Bond Performance of Seamless Steel Pipe Grouting Sleeves under Large-Deformation Repeated Tension and Compression after High Temperature
Abstract
1. Introduction
2. Experimental Program
2.1. Test Piece Preparation
2.2. Materials
2.3. Design of Experiments
2.3.1. Heating and Cooling Programs
2.3.2. Loading Program
2.3.3. Test Methods
3. Experimental Results Analysis
3.1. Grouting Sleeve Test Results
3.1.1. Failure Modes
3.1.2. Maximum Tensile Force
3.1.3. Load–Displacement Curves
3.1.4. Load–Strain Curves
3.2. Grouting Materials’ Performance Deterioration Analysis
3.2.1. High Temperature Effects
3.2.2. Apparent Deterioration of Grouting Materials
3.2.3. Microscopic Analysis of Grouting Materials’ Deterioration
4. Grouting Sleeve Performance Analysis
4.1. Joint Grade
4.2. Residual Deformation
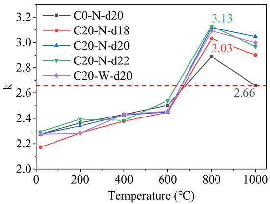
5. Bond Stress Analysis
6. Conclusions
- (1)
- Within the temperature range of 20–800 °C, the ultimate bearing capacity of test pieces is less than 9.87% of the ultimate bearing capacity of the steel bars, with no significant decrease in bond performance. After 1000 °C, all test pieces experienced steel bar pull-out failure, with bond performance decreasing by 33.7% to 42.2%, indicating severe damage to the bond strength between the grout and steel bars.
- (2)
- Test pieces with a 22 mm bar diameter show a higher ultimate tensile strength after exposure to high temperatures compared to those with 20 mm and 18 mm diameters, with increases of 21.6% and 54.4%, respectively. Larger bar diameters result in better connection performance.
- (3)
- The influence of different cooling methods on the ultimate bearing capacity of test pieces is not significant at various temperatures, with a maximum difference of only 4.96 kN.
- (4)
- Test pieces with protective layers show smaller deformations within the temperature range of 20–600 °C, and their bond performance improves when temperatures exceed 800 °C.
- (5)
- The maximum circumferential strain and maximum axial strain of the test pieces are −468.98 × 10−6 and 1298.23 × 10−6, respectively, both indicating elastic deformation. However, with increasing temperature, the elastic deformation capacity of the test pieces gradually decreases.
- (6)
- The compressive strength of grout test pieces decreases slowly within the temper-ature range of 20–600 °C, but the rate of strength loss increases after exceeding 600 °C. After reaching 1000 °C, the compressive strength of grout test pieces is only 27.5% of that at 20 °C.
- (7)
- Scanning electron microscopy (SEM) analysis reveals that the decomposition of C-H and C-S-H at high temperatures is the main reason for the decrease in the compressive strength of the grout.
- (8)
- A correlation coefficient k between the average bond strength of the grout and its compressive strength is proposed, with a recommendation that k ≤ 2.58 is maintained in test piece design.
Author Contributions
Funding
Data Availability Statement
Conflicts of Interest
Notations
| Diameter of connecting steel bar | |
| Anchorage length of connecting steel bar | |
| Maximum tensile force at the test piece failure | |
| Displacement of the test piece under ultimate tensile strength | |
| The maximum tensile force at specimen failure | |
| Standard value of the ultimate tensile strength of the steel bar | |
| Ultimate tensile strength measured from the test piece | |
| The strain corresponding to the yield strength standard value of the steel bar | |
| Standard value of the yield strength of the steel bar | |
| Compressive strength of the grout | |
| Residual deformation after 4 cycles of large-deformation repeated tension and compression | |
| Residual deformation after 8 cycles of large-deformation repeated tension and compression | |
| Force on the steel bar | |
| Deformation of the steel bar under the force | |
| Theoretical cross-sectional area of the steel bar | |
| Measuring distance | |
| The deformation value represented by the distance between the parallel line and the abscissa at the loading force of and reverse unloading force of after repeated loading for 4 cycles. | |
| The deformation value at the unloading force of and reverse loading force of under the same situation. | |
| , | The deformation values obtained by the same method after repeating load of for 4 cycles. |
| Bond strength between steel bars and grouting materials | |
| The correlation coefficient between and |
References
- Yee, A.A. Social and environmental benefits of precast concrete technology. PCI J. 2001, 46, 14–19. [Google Scholar] [CrossRef]
- Einea, A.; Yamane, T.; Tadros, M.K. Grout-filled pipe splices for precast concrete construction. PCI J. 1995, 40, 82–93. [Google Scholar] [CrossRef]
- Ling, J.H.; Rahman, A.B.A.; Ibrahim, I.S.; Hamid, Z.A. Behaviour of grouted pipe splice under incremental tensile load. Constr. Build. Mater. 2012, 33, 90–98. [Google Scholar] [CrossRef]
- Hosseini, S.J.A.; Rahman, A.B.A.; Baharuddin, A. Analysis of spiral reinforcement in grouted pipe splice connectors. Građevinar 2013, 65, 537–546. [Google Scholar]
- Alias, A.; Zubir, M.A.; Shahid, K.A.; Rahman, A.B.A. Structural performance of grouted sleeve connectors with and without transverse reinforcement for precast concrete structure. Procedia Eng. 2013, 53, 116–123. [Google Scholar] [CrossRef]
- Alias, A.; Sapawi, F.; Kusbiantoro, A.; Zubir, M.; Rahman, A.A. Performance of grouted splice sleeve connector under tensile load. J. Mech. Eng. Sci. 2014, 7, 1094–1102. [Google Scholar] [CrossRef]
- Harajli, M.H.; Hout, M.; Jalkh, W. Local bond stress-slip behavior of reinforcing bars embedded in plain and fiber concrete. Mater. J. 1995, 92, 343–353. [Google Scholar]
- Haber, Z.B.; Saiidi, M.S.; Sanders, D.H. Behavior and simplified modeling of mechanical reinforcing bar splices. ACI Struct. J. 2015, 112, 179. [Google Scholar] [CrossRef]
- Haber, Z.B.; Saiidi, M.S.; Sanders, D.H. Seismic performance of precast columns with mechanically spliced column-footing connections. ACI Struct. J. 2014, 111, 639–650. [Google Scholar] [CrossRef]
- Shakir, Q.M.; Hamad, S.A. Behavior of pocket-type high-strength RC beams without or with dapped ends. Pract. Period. Struct. Des. Constr. 2021, 26, 04021048. [Google Scholar] [CrossRef]
- Shakir, Q.M.; Hamad, S.A. Enhancement of the behaviour of reinforced concrete dapped end beams including single-pocket loaded by a vertical concentrated force. Eng. Rev. 2023, 43, 29–48. [Google Scholar] [CrossRef]
- Southeast University. A Kind of Grouting Sleeve for Rebar Slurry Anchor Butt-Joint. Connection. Patent CN201320407071.4, 15 January 2014.
- Zheng, Y.; Guo, Z.; Cao, J. Confinement mechanism and confining stress distribution of new grouting coupler for rebars splicing. J. Harbin Inst. Technol. 2015, 47, 106–111. [Google Scholar]
- JGJ 107-2016; Technical Specification for Mechanical Splicing of Steel Reinforcing Bar. China Architecture & Building Press: Beijing, China, 2016.
- National Fire and Rescue Administration. National Alarms and Fires 2022 [EB/OL]. (24 March 2023). Available online: https://www.119.gov.cn/qmxfxw/xfyw/2023/36210.shtml (accessed on 9 June 2023).
- Zhao, X.L.; Ghojel, J.; Grundy, P.; Han, L. Behaviour of grouted sleeve connections at elevated temperatures. Thin-Walled Struct. 2006, 44, 751–758. [Google Scholar] [CrossRef]
- Xiao, J.; Liu, L.; Ding, T.; Xie, Q. Experimental study on mechanical behavior of thermally damaged grouted sleeve splice under cyclic loading. Struct. Concr. 2020, 21, 2494–2514. [Google Scholar] [CrossRef]
- Liu, L.; Xiao, J.; Ding, T.; Zhang, L. Mechanical behaviours of heat-damaged grouted sleeve connections. Fire Saf. J. 2021, 122, 103345. [Google Scholar] [CrossRef]
- Liu, L.; Ouyang, L.; Ouyang, X.; Li, W.; Xiao, J. Postfire Mechanical Behaviors of Grouted Sleeve Connections Under Strong Earthquakes. Fire Technol. 2023, 59, 2829–2852. [Google Scholar] [CrossRef]
- Zhang, W.; Deng, X.; Zhang, J.; Yi, W. Tensile behavior of half grouted sleeve connection at elevated temperatures. Constr. Build. Mater. 2018, 176, 259–270. [Google Scholar] [CrossRef]
- Zhang, W.; Lv, W.; Zhang, J.; He, C.; Deng, X.; Yi, W. Post-fire tensile properties of half-grouted sleeve connection under different cooling paths. Fire Saf. J. 2019, 109, 102848. [Google Scholar] [CrossRef]
- Zhu, J.; Ma, J.; Guo, D.; Wu, Y.; Ma, J. Study on tensile properties of semi grouted sleeve connectors after high temperature. Constr. Build. Mater. 2021, 302, 124088. [Google Scholar] [CrossRef]
- Zhu, J.; Guo, D.; Ma, J.; Wu, Y.; Ma, J. Experimental study on tensile properties of semi-grouting sleeve after high temperature. Eng. Mech. 2020, 37, 104–111. [Google Scholar]
- Li, M. Experimental Research on Mechanical Properties of Semi-Grouting Sleeve Connection After Being Subjected to High Temperature. Ind. Constr. 2022, 52, 106–112,71. [Google Scholar]
- Chen, H.; Zhou, J.; Wang, B. Experimental study on mechanical properties of sleeve grouting material after fire. J. Saf. Sci. Technol. 2022, 18, 145–151. [Google Scholar]
- Zhang, W.; He, C.; Zhang, J.; Ding, X.; Wang, Z.; Yi, W. Experimental study and bond slip analysis on mechanical properties of half grout sleeve splicing of rebars after high temperature. J. Hunan Univ. 2019, 46, 33–41. [Google Scholar]
- Lin, F.; Wu, X. Mechanical performance and stress–strain relationships for grouted splices under tensile and cyclic loadings. Int. J. Concr. Struct. Mater. 2016, 10, 435–450. [Google Scholar] [CrossRef]
- Yan, Q.; Chen, T.; Xie, Z. Seismic experimental study on a precast concrete beam-column connection with grout sleeves. Eng. Struct. 2018, 155, 330–344. [Google Scholar] [CrossRef]
- Li, Y.; Zhang, L.; Zhang, Q.; He, X.; Wang, J.; Su, Y. Anchorage behavior of grouting sleeves under uniaxial and cyclic loading-A comparative study of the internal structure of sleeves. J. Build. Eng. 2022, 49, 104057. [Google Scholar] [CrossRef]
- Zhao, X.L.; Grundy, P.; Lee, Y.T. Grout sleeve connections under large deformation cyclic loading. In Proceedings of the ISOPE International Ocean and Polar Engineering Conference, Kitakyushu, Japan, 26−31 May 2002. [Google Scholar]
- Zheng, G.; Kuang, Z.; Xiao, J.; Pan, Z. Mechanical performance for defective and repaired grouted sleeve connections under uniaxial and cyclic loadings. Constr. Build. Mater. 2020, 233, 117233. [Google Scholar] [CrossRef]
- Liu, Q.; Li, J.; Li, M.; Wu, X.; Li, Y.; Zhang, L. Bond performance prediction model of defective grout in post-fire sleeve connections under cyclic loading. Constr. Build. Mater. 2023, 400, 132442. [Google Scholar] [CrossRef]
- Liu, Q.; Lin, Y.; Li, J.; Yang, C.; Chen, J.; Zhang, M.; Liu, B. Bond strength prediction model of defective grout materials in half-grouted sleeve connections under uniaxial and cyclic loadings. Constr. Build. Mater. 2022, 352, 128981. [Google Scholar] [CrossRef]
- JG/T 398-2019; The Grouting Sleeve for Rebars Splicing. Ministry of Housing and Urban-Rural Development of China: Beijing, China, 2019.
- GB/T 17671-2021; Test Method of Cement Mortar Strength (ISO Method). State Administration for Market Regulation of the People’s Republic of China: Beijing, China, 2021.
- Liu, Y.J.; Li, C.; Zhou, W.J. Numerical analysis on tensile properties of grout-filled splice sleeve rebars under ISO 834 standard fire. In E3S Web of Conferences; EDP Sciences: Les Ulis, France, 2018; Volume 38, p. 03036. [Google Scholar]
- GB/T 9978.2-2019; Fire Resistance Tests—Elements of Building Construction—Part 2: Guidance on Measuring Uniformity of Furnace Exposure on Test Samples. State Administration for Market Regulation of the People’s Republic of China & Standardization Administration of the People’s Republic of China: Beijing, China, 2019.
- GB 50010-2010; Code for Design of Concrete Structures. Ministry of Housing and Urban-Rural Development of China: Beijing, China, 2010.



























| Test Piece Number | d (mm) | a (mm) | (mm) | L (mm) |
|---|---|---|---|---|
| C20-N-d18 | 18 | 1.5 | 126 | 312 |
| C0-N-d20 | 20 | 1.5 | 140 | 340 |
| C20-N-d20 | ||||
| C20-W-d20 | ||||
| C20-N-d22 | 22 | 1.5 | 154 | 368 |
| Group | Test Piece Number | Protective Layer (mm) | Cooling Method | Temperature (°C) |
|---|---|---|---|---|
| 1 | C0-N-d20–200 °C/400 °C/600 °C/800 °C/1000 °C | 0 | Natural cooling | 20/200/ 400/600/ 800/1000 * |
| 2 | C20-N-d18–20 °C/200 °C/400 °C/600 °C/800 °C/1000 °C | 20 | ||
| 3 | C20-N-d20–20 °C/200 °C/400 °C/600 °C/800 °C/1000 °C | |||
| 4 | C20-N-d22–20 °C/200 °C/400 °C/600 °C/800 °C/1000 °C | |||
| 5 | C20-W-d20–200 °C/400 °C/600 °C/800 °C/1000 °C | Water cooling |
| Test Piece Number * | (kN) | (mm) | (Mpa) | Failure Modes |
|---|---|---|---|---|
| C20-N-d18–20 °C | 156.55 | 37.96 | 615.51 | Break |
| C20-N-d20–20 °C | 202.42 | 35.61 | 644.65 | Break |
| C20-N-d22–20 °C | 246.96 | 38.07 | 650.00 | Break |
| C0-N-d20–200 °C | 202.41 | 34.14 | 644.62 | Break |
| C20-N-d18–200 °C | 158.40 | 35.18 | 622.79 | Break |
| C20-N-d20–200 °C | 200.29 | 36.75 | 644.24 | Break |
| C20-N-d22–200 °C | 247.93 | 39.33 | 652.55 | Break |
| C20-W-d20–200 °C | 195.33 | 37.28 | 622.07 | Break |
| C0-N-d20–400 °C | 202.84 | 44.19 | 645.99 | Break |
| C20-N-d18–400 °C | 160.76 | 32.45 | 632.07 | Break |
| C20-N-d20–400 °C | 202.42 | 33.79 | 644.65 | Break |
| C20-N-d22–400 °C | 240.71 | 42.25 | 633.55 | Break |
| C20-W-d20–400 °C | 202.91 | 34.53 | 646.21 | Break |
| C0-N-d20–600 °C | 200.75 | 43.11 | 639.33 | Break |
| C20-N-d18–600 °C | 159.01 | 32.55 | 625.19 | Break |
| C20-N-d20–600 °C | 196.50 | 32.52 | 625.80 | Break |
| C20-N-d22–600 °C | 246.44 | 38.50 | 648.63 | Break |
| C20-W-d20–600 °C | 197.08 | 41.07 | 627.64 | Break |
| C0-N-d20–800 °C | 190.08 | 30.12 | 605.35 | Pull-out |
| C20-N-d18–800 °C | 161.47 | 32.71 | 634.86 | Break |
| C20-N-d20–800 °C | 205.20 | 36.22 | 653.50 | Break |
| C20-N-d22–800 °C | 249.57 | 35.15 | 656.87 | Break |
| C20-W-d20–800 °C | 203.47 | 35.49 | 647.99 | Pull-out |
| C0-N-d20–1000 °C | 121.87 | 3.10 | 388.12 | Pull-out |
| C20-N-d18–1000 °C | 107.82 | 9.03 | 423.92 | Pull-out |
| C20-N-d20–1000 °C | 139.75 | 8.89 | 445.06 | Pull-out |
| C20-N-d22–1000 °C | 164.76 | 10.15 | 433.65 | Pull-out |
| C20-W-d20–1000 °C | 137.55 | 8.80 | 438.05 | Pull-out |
| Class of Test Pieces | I | II | III |
|---|---|---|---|
| Ultimate tensile strength | Bar breaking, or Pull-out failure | ||
| large strain of cyclic loading | and | ||
| Test Piece Number | (mm) | (mm) |
|---|---|---|
| C20-N-d18–20 °C | 0.14 | 0.21 |
| C20-N-d20–20 °C | 0.15 | 0.27 |
| C20-N-d22–20 °C | 0.18 | 0.26 |
| C0-N-d20–200 °C | 0.18 | 0.26 |
| C20-N-d18–200 °C | 0.22 | 0.26 |
| C20-N-d20–200 °C | 0.15 | 0.26 |
| C20-N-d22–200 °C | 0.17 | 0.25 |
| C20-W-d20–200 °C | 0.18 | 0.25 |
| C0-N-d20–400 °C | 0.18 | 0.31 |
| C20-N-d18–400 °C | 0.14 | 0.17 |
| C20-N-d20–400 °C | 0.19 | 0.43 |
| C20-N-d22–400 °C | 0.16 | 0.26 |
| C20-W-d20–400 °C | 0.25 | 0.26 |
| C0-N-d20–600 °C | 0.29 | 0.56 |
| C20-N-d18–600 °C | 0.19 | 0.21 |
| C20-N-d20–600 °C | 0.24 | 0.27 |
| C20-N-d22–600 °C | 0.19 | 0.31 |
| C20-W-d20–600 °C | 0.27 | 0.26 |
| C0-N-d20–800 °C | 0.32 | 0.86 |
| C20-N-d18–800 °C | 0.18 | 0.29 |
| C20-N-d20–800 °C | 0.21 | 0.3 |
| C20-N-d22–800 °C | 0.28 | 0.39 |
| C20-W-d20–800 °C | 0.31 | 0.46 |
| C0-N-d20–1000 °C | 1.07 | - * |
| C20-N-d18–1000 °C | 0.57 | 1.01 |
| C20-N-d20–1000 °C | 0.44 | 1.01 |
| C20-N-d22–1000 °C | 0.62 | 1.12 |
| C20-W-d20–1000 °C | 0.42 | 1.35 |
| Temperature | 20 °C | 200 °C | 400 °C | 600 °C | 800 °C | 1000 °C |
|---|---|---|---|---|---|---|
| 1.91 | 1.98 | 2.03 | 2.12 | 2.58 | 3.70 |
Disclaimer/Publisher’s Note: The statements, opinions and data contained in all publications are solely those of the individual author(s) and contributor(s) and not of MDPI and/or the editor(s). MDPI and/or the editor(s) disclaim responsibility for any injury to people or property resulting from any ideas, methods, instructions or products referred to in the content. |
© 2024 by the authors. Licensee MDPI, Basel, Switzerland. This article is an open access article distributed under the terms and conditions of the Creative Commons Attribution (CC BY) license (https://creativecommons.org/licenses/by/4.0/).
Share and Cite
Zhao, J.; Wei, C.; Chen, J.; Ma, B.; Xiao, W. Bond Performance of Seamless Steel Pipe Grouting Sleeves under Large-Deformation Repeated Tension and Compression after High Temperature. Buildings 2024, 14, 1136. https://doi.org/10.3390/buildings14041136
Zhao J, Wei C, Chen J, Ma B, Xiao W. Bond Performance of Seamless Steel Pipe Grouting Sleeves under Large-Deformation Repeated Tension and Compression after High Temperature. Buildings. 2024; 14(4):1136. https://doi.org/10.3390/buildings14041136
Chicago/Turabian StyleZhao, Jun, Changji Wei, Jing Chen, Bin Ma, and Weiwei Xiao. 2024. "Bond Performance of Seamless Steel Pipe Grouting Sleeves under Large-Deformation Repeated Tension and Compression after High Temperature" Buildings 14, no. 4: 1136. https://doi.org/10.3390/buildings14041136
APA StyleZhao, J., Wei, C., Chen, J., Ma, B., & Xiao, W. (2024). Bond Performance of Seamless Steel Pipe Grouting Sleeves under Large-Deformation Repeated Tension and Compression after High Temperature. Buildings, 14(4), 1136. https://doi.org/10.3390/buildings14041136
