Experimental Study on and Finite Element Analysis of the Axial Compression Bearing Capacity of a UHPC Transfer Device for Pre-Stressed Anti-Floating Anchor Rods
Abstract
1. Introduction
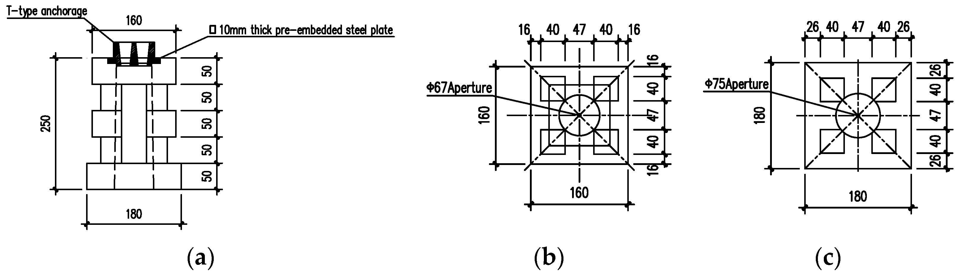
2. Experimental Design
2.1. Experimental Design
2.2. Loading Scheme
2.3. Strain Gauge Arrangement
- Transverse strain gauges were placed at the midpoints of the front faces of the upper plates of the specimens, representing position E1.
- Longitudinal strain gauges were placed on both sides of the lower portions of the columns, near the inner edges. Two gauges were placed on each side of the lower portions of the columns.
3. Experimental Observations and Analysis
3.1. Failure Process and Characteristics
3.2. The Load-Displacement Curves
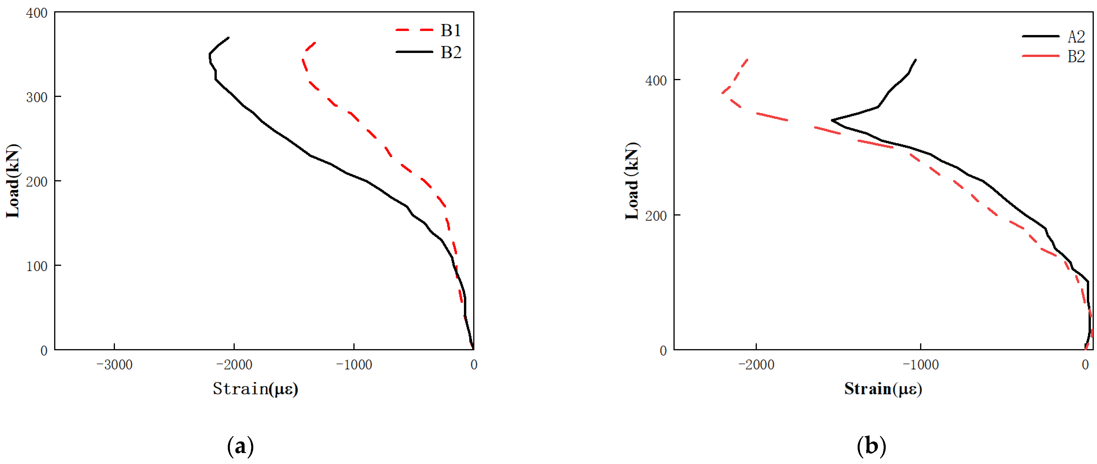
3.3. Strain Analysis
4. Numerical Simulation Analysis
4.1. Material Constitutive Relationship
4.2. Selection of Element Type
4.3. Mesh Generation
4.4. Interactions and Boundary Conditions
4.5. Finite Element Verification
5. Conclusions
- (a)
- This study conducted axial compression tests on four different types of UHPC precast transfer devices and found that under the action of axial loads, the failure modes of all types of UHPC transfer device specimens were essentially consistent. They all exhibited cracks extending from the bottom edges of the circular holes to the midpoints of the upper plates’ surfaces. Additionally, transverse cracks appeared near the upper surfaces of the columns, adjacent to the undersides of the upper plates. Furthermore, cracks propagated from the fronts to the vicinity of the circular holes in the lower plates near the columns. The positions and development of the cracks indicated that the upper plate of each specimen mainly experienced bending failure, while the upper parts of the short columns tended towards inclined compression failures and the lower plates tended towards being pulled apart.
- (b)
- The displacement-load curves of each UHPC transfer device specimen exhibited a similar trend. Initially, they increased linearly from the beginning of loading to 70–90% of the ultimate bearing capacity. After reaching 70–90% of the ultimate bearing capacity, the relationship between load and displacement became nonlinear, with a noticeable decrease in the slope of the curve. Upon reaching the peak load, the load began to decrease, indicating failure and the cessation of working status. All types of UHPC transfer device specimens met the requirements of the designed compressive bearing capacity.
- (c)
- Among the four different types of UHPC transfer device specimens, under conditions where their respective compressive bearing capacity design values were met, the HM45 specimen, with the largest design dimensions, exhibited a 2% increase in ultimate bearing capacity compared to its design value. Conversely, the HM18 specimen, with the smallest design dimensions, showed an 87% increase in ultimate bearing capacity compared to its design value. When designing specimens, it is essential to consider the effects of dimensional changes.
- (d)
- The finite element analysis conducted using ABAQUS and the comparison with the experimental results revealed that the finite element results could effectively reflect the structural performances and failure modes of the specimens. Moreover, they accurately predicted the ultimate bearing capacities of the specimens.
Author Contributions
Funding
Data Availability Statement
Conflicts of Interest
References
- Bai, X.Y.; Zhang, M.Y.; Yan, N. Field Comparative Experimental Study and Mechanism Analysis on Anchoring Performance of Two Different Materials Anti-Float Anchors. J. Civ. Eng. 2015, 48, 38–46+59. (In Chinese) [Google Scholar]
- Cheng, L.K. Current Situation and Development of Soil and Rock Anchorage. J. Civ. Eng. 2001, 7–12+34. (In Chinese) [Google Scholar]
- Zhang, M.Y.; Zhang, J.; Liu, J.W.; Zhao, H.F. Experimental Study on Anti-Float Anchors in Weathered Granite. Chin. J. Rock Mech. Eng. 2008, 2741–2746. (In Chinese) [Google Scholar]
- JGJ 476-2019; Building Engineering Anti-Float Technology Standard. China Architecture & Building Press: Beijing, China, 2019.
- Tan, G.Y.; Jiang, Y.H.; Fang, W.M.; Gao, M.Y.; Li, N. Design Research on Full-Length Pressure-Type Post-Tensioned Prestressed Anti-Float Anchor Structure. Build. Struct. 2021, 51, 7–10+6. (In Chinese) [Google Scholar]
- Larrard, D.F.; Sedran, T. Optimization of Ultrahigh-performance Concrete by the Use of a Packing Model. Cem. Concr. Res. 1994, 24, 997–1009. [Google Scholar] [CrossRef]
- Shao, X.D.; Qiu, M.H.; Yan, B.F.; Luo, J. Research and Application Progress of Ultra-High Performance Concrete in Bridge Engineering at Home and Abroad. Mater. Rev. 2017, 31, 33–43. (In Chinese) [Google Scholar]
- Chen, B.C.; Ji, T.; Huang, Q.W.; Wu, H.Z.; Ding, Q.J.; Zhan, Y.W. Review of Research on Ultra-High Performance Concrete. J. Build. Sci. Eng. 2014, 31, 1–24. (In Chinese) [Google Scholar]
- Nadir, W.; Ali, A.Y.; Jawdhari, A.; Kadhim, M.M.; Majdi, A. Cyclic behavior of UHPC corner beam-column joints under bi-directional bending. Structures 2024, 60, 105857. [Google Scholar] [CrossRef]
- Prabha, S.L.; Dattatreya, J.K.; Neelame-gam, M.; Seshagiri Rao, M.V. Study on Stress-strain of Reactive Powder Concrete Under Uniaxial Compression. Int. J. Eng. Sci. Technol. 2010, 2, 6408–6416. [Google Scholar]
- Graybeal, B.; Davis, M. Cylinder or Cube: Strength Testing of 80 to 200 MPa (11.6 to 29 KSI) Ultra-high Performance Fiber Reinforced Concrete. ACI Mater. J. 2008, 105, 603–609. [Google Scholar]
- Kamen, A.; Denarie, A.; Bruhwiler, E. Thermal Effects on Physico-mechanical Properties of Ultrahigh Performance Fiber-reinforced Concrete. ACI Mater. J. 2007, 104, 415–423. [Google Scholar]
- Garas, V.Y.; Kahn, L.F.; Kurtis, K.E. Short-term Tensile Creep and Shrinkage of Ultra-High Performance Concrete. Cem. Concr. Compos. 2009, 31, 147–152. [Google Scholar] [CrossRef]
- Graybeal, B.A. Compressive Behavior of Ultrahigh-performance Fiber-reinforced Concrete. ACI Mater. J. 2007, 104, 146–152. [Google Scholar]
- Haber-Zachary, B.; Graybeal-Benjamin, A. Strengthening of Steel Through-Girder Bridges Using UHPC and Post-Tensioning. J. Bridge Eng. 2024, 29, 04024004. [Google Scholar] [CrossRef]
- Oertel, T.; Hutter, F.; Tänzer, R.; Helbig, U.; Sextl, G. Primary particle size and agglomerate size effects of amorphous silica in ultra-high performance concrete. Cem. Concr. Compos. 2013, 37, 61–67. [Google Scholar] [CrossRef]
- Yoo, D.-Y.; Banthia, N.; Kang, S.-T.; Yoon, Y.-S. Size effect in ultra-high-performance concrete beams. Eng. Fract. Mech. 2016, 157, 86–106. [Google Scholar] [CrossRef]
- Li, Y.; Pimienta, P.; Pinoteau, N.; Tan, K.H. Effect of aggregate size and inclusion of polypropylene and steel fibers on explosive spalling and pore pressure in ultra-high-performance concrete (UHPC) at elevated temperature. Cem. Concr. Compos. 2019, 99, 62–71. [Google Scholar] [CrossRef]
- Rensheng, P.; Xianbin, S.; Weiwei, H.; Quin, L. Direct shear strength of UHPC considering size effect: Theoretical model and experimental verification. J. Build. Eng. 2023, 71, 106381. (In Chinese) [Google Scholar]
- Zhang, X.; Lu, Y.; Wu, X.; Wang, P.; Li, R.; Liu, Y.; Shen, C.; Zhang, H.; Zhang, D. Constitutive model for ultra-high performance concrete (UHPC) considering the size effect under cyclic compressive loading. Constr. Build. Mater. 2023, 368, 130499. (In Chinese) [Google Scholar] [CrossRef]
- Stefano, G.; Oliver, B.; Aurelio, M. Punching Tests of Slabs with Low Reinforcement Ratios discussion. ACI Struct. J. 2009, 106, 911–912. (In Chinese) [Google Scholar]
- Ma, Y.F. Research on Uniaxial Compressive Constitutive Relationship of Reactive Powder Concrete (RPC200). Master’s Thesis, Beijing Jiaotong University, Beijing, China, 2007. (In Chinese). [Google Scholar]
- Zhang, Z.; Shao, X.D.; Li, W.G.; Zhu, P.; Chen, H. Experimental Study on Tensile Performance of Ultra-High Performance Concrete. China J. Highw. Transp. 2015, 28, 50–58. (In Chinese) [Google Scholar]
- Lin, Z.Y. Performance Study of Partially Reinforced Prefabricated Concrete Columns with UHPC Shell. Master’s Thesis, Southeast University, Nanjing, China, 2022. (In Chinese). [Google Scholar]
- Guo, X.Y.; Kang, J.F.; Zhu, J.S. Constitutive relationship of ultrahigh performance concrete under uni-axial compression. J. Southeast Univ. Nat. Sci. Ed. 2017, 47, 369–376. (In Chinese) [Google Scholar]
- GB/T700-2006; Standard for Carbon Structural Steels, General Administration of Quality Supervision. Inspection and Quarantine of the People’s Republic of China and Standardization Administration of China: Beijing, China, 2006.
- GB 50017-2017; Design Code for Steel Structures. China Architecture & Building Press: Beijing, China, 2017.
- Hua, Y.S. Research on Performance of UHPC Reinforced Existing Bridge RC Pillar Piers. Master’s Thesis, Shanghai Institute of Technology, Shanghai, China, 2022. (In Chinese). [Google Scholar]














| Specimen Number | Length × Width × Height of the Upper Plate (mm) | Length × Width × Height of the Short Column (mm) | Length × Width × Height of the Lower Plate (mm) | Length × Width × Height of the Pre-Embedded Steel Plate (mm) |
|---|---|---|---|---|
| HM18 | 160 × 160 × 50 | 40 × 40 × 150 | 180 × 180 × 50 | 100 × 100 × 10 |
| HM27 | 200 × 200 × 50 | 50 × 50 × 150 | 220 × 220 × 50 | 120 × 120 × 10 |
| HM36 | 220 × 220 × 50 | 60 × 60 × 180 | 250 × 250 × 50 | 150 × 150 × 10 |
| HM45 | 250 × 250 × 50 | 65 × 65 × 200 | 280 × 280 × 50 | 150 × 150 × 10 |
| Specimen Number | Extreme Point Load (kN) | Extreme Point Displacement (mm) |
|---|---|---|
| HM18 | 337 | 0.62 |
| HM27 | 370 | 0.89 |
| HM36 | 480 | 0.85 |
| HM45 | 460 | 0.90 |
| Material | Density (t/mm3) | Elastic Modulus (N/mm2) | Poisson’s Ratio |
|---|---|---|---|
| UHPC | 2.65 × 10−9 | 42,000 | 0.19 |
| Material | Dilation Angle | Eccentricity | Viscosity Coefficient | ||
|---|---|---|---|---|---|
| UHPC | 40 | 0.1 | 1.16 | 0.6667 | 0.005 |
| Elastic Modulus (N/mm2) | Shear Modulus (N/mm2) | Mass Density (kg/m3) | Poisson’s Ratio |
|---|---|---|---|
| 206 × 103 | 79 × 103 | 7850 | 0.3 |
Disclaimer/Publisher’s Note: The statements, opinions and data contained in all publications are solely those of the individual author(s) and contributor(s) and not of MDPI and/or the editor(s). MDPI and/or the editor(s) disclaim responsibility for any injury to people or property resulting from any ideas, methods, instructions or products referred to in the content. |
© 2024 by the authors. Licensee MDPI, Basel, Switzerland. This article is an open access article distributed under the terms and conditions of the Creative Commons Attribution (CC BY) license (https://creativecommons.org/licenses/by/4.0/).
Share and Cite
Zhu, Y.; Li, Y.; Tang, Z.-X.; Liu, P.-L.; Yang, Z. Experimental Study on and Finite Element Analysis of the Axial Compression Bearing Capacity of a UHPC Transfer Device for Pre-Stressed Anti-Floating Anchor Rods. Buildings 2024, 14, 1075. https://doi.org/10.3390/buildings14041075
Zhu Y, Li Y, Tang Z-X, Liu P-L, Yang Z. Experimental Study on and Finite Element Analysis of the Axial Compression Bearing Capacity of a UHPC Transfer Device for Pre-Stressed Anti-Floating Anchor Rods. Buildings. 2024; 14(4):1075. https://doi.org/10.3390/buildings14041075
Chicago/Turabian StyleZhu, Yi, Yi Li, Zhen-Xing Tang, Pei-Lin Liu, and Zhuo Yang. 2024. "Experimental Study on and Finite Element Analysis of the Axial Compression Bearing Capacity of a UHPC Transfer Device for Pre-Stressed Anti-Floating Anchor Rods" Buildings 14, no. 4: 1075. https://doi.org/10.3390/buildings14041075
APA StyleZhu, Y., Li, Y., Tang, Z.-X., Liu, P.-L., & Yang, Z. (2024). Experimental Study on and Finite Element Analysis of the Axial Compression Bearing Capacity of a UHPC Transfer Device for Pre-Stressed Anti-Floating Anchor Rods. Buildings, 14(4), 1075. https://doi.org/10.3390/buildings14041075
