A Failure Analysis of the Long-Term Overturning Stability of Concrete Continuous Single-Column Pier Bridges Considering Creep and Overloaded Vehicles
Abstract
1. Introduction
2. Failure Analysis of the Accident Bridge
2.1. Accident Bridge
2.2. Numerical Simulation
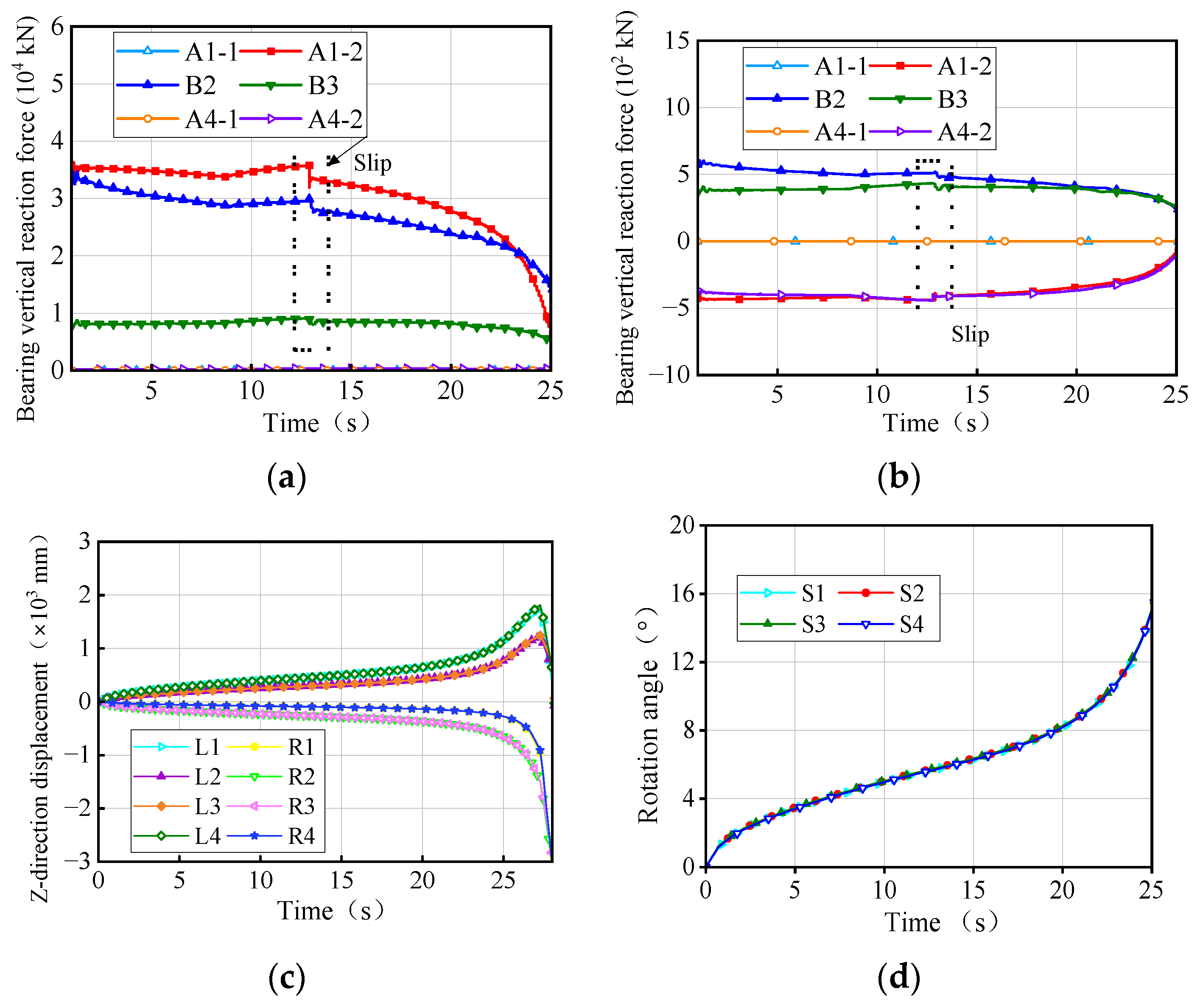
2.3. Overturning Process and Failure Characteristics
3. Verification of the Creep Model
3.1. Mathematical Model of Creep
3.2. Validation of the Creep Model
4. Overturning Effects Induced by Creep
4.1. Bridge Categories
4.2. Overturning Effect
5. Assessment of Overturning Stability
6. Conclusions
Author Contributions
Funding
Data Availability Statement
Conflicts of Interest
References
- Xiong, W.; Cai, C.S.; Kong, B.; Ye, J. Overturning-collapse modeling and safety assessment for bridges supported by single-column piers. J. Bridge Eng. 2017, 22, 04017084. [Google Scholar] [CrossRef]
- Deng, L.; Wang, W.; Yu, Y. State-of-the-art review on the causes and mechanisms of bridge collapse. J. Perform. Constr. Facil. 2016, 30, 04015005. [Google Scholar] [CrossRef]
- Peng, W.B.; Dai, F.; Taciroglu, E. Research on mechanism of overturning failure for single-column pier bridge. In Proceedings of the 2014 International Conference on Computing in Civil and Building Engineering, Orlando, FL, USA, 23–25 June 2014; pp. 1747–1754. [Google Scholar]
- Lee, K.; Andrawes, B.; Lim, J.; Kim, H.; Kang, Y. A study on overturning failure of horizontally curved single steel box girders. Eng. Fail. Anal. 2019, 97, 20–31. [Google Scholar] [CrossRef]
- Liu, B.; Han, W.; Wang, T.; Feng, Y.; Wang, J.; Xu, K. Analytical method for overturning risk assessment of curved girder bridges with single-column piers under heavy-duty vehicles. Structures 2023, 57, 105084. [Google Scholar] [CrossRef]
- Fan, Y.; Zhu, J.; Pei, J.; Li, Z.; Wu, Y. Analysis for Yangmingtan bridge collapse. Eng. Fail. Anal. 2015, 56, 20–27. [Google Scholar] [CrossRef]
- Peng, W.B.; Zhao, H.; Dai, F.; Taciroglu, E. Analytical method for overturning limit analysis of single-column pier bridges. J. Perform. Constr. Facil. 2017, 31, 04017007. [Google Scholar] [CrossRef]
- Peng, W.B.; Zhu, Z.X.; Chen, G.J.; Zhu, H.H. Research on overturning failure mode of beam bridges and applicability of calculation method. China Civil Eng. J. 2019, 52, 104–113. [Google Scholar]
- Shi, X.; Cao, Z.; Ma, H.; Ruan, X. Failure analysis on a curved girder bridge collapse under eccentric heavy vehicles using explicit finite element method: Case study. J. Bridge Eng. 2018, 23, 05018001. [Google Scholar] [CrossRef]
- Wang, B.J.; Zhao, H.; Zhang, H.; Peng, W.B.; Lu, C.Y. Lateral stability calculation theory and verification of single-column girder bridge. China J. Highw. Transp. 2017, 30, 93–100. [Google Scholar]
- Song, T.; Deng, Q.; Li, G. Collapse mechanism and full-range analysis of overturning failure of continuous girder bridges. Adv. Mater. Sci. Eng. 2021, 2021, 1–14. [Google Scholar] [CrossRef]
- Xu, H.; Li, Q.; Li, D.; Jiang, H.; Wang, T.; Gao, Q. Experimental and numerical investigation of the anti-overturning theory of single-column pier bridges. Sustainability 2023, 15, 1545. [Google Scholar] [CrossRef]
- Song, G.; Che, D.; Li, M. Stability against overturning of curved continuous box-girder bridges with single column piers. IOP Conf. Ser. Mater. Sci. Eng. 2018, 452, 022105. [Google Scholar] [CrossRef]
- Streit, W.; Mang, R. Uberschlägiger Kippsicherheitsnachweis für Stahlbeton-und Spannbetonbinder. Bauingenieur 1984, 59, 433–439. [Google Scholar]
- Shi, X.; Zhou, Z.; Ma, H.; Emadi, S.; Cao, Z. Failure mechanism and design method for box girder bridge with interior hinged supports under eccentrically vertical loads. Structures 2023, 48, 438–449. [Google Scholar] [CrossRef]
- Wang, J.F.; Xu, Z.Y.; Fan, X.L.; Lin, J.P. Thermal effects on curved steel box girder bridges and their countermeasures. J. Perform. Constr. Facil. 2017, 31, 04016091. [Google Scholar] [CrossRef]
- Song, G.; Che, D.; Li, M. Overturning axis selection in curved box-girder bridges with single-column piers. Math. Probl. Eng. 2018, 2018, 1–9. [Google Scholar] [CrossRef]
- Li, H.C.; Liu, X.D.; Feng, M. Overturning risk management of box-girder ramp bridge in operation period. Highway 2016, 61, 88–93. [Google Scholar]
- Zhou, Y.J.; Wang, Y.L.; Zhao, Y.; Xue, Y.X.; Han, Z.Q. Review on research of anti-overturning of highway bridgers with single-column piers. J. Traffic Transp. Eng. 2022, 22, 46–66. [Google Scholar]
- Ji, X.L.; Zhu, L.; Su, R.K.L.; Wang, G.M. Lateral overturning process and failure mechanism of curved steel-concrete composite box-girder bridges under specific overloading vehicles. Structures 2022, 35, 638–649. [Google Scholar] [CrossRef]
- Xu, Z.; Lu, X.; Guan, H.; Lu, X.; Ren, A. Progressive-collapse simulation and critical region identification of a stone arch bridge. J. Perform. Constr. Facil. 2013, 27, 43–52. [Google Scholar] [CrossRef]
- Wang, Y.L.; Zhou, Y.J.; Xue, Y.X.; Yao, C.W.; Wang, K.L. Failure analysis for overall overturning of concrete single-column pier bridges induced by temperature and overloaded vehicles. Materials 2024, 17, 2650. [Google Scholar] [CrossRef] [PubMed]
- Deng, T.; Zhang, J.; Li, S.; Wang, Y. Anti-overturning stability coefficient of curved girder bridges considering seismic action. J. Vibroeng. 2019, 21, 710–725. [Google Scholar] [CrossRef]
- Peng, K.K. Research on comprehensive evaluation method for antioverturning safety of bridges with bent-straight beam. IOP Conf. Ser. Mater. Sci. Eng. 2018, 423, 012012. [Google Scholar]
- Li, S.; Yang, Y.; Pu, Q.; Yang, D.; Sun, B.; Li, X. Three-dimensional nonlinear creep and shrinkage effects of a long-span prestressed concrete box girder bridge. Struct. Concr. 2019, 20, 638–649. [Google Scholar] [CrossRef]
- He, G.J.; Li, Y.Y.; Zou, Z.Q.; Duan, L.L. Effect of concrete creep on pre-camber of continuous rigid-frame bridge. J. Cent. South Univ. Technol. 2008, 15, 337–341. [Google Scholar] [CrossRef]
- Zhan, Y.L.; Fan, Z.H.; Huang, Y.Y.; Zhang, Z.Q.; Shao, J.H.; An, J.W. Study on shrinkage and creep effect of steel truss-stiffened continuous rigid frame bridge considering variable temperature and relative humidity. Structures 2024, 61, 106120. [Google Scholar] [CrossRef]
- Fan, X.; Zhou, H.; Liu, Y.F. Time-dependent reliability analysis of rc bridges considering shrinkage, creep, resistance degradation, and vehicle load flows. Adv. Civ. Eng. 2023, 2023, 1–14. [Google Scholar] [CrossRef]
- Ma, J. Main bridge reinforcement of sanmenxia yellow river highway bridge. Highway 2004, 6, 62–64. [Google Scholar]
- Bažant, Z.P.; Yu, Q.; Li, G.H. Excessive long-time deflections of prestressed box girders. I: Record-span bridge in Palau and other paradigms. J. Struct. Eng. 2012, 138, 676–686. [Google Scholar] [CrossRef]
- People’s Government of Wuxi. Investigation report on serious rollover accident of bridge deck on Xigang road of 312 national highway “10.10” in Wuxi. Eng. Mech. 2021, 38, 209. [Google Scholar]
- Li, C.H.; Yang, L.B.; Fu, Z.H.; Liang, X.Y.; Peng, W.B.; Jia, X.J. Forensic analysis of the wuxi 312 viaduct overturning collapse. Eng. Mech. 2021, 38, 203–211. [Google Scholar]
- JT/T 391-2019 (MTPRC 2019); Pot bearings for Highway Bridges. Ministry of Transport of the People’s Republic of China: Beijing, China, 2019.
- Bazant, Z.P.; Wittmann, F.H. Creep and Shrinkage in Concrete Structures; Wiley: New York, NY, USA, 1982; pp. 163–181. [Google Scholar]
- Tyler, R.G. Creep, shrinkage and elastic strain in concrete bridges in the United Kingdom, 1963–1971. Mag. Concr. Res. 1976, 28, 55–84. [Google Scholar] [CrossRef]
- Xiang, H.F.; Zhu, L.D. Advanced Theory of Bridqe Structures; Communications Press Co., Ltd.: Beijing, China, 2013; pp. 113–120.
- Yang, I.H. Probabilistic analysis of creep and shrinkage effects in PSC box girder bridges. KSCE J. Civ. Eng. 2003, 7, 275–284. [Google Scholar] [CrossRef]
- Williams, M.; Menon, D.; Prasad, A.M. Creep and shrinkage in prestressed concrete beams: An experimental study. Struct. Concr. 2024, 2024, 1–24. [Google Scholar] [CrossRef]
- No. 124/125E; Model Code for Concrete Structures. CEB Bulletin d’Information: Paris, France, 1978.
- No. 213/214; CEB-FIP Model Code 1990. CEB Bulletin d’Information: Lausanne, Switzerland, 1993.
- Kolínský, V.; Vítek, J.L. Verification of numerical creep and shrinkage models in an arch bridge analysis. Struct. Concr. 2019, 20, 2030–2041. [Google Scholar] [CrossRef]
- Tong, T.; Liu, Z.; Zhang, J.; Yu, Q. Long-term performance of prestressed concrete bridges under the intertwined effects of concrete damage, static creep and traffic-induced cyclic creep. Eng. Struct. 2016, 127, 510–524. [Google Scholar] [CrossRef]
- Whirley, R.G.; Henshall, G.A. Creep deformation structural analysis using an efficient numerical algorithm. Int. J. Numer. Meth. Eng. 1992, 35, 1427–1442. [Google Scholar] [CrossRef]
- Zhao, Y.; Wang, Z.W.; Yao, T.Y.; Zhou, Y.J. Refinement analysis of pc beam creep effect under variable load considering creep recovery. China J. Highw. Transp. 2023, 36, 345–356. [Google Scholar]
- JTG D60-2015 (MTPRC 2004); General Specifications for Design of Highway Bridges and Culverts. Standards Press: Beijing, China, 2015.
- Zhuang, D.; Xiao, R.; Jia, L.; Sun, B. Failure analysis for overall stability against sliding and overturning of a girder bridge. Eng. Fail. Anal. 2020, 109, 104271. [Google Scholar] [CrossRef]
- AASHTO 2012; AASHTO LRFD Bridge Design Specifications. American Association of State Highway and Transportation Officials: Washington, DC, USA, 2012.
- JTG/T 3362-2018 (MTPRC 2018); Specifications for Design of Highway Reinforced Concrete and Prestressed Concrete Bridges and Culverts. Communications Press Co., Ltd.: Beijing, China, 2018.
- TB100023-2005 (MTPRC 2005); Code for Design on Reinforced and Prestressed Concrete Structures of Railway Bridges and Culverts. Ministry of Railways of the People’s Republic of China: Beijing, China, 2005.
- JRA 2012; Specifications for Road and Bridge Designs. Japan Road Association: Tokyo, Japan, 2012.



























| Bridge Type | Curved Bridge | Straight Bridge |
|---|---|---|
| Two-span continuous bridge | ||
| Three-span continuous bridge | ||
| Four-span continuous bridge | ||
| Five-span continuous bridge |
| Curvature Radius (Unit: m) | Bridge No. | Ratio of Side-Span to Mid-Span | Total Span Length (Unit: m) |
|---|---|---|---|
| 80 | 1 | 0.6 | 15 + 25 + 15 |
| 2 | 0.8 | 20 + 25 + 20 | |
| 3 | 1 | 25 + 25 + 25 | |
| 4 | 1.2 | 30 + 25 + 30 | |
| / | Single-span length (unit: m) | Total span length (unit: m) | |
| 3 | 25 | 25 + 25 + 25 | |
| 5 | 30 | 30 + 30 + 30 | |
| 6 | 35 | 35 + 35 + 35 | |
| 7 | 40 | 40 + 40 + 40 | |
| / | Span number | Total span length (unit: m) | |
| 8 | 2 | 25 + 25 | |
| 3 | 3 | 25 + 25 + 25 | |
| 9 | 4 | 25 + 25 + 25 + 25 | |
| 10 | 5 | 25 + 25 + 25 + 25 + 25 |
| Curvature Radius (Unit: m) | Bridge No. | Ratio of Side-Span to Mid-Span | Total Span Length (Unit: m) |
|---|---|---|---|
| 10,000 | 1 | 0.6 | 15 + 25 + 15 |
| 2 | 0.8 | 20 + 25 + 20 | |
| 3 | 1 | 25 + 25 + 25 | |
| 4 | 1.2 | 30 + 25 + 30 | |
| / | Single-span length (unit: m) | Total span length (unit: m) | |
| 3 | 25 | 25 + 25 + 25 | |
| 5 | 30 | 30 + 30 + 30 | |
| 6 | 35 | 35 + 35 + 35 | |
| 7 | 40 | 40 + 40 + 40 | |
| / | Span number | Total span length (unit: m) | |
| 8 | 2 | 25 + 25 | |
| 3 | 3 | 25 + 25 + 25 | |
| 9 | 4 | 25 + 25 + 25 + 25 | |
| 10 | 5 | 25 + 25 + 25 + 25 + 25 |
Disclaimer/Publisher’s Note: The statements, opinions and data contained in all publications are solely those of the individual author(s) and contributor(s) and not of MDPI and/or the editor(s). MDPI and/or the editor(s) disclaim responsibility for any injury to people or property resulting from any ideas, methods, instructions or products referred to in the content. |
© 2024 by the authors. Licensee MDPI, Basel, Switzerland. This article is an open access article distributed under the terms and conditions of the Creative Commons Attribution (CC BY) license (https://creativecommons.org/licenses/by/4.0/).
Share and Cite
Wang, Y.; Tian, J.; Zheng, D.; Jing, D.; Cai, B.; Liu, X. A Failure Analysis of the Long-Term Overturning Stability of Concrete Continuous Single-Column Pier Bridges Considering Creep and Overloaded Vehicles. Buildings 2024, 14, 1987. https://doi.org/10.3390/buildings14071987
Wang Y, Tian J, Zheng D, Jing D, Cai B, Liu X. A Failure Analysis of the Long-Term Overturning Stability of Concrete Continuous Single-Column Pier Bridges Considering Creep and Overloaded Vehicles. Buildings. 2024; 14(7):1987. https://doi.org/10.3390/buildings14071987
Chicago/Turabian StyleWang, Yelu, Jun Tian, Dong Zheng, Dayang Jing, Benzhen Cai, and Xiaofeng Liu. 2024. "A Failure Analysis of the Long-Term Overturning Stability of Concrete Continuous Single-Column Pier Bridges Considering Creep and Overloaded Vehicles" Buildings 14, no. 7: 1987. https://doi.org/10.3390/buildings14071987
APA StyleWang, Y., Tian, J., Zheng, D., Jing, D., Cai, B., & Liu, X. (2024). A Failure Analysis of the Long-Term Overturning Stability of Concrete Continuous Single-Column Pier Bridges Considering Creep and Overloaded Vehicles. Buildings, 14(7), 1987. https://doi.org/10.3390/buildings14071987

