Early-Age Shrinkage Stress of Alkali-Activated Cement-Free Mortar Using Shrinkage Reducing Agent and Expansive Additive
Abstract
1. Introduction
2. Materials and Methods
2.1. Materials and Mixture Proportions of Cement-Free Mortar
2.2. Test Methods
2.2.1. Compressive Strength Test
2.2.2. Modulus of Elasticity Test
2.2.3. Shrinkage Test
3. Results
3.1. Compressive Strength
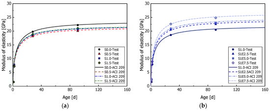
3.2. Modulus of Elasticity
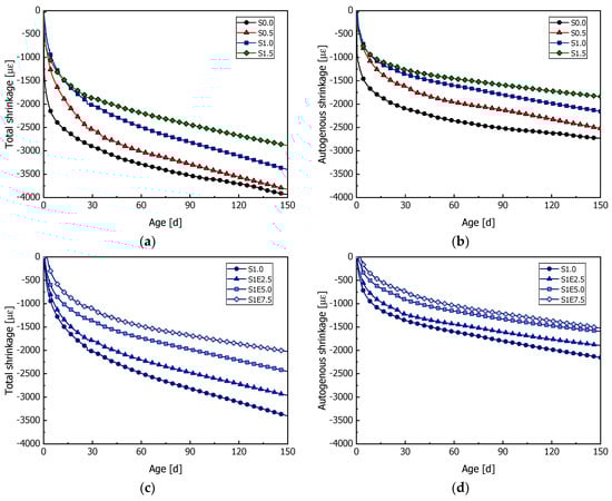
3.3. Shrinkage
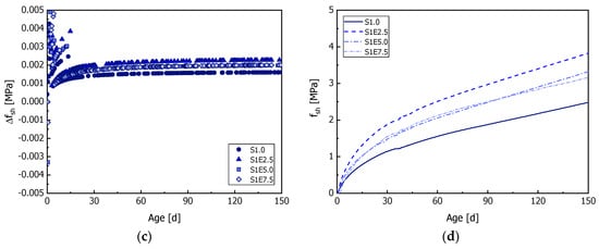
3.4. Stress of Shrinkage (2 Days)
3.5. Stress of Shrinkage (150 Days)
4. Conclusions
- Using an SRA only, the compressive strengths decreased as the content of the SRA increased due to the low surface tension of the mixing water and a delay in the hydration reaction. When using both an SRA and EA, the initial compressive strengths were higher than those of S0.0 due to the expansion effect; however, this phenomenon was not continued over the long term.
- At early ages (2 days), the unit shrinkage stress decreased, and the occurrence of the maximum unit shrinkage stress was delayed when using the SRA since it had the low elastic modulus compared to the S0.0 specimens. Meanwhile, the expansion occurred when using both the SRA and EA and the duration of the expansion increased as the EA content increased. In addition, the cumulative shrinkage stress was larger than S1.0 due to the increase in the elastic modulus by the EA.
- At later ages (150 days), the influence of the elastic modulus increased the cumulative shrinkage stress. As the SRA content increased, the cumulative shrinkage stress decreased due to the low shrinkage rate and low elastic modulus. Meanwhile, the cumulative shrinkage stress of the specimens incorporating the EA increased despite the reduced shrinkage rate due to the increase in the elastic modulus.
Author Contributions
Funding
Data Availability Statement
Acknowledgments
Conflicts of Interest
References
- Miller, S.A.; John, V.M.; Pacca, S.A.; Horvath, A. Carbon dioxide reduction potential in the global cement industry by 2050. Cem. Concr. Res. 2018, 114, 115–124. [Google Scholar] [CrossRef]
- Barcelo, L.; Kline, J.; Walenta, G.; Gartner, E. Cement and carbon emissions. Mater. Struct. 2014, 47, 1055–1065. [Google Scholar] [CrossRef]
- Hasanbeigi, A.; Price, L.; Lin, E. Emerging energy-efficiency and CO2 emission-reduction technologies for cement and concrete production: A technical review. Renew. Sustain. Energy Rev. 2012, 16, 6220–6238. [Google Scholar] [CrossRef]
- Das, S.; Saha, P.; Jena, S.P.; Panda, P. Geopolymer concrete: Sustainable green concrete for reduced greenhouse gas emission–A review. Mater. Today Proc. 2022, 60, 62–71. [Google Scholar] [CrossRef]
- Yang, K.H.; Jung, Y.B.; Cho, M.S.; Tae, S.H. Effect of supplementary cementitious materials on reduction of CO2 emissions from concrete. J. Clean. Prod. 2015, 103, 774–783. [Google Scholar] [CrossRef]
- Wang, X.Y.; Lee, H.S. Effect of global warming on the proportional design of low CO2 slag-blended concrete. Constr. Build. Mater. 2019, 225, 1140–1151. [Google Scholar] [CrossRef]
- Elchalakani, M.; Basarir, H.; Karrech, A. Green concrete with high-volume fly ash and slag with recycled aggregate and recycled water to build future sustainable cities. J. Mater. Civ. Eng. 2017, 29, 04016219. [Google Scholar] [CrossRef]
- Aliabdo, A.A.; Abd Elmoaty, M.; Aboshama, A.Y. Utilization of waste glass powder in the production of cement and concrete. Constr. Build. Mater. 2016, 124, 866–877. [Google Scholar] [CrossRef]
- Choi, S.; Lee, K.M. Influence of Na2O content and Ms (SiO2/Na2O) of alkaline activator on workability and setting of alkali-activated slag paste. Materials 2019, 12, 2072. [Google Scholar] [CrossRef]
- Shubbar, A.A.; Sadique, M.; Shanbara, H.K.; Hashim, K. The development of a new low carbon binder for construction as an alternative to cement. In Advances in Sustainable Construction Materials and Geotechnical Engineering; Springer: Singapore, 2020. [Google Scholar]
- Grist, E.R.; Paine, K.A.; Heath, A.; Norman, J.; Pinder, H. The environmental credentials of hydraulic lime-pozzolan concretes. J. Clean. Prod. 2015, 93, 26–37. [Google Scholar] [CrossRef]
- Zhang, J.; Shi, C.; Zhang, Z.; Ou, Z. Durability of alkali-activated materials in aggressive environments: A review on recent studies. Constr. Build. Mater. 2017, 152, 598–613. [Google Scholar] [CrossRef]
- Collins, F.; Sanjayan, J.G. Cracking tendency of alkali-activated slag concrete subjected to restrained shrinkage. Cem. Concr. Res. 2000, 30, 791–798. [Google Scholar] [CrossRef]
- Cartwright, C.; Rajabipour, F.; Radlińska, A. Shrinkage characteristics of alkali-activated slag cements. J. Mater. Civ. Eng. 2014, 27, B4014007. [Google Scholar] [CrossRef]
- Collins, F.G.; Sanjayan, J.G. Workability and mechanical properties of alkali activated slag concrete. Cem. Concr. Res. 1999, 29, 455–458. [Google Scholar] [CrossRef]
- Gu, Y.; Fang, Y. Shrinkage, Cracking, Shrinkage-Reducing and Toughening of Alkali-Activated Slag Cement—A Short Review. J. Chin. Ceram. Soc. 2012, 40, 76–84. [Google Scholar]
- Bernal, S.A.; Provis, J.L. Durability of alkali-activated materials: Progress and perspectives. J. Am. Ceram. Soc. 2014, 97, 997–1008. [Google Scholar] [CrossRef]
- Law, D.W.; Adam, A.A.; Molyneaux, T.K.; Patnaikuni, I. Durability assessment of alkali activated slag (AAS) concrete. Mater. Struct. 2012, 45, 1425–1437. [Google Scholar] [CrossRef]
- Abolfathi, M.; Omur, T.; Kabay, N. Effect of microfibers or SRA on the shrinkage and mechanical properties of alkali activated slag/fly ash-based mortars incorporating recycled fine aggregate. Constr. Build. Mater. 2023, 373, 130883. [Google Scholar] [CrossRef]
- Al Makhadmeh, W.; Soliman, A. On the mechanisms of shrinkage reducing admixture in alkali activated slag binders. J. Build. Eng. 2022, 56, 104812. [Google Scholar] [CrossRef]
- Xu, R.; Kong, F.; Yang, R.; Wang, H.; Hong, T. Drying shrinkage mitigation of alkali-activated blast furnace slag-copper slag by polyether-based shrinkage reducing admixture and MgO-based expansion agent. Constr. Build. Mater. 2024, 416, 135172. [Google Scholar] [CrossRef]
- Choi, S.; Ryu, G.S.; Koh, K.T.; An, G.H.; Kim, H.Y. Experimental study on the shrinkage behavior and mechanical properties of AAM mortar mixed with CSA expansive additive. Materials 2019, 12, 3312. [Google Scholar] [CrossRef] [PubMed]
- Palacios, M.; Puertas, F. Effect of shrinkage-reducing admixtures on the properties of alkali-activated slag mortars and pastes. Cem. Concr. Res. 2007, 37, 691–702. [Google Scholar] [CrossRef]
- KS F 2563; Ground Granulated Blast-Furnace Slag for Use in Concrete. Korean Standards: Seoul, Republic of Korea, 2019.
- KS L5405; Fly Ash. Korean Standards: Seoul, Republic of Korea, 2018.
- ASTM C39/C39M-18; Standard Test Method for Compressive Strength of Cylindrical Concrete Specimens. ASTM International: West Conshohocken, PA, USA, 2016.
- ASTM C469M-14; Standard Test Method for Static Modulus of Elasticity and Poisson’s Ratio of Concrete in Compression. ASTM International: West Conshohocken, PA, USA, 2014.
- Ravikumar, D.; Neithalath, N. Reaction kinetics in sodium silicate powder and liquid activated slag binders evaluated using isothermal calorimetry. Thermochim. Acta 2012, 546, 32–43. [Google Scholar] [CrossRef]
- Chang, J.J. A study on the setting characteristics of sodium silicate-activated slag pastes. Cem. Concr. Res. 2003, 33, 1005–1011. [Google Scholar] [CrossRef]
- Shi, C.; Roy, D.; Krivenko, P. Alkali-Activated Cements and Concretes; CRC Press: Boca Raton, FL, USA, 2003. [Google Scholar]
- Bílek, V.; Kalina, L.; Novotný, R.; Tkacz, J.; Pařízek, L. Some issues of shrinkage-reducing admixtures application in alkali-activated slag systems. Materials 2016, 9, 462. [Google Scholar] [CrossRef]
- Nguyen, C.V.; Mangat, P.S.; Jones, G. Effect of shrinkage reducing admixture on the strength and shrinkage of alkali activated cementitious mortar. In IOP Conference Series: Materials Science and Engineering; IOP Publishing: Bristol, UK, 2018; Volume 371, p. 012022. [Google Scholar]
- Jia, Z.; Yang, Y.; Yang, L.; Zhang, Y.; Sun, Z. Hydration products, internal relative humidity and drying shrinkage of alkali activated slag mortar with expansion agents. Constr. Build. Mater. 2018, 158, 198–207. [Google Scholar] [CrossRef]
- Vakhshouri, B.; Nejadi, S. Empirical models and design codes in prediction of modulus of elasticity of concrete. Front. Struct. Civ. Eng. 2019, 13, 38–48. [Google Scholar] [CrossRef]
- Zhan, P.M.; He, Z.H. Application of shrinkage reducing admixture in concrete: A review. Constr. Build. Mater. 2019, 201, 676–690. [Google Scholar] [CrossRef]
- Das, B.B.; Kondraivendhan, B. Implication of pore size distribution parameters on compressive strength, permeability and hydraulic diffusivity of concrete. Constr. Build. Mater. 2012, 28, 382–386. [Google Scholar] [CrossRef]
- Speziale, S.; Jiang, F.; Mao, Z.; Monteiro, P.J.; Wenk, H.R.; Duffy, T.S.; Schilling, F.R. Single-crystal elastic constants of natural ettringite. Cem. Concr. Res. 2008, 38, 885–889. [Google Scholar] [CrossRef]
- Coppola, L.; Coffetti, D.; Crotti, E.; Candamano, S.; Crea, F.; Gazzaniga, G.; Pastore, T. The combined use of admixtures for shrinkage reduction in one-part alkali activated slag-based mortars and pastes. Constr. Build. Mater. 2020, 248, 118682. [Google Scholar] [CrossRef]
- Hu, X.; Shi, C.; Zhang, Z.; Hu, Z. Autogenous and drying shrinkage of alkali-activated slag mortars. J. Am. Ceram. Soc. 2019, 102, 4963–4975. [Google Scholar] [CrossRef]
- Maltese, C.; Pistolesi, C.; Lolli, A.; Bravo, A.; Cerulli, T.; Salvioni, D. Combined effect of expansive and shrinkage reducing admixtures to obtain stable and durable mortars. Cem. Concr. Res. 2005, 35, 2244–2251. [Google Scholar] [CrossRef]
- He, Z.; Li, Z.J.; Chen, M.Z.; Liang, W.Q. Properties of shrinkage-reducing admixture-modified pastes and mortar. Mater. Struct. 2006, 39, 445–453. [Google Scholar] [CrossRef]
- Semianiuk, V.; Tur, V.; Herrador, M.F. Early age strains and self-stresses of expansive concrete members under uniaxial restraint conditions. Constr. Build. Mater. 2017, 131, 39–49. [Google Scholar] [CrossRef]









| Type | Density (kg/m3) | Blaine (m2/kg) | CaO (%) | SiO2 (%) | Al2O3 (%) | Fe2O3 (%) | SO3 (%) | MgO (%) | K2O (%) | Na2O (%) | L.O.I. (%) |
|---|---|---|---|---|---|---|---|---|---|---|---|
| GGBFS | 2908 | 468 | 43.4 | 34.6 | 14.3 | 0.6 | 5.0 | 5.1 | 0.5 | 0.2 | −0.2 |
| FA | 2203 | 322 | 3.5 | 56.8 | 22.8 | 6.9 | 0.5 | 1.8 | 1.1 | 0.8 | 2.4 |
| SRA | 3160 | - | 1.4 | 29.0 | 0.2 | 0.1 | - | 0.1 | - | - | 69.2 |
| EA | 2862 | 375 | 36.3 | 30.1 | 24.5 | 1.6 | 5.1 | 1.3 | 0.6 | 0.3 | 0.3 |
| A-Act. | 1026 | - | - | 46.3 | - | - | - | - | - | 50.5 | - |
| Type | Water (g) | Binder (g) | Activator (g) | Sand (g) | SRA (g) | EA (g) |
|---|---|---|---|---|---|---|
| S0.0 | 451 | 1000 | 108 | 1200 | 0 | 0 |
| S0.5 | 451 | 1000 | 108 | 1200 | 2.26 | 0 |
| S1.0 | 451 | 1000 | 108 | 1200 | 4.51 | 0 |
| S1.5 | 451 | 1000 | 108 | 1200 | 6.77 | 0 |
| S1E2.5 | 451 | 1000 | 108 | 1200 | 4.51 | 25 |
| S1E5.0 | 451 | 1000 | 108 | 1200 | 4.51 | 50 |
| S1E7.5 | 451 | 1000 | 108 | 1200 | 4.51 | 75 |
| Age (Day) | S0.0 (MPa) | S0.5 (MPa) | S1.0 (MPa) | S1.5 (MPa) | S1E2.5 (MPa) | S1E5.0 (MPa) | S1E7.5 (MPa) |
|---|---|---|---|---|---|---|---|
| 1 | 2.88 | 2.27 | 2.17 | 2.12 | 3.90 | 4.28 | 4.57 |
| 2 | 34.45 | 27.74 | 26.02 | 27.85 | 28.95 | 33.28 | 33.45 |
| 28 | 45.39 | 38.65 | 37.74 | 37.57 | 40.89 | 46.13 | 48.77 |
| 91 | 52.35 | 47.26 | 42.10 | 41.65 | 43.58 | 50.03 | 50.90 |
| Type | S0.0 | S0.5 | S1.0 | S1.5 | S1E2.5 | S1E5.0 | S1E7.5 |
|---|---|---|---|---|---|---|---|
| a | 8.496 | 8.122 | 8.020 | 7.831 | 8.456 | 8.735 | 9.016 |
| b | 0.697 | 0.710 | 0.714 | 0.720 | 0.698 | 0.688 | 0.678 |
| R2 | 0.915 | 0.918 | 0.919 | 0.920 | 0.945 | 0.949 | 0.945 |
| Type | εtsh (με) | εash (με) | εtsh − εash (με) | ||||||
|---|---|---|---|---|---|---|---|---|---|
| 1 d | 2 d | 150 d | 1 d | 2 d | 150 d | 1 d | 2 d | 150 d | |
| S0.0 | −1637 | −1853 | −3932 | −1096 | −1237 | −2728 | −541 | −616 | −1204 |
| S0.5 | −822 | −969 | −3826 | −437 | −626 | −2518 | −385 | −343 | −1308 |
| S1.0 | −670 | −838 | −3401 | −424 | −554 | −2154 | −246 | −284 | −1247 |
| S1.5 | −326 | −621 | −2887 | −264 | −443 | −1839 | −62 | −178 | −1048 |
| S1E2.5 | −365 | −485 | −2960 | −184 | −335 | −1896 | −181 | −150 | −1064 |
| S1E5.0 | −109 | −344 | −2452 | +11 | −119 | −1594 | −120 | −225 | −858 |
| S1E7.5 | +7 | −7 | −2024 | +29 | +24 | −1523 | −22 | −31 | −501 |
Disclaimer/Publisher’s Note: The statements, opinions and data contained in all publications are solely those of the individual author(s) and contributor(s) and not of MDPI and/or the editor(s). MDPI and/or the editor(s) disclaim responsibility for any injury to people or property resulting from any ideas, methods, instructions or products referred to in the content. |
© 2024 by the authors. Licensee MDPI, Basel, Switzerland. This article is an open access article distributed under the terms and conditions of the Creative Commons Attribution (CC BY) license (https://creativecommons.org/licenses/by/4.0/).
Share and Cite
Yoon, S.-h.; Oh, S.-r.; Kim, J.-y.; Choi, S. Early-Age Shrinkage Stress of Alkali-Activated Cement-Free Mortar Using Shrinkage Reducing Agent and Expansive Additive. Buildings 2024, 14, 1852. https://doi.org/10.3390/buildings14061852
Yoon S-h, Oh S-r, Kim J-y, Choi S. Early-Age Shrinkage Stress of Alkali-Activated Cement-Free Mortar Using Shrinkage Reducing Agent and Expansive Additive. Buildings. 2024; 14(6):1852. https://doi.org/10.3390/buildings14061852
Chicago/Turabian StyleYoon, Seok-ho, Sung-rok Oh, Ji-young Kim, and Sung Choi. 2024. "Early-Age Shrinkage Stress of Alkali-Activated Cement-Free Mortar Using Shrinkage Reducing Agent and Expansive Additive" Buildings 14, no. 6: 1852. https://doi.org/10.3390/buildings14061852
APA StyleYoon, S.-h., Oh, S.-r., Kim, J.-y., & Choi, S. (2024). Early-Age Shrinkage Stress of Alkali-Activated Cement-Free Mortar Using Shrinkage Reducing Agent and Expansive Additive. Buildings, 14(6), 1852. https://doi.org/10.3390/buildings14061852

