Stability Analysis of Seismic Slope Based on Relative Residual Displacement Increment Method
Abstract
1. Introduction
- (1)
- The slope stability can be evaluated based on the actual deformation characteristics of the slope, such as the characteristic point displacement catastrophe method (referred to as Criterion I). During an earthquake, the load continuously changes with time; therefore, the sudden change in displacement at a particular moment alone cannot be used as the criterion for slope instability. However, once the seismic activity has ceased, the slope’s final displacement changes abruptly, which can be used as an indicator of slope instability;
- (2)
- The stability of a slope can be assessed by examining its stress state (referred to as Criterion II), including the presence of a continuous plastic penetration zone;
- (3)
- The slope stability can be judged according to whether the numerical iteration converges (referred to as Criterion III). Under the earthquake action, when the slope is in a stable state, the displacement trend at the end of the period of the key point displacement time-history curve is convergent, and the displacement on the time-history curve will not change with time in the end. When the slope is in an unstable state, the displacement trend at the end of the period is divergent, and the displacement on the time-history curve increases with time. Therefore, slope instability can be judged if the displacement on the time-history curve diverges and the calculation does not converge at the same time.
2. Strength Reduction Dynamic Stability Evaluation Method
2.1. Principle of Strength Reduction Dynamic Analysis Method
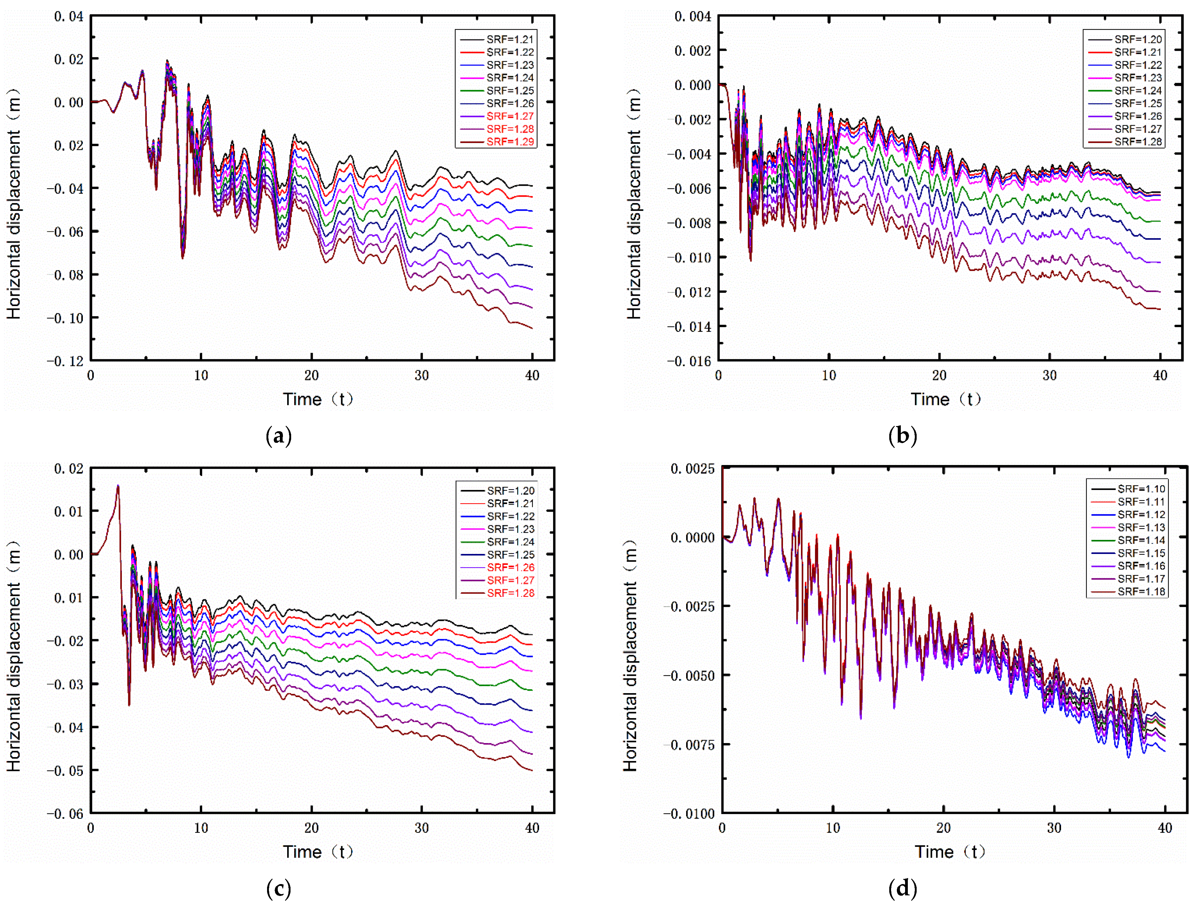
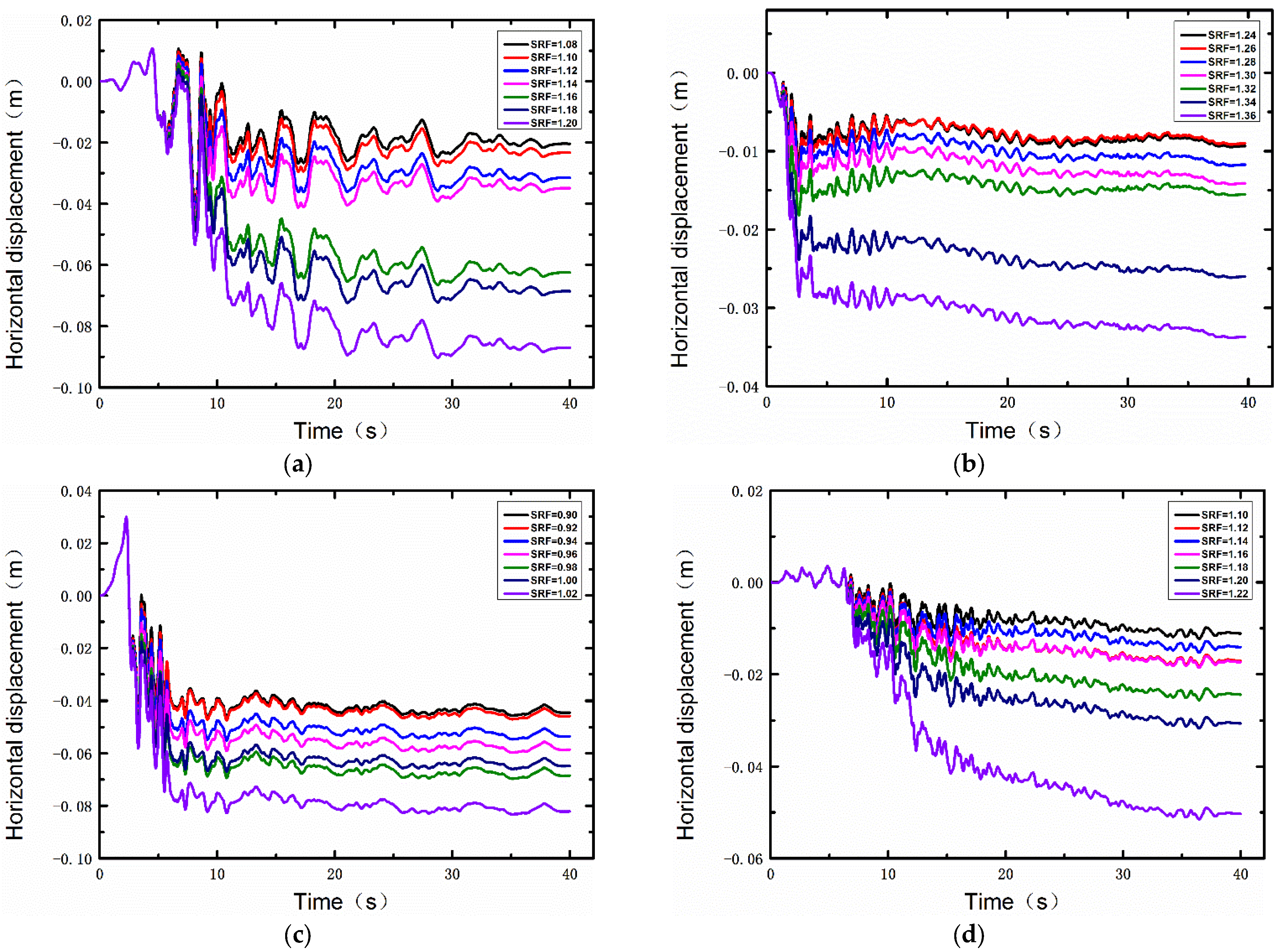
2.2. Principle of Relative Residual Displacement Increment Method
3. Numerical Analysis
3.1. 2D Slope Model
3.2. Input Ground Motion
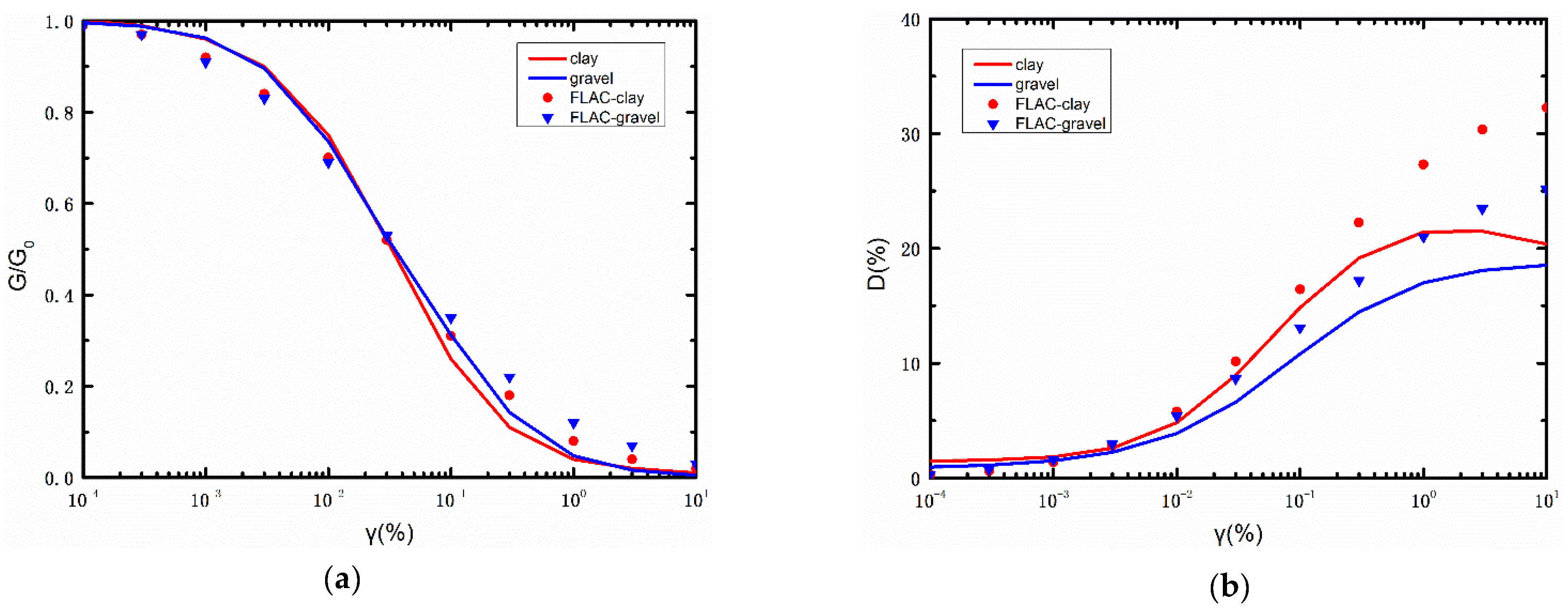
3.3. Homogeneous Soil Slope
3.4. Layered Soil Slope
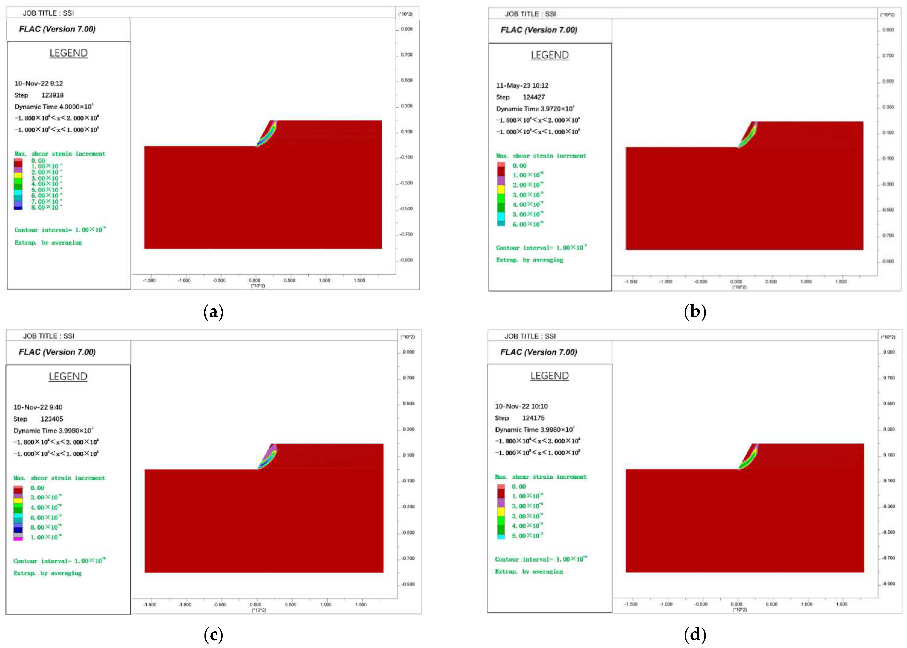
4. Results and Discussion
5. Conclusions
- (1)
- Criterion I1 considers the sudden change in key point displacement as the instability criterion by comparing and analyzing three different criteria. When the seismic force acts, the displacement of key points fluctuates significantly, which can interfere with the identification of displacement catastrophe points. Using the sudden change in relative displacement as a criterion (Criterion I2) can somewhat reduce the interference caused by displacement fluctuations. However, Criterion I2 may still lead to some human error when identifying displacement catastrophe points. While Criteria II and III can be used to assess slope instability, they may not provide the slope safety factor in some cases. Therefore, a comprehensive consideration of all three criteria is necessary to obtain an accurate safety factor for earthquake slope stability calculations;
- (2)
- By comparing and analyzing this method with three other criteria, the strength reduction factor corresponding to the maximum value of the relative residual displacement increment, which appears after an abrupt change in displacement, is used as the safety factor for the slope. This improves the method of identifying displacement catastrophe points, avoids errors caused by displacement fluctuations, and reduces human error in judging displacement catastrophe points. As a result, the displacement catastrophe criterion’s accuracy, stability, and applicability are enhanced.
Author Contributions
Funding
Data Availability Statement
Conflicts of Interest
References
- Wu, M.T.; Liu, F.C.; Yang, J. Seismic response of stratified rock slopes due to incident P and SV waves using a semi-analytical approach. Eng. Geol. 2022, prepublish. [Google Scholar] [CrossRef]
- Yin, Y.P.; Wang, F.W.; Sun, P. Landslide hazards triggered by the 2008 Wenchuan earthquake, Sichuan, China. Landslides 2009, 6, 139–151. [Google Scholar] [CrossRef]
- Tang, C.; Zhu, J.; Qi, X.; Ding, J. Landslides induced by the Wenchuan earthquake and the subsequent strong rainfall event: A case study in the Beichuan area of China. Eng. Geol. 2011, 122, 22–23. [Google Scholar] [CrossRef]
- Li, S.; Kang, L.M.; Yu, B.; Li, J.; Feng, L.; Zhang, S.; Zhu, W.; Yao, X. Dynamic reliability analysis of bedding rock slopes under earthquake actions. Build. Struct. 2021, 51, 1679–1683. (In Chinese) [Google Scholar]
- Jibson, R.W. Methods for assessing the stability of slopes during earthquakes—A retrospective. Eng. Geol. 2011, 122, 43–50. [Google Scholar] [CrossRef]
- Terzhagi, K. Mechanism of Landslides Application of Geology to Engineering Practice (Berkey Volume); Geological Society of America: New York, NY, USA, 1950. [Google Scholar] [CrossRef]
- Newmark, N.M. Effects of earthquakes on dams and embankments. Geotechnique 1965, 15, 139–160. [Google Scholar] [CrossRef]
- Clough, R.W.; Chopra, A.K. Earthquake stress analysis in earth dams. ASCE J. Eng. Mech. Div. 1966, 92, 197–211. [Google Scholar] [CrossRef]
- Groumpos, P.P. A Critical Historic Overview of Artificial Intelligence: Issues, Challenges, Opportunities, and Threats. Artif. Intell. Appl. 2023, 1, 197–213. [Google Scholar] [CrossRef]
- Alkhaled, L.; Khamis, T. Supportive Environment for Better Data Management Stage in the Cycle of ML Process. Artif. Intell. Appl. 2023, 2, 1–8. [Google Scholar] [CrossRef]
- Bui, D.T.; Moayedi, H.; Gör, M.; Jaafari, A.; Foong, L.K. Predicting slope stability failure through machine learning paradigms. ISPRS Int. J. Geo-Inf. 2019, 8, 395. [Google Scholar] [CrossRef]
- Gheisari, M.; Ebrahimzadeh, F.; Rahimi, M.; Moazzamigodarzi, M.; Liu, Y.; Pramanik, P.K.D.; Heravi, M.A.; Mehbodniya, A.; Ghaderzadeh, M.; Feylizadeh, M.R.; et al. Deep learning: Applications, architectures, models, tools, and frameworks: A comprehensive survey. CAAI Trans. Intell. Technol. 2023, 8, 581–606. [Google Scholar] [CrossRef]
- Fan, Q.Q.; Jiang, M.; Huang, W.T.; Jiang, Q. Considering spatiotemporal evolutionary information in dynamic multi-objective optimisation. CAAI Trans. Intell. Technol. 2023, 1–21. [Google Scholar] [CrossRef]
- Leshchinsky, D.; San, K.C. Pseudo-static seismic stability of slopes: Design charts. J. Geotech. Eng. 1994, 120, 1514–1532. [Google Scholar] [CrossRef]
- Ausilio, E.; Conte, E.; Dente, G. Seismic stability analysis of reinforced slopes. Soil Dyn. Earthq. Eng. 2000, 19, 159–172. [Google Scholar] [CrossRef]
- Luan, M.T.; Li, Z.; Fan, Q.L. Analysis and evaluation of pseudo-static seismic stability and seism-induced sliding movement of earth-rock dams. Rock Soil Mech. 2007, 28, 224–230. (In Chinese) [Google Scholar]
- Zhao, L.H.; Li, L.; Yang, F.; Dan, H.C.; Liu, X. Dynamic stability pseudo-static analysis of reinforcement soil slopes. Chin. J. Rock Mech. Eng. 2009, 28, 1904–1917. (In Chinese) [Google Scholar]
- Deng, D.P.; Li, L. Pseudo-static stability analysis of slope under earthquake based on a new method of searching for sliding surface. Chin. J. Rock Mech. Eng. 2012, 31, 86–98. (In Chinese) [Google Scholar]
- Qin, C.B.; Chian, S.C. Kinematic analysis of seismic slope stability with a discretisation technique and pseudo-dynamic approach: A new perspective. Geotechnique 2018, 68, 492–503. [Google Scholar] [CrossRef]
- Courant, R. Variational methods for the solution of problems of equilibrium and vibrations. Bull. Am. Math. Soc. 1943, 49, 1–23. [Google Scholar] [CrossRef]
- Clough, R.W. The finite element method in plane stress analysis. In Proceedings of the 2nd Conference on Electronic Computation, Pittsburgh, PA, USA, 8–9 September 1960; American Society of Civil Engineers, Structural Division: Pittsburgh, PA, USA, 1960. [Google Scholar]
- Seed, H.B.; Lee, K.L.; Idriss, I.M.; Makdisi, F. Analysis of the Slides in the San Fernando Dams during the Earthquake of Feb. 9, 1971; Report No. EERC 73-2; University of California: Berkeley, CA, USA, 1973. [Google Scholar] [CrossRef]
- Prevost, J.H. DYNAFLOW: A Nonlinear Transient Finite Element Analysis Program; Technical Report; Department of Civil Engineering and Operations Research, Princeton University: Princeton, NJ, USA, 1981. [Google Scholar]
- Griffiths, D.V.; Prevost, J.H. Two- and three-dimensional dynamic finite element analyses of the Long Valley Dam. Geotechnique 1988, 38, 367–388. [Google Scholar] [CrossRef]
- Elgamal, A.M.; Scott, R.F.; Succarieh, M.F.; Yan, L. La Villita dam response during five earthquakes including permanent deformation. J. Geotech. Eng. 1990, 116, 1443–1462. [Google Scholar] [CrossRef]
- Zhou, J.W.; Cui, P.; Yang, X.G. Dynamic process analysis for the initiation and movement of the Donghekou landslide-debris flow triggered by the Wenchuan earthquake. J. Asian Earth Sci. 2013, 76, 70–84. [Google Scholar] [CrossRef]
- Luo, J.; Pei, X.J.; Evans, S.G.; Huang, R. Mechanics of the earthquake induced Hongshiyan landslide in the 2014 Mw 6.2 Ludian earthquake, Yunnan, China. Eng. Geol. 2019, 251, 197–213. [Google Scholar] [CrossRef]
- Dawson, E.M.; Roth, W.H.; Drescher, A. Slope stability analysis by strength reduction. Geotechnique 1999, 49, 835–840. [Google Scholar] [CrossRef]
- Zheng, Y.R.; Zhao, S.Y.; Zheng, L.Y. Slope stability analysis by strength reduction FEM. Eng. Sci. 2002, 4, 57–61+78. (In Chinese) [Google Scholar]
- Dai, M.L.; Li, T.C. Analysis of dynamic stability safety evaluation for complex rock slope by strength reduction numerical method. Chin. J. Rock Mech. Eng. 2007, 192, 2749–2754. (In Chinese) [Google Scholar]
- Liu, K.Q.; Liu, H.Y. Stability Analysis of Soil-rock Mixture Slope under Earthquake. J. Disaster Prev. Mitig. Eng. 2022, 42, 224–230. [Google Scholar] [CrossRef]
- Li, D.J.; Zhang, J.Y.; Lian, Y.W.; Tang, W. Dynamic Stability Analysis of Slope Under the Impact Load of Large Diameter Punched Cast-in-Place Pile. Int. J. Geosynth. Ground Eng. 2023, 9, 29. [Google Scholar] [CrossRef]
- Ge, X.R.; Ren, J.X.; Li, C.G.; Zheng, H. 3D-FE analysis of deep sliding stability of #3 dam foundation of left power house of the Three Gorges Project. Chin. J. Geotech. Eng. 2003, 25, 389–394. (In Chinese) [Google Scholar]
- Zheng, Y.R.; Ye, H.L.; Huang, R.Q. Analysis and discussion of failure mechanism and fracture surface of slope under earthquake. Chin. J. Rock Mech. Eng. 2009, 28, 1714–1723. (In Chinese) [Google Scholar]
- Li, H.B.; Xiao, K.Q.; Liu, Y.Q. Factor of safety analysis of bedding rock slope under seismic load. Chin. J. Rock Mech. Eng. 2007, 191, 2385–2394. (In Chinese) [Google Scholar]
- Wu, X.Y.; Liu, Q.; Cang, J.Y. The Sensitivity and Reliability Analysis of Slope Stability Based on Strength Reduction FEM. Appl. Mech. Mater. 2013, 353–356, 491–494. [Google Scholar] [CrossRef]
- Li, C.; Zhu, J.B.; Wang, B.; Jiang, Y.; Liu, X.; Zeng, P. Critical deformation velocity of landslides in different deformation phases. Chin. J. Rock Mech. Eng. 2016, 35, 1407–1414. (In Chinese) [Google Scholar]
- Sun, W.J.; Wang, G.X.; Zhang, L.L. Slope stability analysis by strength reduction method based on average residual displacement increment criterion. Bull. Eng. Geol. Environ. 2021, 80, 4367–4378. [Google Scholar] [CrossRef]
- Itasca Consulting Group Inc. Itasca FLAC 7.0: Fast Lagrangian Analysis of Continua. User’s Guide; Itasca Consulting Group Inc.: Minneapolis, MN, USA, 2011; Available online: www.itascacg.com (accessed on 12 March 2024).
- Karafagka, S.; Fotopoulou, S.; Karatzetzou, A.; Kroupi, G.; Pitilakis, K. Seismic performance and vulnerability of gravity quay wall in sites susceptible to liquefaction. Acta Geotech. 2023, 18, 2733–2754. [Google Scholar] [CrossRef]
- Joyner, W.B.; Chen, A.T.F. Calculation of nonlinear ground response in earthquakes. Bull. Seismol. Soc. Am. 1975, 65, 1315–1336. [Google Scholar] [CrossRef]
- Li, J. Study on Determination and Application of Slope Safety Factor under Seismic Action. Master’s Thesis, Chongqing Jiaotong University, Chongqing, China, 2011. (In Chinese). [Google Scholar]
- Bouckovalas, G.D.; Papadimitriou, A.G. Numerical evaluation of slope topography effects on seismic ground motion. Soil Dyn. Earthq. Eng. 2005, 25, 547–558. [Google Scholar] [CrossRef]
- Zhang, Z.Z.; Fleurisson, J.A.; Pellet, F. The effects of slope topography on acceleration amplification and interaction between slope topography and seismic input motion. Soil Dyn. Earthq. Eng. 2018, 113, 420–431. [Google Scholar] [CrossRef]
- Kwok, A.O.L.; Stewart, J.P.; Hashash, Y.M.A.; Matasovic, N.; Pyke, R.; Wang, Z.; Yang, Z. Use of exact solutions of wave propagation problems to guide lmplementation of Nonlinear seismic ground response analysis procedures. J. Geotech. Geoenviron. Eng. 2007, 133, 1385–1398. [Google Scholar] [CrossRef]
- Ding, Y.; Wang, G.X.; Yang, F.J. Parametric investigation on the effect of near-surface soil properties on the topographic amplification of ground motions. Eng. Geol. 2020, 273, 105687. [Google Scholar] [CrossRef]
- Darendeli, M.B. Development of a New Family of Normalized Modulus Reduction and Material Damping Curves; University of Texas at Austin: Austin, TX, USA, 2001. [Google Scholar]
- Rollins, K.M.; Evans, M.D.; Diehl, N.B.; William, D.D., III. Shear modulus and damping relationships for gravels. J. Geotech. Geoenviron. Eng. 1998, 124, 396–405. [Google Scholar] [CrossRef]














| No. | Earthquake | Date | MW | Rjb (km) | Station | VS30 (m/s) |
|---|---|---|---|---|---|---|
| 1 | Northridge | 17 January 1994 | 6.7 | 23.1 | Vasquez Rocks Park | 996.4 |
| 2 | San Francisco | 22 March 1957 | 5.3 | 9.74 | Golden Gate Park | 874.72 |
| 3 | Whittier Narrows | 1 October 1987 | 6 | 6.78 | Pasadena—CIT Kresge Lab | 969.1 |
| 4 | Whittier Narrows-1 | 1 October 1987 | 6 | 47.25 | Vasquez Rocks Park | 996.4 |
| c (KPa) | ψ (°) | γ (kN/m3) | G (MPa) | K (MPa) | Rm (MPa) |
|---|---|---|---|---|---|
| 40 | 30 | 22 | 30 | 60 | 0.004 |
| Slope Failure Criteria | Safety Factors under Different Earthquakes | |||
|---|---|---|---|---|
| Northridge | San Francisco | Whittier Narrows | Whittier Narrows-1 | |
| Criterion I1 | 1.22 | 1.24 | 1.22 | 1.25 |
| Criterion I2 | 1.22 | 1.24 | 1.22 | 1.24 |
| Criterion II | 1.23 | 1.24 | 1.23 | 1.24 |
| Criterion III | 1.27 | - | 1.26 | - |
| Criterion IV | 1.26 | 1.26 | 1.25 | 1.26 |
| Error((IV − I1)/I1) | 0.033 | 0.016 | 0.025 | 0.008 |
| Error((IV − I2)/I2) | 0.033 | 0.016 | 0.025 | 0.016 |
| Error((IV − II)/II) | 0.024 | 0.016 | 0.016 | 0.016 |
| Error((IV − III)/III) | −0.008 | - | −0.008 | - |
| No. | Material | Thickness (m) | VS (m/s) | γ (kN/m3) | ν | Constitutive Law | ψ (°) | c (KPa) |
|---|---|---|---|---|---|---|---|---|
| 1 | Silty clay | 3 | 176.8 | 18.7 | 0.3 | Mohr–Coulomb | 25 | 35 |
| 2 | clay | 8 | 220.3 | 20 | 0.3 | Mohr–Coulomb | 25 | 40 |
| 3 | clay | 6 | 326.6 | 21 | 0.3 | Mohr–Coulomb | 30 | 42 |
| 4 | Clayey sandy gravel | 10 | 512.2 | 21.6 | 0.3 | Mohr–Coulomb | 31 | 30 |
| 5 | Clayey sandy gravel | 20 | 693.1 | 22 | 0.3 | Mohr–Coulomb | 31 | 20 |
| 6 | Bedrock | 53 | 774.2 | 22 | 0.3 | Elastic |
| Slope Failure Criteria | Safety Factors under Different Earthquakes | |||
|---|---|---|---|---|
| Northridge | San Francisco | Whittier Narrows | Whittier Narrows-1 | |
| Criterion I 1 | 1.12 | 1.32 | 0.86 | 1.16 |
| Criterion I 2 | 1.12 | 1.32 | 0.86 | 1.16 |
| Criterion II | 1.12 | 1.32 | 0.92 | 1.18 |
| Criterion III | - | |||
| Criterion IV | 1.16 | 1.32 | 0.92 | 1.20 |
| Error((IV − I1)/I1) | 0.036 | 0.000 | 0.070 | 0.034 |
| Error((IV − I2)/I2) | 0.036 | 0.000 | 0.070 | 0.034 |
| Error((IV − II)/II) | 0.036 | 0.000 | 0.000 | 0.017 |
| Error((IV − III)/III) | - | |||
Disclaimer/Publisher’s Note: The statements, opinions and data contained in all publications are solely those of the individual author(s) and contributor(s) and not of MDPI and/or the editor(s). MDPI and/or the editor(s) disclaim responsibility for any injury to people or property resulting from any ideas, methods, instructions or products referred to in the content. |
© 2024 by the authors. Licensee MDPI, Basel, Switzerland. This article is an open access article distributed under the terms and conditions of the Creative Commons Attribution (CC BY) license (https://creativecommons.org/licenses/by/4.0/).
Share and Cite
Sun, W.; Wang, G.; Ma, J. Stability Analysis of Seismic Slope Based on Relative Residual Displacement Increment Method. Buildings 2024, 14, 1211. https://doi.org/10.3390/buildings14051211
Sun W, Wang G, Ma J. Stability Analysis of Seismic Slope Based on Relative Residual Displacement Increment Method. Buildings. 2024; 14(5):1211. https://doi.org/10.3390/buildings14051211
Chicago/Turabian StyleSun, Weijian, Guoxin Wang, and Juntao Ma. 2024. "Stability Analysis of Seismic Slope Based on Relative Residual Displacement Increment Method" Buildings 14, no. 5: 1211. https://doi.org/10.3390/buildings14051211
APA StyleSun, W., Wang, G., & Ma, J. (2024). Stability Analysis of Seismic Slope Based on Relative Residual Displacement Increment Method. Buildings, 14(5), 1211. https://doi.org/10.3390/buildings14051211

