Seismic Vulnerability Analysis of Concrete-Filled Steel Tube Structure under Main–Aftershock Earthquake Sequences
Abstract
1. Introduction
2. Structural Model Information and Finite Element Modeling
3. Incremental Dynamic Analysis under the Action of Main–Aftershock Earthquake Sequences
3.1. Seismic Wave Selection and Main–Aftershock Earthquake Sequence Construction
3.2. Dynamic Response Analysis
3.3. Structural Energy Dissipation Analysis
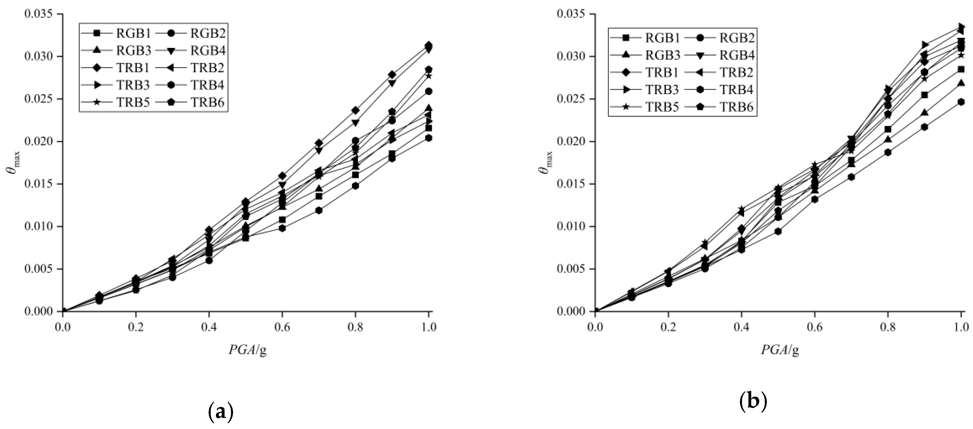
3.4. Incremental Dynamic Analysis
4. Seismic Vulnerability Analysis
4.1. Probabilistic Seismic Demand Model
4.2. Seismic Susceptibility Curve Analysis
4.3. Analysis of Structural Vulnerability Matrix
5. Conclusions
- The IDA curve patterns of each group of seismic waves are basically consistent. When PGA > 0.3 g, the IDA curve appears nonlinear, and with the increase in PGA, the slope of the IDA curve increases gradually due to the stiffness degradation caused by structural damage under earthquake. For the same PGA, the structural displacement of BRBs is small, and the effect of the aftershock is larger than that of the main shock alone.
 - The seismic vulnerability analysis shows that the exceeding probabilities of the two structures under the action of the main–aftershock sequence are greater than that under the action of the main earthquake alone. When the structures are in the normal operation stage, their vulnerability is less affected by earthquake sequences. In the other three stages, the gap between the vulnerability curves of the main and main–aftershock earthquake sequences gradually widens, and the structure exhibits a certain degree of plastic damage under the action of the main earthquake.
 - Using finite element simulation, the characteristics of column and beam damage distribution were identified. The damage of columns is concentrated in the middle and lower parts of the structure, and the damage to the middle columns is more serious than that of the side columns. With the addition of BRB members, seismic energy can be dissipated effectively. This can reduce the plastic deformation of components, especially columns connected to the support, and provide effective technical solutions for the seismic reinforcement of columns.
 - Under the same limit state, the occurrence of aftershocks will increase the probability of structural collapse risk, while adding anti-buckling restraint supports can significantly reduce the overtaking probability of the structure under different limit states. Aftershocks can increase the probability of structural failure by 4% to 8%, and the addition of anti-buckling restraint supports can reduce the probability of structural failure by approximately 25%. Therefore, the effect of aftershocks on the structure cannot be ignored, and the addition of anti-buckling restraint supports can upgrade the seismic resistance of the structure.
 
Author Contributions
Funding
Data Availability Statement
Conflicts of Interest
Correction Statement
References
- Lee, Y.T.; Turcotte, D.L.; Rundle, J.B.; Chen, C.C. After shock statistics of the 1999 Chi-Chi, Taiwan earthquake and the concept of omori times. Pure Appl. Geophys. 2013, 170, 221–228. [Google Scholar] [CrossRef]
 - Wang, W.L.; Wu, J.P.; Fang, L.H.; Wang, C.Z. Relocation of the Yushu Ms7.1 earthquake and its aftershocks in 2010 from HypoDD. Sci. China Earth Sci. 2013, 56, 182–191. [Google Scholar] [CrossRef]
 - Fang, D. Summary of Earthquake Activities in 2022. Earthq. Res. Sichuan 2023, 02, 1–11. [Google Scholar] [CrossRef]
 - Ozturk, M.; Arslan, M.H.; Dogan, G.; Ecemis, A.S.; Arslan, H.D. School buildings performance in 7.7 Mw and 7.6 Mw catastrophic earthquakes in southeast of Turkey. J. Build. Eng. 2023, 79, 107810. [Google Scholar] [CrossRef]
 - Binici, B.; Yakut, A.; Kadas, K.; Demirel, O.; Akpinar, U.; Canbolat, A.; Yurtseven, F.; Oztaskin, O.; Aktas, S.; Canbay, E. Performance of RC buildings after Kahramanmaraş Earthquakes: Lessons toward performance based design. Earthq. Eng. Eng. Vib. 2023, 22, 883–894. [Google Scholar] [CrossRef]
 - Ozturk, M.; Arslan, M.H.; Korkmaz, H.H. Effect on RC buildings of 6 February 2023 Turkey earthquake doublets and new doctrines for seismic design. Eng. Fail. Anal. 2023, 153, 107521. [Google Scholar] [CrossRef]
 - Li, Q.; Ellingwood, B.R. Performance evaluation and damage assessment of steel frame buildings under main shock-aftershock earthquake sequences. Earthq. Eng. Struct. Dyn. 2007, 36, 405–427. [Google Scholar] [CrossRef]
 - Liu, J.; Huang, X.; He, T.; Wang, N.; Du, Y. Seismic risk analysis for inter-story isolation structure collapse under main aftershock sequence. J. Vib. Shock 2023, 42, 194–203+259. [Google Scholar] [CrossRef]
 - Xu, J.; Chen, J.; Ding, G. Fragility analysis and life cycle cost assessment of RC frame under mainshock-aftershock seismic sequences through IDA. Earthq. Eng. Eng. Dyn. 2015, 35, 206–212. [Google Scholar] [CrossRef]
 - Banayan-Kermani, A.; Bargi, K. Seismic collapse assessment of intermediate RC moment frames subjected to mainshock-aftershock sequences. Results Eng. 2023, 20, 101629. [Google Scholar] [CrossRef]
 - Giovanni, R.; Marco, F.; Ljuba, S.; Laudio, A.C. On the behaviour of steel CBF for industrial buildings subjected to seismic sequences. Structures 2020, 28, 2175–2187. [Google Scholar] [CrossRef]
 - Burton, H.V.; Sreekumar, S.; Sharma, M.; Han, S. Estimating aftershock collapse vulnerability using mainshock intensity, structural response and physical damage indicators. Struct. Saf. 2017, 68, 85–96. [Google Scholar] [CrossRef]
 - Raghunandan, M.; Liel, A.B.; Luco, N. Aftershock collapse vulnerability assessment of reinforced concrete frame structures. Earthq. Eng. Struct. Dyn. 2015, 44, 419–439. [Google Scholar] [CrossRef]
 - Hassan, M.; Sipcic, N.; Vasdravellis, G. Seismic performance evaluation of high-post-yield stiffness concentrically braced steel frames under mainshock-consistent-aftershock sequences. Earthq. Eng. Struct. Dyn. 2023, 52, 2222–2250. [Google Scholar] [CrossRef]
 - Zhang, Z.; Jiang, Y. Failure Probability and Economic Loss Assessment of a High-Rise Frame Structure under Synthetic Multi-Dimensional Long-Period Ground Motions. Buildings 2024, 14, 252. [Google Scholar] [CrossRef]
 - Zhou, Z.; Yu, X.; Lu, D. Study on the incremental damage ratios of structures due to mainshock-aftershock Earthquake sequences. Eng. Mech. 2021, 38, 147–159. [Google Scholar] [CrossRef]
 - Zhou, Z.; Yu, X.; Lu, D. Fragility analysis and safety evaluation of reinforced concrete frame structures subjected to mainshock-aftershock earthquake sequences. Eng. Mech. 2018, 35, 134–145. [Google Scholar] [CrossRef]
 - Hu, J.; Wen, W.P.; Zhai, C.H.; Pei, S.S.; Ji, D.F. Seismic resilience assessment of buildings considering the effects of mainshock and multiple aftershocks. J. Build. Eng. 2023, 68, 106110. [Google Scholar] [CrossRef]
 - Wen, W.P.; Zhai, C.H.; Ji, D.F.; Li, S.; Xie, L.L. Framework for the vulnerability assessment of structure under mainshock-aftershock sequences. Soil Dyn. Earthq. Eng. 2017, 101, 41–52. [Google Scholar] [CrossRef]
 - Zhou, Q.; Xia, Y.; Zhao, W.; Guo, Q. Vulnerability analysis of masonry structure considering sequence of mainshock-aftershock. World Earthq. Eng. 2023, 39, 52–61. [Google Scholar] [CrossRef]
 - Zhang, Y.; Wang, Z.; Jiang, L.; Skalomenos, K.; Zhang, D. Seismic fragility analysis of masonry structures considering the effect of mainshock-aftershock sequences. Eng. Struct. 2023, 275, 115287. [Google Scholar] [CrossRef]
 - Van de Lindt, J.W. Experimental investigation of the effect of multiple earthquakes on wood-frame structural integrity. Pract. Period. Struct. Des. Constr. 2008, 13, 111–117. [Google Scholar] [CrossRef]
 - Di Trapani, F.; Malavisi, M. Seismic fragility assessment of infilled frames subject to mainshock/aftershock sequences using a double incremental dynamic analysis approach. Bull. Earthq. Eng. 2019, 17, 211–235. [Google Scholar] [CrossRef]
 - Shunsuke, O.; Sozen, M.A. Behavior of Multistory Reinforced Concrete Frames during Earthquakes; Structural Research Series No. 392; University of Illinois Urban: Champaign, IL, USA, 1972. [Google Scholar]
 - Benavent-Climent, A. A seismic index method for vulnerability assessment of existing frames: Application to RC structures with wide beams in Spain. Bull. Earthq. Eng. 2011, 9, 491–517. [Google Scholar] [CrossRef]
 - Benavent-Climent, A.; Escobedo, A.; Donaire-Avila, J.; Oliver-Saiz, E.; Ramírez-Márquez, A.L. Assessment of expected damage on buildings subjected to Lorca earthquake through an energy-based seismic index method and nonlinear dynamic response analyses. Bull. Earthq. Eng. 2014, 12, 2049–2073. [Google Scholar] [CrossRef]
 - Chen, T.; Ma, G. Post-earthquake performance and damage evaluation of RC frames under mainshock-aftershock sequence based on energy concept. Earthq. Eng. Eng. Dyn. 2023, 43, 161–170. [Google Scholar] [CrossRef]
 - Kalateh-Ahani, M.; Amiri, S. A Park-Ang damage index-based framework for post-mainshock structural safety assessment. Structures 2021, 33, 820–829. [Google Scholar] [CrossRef]
 - Zhang, P.; Kang, Z.; Ou, J. Damage and seismic performance analysis of RC frame structures under mainshock-aftershock earthquake sequences. Earthq. Eng. Eng. Dyn. 2014, 34, 1–8. [Google Scholar] [CrossRef]
 - Dizaj, E.A.; Salami, M.R.; Kashani, M.M. Seismic Vulnerability Assessment of Ageing Reinforced Concrete Structures under Real Mainshock-Aftershock Ground Motions. Struct. Infrastruct. Eng. 2021, 18, 1674–1690. [Google Scholar] [CrossRef]
 - Song, P.Y.; Wang, C.; Sun, Q.Q. Mainshock-aftershock fragility surfaces analysis of reinforced concrete frame structures using a double incremental dynamic analysis approach. Structures 2023, 56, 104868. [Google Scholar] [CrossRef]
 - Zhong, Z.L.; Feng, L.Q.; Shen, J.X.; Du, X.L. Seismic fragility analysis of subway station structure subjected to sequence-type ground motions. Tunn. Undergr. Space Technol. 2024, 144, 105570. [Google Scholar] [CrossRef]
 - Lyu, J.; Yao, S.; Zhao, H.; Zhou, T.; Xi, P. Research progress on application of new filling materials in concrete-filled steel tube structures. J. Chang’an. Univ. 2023, 43, 54–68. [Google Scholar] [CrossRef]
 - Zhang, S.; Li, Z.; Ma, Y.; Guo, S. Research on seismic vulnerability of concrete-filled rectangular tubular frame-SPSW core tube structure based on IDA method. World Earthq. Eng. 2021, 1, 48–56. [Google Scholar] [CrossRef]
 - Yang, F.; Liu, D.; Lei, M.; Zheng, Y.; Zhao, T.; Gao, L. Seismic fragility analysis of the inter-story isolated structure for the influence of main-aftershock sequences. Adv. Mech. Eng. 2023, 15, 1–14. [Google Scholar] [CrossRef]
 - Mazzon, L.; Frappa, G.; Pauletta, M. Effectiveness of Tuned Mass Damper in Reducing Damage Caused by Strong Earthquake in a Medium-Rise Building. Appl. Sci. 2023, 13, 6815. [Google Scholar] [CrossRef]
 - Frappa, G.; Pauletta, M. Seismic retrofitting of a reinforced concrete building with strongly different stiffness in the main directions. In Proceedings of the 14th Fib PhD Symposium in Civil Engineering, Rome, Italy, 5–7 September 2022; pp. 499–508. [Google Scholar]
 - Wang, J.; Li, B.; Wang, Y.; Li, G. Probabilistic Seismic Fragility Evaluation of CFST Frames with Buckling-Restrained Braces. J. Tianjin Univ. 2023, 56, 311–322. [Google Scholar] [CrossRef]
 - Zhang, H.; Li, C.; Jiang, S.M.; Liu, P.F.; Gao, G.M. Fragility Analysis of Concrete-Filled Steel Tubular Frame Structures with BRBs under Multiple Earthquakes Considering Strain Rate Effects. Appl. Sci. 2020, 10, 165. [Google Scholar] [CrossRef]
 - Shan, W.; Zhou, X.; Lin, X.; Pan, G. Collapse risk-targeted seismic design of concrete-filled steel tube frame-RC core tube structures. Structures 2023, 55, 1470–1480. [Google Scholar] [CrossRef]
 - GB 50011-2010; Code for Seismic Design of Buildings. Ministry of Housing and Urban-Rural Development of the People’s Republic of China: Beijing, China, 2016.
 - Ren, C.C.; Xu, Z.G.; Xiao, C.Z.; Sun, J.C.; Jin, L.F.; Gao, J. Application of unbonded brace in super high-rise structure with cantilever truss. Build. Struct. 2013, 43, 54–59. [Google Scholar] [CrossRef]
 - Zhou, X.L.; Lei, J.R. Contrastive analysis of BRB’s mechanical models. J. Sichuan Univ. Sci. Eng. 2015, 28, 21–26. [Google Scholar] [CrossRef]
 - GB/T 38591-2020; Standard for Seismic Resilience Assessment of Buildings. Ministry of Housing and Urban-Rural Development of the People’s Republic of China: Beijing, China, 2020.
 - Goda, K.; Taylor, C.A. Effects of aftershocks on peak ductility demand due to strong ground motion records from shallow crustal earthquakes. Earthq. Eng. Struct. Dyn. 2012, 41, 2311–2330. [Google Scholar] [CrossRef]
 - Park, Y.J.; Ang, A.H.S. Mechanistic seismic damage model for reinforced concrete. J. Struct. Eng. 1985, 111, 722–739. [Google Scholar] [CrossRef]
 - T/CECS 392-2021; Standard for Anti-Collapse Design of Building Structures. Tsinghua University, China Academy of Building Research: Beijing, China, 2021.
 - FEMA P1050; NEHRP Recommended Provisions for Seismic Regulations for New Buildings and Other Structures. Federal Emergency Management Agency: Washington, DC, USA, 2015.
 - Cornell, C.A.; Jalayer, F.; Hamburger, R.O.; Foutch, D.A. The probabilistic basis for the 2000 SAC Federal Emergency Management Agency steel moment frame guidelines. J. Struct. Eng. 2002, 128, 526–533. [Google Scholar] [CrossRef]
 - Liu, P.; Wang, C.; Zhang, J. Fragility analysis of high strength reinforced concrete frame structures subjected to mainshockaftershock earthquake sequences. World. Earthq. Eng. 2022, 38, 20–27. [Google Scholar] [CrossRef]
 












| Component Names | Section Size/mm | Material Grade | 
|---|---|---|
| steel tube column | Φ600 × 12 | Q345 | 
| longitudinal beam | HM550 × 300 × 11 × 18 | Q345 | 
| transverse beam | HM594 × 302 × 14 × 23 | Q345 | 
| Story Number | Yield Capacity/kN | Effective Cross-Sectional Area/mm2 | Elastic Rigidity (kN/mm) | 
|---|---|---|---|
| 1–4 | 1692.81 | 4906.7 | 238.22 | 
| 5–8 | 1151.16 | 3336.7 | 162.13 | 
| Seismic Parameters | Value | 
|---|---|
| site category | Class II | 
| seismic precautionary category | Class C | 
| seismic grouping | second group | 
| seismic precautionary intensity | 8-degree | 
| design basic acceleration of ground motion | 0.2 g | 
| design characteristic period of ground motion | 0.4 s | 
| Serial Number | Seismic Wave Name | Station Information | Particular Year | Earthquake Magnitude | PGA/g | Time/s | |
|---|---|---|---|---|---|---|---|
| Main Shock | Aftershock | ||||||
| 1 | TRB1 | Boshro-oyeh | 1995 | 6.9 | 0.28 | 0.24 | 100 | 
| 2 | TRB2 | Sedeh | 1995 | 6.5 | 0.15 | 0.07 | 100 | 
| 3 | TRB3 | Tabas | 1999 | 7.5 | 0.85 | 0.6 | 90 | 
| 4 | TRB4 | Amboy | 1990 | 7.5 | 0.72 | 0.5 | 100 | 
| 5 | TRB5 | Baker | 1979 | 6.6 | 0.42 | 0.33 | 100 | 
| 6 | TRB6 | Barstow | 1979 | 6.5 | 0.42 | 0.28 | 100 | 
| 7 | RGB1 | Lucerne | 1992 | 6.7 | 0.6 | 0.51 | 100 | 
| 8 | RGB2 | Santa | 1992 | 6.6 | 0.22 | 0.16 | 100 | 
| 9 | RGB3 | Tarzana | 1996 | 7.1 | 0.62 | 0.53 | 100 | 
| 10 | RGB4 | Crescenta | 1998 | 7.6 | 1.08 | 0.91 | 100 | 
| Limit States | NO | IO | LS | CP | 
|---|---|---|---|---|
| [θ] | 1/550 | 1/250 | 1/120 | 1/50 | 
| Earthquake Level | Main Shock | Main–Aftershock | ||||||
|---|---|---|---|---|---|---|---|---|
| NO | IO | LS | CP | NO | IO | LS | CP | |
| frequent | 0.6 | 0 | 0 | 0 | 0.8 | 0 | 0 | 0 | 
| design-based | 23.6 | 1.1 | 0 | 0 | 26.4 | 1.5 | 0 | 0 | 
| rare | 85.0 | 29.5 | 2.3 | 0 | 88.3 | 35 | 3.3 | 0 | 
| Earthquake Level | Main Shock | Main–Aftershock | ||||||
|---|---|---|---|---|---|---|---|---|
| NO | IO | LS | CP | NO | IO | LS | CP | |
| frequent | 0.1 | 0 | 0 | 0 | 0.2 | 0 | 0 | 0 | 
| design-based | 1.0 | 0.2 | 0 | 0 | 1.6 | 0.5 | 0 | 0 | 
| rare | 38.4 | 8.5 | 0.5 | 0 | 45.7 | 11.3 | 1.0 | 0 | 
Disclaimer/Publisher’s Note: The statements, opinions and data contained in all publications are solely those of the individual author(s) and contributor(s) and not of MDPI and/or the editor(s). MDPI and/or the editor(s) disclaim responsibility for any injury to people or property resulting from any ideas, methods, instructions or products referred to in the content.  | 
© 2024 by the authors. Licensee MDPI, Basel, Switzerland. This article is an open access article distributed under the terms and conditions of the Creative Commons Attribution (CC BY) license (https://creativecommons.org/licenses/by/4.0/).
Share and Cite
Zhang, C.; Li, J.; Liu, Y.; Cheng, Q.; Sun, Z. Seismic Vulnerability Analysis of Concrete-Filled Steel Tube Structure under Main–Aftershock Earthquake Sequences. Buildings 2024, 14, 869. https://doi.org/10.3390/buildings14040869
Zhang C, Li J, Liu Y, Cheng Q, Sun Z. Seismic Vulnerability Analysis of Concrete-Filled Steel Tube Structure under Main–Aftershock Earthquake Sequences. Buildings. 2024; 14(4):869. https://doi.org/10.3390/buildings14040869
Chicago/Turabian StyleZhang, Chunli, Jie Li, Yangbing Liu, Qing Cheng, and Zhuojun Sun. 2024. "Seismic Vulnerability Analysis of Concrete-Filled Steel Tube Structure under Main–Aftershock Earthquake Sequences" Buildings 14, no. 4: 869. https://doi.org/10.3390/buildings14040869
APA StyleZhang, C., Li, J., Liu, Y., Cheng, Q., & Sun, Z. (2024). Seismic Vulnerability Analysis of Concrete-Filled Steel Tube Structure under Main–Aftershock Earthquake Sequences. Buildings, 14(4), 869. https://doi.org/10.3390/buildings14040869
        