Preparation of Green Sustainable Cement Paste Mixture Based on Inorganic Additives: An Experimental and Modelling Approach
Abstract
1. Introduction
2. Materials and Methods
2.1. Applied Materials
2.2. Experimental Protocols and Samplings
2.3. Instruments
2.4. Environmental Impact (EIA) and Sustainability Assessment (SA)
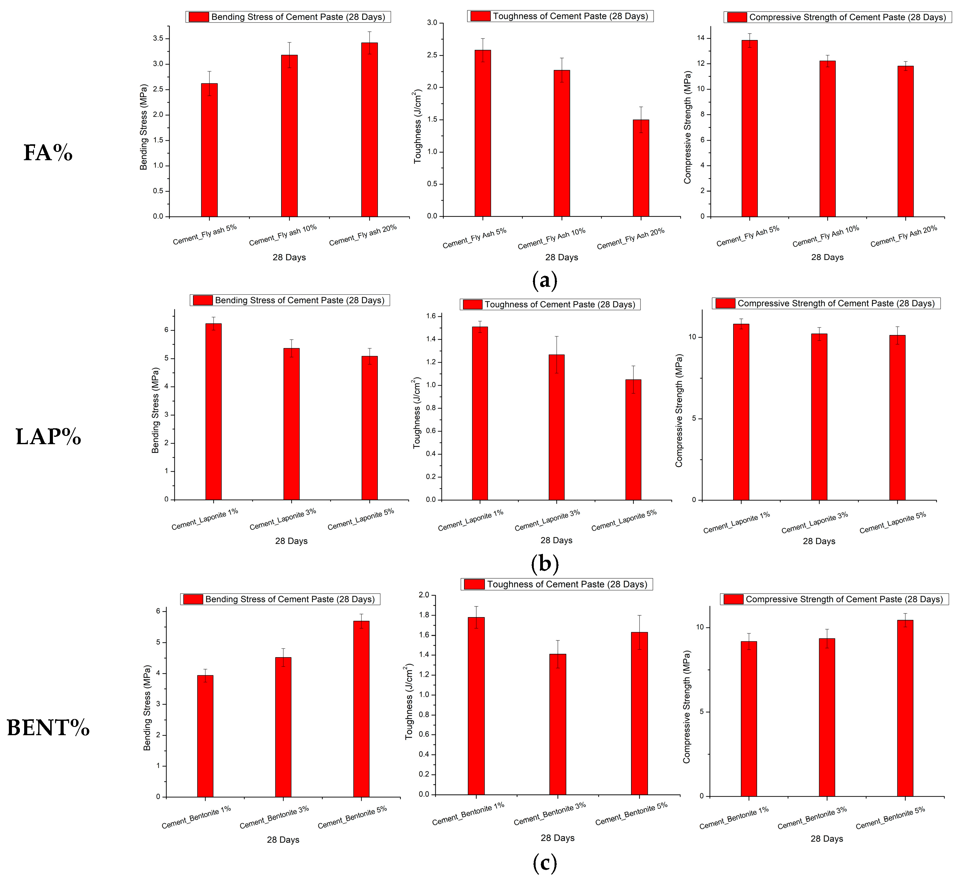
3. Results and Discussion
4. Conclusions
Author Contributions
Funding
Data Availability Statement
Conflicts of Interest
References
- Asghar, R.; Khan, M.A.; Alyousef, R.; Javed, M.F.; Ali, M. Promoting the green Construction: Scientometric review on the mechanical and structural performance of geopolymer concrete. Constr. Build. Mater. 2023, 368, 130502. [Google Scholar] [CrossRef]
- Kylili, A.; Fokaides, P.A. Policy trends for the sustainability assessment of construction materials: A review. Sustain. Cities Soc. 2017, 35, 280–288. [Google Scholar] [CrossRef]
- Juenger, M.C.G.; Snellings, R.; Bernal, S.A. Supplementary cementitious materials: New sources, characterization, and performance insights. Cem. Concr. Res. 2019, 122, 257–273. [Google Scholar] [CrossRef]
- Scrivener, K.L.; John, V.M.; Gartner, E.M. Eco-efficient cements: Potential economically viable solutions for a low-CO2 cement-based materials industry. Cem. Concr. Res. 2018, 114, 2–26. [Google Scholar] [CrossRef]
- Reike, D.; Vermeulen, W.J.V.; Witjes, S. The circular economy: New or Refurbished as CE 3.0?—Exploring Controversies in the Conceptualization of the Circular Economy through a Focus on History and Resource Value Retention Options. Resour. Conserv. Recycl. 2018, 135, 246–264. [Google Scholar] [CrossRef]
- Hossain, M.U.; Ng, S.T.; Antwi-Afari, P.; Amor, B. Circular economy and the construction industry: Existing trends, challenges and prospective framework for sustainable construction. Renew. Sustain. Energy Rev. 2020, 130, 109948. [Google Scholar] [CrossRef]
- Saeli, M.; Capela, M.N.; Piccirillo, C.; Tobaldi, D.M.; Seabra, M.P.; Scalera, F.; Striani, R.; Corcione, C.E.; Campisi, T. Development of energy-saving innovative hydraulic mortars reusing spent coffee ground for applications in construction. J. Clean. Prod. 2023, 399, 136664. [Google Scholar] [CrossRef]
- Adesina, A. Recent advances in the concrete industry to reduce its carbon dioxide emissions. Environ. Challen. 2020, 1, 100004. [Google Scholar] [CrossRef]
- Singh, T.; Patnaik, A.; Chauhan, R. Optimization of tribological properties of cement kiln dust-filled brake pad using grey relation analysis. Mater. Des. 2016, 89, 1335–1342. [Google Scholar] [CrossRef]
- Scrivener, K.L. Options for the future of cement. Indian Concr. J. 2014, 88, 11–21. [Google Scholar]
- Nasr, M.S.; Hussain, T.H.; Kubba, H.Z.; Shubbar, A.A. Influence of Using High Volume Fraction of Silica Fume on Mechanical and Durability Properties of Cement Mortar. J. Eng. Sci. Technol. 2020, 15, 2492–2506. [Google Scholar]
- Zhang, R.; Qureshi, T.S.; Panesar, D.K. 28—Management of industrial waste and cost analysis. In Handbook of Sustainable Concrete and Industrial Waste Management; Colangelo, F., Cioffi, R., Farina, I., Eds.; Woodhead Publishing: Sawston, UK, 2022; pp. 595–614. [Google Scholar] [CrossRef]
- Amin, N.; Alam, S.; Gul, S. Effect of thermally activated clay on corrosion and chloride resistivity of cement mortar. J. Clean. Prod. 2016, 111, 155–160. [Google Scholar] [CrossRef]
- Du, H.; Pang, S.D. High-performance concrete incorporating calcined kaolin clay and limestone as cement substitute. Constr. Build. Mater. 2020, 264, 120152. [Google Scholar] [CrossRef]
- Nagar, P.A.; Gupta, N.; Kishore, K.; Parashar, A.K. Coupled effect of B. Sphaericus bacteria and calcined clay mineral on OPC concrete. Mater. Today Proc. 2021, 44, 113–117. [Google Scholar] [CrossRef]
- Benhelal, E.; Zahedi, G.; Shamsaei, E.; Bahadori, A. Global strategies and potentials to curb CO2 emissions in cement industry. J. Clean. Prod. 2013, 51, 142–161. [Google Scholar] [CrossRef]
- Marinković, S.; Radonjanin, V.; Malešev, M.; Ignjatović, I. Comparative environmental assessment of natural and recycled aggregate concrete. Waste Manag. 2010, 30, 2255–2264. [Google Scholar] [CrossRef] [PubMed]
- Gursel, A.P.; Maryman, H.; Ostertag, C. A life-cycle approach to environmental, mechanical, and durability properties of “green” concrete mixes with rice husk ash. J. Clean. Prod. 2016, 112, 823–836. [Google Scholar] [CrossRef]
- “Projected Value of Green Building Materials Market Worldwide for 2011 and 2022” Statistica Research Department. 2023. Available online: https://www.statista.com/statistics/587718/green-building-materials-market-outlook-worldwide/ (accessed on 31 May 2023).
- Nicula, L.M.; Manea, D.L.; Simedru, D.; Cadar, O.; Becze, A.; Dragomir, M.L. The Influence of Blast Furnace Slag on Cement Concrete Road by Microstructure Characterization and Assessment of Physical-Mechanical Resistances at 150/480 Days. Materials 2023, 16, 3332. [Google Scholar] [CrossRef]
- Wang, Y.-S.; Wang, X.-Y. Multi-characterizations of the hydration, microstructure, and mechanical properties of a biochar–limestone calcined clay cement (LC3) mixture. J. Mater. Res. Technol. 2023, 24, 3691–3703. [Google Scholar] [CrossRef]
- Shcherban’, E.M.; Beskopylny, A.N.; Stel’makh, S.A.; Mailyan, L.R.; Meskhi, B.; Shilov, A.A.; Pimenova, E.; El’shaeva, D. Combined Effect of Ceramic Waste Powder Additives and PVA on the Structure and Properties of Geopolymer Concrete Used for Finishing Facades of Buildings. Materials 2023, 16, 3259. [Google Scholar] [CrossRef]
- Fahmi, A.; Amini, A.B.; Marabi, Y.; Zavaragh, S.R.; Majnouni-Toutakhane, A. Effect of curing temperature on the mechanical strength of alkali activated laterite geopolymeric samples. J. Eng. Res. 2021, 11, 38–51. [Google Scholar] [CrossRef]
- Wei, J.; Zhou, Y.; Wang, Y.; Miao, Z.; Guo, Y.; Zhang, H.; Li, X.; Wang, Z.; Shi, Z. A large-sized thermoelectric module composed of cement-based composite blocks for pavement energy harvesting and surface temperature reducing. Energy 2023, 265, 126398. [Google Scholar] [CrossRef]
- Zaid, O.; Martinez, R.-G.; Aslam, F. Influence of Wheat Straw Ash as Partial Substitute of Cement on Properties of High-Strength Concrete Incorporating Graphene Oxide. J. Mater. Civ. Eng. 2022, 34, 04022295. [Google Scholar] [CrossRef]
- Peter, A.E.K.; Balasubramanian, M.; Mukilan, P. Replacement of cementitious material by using agricultural waste. AIP Conf. Proc. 2022, 2515, 030003. [Google Scholar]
- Wu, X.; Zhu, F.; Zhou, M.; Sabri, M.M.S.; Huang, J. Intelligent Design of Construction Materials: A Comparative Study of AI Approaches for Predicting the Strength of Concrete with Blast Furnace Slag. Materials 2022, 15, 4582. [Google Scholar] [CrossRef] [PubMed]
- Razak, R.A.; Chin, Y.Q.; Abdullah, M.M.A.B.; Yahya, Z.; Ishak, M.K.; Garus, S.; Nabiałek, M.; Zailani, W.W.A.; Masri, K.A.; Sandu, A.V.; et al. Effect of Rice Straw Ash (RSA) as partially replacement of cement toward fire resistance of self-compacting concrete. Arch. Civ. Eng. 2021, 68, 353–363. [Google Scholar]
- Halassa, R.A.; Bibi, M.; Chikouche, M.-A. Behavior of cementitious materials under the effect of an eco-cement based on dredged sludge. Ann. Chim.-Sci. Matéria 2021, 45, 455–465. [Google Scholar] [CrossRef]
- He, H.; Shuang, E.; Qiao, H.; Yang, J.; Lin, C.; He, C.; Xu, P. A general and simple method to disperse 2D nanomaterials for promoting cement hydration. Constr. Build. Mater. 2024, 427, 136217. [Google Scholar] [CrossRef]
- Li, Z.; Gao, M.; Lei, Z.; Tong, L.; Sun, J.; Wang, Y.; Wang, X.; Jiang, X. Ternary cementless composite based on red mud, ultra-fine fly ash, and GGBS: Synergistic utilization and geopolymerization mechanism. Case Stud. Constr. Mater. 2023, 19, e02410. [Google Scholar] [CrossRef]
- Durrant, C.B.; Begg, J.D.; Kersting, A.B.; Zavarin, M. Cesium sorption reversibility and kinetics on illite, montmorillonite, and kaolinite. Sci. Total Environ. 2018, 610–611, 511–520. [Google Scholar] [CrossRef]
- Liu, Y.; Wang, B.; Fan, Y.; Yu, J.; Shi, T.; Zhou, Y.; Song, Y.; Xu, G.; Xiong, C.; Zhou, X. Effects of reactive MgO on durability and microstructure of cement-based materials: Considering carbonation and pH value. Constr. Build. Mater. 2024, 426, 136216. [Google Scholar] [CrossRef]
- Mathapati, M.; Amate, K.; Durga Prasad, C.; Jayavardhana, M.L.; Hemanth Raju, T. A review on fly ash utilization. Mater. Today Proc. 2022, 50, 1535–1540. [Google Scholar] [CrossRef]
- LAPONITE RD. Available online: http://east8west.com/data/PB_Laponite_RD_EN.pdf (accessed on 5 June 2024).
- Kaufhold, S.; Plötze, M.; Klinkenberg, M.; Dohrmann, R. Density and porosity of bentonites. J. Porous Mater. 2013, 20, 191–208. [Google Scholar] [CrossRef]
- Mixing Water for Concrete—Specification for Sampling, Testing and Assessing the Suitability of Water, including Water Recovered from Concrete Plant Recycling, as Mixing Water for Concrete. 2003. Available online: https://www.technicke-normy-csn.cz/csn-en-1008-732028-223001.html# (accessed on 9 June 2023).
- Test Methods for Mortars for Masonry—Part 11: Determination of Tensile, Flexural and Compressive Strength of Hardened Mortars. 2020. Available online: https://www.technicke-normy-csn.cz/csn-en-1015-11-722400-219300.html# (accessed on 5 June 2023).
- Determination of Charpy Impact Strength—Part 2: Instrumented Impact Test. 2021. Available online: https://www.technicke-normy-csn.cz/csn-en-iso-179-2-640612-211925.html# (accessed on 7 June 2023).
- Missengue, R.N.M.; Losch, P.; Musyoka, N.M.; Louis, B.; Pale, P.; Petrik, L.F. Conversion of South African Coal Fly Ash into High-Purity ZSM-5 Zeolite without Additional Source of Silica or Alumina and Its Application as a Methanol-to-Olefins Catalyst. Catalysts 2018, 8, 124. [Google Scholar] [CrossRef]
- Wood, J.M. Biological Cycles for Toxic Elements in the Environment. Science 1974, 183, 1049–1052. [Google Scholar] [CrossRef]
- Opal. 2023. Available online: https://geologyscience.com/gemstone/opal/ (accessed on 2 July 2023).
- Jatav, S.; Joshi, Y.M. Chemical stability of Laponite in aqueous media. Appl. Clay Sci. 2014, 97–98, 72–77. [Google Scholar] [CrossRef]
- Erfani, S.M.H.; Danesh, S.; Karrabi, S.M.; Gheibi, M.; Nemati, S. Statistical analysis of effective variables on the performance of waste storage service using geographical information system and response surface methodology. J. Environ. Manag. 2019, 235, 453–462. [Google Scholar] [CrossRef]
- Panda, L.; Dash, S. Characterization and utilization of coal fly ash: A review. Emerg. Mater. Res. 2020, 9, 921–934. [Google Scholar] [CrossRef]
- Debbarma, S.; Ransinchung, G.D.; Dhaka, M. Effects of a Portland cement additive rich in SiO2 and Al2O3 in microstructure densification of RAP incorporated RCCP mixes. Constr. Build. Mater. 2020, 258, 119626. [Google Scholar] [CrossRef]
- Bui, P.T.; Ogawa, Y.; Nakarai, K.; Kawai, K. Effect of internal alkali activation on pozzolanic reaction of low-calcium fly ash cement paste. Mater. Struct. 2016, 49, 3039–3053. [Google Scholar] [CrossRef]
- Li, H.; Xu, D.; Feng, S.; Shang, B. Microstructure and performance of fly ash micro-beads in cementitious material system. Constr. Build. Mater. 2014, 52, 422–427. [Google Scholar] [CrossRef]
- Wang, F.; Sun, X.; Tao, Z.; Pan, Z. Effect of silica fume on compressive strength of ultra-high-performance concrete made of calcium aluminate cement/fly ash based geopolymer. J. Build. Eng. 2022, 62, 105398. [Google Scholar] [CrossRef]
- Han, X.; Feng, J.; Wang, B. Relationship between fractal feature and compressive strength of fly ash-cement composite cementitious materials. Cem. Concr. Compos. 2023, 139, 105052. [Google Scholar] [CrossRef]
- Ahmed, A.; Mahmoud, A.A.; Elkatatny, S. Curing Time Impacts on the Mechanical and Petrophysical Properties of a Laponite-Based Oil Well Cement. ACS Omega 2022, 7, 31246–31259. [Google Scholar] [CrossRef]
- Shi, C.; Meyer, C.; Behnood, A. Utilization of copper slag in cement and concrete. Resour. Conserv. Recycl. 2008, 52, 1115–1120. [Google Scholar] [CrossRef]
- Singh, M.; Siddique, R.; Singh, J. 1—Coal fly ash. In Sustainable Concrete Made with Ashes and Dust from Different Sources; Siddique, R., Belarbi, R., Eds.; Woodhead Publishing: Sawston, UK, 2022; pp. 1–29. [Google Scholar] [CrossRef]
- Tran, V.M.; Nguyen, L.T.; Nguyen, T.H.Y. Enhancing the effectiveness of steam curing for cement paste incorporating fly ash based on long-term compressive strength and reaction degree of fly ash. Case Stud. Constr. Mater. 2022, 16, e01146. [Google Scholar] [CrossRef]
- Akmalaiuly, K.; Berdikul, N.; Pundienė, I.; Pranckevičienė, J. The Effect of Mechanical Activation of Fly Ash on Cement-Based Materials Hydration and Hardened State Properties. Materials 2023, 16, 2959. [Google Scholar] [CrossRef]
- El Fami, N.; Ez-zaki, H.; Boukhari, A.; Khachani, N.; Diouri, A. Influence of mechanical activation of fly ash on the properties of Portland cement mortars. Mater. Today Proc. 2022, 58, 1419–1422. [Google Scholar] [CrossRef]
- Yang, J.; Zeng, L.; He, X.; Su, Y.; Li, Y.; Tan, H.; Jiang, B.; Zhu, H.; Oh, S.-K. Improving durability of heat-cured high volume fly ash cement mortar by wet-grinding activation. Constr. Build. Mater. 2021, 289, 123157. [Google Scholar] [CrossRef]
- Tomás, H.; Alves, C.S.; Rodrigues, J. Laponite®: A key nanoplatform for biomedical applications? Nanomed. Nanotechnol. Biol. Med. 2018, 14, 2407–2420. [Google Scholar] [CrossRef]
- Kawashima, S.; Wang, K.; Ferron, R.D.; Kim, J.H.; Tregger, N.; Shah, S. A review of the effect of nanoclays on the fresh and hardened properties of cement-based materials. Cem. Concr. Res. 2021, 147, 106502. [Google Scholar] [CrossRef]
- Papatzani, S.; Paine, K.; Calabria-Holley, J. Dispersed and modified montmorillonite clay nanoparticles for blended Portland cement pastes: Effects on microstructure and strength. In Proceedings of the 5th International Symposium on Nanotechnology in Construction, Chicago, IL, USA, 24–26 May 2015; Springer: Berlin/Heidelberg, Germany, 2015; pp. 131–139. [Google Scholar] [CrossRef]
- Zhu, J.; Feng, C.; Yin, H.; Zhang, Z.; Shah, S.P. Effects of colloidal nanoBoehmite and nanoSiO2 on fly ash cement hydration. Constr. Build. Mater. 2015, 101, 246–251. [Google Scholar] [CrossRef]
- Abdelmelek, N.; Lubloy, E. Flexural strength of silica fume, fly ash, and metakaolin of hardened cement paste after exposure to elevated temperatures. J. Therm. Anal. Calorim. 2022, 147, 7159–7169. [Google Scholar] [CrossRef]
- Genc Tokgoz, D.D.; Ozerkan, N.G.; Antony, S.J. Untreated municipal solid waste incineration ashes for cement replacement. J. Eng. Res. 2023, 11, 34–39. [Google Scholar] [CrossRef]
- Goh, C.-C.; Show, K.-Y.; Cheong, H.-K. Municipal Solid Waste Fly Ash as a Blended Cement Material. J. Mater. Civ. Eng. 2003, 15, 513–523. [Google Scholar] [CrossRef]
- Amat, R.C.; Ibrahim, N.M.; Rahim, N.L.; Ismail, K.N.; Hamid, A.S.A.; Boboc, M. Influence of Cement Paste Containing Municipal Solid Waste Bottom Ash on the Strength Behavior of Concrete. In Proceedings of the 3rd International Conference on Green Environmental Engineering and Technology, Penang, Malaysia, July 2021; Springer Nature: Singapore, 2022; pp. 281–289. [Google Scholar]












| Tools and Materials | Goals | Researchers |
|---|---|---|
| Experimental application tests and characterization of prepared concrete in different mixtures | The evaluation of blast furnace slag additive in the cement in time series | [20] |
| Micro and macro experiments on biochar low-carbon cement mixtures to estimate hydration and engineering properties | Assessment of biochar–limestone calcined clay in low-carbon cement at different ages | [21] |
| Optimization of geo-polymer concrete samples with different concentrations | Influence of ceramic waste powder and PVA on geo-polymers | [22] |
| Experimental design, characterization and mechanical tests for different curing temperatures and at different ages | Impact of curing temperature of alkali-activated laterite-rock-powder-based geo-polymer samples | [23] |
| Experimental evaluation and characterization of cement-based composites by adding different materials | Improvement of thermoelectric properties of large-sized thermoelectric cement composites for surface temperature reduction and pavement energy harvesting | [24] |
| Optimization of mechanical and durability properties and characterization of samples with different percentages of materials | Enhancement in mechanical properties and durability of high-strength concrete with wheat straw ash as a partial replacement for cement | [25] |
| Characterization of the samples by using XRD, SEM, TEM, BET and MIP | Study of mortars replaced with waste agriculture waste in the form of aerogel | [26] |
| Investigation of the predictive performance of various machine learning models for estimating compressive strength | Determination of compressive strength of green concrete with blast furnace slag | [27] |
| Mechanical tests of the samples with different dosages of rice straw ash | Evaluation of self-compacting concrete with rice straw ash as a partial replacement for cement at different time periods | [28] |
| Physical and mechanical testing of the samples containing different percentages of calcined sludge | Study of cementitious materials with partial replacement of cement by sludge at different ages | [29] |
| Material | Specification |
|---|---|
| Cement | Ordinary Portland cement ČSN EN 197-1, Denmark |
| Fly ash | Fly ash for concrete as per DIN EN 450, Betoment OP Germany |
| Laponite RD | SYnL-1 (Synthetic layered silicate, hydrous sodium lithium magnesium silicate), Clay Minerals Society Source Clays Repository P.O. Box 460130, Aurora, Colorado 80046-0130 USA |
| Bentonite | Bentonite Clay Ekokoza s.r.o, Czech Republic |
| Sample Name | Fly Ash (FA) | Laponite (LAP) | Bentonite (BENT) |
|---|---|---|---|
| Sample 1 (S1) | 5% | 0 | 0 |
| Sample 2 (S2) | 10% | 0 | 0 |
| Sample 3 (S3) | 20% | 0 | 0 |
| Sample 4 (S4) | 0 | 1% | 0 |
| Sample 5 (S5) | 0 | 3% | 0 |
| Sample 6 (S6) | 0 | 5% | 0 |
| Sample 7 (S7) | 0 | 0 | 1% |
| Sample 8 (S8) | 0 | 0 | 3% |
| Sample 9 (S9) | 0 | 0 | 5% |
| Device | Specification |
|---|---|
| Measuring Scale | Table Digital Accurate, Mettler-Toledo, s.r.o., Czech Republic |
| Mixer | KENWOOD XL TITANIUM, Great Britain |
| Vibrating Table | VSB-40 NS, Brio Harnice s.r.o., Czech Republic |
| Universal Testing Machine | Tira TEST 2300, Germany |
| Charpy Hammer LAB TEST | CHK 50J LABOR Tech, Czech Republic |
| SEM and EDS | VEGA3 TESCAN, Czech Republic |
| Additive | Formula | Elements | Toxic Level | Reference |
| FA | Si(6), Al(1), Na(2), H2O(339) | Si, Al, Na, H, O | Al = 5, Si = 3, Na = 2, H2O = 0, Li = 4, Mg = 4 | [40,41] |
| BENT | (Na,Ca)0.33(Al,Mg)2Si4O10(OH)2·nH2O | Na, Si, Al, Mg, Ca, O, H | [42] | |
| LAP | Na0.7Si8Mg5.5Li0.3O20(OH)4 | Na, Si, Li, O, H | [43] |
| No. | Stage | Descriptions |
|---|---|---|
| 1 | Calculation of Environmental Impact Scores | To assess the environmental impact of different mixtures, environmental impact scores are assigned to each chemical element present in the mixture. The following equation is used to calculate the environmental impact score (EIS) for a given element: EIS = ∑ (C_i × S_i) C_i represents the percentage of the element in the mixture. S_i represents the environmental impact score assigned to that element. |
| 2 | Sample Description and Calculation of Environmental Impact | For each sample, the environmental impact is calculated based on the chemical composition using the previously defined equation: EIS_sample_i = (C_Al × S_Al) + (C_Si × S_Si) + (C_Na × S_Na) C_Al, C_Si, and C_Na represent the percentages of aluminum, silicon, and sodium in the sample, respectively. S_Al, S_Si, and S_Na represent the environmental impact scores assigned to aluminum, silicon, and sodium, respectively. |
| 3 | Calculation of Total Environmental Impact | To obtain an overall measure of environmental impact for each sample, the individual environmental impact scores of aluminum, silicon, and sodium are summed up: Total_EI_sample_i = EIS_sample_i The Total_EI_sample_i represents the total environmental impact score for sample i. |
| 4 | Visualisation and Analysis | The obtained environmental impact scores are visualised using a bar graph. Each sample is represented on the x-axis, while the corresponding total environmental impact score is displayed on the y-axis. The bar graph provides a comparative analysis of the environmental impacts of different samples. |
| Stage No. | Formula | Description | Reference |
|---|---|---|---|
| 1 | F (a1, a2, …, an) = | In the given equation, the evaluations of alternative “a” with respect to “n” criteria are represented by the variable “ai”. It is mentioned that the inputs of the operator should be ranked in descending order. Therefore, “bi” represents the “i-th” largest element in the set of inputs “a1 … n”. To calculate the associated weights of the OWA operator, the coefficients “wi” are used. These weights satisfy the conditions of being between 0 and 1, and their sum equals 1 (w = 1). | [44] |
| 2 | − | Computing the weights | |
| 3 | Q (r) = rα | In the Q (r) equation, “r” is defined as the rank of “i” among “n” elements, with “i” ranging from 1 to “n”. The coefficient “α” represents the optimism coefficient of decision makers (DMs), which has also been widely used to calculate linguistic quantifiers. Very optimistic: α = 0.0001 Optimistic: α = 0.1 Fairly optimistic: α = 0.5 Neutral: α = 1 Fairly pessimistic: α = 2 Pessimistic: α = 10 Very pessimistic: α = 10,000 |
Disclaimer/Publisher’s Note: The statements, opinions and data contained in all publications are solely those of the individual author(s) and contributor(s) and not of MDPI and/or the editor(s). MDPI and/or the editor(s) disclaim responsibility for any injury to people or property resulting from any ideas, methods, instructions or products referred to in the content. |
© 2024 by the authors. Licensee MDPI, Basel, Switzerland. This article is an open access article distributed under the terms and conditions of the Creative Commons Attribution (CC BY) license (https://creativecommons.org/licenses/by/4.0/).
Share and Cite
Mahmood, A.; Pechočiaková, M.; Noman, M.T.; Wacławek, S.; Gheibi, M.; Behzadian, K.; Militký, J. Preparation of Green Sustainable Cement Paste Mixture Based on Inorganic Additives: An Experimental and Modelling Approach. Buildings 2024, 14, 1922. https://doi.org/10.3390/buildings14071922
Mahmood A, Pechočiaková M, Noman MT, Wacławek S, Gheibi M, Behzadian K, Militký J. Preparation of Green Sustainable Cement Paste Mixture Based on Inorganic Additives: An Experimental and Modelling Approach. Buildings. 2024; 14(7):1922. https://doi.org/10.3390/buildings14071922
Chicago/Turabian StyleMahmood, Aamir, Miroslava Pechočiaková, Muhammad Tayyab Noman, Stanisław Wacławek, Mohammad Gheibi, Kourosh Behzadian, and Jiří Militký. 2024. "Preparation of Green Sustainable Cement Paste Mixture Based on Inorganic Additives: An Experimental and Modelling Approach" Buildings 14, no. 7: 1922. https://doi.org/10.3390/buildings14071922
APA StyleMahmood, A., Pechočiaková, M., Noman, M. T., Wacławek, S., Gheibi, M., Behzadian, K., & Militký, J. (2024). Preparation of Green Sustainable Cement Paste Mixture Based on Inorganic Additives: An Experimental and Modelling Approach. Buildings, 14(7), 1922. https://doi.org/10.3390/buildings14071922

