation obtained by CEs (L) changes or even becomes 0 (no compensation), CEs choose active recycling strategy; ③ the equilibrium point of the overall system is (see Figure 6) | Secondary parameter L has little influence on the strategy choice of the CEs |
| : Treatment costs of passive recycling chosen by CEs | ① The increase in can encourage the CEs to choose active recycling strategy; ② the larger the value of , the faster the CEs will prefer to adopt the active recycling strategy (y = 1); ③ the equilibrium point of the overall system is (see Figure 5 and Figure 7c) | Main parameter has significant influence on the strategy choice of the CEs | |
| : Negative effects of CEs selecting passive recycling | ① The increase in can encourage the CEs to choose active recycling strategy; ② the larger the value of , the faster the CEs will prefer to adopt the active recycling strategy (y = 1); ③ the equilibrium point of the overall system is (see Figure 5 and Figure 7d) | Main parameter has significant influence on the strategy choice of the CEs | |
| : Extra compensation to CEs for the non-participation of the REs in illegal activities | ① The increase in can encourage the CEs to choose active recycling strategy; ② the larger the value of , the faster the CEs will prefer to adopt the active recycling strategy (y = 1); ③ the equilibrium point of the overall system is (see Figure 5 and Figure 7e) | Main parameter has significant influence on the strategy choice of the CEs | |
| Probability of REs selecting strategy z () | D2: Fines of REs for publishing false information or illegally disposing | ① The increase in D2 can significantly accelerate the participation behavioral strategy of REs (z = 1); ② regardless of the changes in the fines of REs (D2), or even in cases where fines become 0 (no fines), REs choose the participation strategy; ③ the equilibrium point of the overall system is (see Figure 6) | Secondary parameter D2 has little influence on the strategy choice of the REs |
| : Additional costs incurred by REs not participating | ① The increase in can encourage the REs to choose participation strategy (z = 1); ② when it reaches a certain value, = 0, REs will then prefer to choose non-participation strategy; ③ the equilibrium point of the overall system is or (see Figure 5 and Figure 7f) | Main parameter has significant influence on the strategy choice of the REs | |
| : Recycling costs associated with RE participation | ① The increase in can cause the REs to choose participation strategy (z = 1); ② when it reaches a certain value, = 20, REs will then prefer to choose non-participation strategy; ③ the equilibrium point of the overall system is or (see Figure 5 and Figure 7f) | Main parameter has significant influence on the strategy choice of the REs | |
| : Recycling the extra losses caused by illegal acts of enterprises | ① The increase in can cause the REs to choose the participation behavioral strategy (z = 1); ② the larger the value of , the faster the REs will adopt the participation strategy; ③ the equilibrium point of the overall system is (see Figure 5 and Figure 7g) | Main parameter has significant influence on the strategy choice of the REs | |
| Revenue and positive effect of participating in the income of recycling platform | ① The increase in can cause the Res to choose the participation behavioral strategy (z = 1); ② the larger of the value of , the faster the REs will adopt the participation strategy; ③ the equilibrium point of the overall system is (see Figure 5 and Figure 7h) | Main parameter and have significant influence on the strategy choice of the REs |
Disclaimer/Publisher’s Note: The statements, opinions and data contained in all publications are solely those of the individual author(s) and contributor(s) and not of MDPI and/or the editor(s). MDPI and/or the editor(s) disclaim responsibility for any injury to people or property resulting from any ideas, methods, instructions or products referred to in the content. |
© 2024 by the authors. Licensee MDPI, Basel, Switzerland. This article is an open access article distributed under the terms and conditions of the Creative Commons Attribution (CC BY) license (https://creativecommons.org/licenses/by/4.0/).
Share and Cite
Lin, Y.-H.; Wang, J.; Niu, D.; Nwetlawung, Z.E. Evaluating Stakeholders’ Decisions in a Blockchain-Based Recycling Construction Waste Project: A Hybrid Evolutionary Game and System Dynamics Approach. Buildings 2024, 14, 2205. https://doi.org/10.3390/buildings14072205
Lin Y-H, Wang J, Niu D, Nwetlawung ZE. Evaluating Stakeholders’ Decisions in a Blockchain-Based Recycling Construction Waste Project: A Hybrid Evolutionary Game and System Dynamics Approach. Buildings. 2024; 14(7):2205. https://doi.org/10.3390/buildings14072205
Chicago/Turabian StyleLin, Yi-Hsin, Jian Wang, Deshuang Niu, and Zilefac Ebenezer Nwetlawung. 2024. "Evaluating Stakeholders’ Decisions in a Blockchain-Based Recycling Construction Waste Project: A Hybrid Evolutionary Game and System Dynamics Approach" Buildings 14, no. 7: 2205. https://doi.org/10.3390/buildings14072205
APA StyleLin, Y.-H., Wang, J., Niu, D., & Nwetlawung, Z. E. (2024). Evaluating Stakeholders’ Decisions in a Blockchain-Based Recycling Construction Waste Project: A Hybrid Evolutionary Game and System Dynamics Approach. Buildings, 14(7), 2205. https://doi.org/10.3390/buildings14072205

