Geopolymerization of Coal Gangue via Alkali-Activation: Dependence of Mechanical Properties on Alkali Activators
Abstract
1. Introduction
2. Materials and Methods
2.1. Materials
2.2. Geopolymers Preparation
2.3. Characterisation Methods
3. Results and Discussion
3.1. Setting Time and Compressive Strength
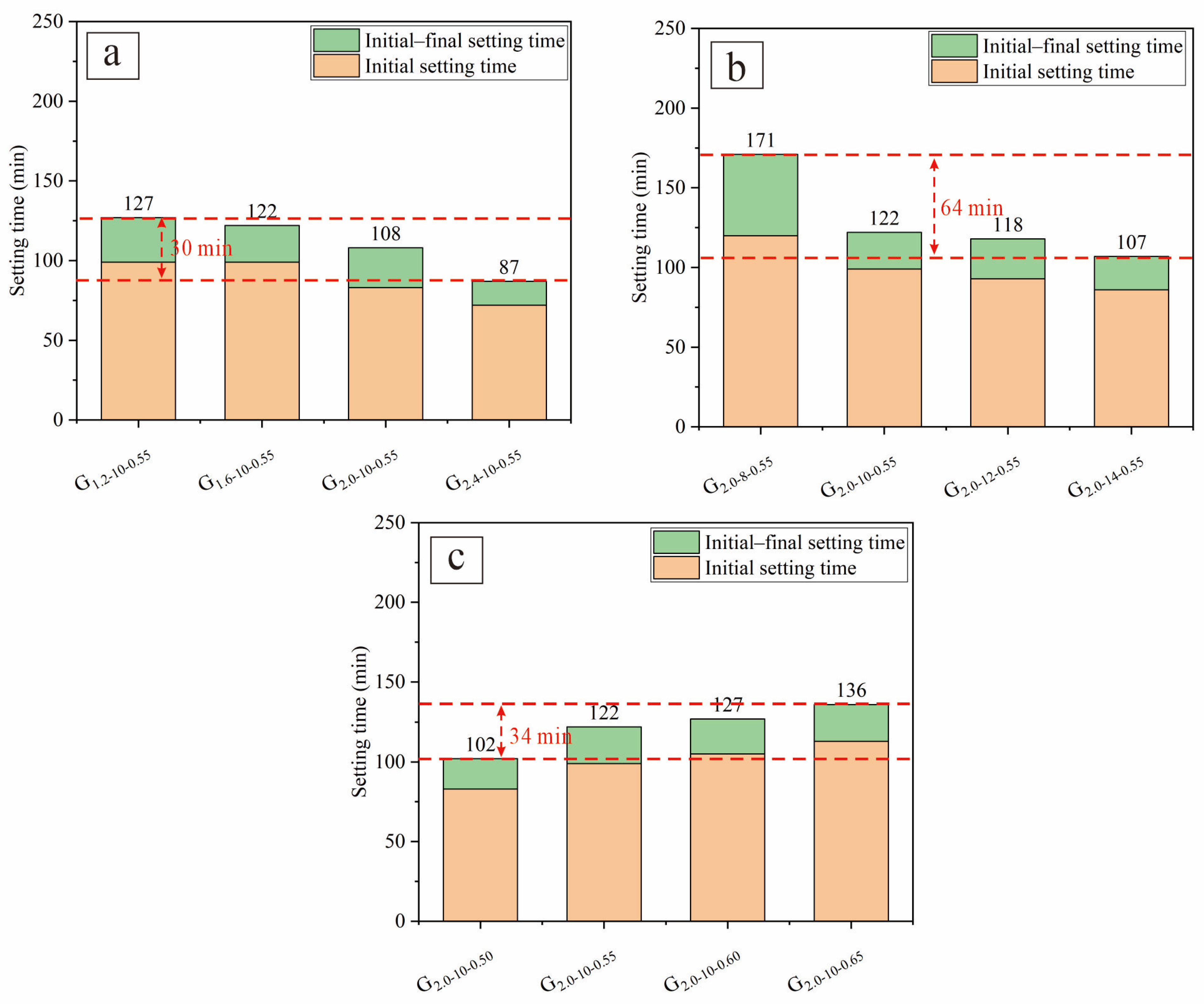
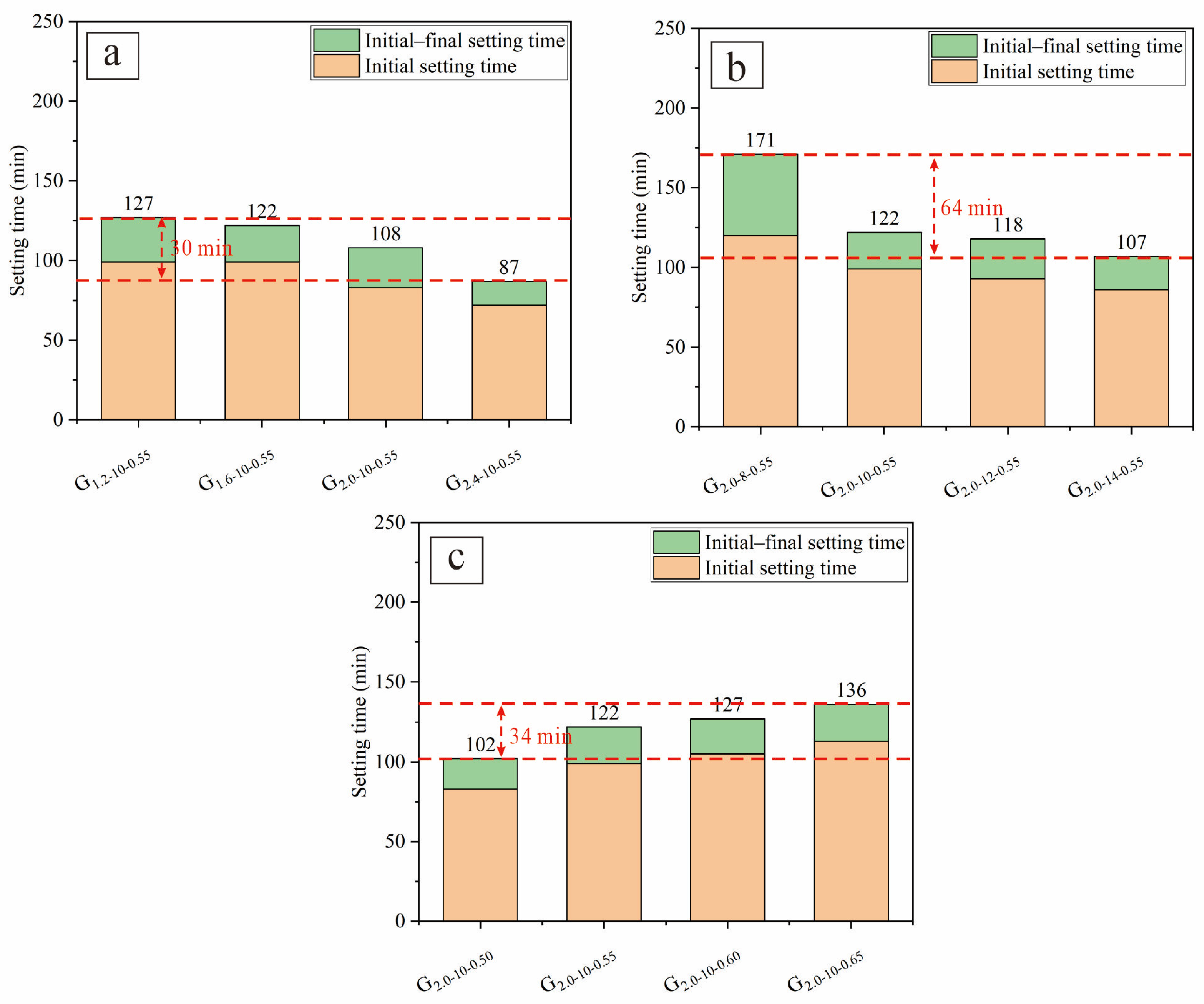
3.1.1. Fluidity and Setting Time
3.1.2. Compressive Strength
3.2. Geopolymer Structure
3.2.1. XRD Analysis
3.2.2. FTIR Spectroscopy
3.2.3. SEM/EDX Results
3.2.4. MIP Results
3.3. Summary and Discussion
4. Conclusions
Author Contributions
Funding
Data Availability Statement
Acknowledgments
Conflicts of Interest
References
- Davidovits, J. Geopolymers: Inorganic Polymeric New Materials. J. Therm. Anal. Calorim. 1991, 37, 1633–1656. [Google Scholar] [CrossRef]
- Duxson, P.; Provis, J.L.; Lukey, G.C.; Deventer, J. The Role of Inorganic Polymer Technology in the Development of “Green Concrete”. Cem. Concr. Res. 2007, 37, 1590–1597. [Google Scholar] [CrossRef]
- Rickard, W.D.A.; Vickers, L.; van Riessen, A. Performance of Fibre Reinforced, Low Density Metakaolin Geopolymers under Simulated Fire Conditions. Appl. Clay Sci. 2013, 73, 71–77. [Google Scholar] [CrossRef]
- Zhang, J.; Shi, C.; Zhang, Z.; Ou, Z. Durability of Alkali-Activated Materials in Aggressive Environments: A Review on Recent Studies. Constr. Build. Mater. 2017, 152, 598–613. [Google Scholar] [CrossRef]
- McLellan, B.C.; Williams, R.P.; Lay, J.; van Riessen, A.; Corder, G.D. Costs and Carbon Emissions for Geopolymer Pastes in Comparison to Ordinary Portland Cement. J. Clean. Prod. 2011, 19, 1080–1090. [Google Scholar] [CrossRef]
- Shi, C.; Jiménez, A.F.; Palomo, A. New Cements for the 21st Century: The Pursuit of an Alternative to Portland Cement. Cem. Concr. Res. 2011, 41, 750–763. [Google Scholar] [CrossRef]
- Farooq, M.; Bhutta, A.; Banthia, N. Tensile Performance of Eco-Friendly Ductile Geopolymer Composites (EDGC) Incorporating Different Micro-Fibers. Cem. Concr. Compos. 2019, 103, 183–192. [Google Scholar] [CrossRef]
- Zhang, B.; Feng, Y.; Xie, J.; Dai, J.; Chen, W.; Xue, Z.; Li, L.; Li, Y.; Li, J. Effects of Pretreated Recycled Powder Substitution on Mechanical Properties and Microstructures of Alkali-Activated Cement. Constr. Build. Mater. 2023, 406, 133360. [Google Scholar] [CrossRef]
- Cloete, S.; Giuffrida, A.; Romano, M.C.; Zaabout, A. The Swing Adsorption Reactor Cluster for Post-Combustion CO2 Capture from Cement Plants. J. Clean. Prod. 2019, 223, 692–703. [Google Scholar] [CrossRef]
- Zhang, X.; Feng, X.; Wang, Z.; Jian, J.; Chen, S.; Luo, W.; Zhang, C. Experimental Study on the Physico-Mechanical Properties and Microstructure of Foam Concrete Mixed with Coal Gangue. Constr. Build. Mater. 2022, 359, 129428. [Google Scholar] [CrossRef]
- Zhang, B.; Yu, T.; Deng, L.; Li, Y.; Guo, H.; Zhou, J.; Li, L.; Peng, Y. Ion-Adsorption Type Rare Earth Tailings for Preparation of Alkali-Based Geopolymer with Capacity for Heavy Metals Immobilization. Cem. Concr. Compos. 2022, 134, 104768. [Google Scholar] [CrossRef]
- Pavithra, P.; Reddy, M.S.; Dinakar, P.; Rao, B.H.; Satpathy, B.K.; Mohanty, A.N. A Mix Design Procedure for Geopolymer Concrete with Fly Ash. J. Clean. Prod. 2016, 133, 117–125. [Google Scholar] [CrossRef]
- Wang, Q.; Guo, H.; Yu, T.; Yuan, P.; Deng, L.; Zhang, B. Utilization of Calcium Carbide Residue as Solid Alkali for Preparing Fly Ash-Based Geopolymers: Dependence of Compressive Strength and Microstructure on Calcium Carbide Residue, Water Content and Curing Temperature. Materials 2022, 15, 973. [Google Scholar] [CrossRef]
- El-Hassan, H.; Ismail, N. Effect of Process Parameters on the Performance of Fly Ash/GGBS Blended Geopolymer Composites. J. Sustain. Cem.-Based Mater. 2018, 7, 122–140. [Google Scholar] [CrossRef]
- Singh, S.; Aswath, M.U.; Ranganath, R.V. Effect of Mechanical Activation of Red Mud on the Strength of Geopolymer Binder. Constr. Build. Mater. 2018, 177, 91–101. [Google Scholar] [CrossRef]
- Zhang, B.; Guo, H.; Yuan, P.; Li, Y.; Wang, Q.; Deng, L.; Liu, D. Geopolymerization of Halloysite via Alkali-Activation: Dependence of Microstructures on Precalcination. Appl. Clay Sci. 2020, 185, 105375. [Google Scholar] [CrossRef]
- Zhang, B.; Yuan, P.; Guo, H.; Deng, L.; Li, Y.; Li, L.; Wang, Q.; Liu, D. Effect of Curing Conditions on the Microstructure and Mechanical Performance of Geopolymers Derived from Nanosized Tubular Halloysite. Constr. Build. Mater. 2021, 268, 121186. [Google Scholar] [CrossRef]
- Zhang, B.; Guo, H.; Deng, L.; Fan, W.; Yu, T.; Wang, Q. Undehydrated Kaolinite as Materials for the Preparation of Geopolymer through Phosphoric Acid-Activation. Appl. Clay Sci. 2020, 199, 105887. [Google Scholar] [CrossRef]
- Zhang, B.; Yu, T.; Guo, H.; Chen, J.; Liu, Y.; Yuan, P. Effect of the SiO2/Al2O3 Molar Ratio on the Microstructure and Properties of Clay-Based Geopolymers: A Comparative Study of Kaolinite-Based and Halloysite-Based Geopolymers. Clays Clay Miner. 2022, 70, 882–902. [Google Scholar] [CrossRef]
- Li, Z.; Gao, Y.; Zhang, J.; Zhang, C.; Chen, J.; Liu, C. Effect of Particle Size and Thermal Activation on the Coal Gangue Based Geopolymer. Mater. Chem. Phys. 2021, 267, 124657. [Google Scholar] [CrossRef]
- Han, J.Y.; Song, X.Y.; Gao, Z.H. Excitation Effect of Soluble Glass on Composite System with Calcined Coal Gangue and Slag. Appl. Mech. Mater. 2012, 174–177, 30–34. [Google Scholar] [CrossRef]
- Geng, J.; Zhou, M.; Li, Y.; Chen, Y.; Han, Y.; Wan, S.; Zhou, X.; Hou, H. Comparison of Red Mud and Coal Gangue Blended Geopolymers Synthesized through Thermal Activation and Mechanical Grinding Preactivation. Constr. Build. Mater. 2017, 153, 185–192. [Google Scholar] [CrossRef]
- Zhou, X. Study on the Reaction Degree of Calcined Coal Gangue Powder in Blended Cement by Selective Solution Method. Procedia Earth Planet. Sci. 2009, 1, 634–639. [Google Scholar] [CrossRef][Green Version]
- Ju, F.; Li, B.; Guo, S.; Xiao, M. Dynamic Characteristics of Gangues during Vertical Feeding in Solid Backfill Mining: A Case Study of the Wugou Coal Mine in China. Environ. Earth Sci. 2016, 75, 1389. [Google Scholar] [CrossRef]
- Liu, H.; Liu, Z. Recycling Utilization Patterns of Coal Mining Waste in China. Resour. Conserv. Recycl. 2010, 54, 1331–1340. [Google Scholar] [CrossRef]
- Liu, X. Low-Carbon Utilization of Coal Gangue under the Carbon Neutralization Strategy: A Short Review. J. Mater. Cycles Waste Manag. 2023, 25, 1978–1987. [Google Scholar] [CrossRef]
- Karimipour, A. Effect of Untreated Coal Waste as Fine and Coarse Aggregates Replacement on the Properties of Steel and Polypropylene Fibres Reinforced Concrete. Mech. Mater. 2020, 150, 103592. [Google Scholar] [CrossRef]
- Wu, J.; Bai, G.; Wang, P.; Liu, Y. Mechanical Properties of a New Type of Block Made from Shale and Coal Gangue. Constr. Build. Mater. 2018, 190, 796–804. [Google Scholar] [CrossRef]
- Zhao, H.; Wang, S.; Wang, R.; Shen, L.; Wang, Q. Utilization of Raw Coal Gangue as Coarse Aggregates in Pavement Concrete. Constr. Build. Mater. 2023, 378, 131062. [Google Scholar] [CrossRef]
- Guan, X.; Qiu, J.; Song, H.; Qin, Q.; Zhang, C. Stress–Strain Behaviour and Acoustic Emission Characteristic of Gangue Concrete under Axial Compression in Frost Environment. Constr. Build. Mater. 2019, 220, 476–488. [Google Scholar] [CrossRef]
- Zhang, W.; Dong, C.; Huang, P.; Sun, Q.; Li, M.; Chai, J. Experimental Study on the Characteristics of Activated Coal Gangue and Coal Gangue-Based Geopolymer. Energies 2020, 13, 2504. [Google Scholar] [CrossRef]
- Zhou, S.; Dong, J.; Yu, L.; Xu, C.; Jiao, X.; Wang, M. Effect of Activated Coal Gangue in North China on the Compressive Strength and Hydration Process of Cement. J. Mater. Civ. Eng. 2019, 31, 04019022. [Google Scholar] [CrossRef]
- Dassekpo, J.-B.M.; Feng, W.; Miao, L.; Dong, Z. Effect of Alkali Activators on Loess Geopolymer: Potential Waterproof Repair Material. J. Mater. Civ. Eng. 2021, 33, 04021247. [Google Scholar] [CrossRef]
- Chen, W.; Li, B.; Wang, J.; Thom, N. Effects of Alkali Dosage and Silicate Modulus on Autogenous Shrinkage of Alkali-Activated Slag Cement Paste. Cem. Concr. Res. 2021, 141, 106322. [Google Scholar] [CrossRef]
- Phoo-ngernkham, T.; Sata, V.; Hanjitsuwan, S.; Ridtirud, C.; Hatanaka, S.; Chindaprasirt, P. High Calcium Fly Ash Geopolymer Mortar Containing Portland Cement for Use as Repair Material. Constr. Build. Mater. 2015, 98, 482–488. [Google Scholar] [CrossRef]
- Guo, X.; Shi, H.; Dick, W.A. Compressive Strength and Microstructural Characteristics of Class C Fly Ash Geopolymer. Cem. Concr. Compos. 2010, 32, 142–147. [Google Scholar] [CrossRef]
- Zhang, Z.; Xiao, Y.; Huajun, Z.; Yue, C. Role of Water in the Synthesis of Calcined Kaolin-Based Geopolymer. Appl. Clay Sci. 2009, 43, 218–223. [Google Scholar] [CrossRef]
- Somna, K.; Jaturapitakkul, C.; Kajitvichyanukul, P.; Chindaprasirt, P. NaOH-Activated Ground Fly Ash Geopolymer Cured at Ambient Temperature. Fuel 2011, 90, 2118–2124. [Google Scholar] [CrossRef]
- Puligilla, S.; Chen, X.; Mondal, P. Understanding the Role of Silicate Concentration on the Early-Age Reaction Kinetics of a Calcium Containing Geopolymeric Binder. Constr. Build. Mater. 2018, 191, 206–215. [Google Scholar] [CrossRef]
- Bernal, S.A.; Provis, J.L.; Rose, V.; Mejía de Gutierrez, R. Evolution of Binder Structure in Sodium Silicate-Activated Slag-Metakaolin Blends. Cem. Concr. Compos. 2011, 33, 46–54. [Google Scholar] [CrossRef]
- Zhang, B.; Huang, D.; Li, L.; Lin, M.; Liu, Y.; Fang, W.; Lu, J.; Liu, F.; Li, Y.; Liu, Y.; et al. Effect of Magnesium Salt Contamination on the Microstructures and Properties of Metakaolinite-Based Geopolymer: The Role of MgCl2 and MgSO4. J. Mater. Res. Technol. 2022, 20, 4500–4514. [Google Scholar] [CrossRef]
- Zhang, M.; Islam, J. Use of Nano-Silica to Reduce Setting Time and Increase Early Strength of Concretes with High Volumes of Fly Ash or Slag. Constr. Build. Mater. 2012, 29, 573–580. [Google Scholar] [CrossRef]
- Longhi, M.A.; Walkley, B.; Rodríguez, E.D.; Kirchheim, A.P.; Zhang, Z.; Wang, H. New Selective Dissolution Process to Quantify Reaction Extent and Product Stability in Metakaolin-Based Geopolymers. Compos. Part B Eng. 2019, 176, 107172. [Google Scholar] [CrossRef]
- Zhang, Z.; Yao, X.; Zhu, H. Potential Application of Geopolymers as Protection Coatings for Marine Concrete: I. Basic Properties. Appl. Clay Sci. 2010, 49, 1–6. [Google Scholar] [CrossRef]
- White, C.E.; Provis, J.L.; Llobet, A.; Proffen, T.; van Deventer, J.S.J. Evolution of Local Structure in Geopolymer Gels: An In Situ Neutron Pair Distribution Function Analysis. J. Am. Ceram. Soc. 2011, 94, 3532–3539. [Google Scholar] [CrossRef]
- Chen, Z.; Li, J.-S.; Zhan, B.-J.; Sharma, U.; Poon, C.S. Compressive Strength and Microstructural Properties of Dry-Mixed Geopolymer Pastes Synthesized from GGBS and Sewage Sludge Ash. Constr. Build. Mater. 2018, 182, 597–607. [Google Scholar] [CrossRef]
- He, J.; Jie, Y.; Zhang, J.; Yu, Y.; Zhang, G. Synthesis and Characterization of Red Mud and Rice Husk Ash-Based Geopolymer Composites. Cem. Concr. Compos. 2013, 37, 108–118. [Google Scholar] [CrossRef]
- Cui, Y.; Wang, D.; Wang, Y.; Sun, R.; Rui, Y. Effects of the n(H2O: Na2Oeq) Ratio on the Geopolymerization Process and Microstructures of Fly Ash-Based Geopolymers. J. Non-Cryst. Solids 2019, 511, 19–28. [Google Scholar] [CrossRef]
- Lu, C.; Wang, Q.; Liu, Y.; Xue, T.; Yu, Q.; Chen, S. Influence of New Organic Alkali Activators on Microstructure and Strength of Fly Ash Geopolymer. Ceram. Int. 2022, 48, 12442–12449. [Google Scholar] [CrossRef]
- Dehghani, A.; Aslani, F.; Ghaebi Panah, N. Effects of Initial SiO2/Al2O3 Molar Ratio and Slag on Fly Ash-Based Ambient Cured Geopolymer Properties. Constr. Build. Mater. 2021, 293, 123527. [Google Scholar] [CrossRef]
- Yu, Q.; Li, S.; Li, H.; Chai, X.; Bi, X.; Liu, J.; Ohnuki, T. Synthesis and Characterization of Mn-Slag Based Geopolymer for Immobilization of Co. J. Clean. Prod. 2019, 234, 97–104. [Google Scholar] [CrossRef]
- Sun, Z.; Vollpracht, A. One Year Geopolymerisation of Sodium Silicate Activated Fly Ash and Metakaolin Geopolymers. Cem. Concr. Compos. 2019, 95, 98–110. [Google Scholar] [CrossRef]
- Koshy, N.; Dondrob, K.; Hu, L.; Wen, Q.; Meegoda, J.N. Synthesis and Characterization of Geopolymers Derived from Coal Gangue, Fly Ash and Red Mud. Constr. Build. Mater. 2019, 206, 287–296. [Google Scholar] [CrossRef]
- Ryu, G.S.; Lee, Y.B.; Koh, K.T.; Chung, Y.S. The Mechanical Properties of Fly Ash-Based Geopolymer Concrete with Alkaline Activators. Constr. Build. Mater. 2013, 47, 409–418. [Google Scholar] [CrossRef]
- Wang, Y.; Han, F.; Mu, J. Solidification/Stabilization Mechanism of Pb(II), Cd(II), Mn(II) and Cr(III) in Fly Ash Based Geopolymers. Constr. Build. Mater. 2018, 160, 818–827. [Google Scholar] [CrossRef]
- Fernández-Jiménez, A.; Palomo, A. Mid-Infrared Spectroscopic Studies of Alkali-Activated Fly Ash Structure. Microporous Mesoporous Mater. 2005, 86, 207–214. [Google Scholar] [CrossRef]
- Zhang, Z.; Provis, J.L.; Ma, X.; Reid, A.; Wang, H. Efflorescence and Subflorescence Induced Microstructural and Mechanical Evolution in Fly Ash-Based Geopolymers. Cem. Concr. Compos. 2018, 92, 165–177. [Google Scholar] [CrossRef]
- Rees, C.A.; Provis, J.L.; Lukey, G.C.; van Deventer, J.S.J. Attenuated Total Reflectance Fourier Transform Infrared Analysis of Fly Ash Geopolymer Gel Aging. Langmuir 2007, 23, 8170–8179. [Google Scholar] [CrossRef]
- Aiken, T.A.; Kwasny, J.; Sha, W.; Soutsos, M.N. Effect of Slag Content and Activator Dosage on the Resistance of Fly Ash Geopolymer Binders to Sulfuric Acid Attack. Cem. Concr. Res. 2018, 111, 23–40. [Google Scholar] [CrossRef]
- Yaseri, S.; Masoomi Verki, V.; Mahdikhani, M. Utilization of High Volume Cement Kiln Dust and Rice Husk Ash in the Production of Sustainable Geopolymer. J. Clean. Prod. 2019, 230, 592–602. [Google Scholar] [CrossRef]
- El Alouani, M.; Alehyen, S.; El Achouri, M.; Taibi, M. Preparation, Characterization, and Application of Metakaolin-Based Geopolymer for Removal of Methylene Blue from Aqueous Solution. J. Chem. 2019, 2019, e4212901. [Google Scholar] [CrossRef]
- Wang, Y.; Alrefaei, Y.; Dai, J. Silico-Aluminophosphate and Alkali-Aluminosilicate Geopolymers: A Comparative Review. Front. Mater. 2019, 6, 106. [Google Scholar] [CrossRef]
- Fan, Y.; Luan, H. Pore Structure in Concrete Exposed to Acid Deposit. Constr. Build. Mater. 2013, 49, 407–416. [Google Scholar] [CrossRef]











| Chemical Composition | SiO2 | Al2O3 | Fe2O3 | CaO | Na2O | MgO | K2O | TiO2 | Others |
|---|---|---|---|---|---|---|---|---|---|
| CG | 62.84 | 23.28 | 4.44 | 1.73 | 1.04 | 1.99 | 3.22 | 0.98 | 0.48 |
| Specimens | CG700°C (g) | Na2SiO3 (g) | NaOH (g) | Fluidity (mm) |
|---|---|---|---|---|
| G1.2-10-0.55 | 180 | 54 | 45 | 113.9 |
| G1.6-10-0.55 | 180 | 60.92 | 38.08 | 113.3 |
| G2.0-10-0.55 | 180 | 66 | 33 | 112.5 |
| G2.4-10-0.55 | 180 | 69.88 | 29.12 | 111.6 |
| G2.0-8-0.55 | 180 | 66 | 33 | 112.7 |
| G2.0-12-0.55 | 180 | 66 | 33 | 112.2 |
| G2.0-14-0.55 | 180 | 66 | 33 | 111.8 |
| G2.0-10-0.50 | 180 | 60 | 30 | 100.1 |
| G2.0-10-0.60 | 180 | 72 | 36 | 124.8 |
| G2.0-10-0.65 | 180 | 78 | 39 | 136.2 |
| Samples | Total Pore Area (m2/g) | Average Pore Diameter (nm) | Porosity (%) |
|---|---|---|---|
| G1.2-10-0.55 | 28.373 | 41.03 | 39.44 |
| G2.0-10-0.55 | 36.193 | 27.24 | 37.61 |
| G2.0-8-0.55 | 21.777 | 48.39 | 38.22 |
| G2.0-14-0.55 | 38.755 | 26.05 | 37.06 |
| G2.0-10-0.50 | 36.818 | 24.84 | 36.79 |
| G2.0-10-0.65 | 34.918 | 35.66 | 41.93 |
Disclaimer/Publisher’s Note: The statements, opinions and data contained in all publications are solely those of the individual author(s) and contributor(s) and not of MDPI and/or the editor(s). MDPI and/or the editor(s) disclaim responsibility for any injury to people or property resulting from any ideas, methods, instructions or products referred to in the content. |
© 2024 by the authors. Licensee MDPI, Basel, Switzerland. This article is an open access article distributed under the terms and conditions of the Creative Commons Attribution (CC BY) license (https://creativecommons.org/licenses/by/4.0/).
Share and Cite
Wang, X.; Liu, F.; Pan, Z.; Chen, W.; Muhammad, F.; Zhang, B.; Li, L. Geopolymerization of Coal Gangue via Alkali-Activation: Dependence of Mechanical Properties on Alkali Activators. Buildings 2024, 14, 787. https://doi.org/10.3390/buildings14030787
Wang X, Liu F, Pan Z, Chen W, Muhammad F, Zhang B, Li L. Geopolymerization of Coal Gangue via Alkali-Activation: Dependence of Mechanical Properties on Alkali Activators. Buildings. 2024; 14(3):787. https://doi.org/10.3390/buildings14030787
Chicago/Turabian StyleWang, Xiaoping, Feng Liu, Zezhou Pan, Weizhi Chen, Faheem Muhammad, Baifa Zhang, and Lijuan Li. 2024. "Geopolymerization of Coal Gangue via Alkali-Activation: Dependence of Mechanical Properties on Alkali Activators" Buildings 14, no. 3: 787. https://doi.org/10.3390/buildings14030787
APA StyleWang, X., Liu, F., Pan, Z., Chen, W., Muhammad, F., Zhang, B., & Li, L. (2024). Geopolymerization of Coal Gangue via Alkali-Activation: Dependence of Mechanical Properties on Alkali Activators. Buildings, 14(3), 787. https://doi.org/10.3390/buildings14030787

