Experimental Study on the Mechanical Properties of Recycled Spiral Steel Fiber-Reinforced Rubber Concrete
Abstract
1. Introduction
2. Materials and Test Methods
2.1. Materials
2.2. Specimen Making and Maintenance
2.3. Test Method
2.3.1. Slump
2.3.2. Mechanical Strength
3. Test Results and Discussion
3.1. Slump
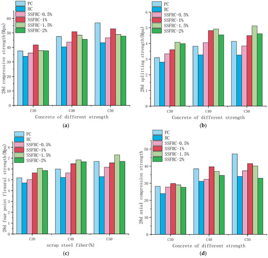
3.2. Mechanical Strength
3.3. Toughness Evaluation
4. Conclusions
Author Contributions
Funding
Data Availability Statement
Acknowledgments
Conflicts of Interest
References
- Straka, P.; Auersvald, M.; Vrtiska, D.; Kittel, H.; Simacek, P.; Vozka, P. Production of transportation fuels via hydrotreating of scrap tires pyrolysis oil. Chem. Eng. J. 2023, 460, 141764. [Google Scholar] [CrossRef]
- AbdelAleem, B.H.; Ismail, M.K.; Hassan, A.A. The combined effect of crumb rubber and synthetic fibers on impact resistance of self-consolidating concrete. Constr. Build. Mater. 2018, 162, 816–829. [Google Scholar] [CrossRef]
- Abdelmonem, A.; El-Feky, M.S.; Nasr, E.S.A.; Kohail, M. Performance of high strength concrete containing recycled rubber. Constr. Build. Mater. 2019, 227, 116660. [Google Scholar] [CrossRef]
- Aly, A.M.; El-Feky, M.S.; Kohail, M.; Nasr, E.S.A. Performance of geopolymer concrete containing recycled rubber. Constr. Build. Mater. 2019, 207, 136–144. [Google Scholar] [CrossRef]
- Sofi, A. Effect of waste tyre rubber on mechanical and durability properties of concrete—A review. Ain Shams Eng. J. 2018, 9, 2691–2700. [Google Scholar] [CrossRef]
- Yi, O.; Zhuge, Y.; Ma, X.; Gravina, R.J.; Mills, J.E.; Youssf, O. Push-off and pull-out bond behaviour of crc composite slabs—An experimental investigation. Eng. Struct. 2021, 228, 111480. [Google Scholar] [CrossRef]
- Siddika, A.; Al Mamun, M.A.; Alyousef, R.; Amran, Y.H.M.; Aslani, F.; Alabduljabbar, H. Properties and utilizations of waste tire rubber in concrete: A review. Constr. Build. Mater. 2019, 224, 711–731. [Google Scholar] [CrossRef]
- Roychand, R.; Gravina, R.J.; Zhuge, Y.; Ma, X.; Youssf, O.; Mills, J.E. A comprehensive review on the mechanical properties of waste tire rubber concrete. Constr. Build. Mater. 2020, 237, 117651. [Google Scholar] [CrossRef]
- Richardson, A.; Coventry, K.; Edmondson, V.; Dias, E. Crumb rubber used in concrete to provide freeze–thaw protection (optimal particle size). J. Clean. Prod. 2016, 112, 599–606. [Google Scholar] [CrossRef]
- Thomas, B.S.; Chandra Gupta, R. Properties of high strength concrete containing scrap tire rubber. J. Clean. Prod. 2016, 113, 86–92. [Google Scholar] [CrossRef]
- Han, Q.; Yang, G.; Xu, J. Performance of crumb rubber concrete made with high contents of heat pre-treated rubber and magnetized water. J. Mater. Res. Technol. JMR&T 2018, 25, e2240. [Google Scholar]
- Youssf, O.; Swilam, A.; Tahwia, A.M. Application of rubberized cement-based composites in pavements: Suitability and considerations. Constr. Build. Mater. 2023, 23, 2160–2176. [Google Scholar]
- Hassanli, R.; Youssf, O.; Vincent, T.; Mills, J.E.; Manalo, A.; Gravina, R. Experimental Study on Compressive Behavior of FRP-Confined Expansive Rubberized Concrete. J. Compos. Constr. 2020, 24, 04020034. [Google Scholar] [CrossRef]
- Youssf, O.; Mills, J.E.; Hassanli, R. Assessment of the mechanical performance of crumb rubber concrete. Constr. Build. Mater. 2016, 125, 175–183. [Google Scholar] [CrossRef]
- Pham, T.M.; Renaud, N.; Pang, V.; Shi, F.; Hao, H.; Chen, W.S. Effect of rubber aggregate size on static and dynamic compressive properties of rubberized concrete. Struct. Concr. 2022, 23, 2510–2522. [Google Scholar] [CrossRef]
- Abd-Elaal, E.; Araby, S.; Mills, J.E.; Youssf, O.; Roychand, R.; Ma, X.; Zhuge, Y.; Gravina, R.J. Novel approach to improve crumb rubber concrete strength using thermal treatment. Constr. Build. Mater. 2019, 229, 116901. [Google Scholar] [CrossRef]
- Ismail, M.K.; Hassan, A.A.A. Influence of mixture composition and type of cementitious materials on enhancing the fresh properties and stability of self-consolidating rubberized concrete. J. Mater. Civ. Eng. 2016, 28, 04015075. [Google Scholar] [CrossRef]
- Ismail, M.K.; Hassan, A.A.A. Use of metakaolin on enhancing the mechanical properties of self-consolidating concrete containing high percentages of crumb rubber. J. Clean. Prod. 2016, 125, 282–295. [Google Scholar] [CrossRef]
- Abu Bakar, B.H.; Noaman, A.T.; Akil, H.M. Cumulative effect of crumb rubber and steel fiber on the flexural toughness of concrete. Eng. Technol. Appl. Sci. Res. 2017, 7, 1345–1352. [Google Scholar] [CrossRef]
- Issa, G.A.; Salem, G. Utilization of recycled crumb rubber as fifine aggregates in concrete mix design. Constr. Build. Mater. 2013, 42, 48–52. [Google Scholar] [CrossRef]
- Shahzad, K.; Zhao, Z. Experimental study of NaOH pretreated crumb rubber as substitute of fine aggregate in concrete. Constr. Build. Mater. 2022, 358, 129448. [Google Scholar] [CrossRef]
- Keshavarz, Z.; Mostofinejad, D. Porcelain and red ceramic wastes used as replacements for coarse aggregate in concrete. Constr. Build. Mater. 2019, 195, 218–230. [Google Scholar] [CrossRef]
- Ismail, M.K.; Hassan, A.A.A. Impact resistance and mechanical properties of self-consolidating rubberized concrete reinforced with steel fibers. J. Mater. Civ. Eng. 2017, 29, 04016193. [Google Scholar] [CrossRef]
- Guerra, I.; Vivar, I.; Llamas, B.; Juan, A.; Moran, J. Eco-efficient concretes: The effects of using recycled ceramic material from sanitary installations on the mechanical properties of concrete. Waste Manag. 2009, 29, 643–646. [Google Scholar] [CrossRef] [PubMed]
- Gharibi, H.; Mostofinejad, D. Thermal and mechanical properties of concrete containing porcelain ceramic tile waste as fine and coarse aggregates. Mag. Concr. Res. 2023, 75, 123–134. [Google Scholar] [CrossRef]
- Aggelis, D.G.; Mpalaskas, A.C.; Matikas, T.E. Investigation of different fracture modes in cement-based materials by acoustic emission. Cem. Concr. Res. 2013, 48, 1–8. [Google Scholar] [CrossRef]
- Xu, J.; Fu, Z.; Han, Q.; Li, H. Fracture monitoring and damage pattern recognition for carbon nanotube-crumb rubber mortar using acoustic emission techniques. Struct. Control Health Monit. 2019, 26, e2422. [Google Scholar] [CrossRef]
- Han, Q.; Xu, J.; Carpinteri, A.; Lacidogna, G. Localization of acoustic emission sources in structural health monitoring of masonry bridge. Struct. Control Health Monit. 2015, 22, 314–329. [Google Scholar] [CrossRef]
- Xu, J.; Niu, X.L.; Yao, Z.Y. Mechanical properties and acoustic emission data analyses of crumb rubber concrete under biaxial compression stress states. Constr. Build. Mater. 2021, 298, 123778. [Google Scholar] [CrossRef]
- Xu, J.; Shu, S.R.; Han, Q.H.; Liu, C. Experimental research on bond behavior of reinforced recycled aggregate concrete based on the acoustic emission technique. Constr. Build. Mater. 2018, 191, 1230–1241. [Google Scholar] [CrossRef]
- Abouhussien, A.A.; Hassan, A.A.A. Classification of damage in self-consolidating rubberized concrete using acoustic emission intensity analysis. Ultrasonics 2020, 100, 105999. [Google Scholar] [CrossRef] [PubMed]
- Ahamad, M.S.S.; Maizul, E.N.M. Digital analysis of geo-referenced concrete scanning electron microscope (SEM) images. Civ. Environ. Eng. Rep. 2020, 30, 65–79. [Google Scholar] [CrossRef]
- Keshavarz, Z.; Mostofinejad, D. Steel chip and porcelain ceramic wastes used as replacements for coarse aggregates in concrete. J. Clean. Prod. 2019, 230, 339–351. [Google Scholar] [CrossRef]
- Xu, J.; Niu, X.L.; Ma, Q.; Han, Q.H. Mechanical properties and damage analysis of rubber cement mortar mixed with ceramic waste aggregate based on acoustic emission monitoring technology. Constr. Build. Mater. 2021, 309, 125084. [Google Scholar] [CrossRef]
- Jimoda, L.A.; Sulaymon, I.D.; Alade, A.O.; Adebayo, G.A. Assessment of environmental impact of open burning of scrap tyres on ambient air quality. Int. J. Environ. Sci. Technol. 2018, 15, 1323–1330. [Google Scholar] [CrossRef]
- Abd Allah Abd-Elaty, M.; Farouk Ghazy, M.; Hussein Khalifa, O. Mechanical and thermal properties of fibrous rubberized geopolymer mortar. Constr. Build. Mater. 2022, 354, 129192. [Google Scholar] [CrossRef]
- Wu, Y.F.; Kazmi, S.M.S.; Munir, M.J.; Zhou, Y.; Xing, F. Effect of compression casting method on the compressive strength, elastic modulus and microstructure of rubber concrete. J. Clean. Prod. 2020, 264, 121746. [Google Scholar] [CrossRef]
- Xie, J.H.; Guo, Y.C.; Liu, L.S.; Xie, Z.H. Compressive and flexural behaviours of a new steel-fibre-reinforced recycled aggregate concrete with crumb rubber. Constr. Build. Mater. 2015, 79, 263–272. [Google Scholar] [CrossRef]
- Alsaif, A.; Albidah, A.; Abadel, A.; Abbas, H.; Almusallam, T.; Al-Salloum, Y. Behavior of ternary blended cementitious rubberized mixes reinforced with recycled tires steel fibers under different types of impact loads. Structures 2022, 45, 2292–2305. [Google Scholar] [CrossRef]
- Hilal, N.N. Hardened properties of self-compacting concrete with different crumb rubber size and content. Int. J. Built Environ. Sustain. 2017, 6, 191–206. [Google Scholar] [CrossRef]
- Stallings, K.A.; Durham, S.A.; Chorzepa, M.G. Effect of cement content and recycled rubber particle size on the performance of rubber-modified concrete. Int. J. Sustain. Eng. 2019, 12, 189–200. [Google Scholar] [CrossRef]
- Li, Y.; Zhang, S.; Wang, R.; Dang, F. Potential use of waste tire rubber as aggregate in cement concrete—A comprehensive review. Constr. Build. Mater. 2019, 225, 1183–1201. [Google Scholar] [CrossRef]
- Albidah, A.; Alsaif, A.; Abadel, A.; Abbas, H.; Al-Salloum, Y. Role of recycled vehicle tires quantity and size on the properties of metakaolin-based geopolymer rubberized concrete. J. Mater. Res. Technol. JMR&T 2022, 18, 2593–2607. [Google Scholar]
- Pham, T.M.; Davis, J.; Ha, N.S.; Pournasiri, E.; Shi, F.; Hao, H. Experimental investigation on dynamic properties of ultra-high-performance rubberized concrete (UHPRuC). Constr. Build. Mater. 2021, 307, 125104. [Google Scholar] [CrossRef]
- Shi, Y.; Long, G.; Ma, C.; Xie, Y.; He, J. Design and preparation of ultra-high performance concrete with low environmental impact. J. Clean. Prod. 2019, 214, 633–643. [Google Scholar] [CrossRef]
- Tayeh, B.A.; Zeyad, A.M.; Agwa, I.S.; Amin, M. Effect of elevated temperatures on mechanical properties of lightweight geopolymer concrete. Case Stud. Constr. Mater. 2021, 15, e00673. [Google Scholar] [CrossRef]









| Standard Consistency (%) | Setting Time (min) | Compressive Strength of Cube (MPa) | Flexural Strength (MPa) | |||
|---|---|---|---|---|---|---|
| 24.2 | Initial condensation | Termination condensation | 3 d | 28 d | 3 d | 28 d |
| 180 | 260 | 25.5 | 52.5 | 5.2 | 8.8 | |
| Strength Grade of Concrete Matrix | RSSF Volume Content (%) | Amount of Each Material per Unit Volume (kg/m3) | |||||
|---|---|---|---|---|---|---|---|
| Cement | Gravel | Sand | Water | Rubber | RSSF | ||
| C30 | 0 | 380 | 1251 | 644 | 180 | 0 | 0 |
| 0 | 380 | 1251 | 580 | 180 | 32 | 0 | |
| 0.5 | 380 | 1251 | 580 | 180 | 32 | 39 | |
| 1 | 380 | 1251 | 580 | 180 | 32 | 79 | |
| 1.5 | 380 | 1251 | 580 | 180 | 32 | 118 | |
| 2 | 380 | 1251 | 580 | 180 | 32 | 157 | |
| C40 | 0 | 420 | 1241 | 577 | 180 | 0 | 0 |
| 0 | 420 | 1241 | 519 | 180 | 28 | 0 | |
| 0.5 | 420 | 1241 | 519 | 180 | 28 | 39 | |
| 1 | 420 | 1241 | 519 | 180 | 28 | 79 | |
| 1.5 | 420 | 1241 | 519 | 180 | 28 | 118 | |
| 2 | 420 | 1241 | 519 | 180 | 28 | 157 | |
| C50 | 0 | 470 | 1200 | 617 | 165 | 0 | 0 |
| 0 | 470 | 1200 | 555 | 165 | 30 | 0 | |
| 0.5 | 470 | 1200 | 555 | 165 | 30 | 39 | |
| 1 | 470 | 1200 | 555 | 165 | 30 | 79 | |
| 1.5 | 470 | 1200 | 555 | 165 | 30 | 118 | |
| 2 | 470 | 1200 | 555 | 165 | 30 | 157 | |
| Intensity Type | Specimen Size (mm) | Number of Specimens | Number per Group | Total | Total |
|---|---|---|---|---|---|
| Compressive strength of cube | 100 × 100 × 100 | 18 | 3 | 54 | 216 |
| Splitting tensile strength | 100 × 100 × 100 | 18 | 3 | 54 | |
| Flexural strength | 100 × 100 × 400 | 18 | 3 | 54 | |
| Axial compressive strength | 100 × 100 × 300 | 18 | 3 | 54 |
| Specimen Number | Slump (mm) |
|---|---|
| C30—PC | 81 |
| C30—RC | 72 |
| C30—SSFRC—0.5% | 55 |
| C30—SSFRC—1.0% | 44 |
| C30—SSFRC—1.5% | 35 |
| C30—SSFRC—2.0% | 29 |
| C40—PC | 72 |
| C40—RC | 61 |
| C40—SSFRC—0.5% | 49 |
| C40—SSFRC—1.0% | 41 |
| C40—SSFRC—1.5% | 30 |
| C40—SSFRC—2.0% | 21 |
| C50—PC | 64 |
| C50—RC | 51 |
| C50—SSFRC—0.5% | 36 |
| C50—SSFRC—1.0% | 29 |
| C50—SSFRC—1.5% | 24 |
| C50—SSFRC—2.0% | 22 |
| Specimen Number | Compressive Strength of Cube (MPa) | Splitting Tensile Strength (MPa) | Flexural Strength (MPa) | Axial Compressive Strength (MPa) |
|---|---|---|---|---|
| C30-PC | 37.58 | 3.09 | 5.18 | 28.18 |
| C30-RC | 33.8 | 2.81 | 4.71 | 23.95 |
| C30-SSFEC-0.5% | 36.07 | 3.34 | 5.02 | 27.77 |
| C30-SSFEC-1% | 41.71 | 3.6 | 5.64 | 29.87 |
| C30-SSFEC-1.5% | 37.8 | 4.08 | 6.06 | 29.03 |
| C30-SSFEC-2% | 37.69 | 3.99 | 5.85 | 27.62 |
| C40-PC | 47.47 | 3.82 | 5.99 | 38.45 |
| C40-RC | 40.35 | 3.27 | 5.22 | 31.14 |
| C40-SSFEC-0.5% | 43.67 | 4.05 | 5.64 | 32.29 |
| C40-SSFEC-1% | 50.79 | 4.82 | 6.48 | 39.6 |
| C40-SSFEC-1.5% | 48.42 | 4.92 | 6.84 | 36.91 |
| C40-SSFEC-2% | 45.57 | 4.55 | 6.66 | 34.60 |
| C50-PC | 56.87 | 4.13 | 6.69 | 47.2 |
| C50-RC | 43.23 | 3.26 | 5.29 | 33.98 |
| C50-SSFEC-0.5% | 46.63 | 3.84 | 6.16 | 37.28 |
| C50-SSFEC-1% | 52.82 | 4.50 | 6.56 | 41.53 |
| C50-SSFEC-1.5% | 48.92 | 5.12 | 7.30 | 40.12 |
| C50-SSFEC-2% | 47.76 | 4.62 | 6.70 | 32.95 |
| Specimen Number | Tension and Compression Ratio | Flexural Strength and Compressive Strength Ratio | Toughness Index |
|---|---|---|---|
| C30-PC | 0.0823 | 0.13783 | - |
| C30-RC | 0.0831 | 0.13934 | 1.51 |
| C30-SSFRC-0.5% | 0.0926 | 0.13917 | 1.48 |
| C30-SSFRC-1.0% | 0.0863 | 0.13521 | 1.88 |
| C30-SSFRC-1.5% | 0.1079 | 0.16031 | 1.77 |
| C30-SSFRC-2.0% | 0.1058 | 0.15521 | 2.05 |
| C40-PC | 0.0804 | 0.12618 | - |
| C40-RC | 0.0810 | 0.12936 | 1.32 |
| C40-SSFRC-0.5% | 0.0927 | 0.1291 | 1.75 |
| C40-SSFRC-1.0% | 0.0949 | 0.12758 | 1.60 |
| C40-SSFRC-1.5% | 0.1016 | 0.14126 | 1.67 |
| C40-SSFRC-2.0% | 0.0997 | 0.14614 | 1.97 |
| C50-PC | 0.0726 | 0.11763 | - |
| C50-RC | 0.0754 | 0.12236 | 1.64 |
| C50-SSFRC-0.5% | 0.0824 | 0.13210 | 1.72 |
| C50-SSFRC-1.0% | 0.0852 | 0.12419 | 1.49 |
| C50-SSFRC-1.5% | 0.1047 | 0.14922 | 1.73 |
| C50-SSFRC-2.0% | 0.0967 | 0.14028 | 1.98 |
Disclaimer/Publisher’s Note: The statements, opinions and data contained in all publications are solely those of the individual author(s) and contributor(s) and not of MDPI and/or the editor(s). MDPI and/or the editor(s) disclaim responsibility for any injury to people or property resulting from any ideas, methods, instructions or products referred to in the content. |
© 2024 by the authors. Licensee MDPI, Basel, Switzerland. This article is an open access article distributed under the terms and conditions of the Creative Commons Attribution (CC BY) license (https://creativecommons.org/licenses/by/4.0/).
Share and Cite
Yan, J.; Gao, Y.; Tang, M.; Ding, N.; Xu, Q.; Peng, M.; Zhao, H. Experimental Study on the Mechanical Properties of Recycled Spiral Steel Fiber-Reinforced Rubber Concrete. Buildings 2024, 14, 897. https://doi.org/10.3390/buildings14040897
Yan J, Gao Y, Tang M, Ding N, Xu Q, Peng M, Zhao H. Experimental Study on the Mechanical Properties of Recycled Spiral Steel Fiber-Reinforced Rubber Concrete. Buildings. 2024; 14(4):897. https://doi.org/10.3390/buildings14040897
Chicago/Turabian StyleYan, Jinqiu, Yongtao Gao, Minggao Tang, Nansheng Ding, Qiang Xu, Man Peng, and Hua Zhao. 2024. "Experimental Study on the Mechanical Properties of Recycled Spiral Steel Fiber-Reinforced Rubber Concrete" Buildings 14, no. 4: 897. https://doi.org/10.3390/buildings14040897
APA StyleYan, J., Gao, Y., Tang, M., Ding, N., Xu, Q., Peng, M., & Zhao, H. (2024). Experimental Study on the Mechanical Properties of Recycled Spiral Steel Fiber-Reinforced Rubber Concrete. Buildings, 14(4), 897. https://doi.org/10.3390/buildings14040897

