Mechanical Characteristics of Cracked Lining Reinforced with Steel Plate–UHPC Subjected to Vertical Load
Abstract
1. Introduction
2. Model Test
2.1. Experimental Content and Similar Design
2.2. Methods of Reinforcement Operations
2.3. Test Setup
2.4. Sensor Arrangement and Testing Process
3. Experimental Results and Discussion
3.1. Force Deformation Characteristics of Steel Plate–UHPC-Reinforced Structure
3.1.1. Relationship between Load and Displacement
3.1.2. Destruction Process and Pattern
3.2. Comparative Analysis of Reinforcement Effects
- (1)
- The peak loads of the original lining, the steel plate reinforced structure, and the steel plate–UHPC-reinforced structure were 77.1 kN, 122.9 kN, and 188.4 kN, respectively. The peak loads of the steel-plate-reinforced and the steel plate–UHPC-reinforced structures were 144.3% and 59.36% higher, respectively, than the original lining. This indicates that the two kinds of reinforcement can significantly increase the structure’s ultimate bearing capacity. The slopes of the steel plate reinforcement and steel plate-UHPC reinforcement curves at the reinforced points increased significantly compared to the unreinforced lining, indicating a significant increase in stiffness in both reinforced structures that effectively improved the stiffness of the cracked lining.
- (2)
- The load-displacement curves of steel-plate-reinforced and steel plate–UHPC-reinforced structures can be divided into four typical stages, but the curve patterns of each stage differed significantly. From the damage mode, the damage of the steel-plate-reinforced structure is manifested as the interfacial stripping damage between the steel plate and the original lining concrete. After reaching the peak load, the steel plate is completely plated from the lining, the steel plate rapidly quits the work, and the reinforced structure cannot withstand the external load and rapidly enters the plasticity stage, showing an apparent brittle damage mode [28]. In contrast, because of the combined shape of the UHPC layer, screws, and welding studs in the steel plate–UHPC reinforcing method, the interfacial bond layer has superior bond and ductility. The interfacial peeling load of steel plate–UHPC reinforcement was 33.60% higher than that of steel plate reinforcement, corresponding to 16.67% higher displacement. After the interface between the steel plate and UHPC started to peel off, due to the role of interface connectors, the UHPC layer was still well bonded to the lining, and the load was still able to increase with the increase in displacement. The structure showed good ductility, effectively solving the problem of brittle damage that is prone to occur in the steel plate reinforcement method. In addition, the UHPC layer was better able to control the deformation of the lining in the elastic phase of the lining members, making the overall stiffness enhancement effect of the steel plate–UHPC-reinforced lining more obvious.
- (3)
- The ultimate bearing capacity of the steel-plate-reinforced structure was 122.89 kN, the structural stiffness was 17.55 kN/mm, the structural ductility was 7.31 mm, the bearing capacity increase rate was 59.36%, and the stiffness increase rate was 5.48, while the ultimate bearing capacity of the steel plate–UHPC-reinforced structure was 188.39 kN, the structural stiffness was 47.18 kN/mm, the structural ductility was 34.03 mm, the bearing capacity increase rate was 144.3%, and the stiffness increase rate was 14.74. The latter’s ductility, bearing capacity improvement rate, and stiffness improvement rate were 4.66 times, 2.43 times, and 2.68 times that of the former, respectively. It was evident that the steel plate–UHPC-reinforced structure had better load-bearing capacity, greater ductility, and a more apparent overall stiffness improvement effect.
4. Numerical Modelling of Steel Plate–UHPC-Reinforced Cracked Lining
4.1. Material Modelling
4.2. Contact Relations and Interfacial Parameters
4.3. Numerical Model
4.4. Verification of Numerical Model
5. Numerical Analysis of Steel Plate–UHPC Reinforcement of Cracked Lining
5.1. Simulation Programme
5.2. Simulation Programme
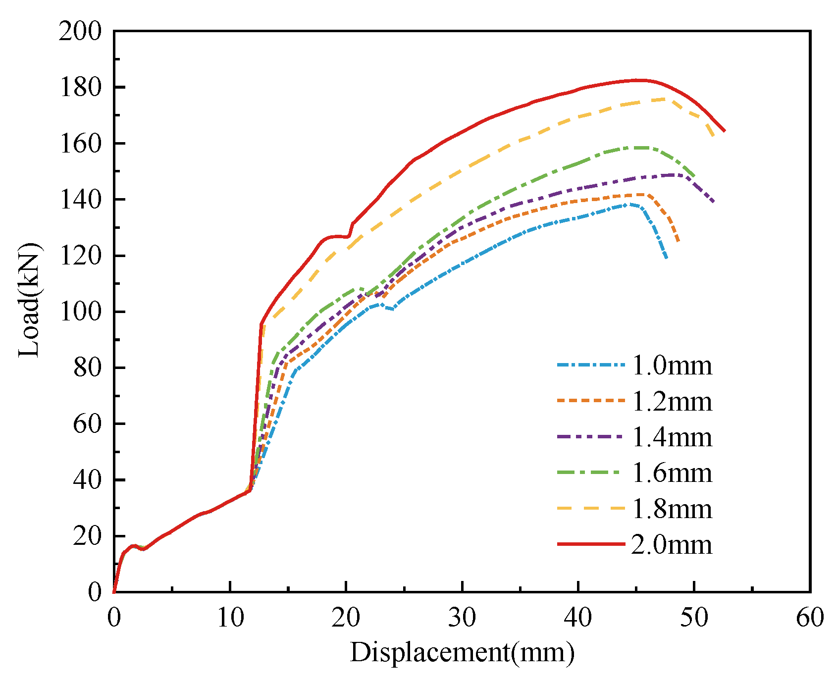
5.2.1. UHPC Layer Thickness
5.2.2. Steel Plate Thickness
5.2.3. Reinforcement Timing
6. Conclusions
- Under vertical loading, the process of steel plate–UHPC reinforcement of cracked lining was divided into four stages with reinforcement, spalling at the interface between the steel plate and UHPC, reaching the peak load, and structural damage as the key points. The damage mode was a large eccentric compression at the arch, manifested by the pulling off of the steel reinforcement at the arch waist and the concrete compression at the outer side of the arch, forming one main crack. Throughout the reinforcement process, the strain distribution was shown as tensile on the inner side of the arch, compressive on the outer side, compressive on the inner side of the arch waist, and tensile on the outer side. Compared with the steel plate reinforcement, the peak strain of the reinforcement was reduced by 23.15% when the peak load was reached, which effectively reduced the strain of the structure.
- The deformation and damage process of steel-plate-reinforced structures and steel plate–UHPC-reinforced structures under vertical concentrated load can be divided into four typical stages, but the curve patterns of each stage differ significantly. Compared with the steel-plate-reinforced structure, the damage mode of steel plate–UHPC-reinforced structure had good ductility, which effectively solved the problem of brittle damage that is prone to occur in the steel plate reinforcement method. In terms of reinforcement effect, both steel plate reinforcement and steel plate–UHPC reinforcement can effectively improve the stiffness of cracked lining and enhance the ultimate bearing capacity of the structure, but the ductility, bearing capacity enhancement rate, and stiffness enhancement rate of the steel plate–UHPC-reinforced structure were 4.66, 2.43, and 2.68 times higher than those of the steel plate reinforcement, respectively.
- The numerical model of steel plate–UHPC-reinforced cracked lining established based on the plastic damage model showed that the simulated load-displacement curves were basically similar to those of the tests, and the damage morphology and damage site of the reinforced structure were basically in line with those of the tests. After analysing the influencing factors such as UHPC layer thickness, steel belt thickness, and reinforcement timing, it can be seen that the peak load carrying capacity and stiffness enhancement rate of the cracked lining reinforced by steel belt–UHPC increased non-linearly with the increase in UHPC layer thickness and steel belt thickness, but there was a reasonable reinforcing timing for the reinforcement of steel belt–UHPC, and the reinforcement timing will lead to the decrease in the structural load-carrying capacity and stiffness enhancement rate when the reinforcing timing is too late.
Author Contributions
Funding
Data Availability Statement
Conflicts of Interest
References
- Han, W.; Jiang, Y.; Wang, G.; Liu, C.; Koga, D.; Luan, H. Review of Health Inspection and Reinforcement Design for Typical Tunnel Quality Defects of Voids and Insufficient Lining Thickness. Tunn. Undergr. Space Technol. 2023, 137, 105110. [Google Scholar] [CrossRef]
- Chen, L.-L.; Li, J.; Wang, Z.-F.; Wang, Y.-Q.; Li, J.-C.; Li, L. Sustainable Health State Assessment and More Productive Maintenance of Tunnel: A Case Study. J. Clean. Prod. 2023, 396, 136450. [Google Scholar] [CrossRef]
- Song, W.; Lai, H.; Liu, Y.; Yang, W.; Zhu, Z. Field and Laboratory Study of Cracking and Safety of Secondary Lining for an Existing Highway Tunnel in Loess Ground. Tunn. Undergr. Space Technol. 2019, 88, 35–46. [Google Scholar] [CrossRef]
- Liu, D.; Shang, Q.; Li, M.; Zuo, J.; Gao, Y.; Xu, F. Cracking Behaviour of Tunnel Lining under Bias Pressure Strengthened Using FRP Grid-PCM Method. Tunn. Undergr. Space Technol. 2022, 123, 104436. [Google Scholar] [CrossRef]
- Pintado, X.; Barragán, B.E. Homogeneity of Self-Compacting Concretes Used in Tunnel Strengthening—A Case Study. Tunn. Undergr. Space Technol. 2009, 24, 647–653. [Google Scholar] [CrossRef]
- Li, X.; Zhang, T.; Ding, Z.; Yang, X.; Wen, J. Numerical Analysis of Normal Concrete Lining Strengthening Methods under Different Damage Levels. Struct. Infrastruct. Eng. 2021, 17, 1597–1611. [Google Scholar] [CrossRef]
- Kiriyama, K.; Kakizaki, M.; Takabayashi, T.; Hirosawa, N.; Takeuchi, T.; Hajohta, H.; Yano, Y.; Imafuku, K. Structure and Construction Examples of Tunnel Reinforcement Method Using Thin Steel Panels. Nippon. Steel Tech. Rep. 2005, 92, 45–50. [Google Scholar]
- Zhai, W.; Chapman, D.; Zhang, D.; Huang, H. Experimental Study on the Effectiveness of Strengthening Over-Deformed Segmental Tunnel Lining by Steel Plates. Tunn. Undergr. Space Technol. 2020, 104, 103530. [Google Scholar] [CrossRef]
- Chen, H.; Lai, H.; Qiu, Y.; Chen, R. Reinforcing Distressed Lining Structure of Highway Tunnel with Bonded Steel Plates: Case Study. J. Perform. Constr. Facil. 2020, 34, 04019082. [Google Scholar] [CrossRef]
- Liu, D.J.; Huang, H.W.; Zuo, J.P.; Xue, Y.D.; Li, Y.J. Control method and mechanism of large transverse deformation of shield segment using. Chin. J. Rock Mech. Eng. 2017, 36, 1889–1898. [Google Scholar] [CrossRef]
- Liu, X.; Jiang, Z.; Mang, H.A. Experimental Investigation of the Influence of the Timing of Strengthening on the Structural Behavior of Segmental Tunnel Linings. Eng. Struct. 2023, 274, 115070. [Google Scholar] [CrossRef]
- Chen, R.-P.; Gao, B.-Y.; Ruan, S.-Q.; Wu, H.-N.; Fan, M.; Feng, D.-L. Experimental Study on the Mechanical Behavior of Segmental Joints of Shield Tunnels Strengthened by a Steel Plate-UHPC Composite. Tunn. Undergr. Space Technol. 2024, 144, 105536. [Google Scholar] [CrossRef]
- Liu, X.; Jiang, Z.; Yuan, Y.; Mang, H.A. Experimental Investigation of the Ultimate Bearing Capacity of Deformed Segmental Tunnel Linings Strengthened by Epoxy-Bonded Steel Plates. Struct. Infrastruct. Eng. 2018, 14, 685–700. [Google Scholar] [CrossRef]
- Teng, J.-G.; Xiang, Y.; Yu, T.; Fang, Z. Development and Mechanical Behaviour of Ultra-High-Performance Seawater Sea-Sand Concrete. Adv. Struct. Eng. 2019, 22, 3100–3120. [Google Scholar] [CrossRef]
- Feng, P.; Cheng, S.; Bai, Y.; Ye, L. Mechanical Behavior of Concrete-Filled Square Steel Tube with FRP-Confined Concrete Core Subjected to Axial Compression. Compos. Struct. 2015, 123, 312–324. [Google Scholar] [CrossRef]
- Kasischke, E.S.; Bruhwiler, L.P. Emissions of Carbon Dioxide, Carbon Monoxide, and Methane from Boreal Forest Fires in 1998. J. Geophys. Res. Atmos. 2002, 107, FFR 2-1–FFR 2-14. [Google Scholar] [CrossRef]
- Wille, K.; El-Tawil, S.; Naaman, A.E. Properties of Strain Hardening Ultra High Performance Fiber Reinforced Concrete (UHP-FRC) under Direct Tensile Loading. Cem. Concr. Compos. 2014, 48, 53–66. [Google Scholar] [CrossRef]
- Prem, P.R.; Ramachandra Murthy, A.; Ramesh, G.; Bharatkumar, B.H.; Iyer, N.R. Flexural Behaviour of Damaged RC Beams Strengthened with Ultra High Performance Concrete. In Advances in Structural Engineering; Matsagar, V., Ed.; Springer: New Delhi, India, 2015; pp. 2057–2069. ISBN 978-81-322-2186-9. [Google Scholar]
- Safdar, M.; Matsumoto, T.; Kakuma, K. Flexural Behavior of Reinforced Concrete Beams Repaired with Ultra-High Performance Fiber Reinforced Concrete (UHPFRC). Compos. Struct. 2016, 157, 448–460. [Google Scholar] [CrossRef]
- Valikhani, A.; Jahromi, A.J.; Mantawy, I.M.; Azizinamini, A. Experimental Evaluation of Concrete-to-UHPC Bond Strength with Correlation to Surface Roughness for Repair Application. Constr. Build. Mater. 2020, 238, 117753. [Google Scholar] [CrossRef]
- Pan, Y.; He, X.; Zou, C.; Yang, C. Feasibility and Performance Requirements of Ultra-High-Performance Concrete in Crack Treatment of Tunnel Lining. Tunn. Constr. 2022, 42, 1647–1655. [Google Scholar]
- Yashiro, K.; Hirata, R.; Okano, N.; Kojima, Y. Study on Deformation and Failure Behavior of Mountaintunnel Lining Which Consist of Various Materials. J. Jpn. Soc. Civ. Eng. Ser. F1 Tunn. Eng. 2015, 71, 78–94. [Google Scholar] [CrossRef][Green Version]
- He, W.; Wu, Z.; Kojima, Y.; Asakura, T. Failure Mechanism of Deformed Concrete Tunnels Subject to Diagonally Concentrated Loads. Comput.-Aided Civ. Infrastruct. Eng. 2009, 24, 416–431. [Google Scholar] [CrossRef]
- Ding, Z.; Fu, J.; Li, X.; Ji, X. Mechanical Behavior and Its Influencing Factors on Engineered Cementitious Composite Linings. Adv. Mater. Sci. Eng. 2019, 2019, 3979741. [Google Scholar] [CrossRef]
- Yuan, W. Similarity Theory and Static Model Test; Southwest Jiaotong University Press: Chengdu, China, 1998; ISBN 978-7-81057-187-6. [Google Scholar]
- JTG/T 5440-2018; Technical Specification for Highway Tunnel Reinforcement. China Communication Press: Beijing, China, 2019.
- Liu, X.; Lai, H.; Sang, Y. Case Study on the Model Test of Staggered-Jointed Assembling Shield Tunnel Structure Reinforced by Bonded Steel Plates under Large Deformation. IOP Conf. Ser. Earth Environ. Sci. 2019, 330, 022080. [Google Scholar] [CrossRef]
- Liu, X.; Jiang, Z.; Liu, S. Experiment of deformed shield tunnels strengthened by steel plate-concrete composite structure. China J. Highw. Transp. 2020, 33, 128–137. [Google Scholar] [CrossRef]
- Krajcinovic, D.; Fonseka, G.U. The Continuous Damage Theory of Brittle Materials, Part 1: General Theory. J. Appl. Mech. 1981, 48, 809–815. [Google Scholar] [CrossRef]
- Zhang, X.; Ma, C.; Liu, C.; Zhang, K.; Lu, J.; Liu, C. Uniaxial Tensile Properties of Steel Fiber-Reinforced Recycled Coarse Aggregate Shotcrete: Test and Constitutive Relationship. Constr. Build. Mater. 2024, 411, 134202. [Google Scholar] [CrossRef]
- Amorim, D.L.N.D.F.; Proença, S.P.B.; Flórez-López, J. Simplified Modeling of Cracking in Concrete: Application in Tunnel Linings. Eng. Struct. 2014, 70, 23–35. [Google Scholar] [CrossRef]
- Zhang, Z.; Shao, X.; Li, W.; Zhu, P.; Chen, H. Axial Tensile Behavior Test of Ultra High Performance Concrete. China J. Highw. Transp. 2015, 28, 50–58. [Google Scholar] [CrossRef]
- Yuan, F.; Pan, J.; Wu, Y. Numerical Study on Flexural Behaviors of Steel Reinforced Engineered Cementitious Composite (ECC) and ECC/Concrete Composite Beams. Sci. China Technol. Sci. 2014, 57, 637–645. [Google Scholar] [CrossRef]
- Ding, Z.; Liao, M.; Xiao, N.; Li, X. Numerical Analysis of the Seismic Response of Tunnel Composite Lining Structures across an Active Fault. Adv. Mater. Sci. Eng. 2021, 2021, 1518763. [Google Scholar] [CrossRef]
- Tang, H.; Peng, J.; Xiao, L.; Liu, X.; Zhang, J. Numerical Simulation of Corroded Reinforced Concrete Beam Strengthened by a Steel Plate with Different Strengthening Schemes. Adv. Civ. Eng. 2020, 2020, 4236943. [Google Scholar] [CrossRef]
- Figiel, Ł.; Kamiński, M. Numerical Probabilistic Approach to Sensitivity Analysis in a Fatigue Delamination Problem of a Two Layer Composite. Appl. Math. Comput. 2009, 209, 75–90. [Google Scholar] [CrossRef]
- Zhao, H.; Liu, X.; Bao, Y.; Yuan, Y.; Bai, Y. Simplified Nonlinear Simulation of Shield Tunnel Lining Reinforced by Epoxy Bonded Steel Plates. Tunn. Undergr. Space Technol. 2016, 51, 362–371. [Google Scholar] [CrossRef]
- Jones, R.; Swamy, R.N.; Charif, A. Plate Separation and Anchorage of Reinforced Concrete Beams Strengthend by Epoxy-Bonded Steel Plates. Struct. Eng. 1988, 66, 85–94. [Google Scholar]
- Luo, J.; Shao, X.; Fan, W.; Cao, J.; Deng, S. Flexural Cracking Behavior and Crack Width Predictions of Composite (Steel plus UHPC) Lightweight Deck System. Eng. Struct. 2019, 194, 120–137. [Google Scholar] [CrossRef]

















| Material | Cement | Fly Ash | Silica Fume | Quartz Sand | Quartz Powder | Water | Water Reducer | Fiber |
|---|---|---|---|---|---|---|---|---|
| UHPC | 1 | 0.10 | 0.20 | 1.1 | 0.19 | 0.25 | 0.026 | 0.21 |
| Working Conditions | P0/kN | y0/mm | P1/kN | S1/mm | Pu/kN | Su/mm | ηp(%) | ηk | ∆S/mm |
|---|---|---|---|---|---|---|---|---|---|
| Steel plate | 34.56 | 10.82 | 86.51 | 13.98 | 122.89 | 18.13 | 59.36 | 5.49 | 7.31 |
| Steel plate–UHPC | 34.56 | 10.82 | 115.58 | 16.31 | 188.39 | 44.85 | 144.3 | 14.75 | 34.03 |
| Young’s Modulus Ec/GPa | Poisson’s Ratio μ | Compressive Strength fc/MPa | Tensile Strength ft/MPa | Expansion Angle/° | K | Eccentricity ε | Coefficient of Viscosity μ |
|---|---|---|---|---|---|---|---|
| 48.2 | 0.2 | 150.2 | 7.20 | 15 | 0.67 | 0.1 | 0.0005 |
| Material | Elastic Modulus Es/GPa | Poisson Ratio μ | Yield Strength f y/MPa | Yield Strength Tensile Strain εy | Ultimate Strength f u/MPa | Ultimate Tensile Strain εu |
|---|---|---|---|---|---|---|
| Rebar | 200 | 0.2 | 300 | 0.01675 | 420 | 0.025 |
| Steel plate | 200 | 0.2 | 400 | - | - | - |
| Working Conditions | Thickness of UHPC Layer/mm | Thickness of Steel Plate/mm | Timing of Reinforcement (RDL) |
|---|---|---|---|
| 1–4 | 5, 10, 15, 20 | 1.8 | 45% |
| 5–10 | 15 | 1.0, 1.2, 1.4, 1.6, 1.8, 2.0 | 45% |
| 11–14 | 15 | 1.8 | 20%, 40%, 60%, 80% |
Disclaimer/Publisher’s Note: The statements, opinions and data contained in all publications are solely those of the individual author(s) and contributor(s) and not of MDPI and/or the editor(s). MDPI and/or the editor(s) disclaim responsibility for any injury to people or property resulting from any ideas, methods, instructions or products referred to in the content. |
© 2024 by the authors. Licensee MDPI, Basel, Switzerland. This article is an open access article distributed under the terms and conditions of the Creative Commons Attribution (CC BY) license (https://creativecommons.org/licenses/by/4.0/).
Share and Cite
Wei, J.; Ding, Z.; Shen, W.; Li, X. Mechanical Characteristics of Cracked Lining Reinforced with Steel Plate–UHPC Subjected to Vertical Load. Buildings 2024, 14, 1515. https://doi.org/10.3390/buildings14061515
Wei J, Ding Z, Shen W, Li X. Mechanical Characteristics of Cracked Lining Reinforced with Steel Plate–UHPC Subjected to Vertical Load. Buildings. 2024; 14(6):1515. https://doi.org/10.3390/buildings14061515
Chicago/Turabian StyleWei, Ju, Zude Ding, Wanhu Shen, and Xiaoqin Li. 2024. "Mechanical Characteristics of Cracked Lining Reinforced with Steel Plate–UHPC Subjected to Vertical Load" Buildings 14, no. 6: 1515. https://doi.org/10.3390/buildings14061515
APA StyleWei, J., Ding, Z., Shen, W., & Li, X. (2024). Mechanical Characteristics of Cracked Lining Reinforced with Steel Plate–UHPC Subjected to Vertical Load. Buildings, 14(6), 1515. https://doi.org/10.3390/buildings14061515

