Resilience of Personalized Ventilation in Maintaining Acceptable Breathable Air Quality When Combined with Mixing Ventilation Subject to External Shocks
Abstract
1. Introduction
2. System Description
2.1. Investigated Case Studies
- (1)
- Shock duration: The duration of the MV malfunction was studied for a duration of 3 h and a duration of 6 h, representing 30% and 66% of the total working hours in the office space (from 08:00 to 17:00), respectively;
- (2)
- Shutoff percentages: The failure degree of the MV system was studied by accounting once for a complete shutoff (100% shutoff), meaning no air was supplied by the MV system, and once for a half-shutoff (50% shutoff), meaning the MV system was operating at half its normal capacity (supplying half the normal air flow rate).
2.2. Criteria for Ventilation Resilience Assessment
- 1.
- The absorptivity effectiveness (): This index evaluates the potential of the PV system to absorb the shock. It is quantified as the duration, during which the CO2 at the breathing zone of the occupant builds up from its recommended threshold value of 1000 ppm [47] until reaching a peak concentration value. This index is calculated as follows [45]:where is the absorptivity time and (hours) is the occupied period (9 h). It is noteworthy to mention that values of close to 0 indicates that the exposure to CO2 is severe since its concentration in the breathing zone of the occupant reaches peak value in a short period of time exposing the occupant to CO2-laden air above the threshold values for a long period of time. However, values of closer to unity indicate a better resilience of the PV device since the latter is dampening the high CO2 concentration at the breathing zone of the occupant for a longer period of time;
- 2.
- The recovery effectiveness (): This index evaluates the duration it takes for the PV device to recover from the shock. It is quantified as the duration expanding between the instant at which the shock ends and the instant at which the average CO2 concentration at the breathing zone of the occupant reached threshold values (1000 ppm). This index is evaluated as follows [45]:where is the recovery time and (hours) is the occupied period (9 h). When the value of is close to 0, the recovery time is long, which indicates a longer exposure to CO2-laden air, above the recommended threshold" value, at the breathing zone of the occupant. However, for values close to unity, the recovery time is short indicating that the concentration of CO2 at the breathing zone reaches healthy levels quickly after the shock on the MV system ends;
- 3.
- The resilience effectiveness (): this index evaluates the impact of the shock, which is the duration during which the occupant was exposed to unhealthy CO2 levels compared to both the case of no shock (best case scenario) and the case of no PV (worst-case scenario). This index is calculated as follows [45]:where the is an integration of the CO2 curve above 1000 ppm with the correlative time duration [48]. Hence, the is an evaluation of the when the system is under one of the studied shocks presented in Table 1, the is an evaluation of the for the case when the same shock was applied but without the use of PV, and the is the when no shock occurs and both the MV and PV are at normal operation.
3. Numerical Methodology
3.1. CFD Model
3.2. Airflow Model
3.3. Boundary Conditions
4. Experimental Methodology
4.1. Experimental Setup
4.2. Experimental Protocol
5. Results
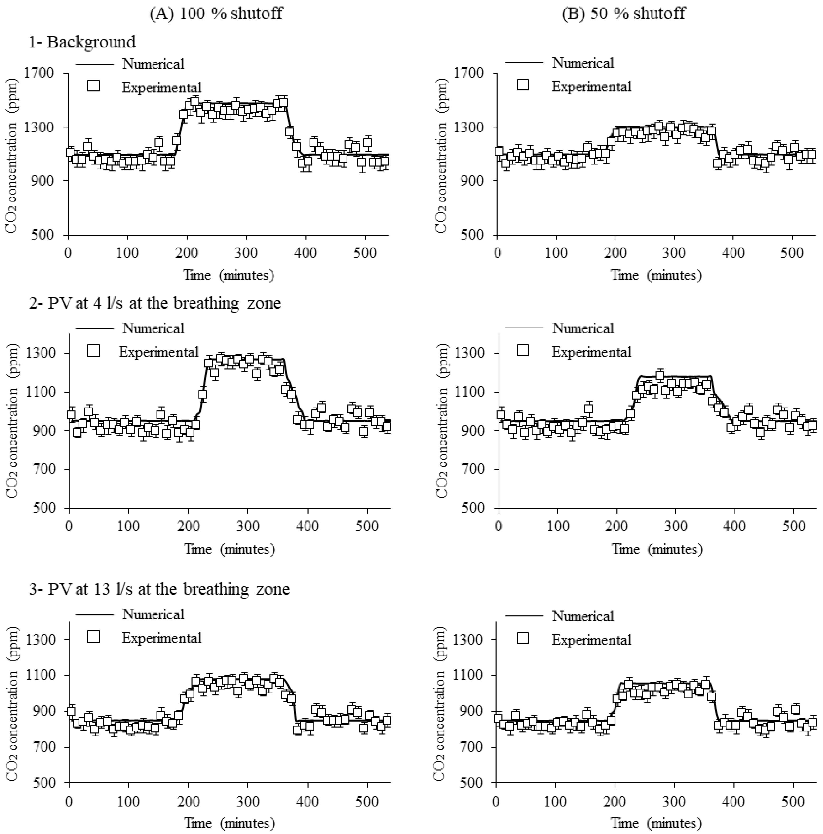
5.1. Validation of the Developed CFD Model
5.2. Parametric Study
5.2.1. CO2 Build-Up in the Macroclimate
5.2.2. CO2 Build-Up in the Breathing Zone of the Occupant
- The effect of PV design flow rate
- The effect of MV shutoff percentage
- The effect of MV malfunctioning duration
5.2.3. Assessment of the Different Aspects of the PV Ventilation Resilience
5.2.4. Shutoff of the PV System
6. Limitations and Applicability
7. Conclusions
- Concerning the build-up of CO2 in the macroclimate, the results showed that when decreasing the shutoff percentage from 100% to 50%, the following lower CO2 saturation concentrations were reached: 1520 ppm for the case of 100% shutoff and 1350 ppm for the case of 50% shutoff. Additionally, the CO2 build-up period increased from 12 min to 20 min. However, the recovery period decreased from 7 min to 5 min;
- Concerning the CO2 build-up in the breathing zone of the occupant, it was showed that for a fixed degree of shock, using a higher PV design supply flow rate resulted in a fast absorption of the shock, a fast recovery at the end of the shock due to the higher entrainment rate, and a low shock impact due to the lower ;
- It was recommended to design the PV devices at a flow rate not less than 13 L/s for better resilience effectiveness. This operation resulted in a resilience effectiveness equal to 1 for the case of a 50% shutoff and values close to unity for the case of a 100% shutoff;
- When decreasing the shutoff percentage of the MV system, the CO2 saturation concentration at the breathing zone of the occupant decreased and plateaued for a shorter period of time for the same malfunction duration, which resulted in a higher resilience effectiveness of the system;
- When the malfunctioning duration of the MV system showed an increase in and , the PV system remained unchanged; however, .plateaued for a longer period of time, thus resulting in lower values of ;
- The rate of build-up and recovery of CO2 at the occupant breathing zone was fast (in the range of seconds) in the case of a sudden PV shutoff. It was recommended to design the PV devices with regular maintenance and filter changes;
- Future studies should elaborate the combined effect of sudden MV and PV malfunction on both thermal comfort and CO2 build-up. It would also be interesting to investigate using PV as a backup to the MV system in case of heat wave events, when the MV system fails at maintaining the required indoor temperature, impacting occupant comfort.
Author Contributions
Funding
Data Availability Statement
Conflicts of Interest
Nomenclature
| AC | Air conditioning |
| CFD | Computational fluid dynamics |
| Cmax | Maximum concentration (ppm) |
| ∆tabs | Absorptivity time (h) |
| ∆trec | Recovery time (h) |
| εabs | Absorptivity effectiveness (-) |
| εrec | Recovery effectiveness (-) |
| εres | Resilience effectiveness (-) |
| IAQ | Indoor air quality |
| MV | Mixing ventilation |
| PV | Personalized ventilation |
| t | Time (h) |
| tocc | Occupied period (h) |
| VOC | Volatile organic compounds |
| Greek Symbols | |
| ε | Effectiveness |
| Δ | Difference |
| Subscripts | |
| abs | Absorptivity |
| occ | Occupied |
| rec | Recovery |
| res | Resilience |
References
- Arif, M.; Katafygiotou, M.; Mazroei, A.; Kaushik, A.; Elsarrag, E. Impact of indoor environmental quality on occupant well-being and comfort: A review of the literature. Int. J. Sustain. Built Environ. 2016, 5, 1–11. [Google Scholar]
- Persily, A.; Emmerich, S. Indoor Environmental Resilience: A Review and Discussion. In Proceedings of the Healthy Buildings 2015 America, Innovation in a Time of Energy Uncertainty and Climate Adaptation, Boulder, CO, USA, 19–22 July 2015. [Google Scholar]
- Persily, A.K.; Emmerich, S.J. Indoor Environmental Issues in Disaster Resilience; US Department of Commerce, National Institute of Standards and Technology: Gaithersburg, MD, USA, 2015.
- Anand, P.; Sekhar, C.; Cheong, D.; Santamouris, M.; Kondepudi, S. Occupancy-based zone-level VAV system control implications on thermal comfort, ventilation, indoor air quality and building energy efficiency. Energy Build. 2019, 204, 109473. [Google Scholar] [CrossRef]
- Harčárová, K.; Vilčeková, S. Indoor environmental quality in green certified office buildings. IOP Conf. Ser. Mater. Sci. Eng. 2022, 1252, 012054. [Google Scholar] [CrossRef]
- Abdullah, H.K.; Alibaba, H.Z. Window design of naturally ventilated offices in the mediterranean climate in terms of CO2 and thermal comfort performance. Sustainability 2020, 12, 473. [Google Scholar] [CrossRef]
- Saheb, H.; Mahdi, A.; Al-amir, Q. A numerical and experimental study of the effect of using personal ventilation systems on indoor air quality in office rooms. Front. Heat Mass Transf. 2021, 16, 9. [Google Scholar] [CrossRef]
- Zhou, J.; Kim, C.N. Effect of the personalized ventilation on indoor air quality for an indoor occupant with VOCs emission from carpet. J. Mech. Sci. Technol. 2012, 26, 481–488. [Google Scholar] [CrossRef]
- Melikov, A.K.; Cermak, R.; Majer, M. Personalized ventilation: Evaluation of different air terminal devices. Energy Build. 2002, 34, 829–836. [Google Scholar] [CrossRef]
- Song, W.; Zhang, Z.; Chen, Z.; Wang, F.; Yang, B. Thermal comfort and energy performance of personal comfort systems (PCS): A systematic review and meta-analysis. Energy Build. 2022, 256, 111747. [Google Scholar] [CrossRef]
- Schiavon, S.; Melikov, A.K.; Sekhar, C. Energy analysis of the personalized ventilation system in hot and humid climates. Energy Build. 2010, 42, 699–707. [Google Scholar] [CrossRef]
- Rawal, R.; Schweiker, M.; Kazanci, O.B.; Vardhan, V.; Jin, Q.; Duanmu, L. Personal comfort systems: A review on comfort, energy, and economics. Energy Build. 2020, 214, 109858. [Google Scholar] [CrossRef]
- Cermak, R.; Melikov, A.K.; Forejt, L.; Kovar, O. Performance of personalized ventilation in conjunction with mixing and displacement ventilation. Hvac&R Res. 2006, 12, 295–311. [Google Scholar]
- Yang, B.; Liu, Y.; Zhu, X.; Li, X. Personalized Ventilation Systems. In Personal Comfort Systems for Improving Indoor Thermal Comfort and Air Quality; Springer: Berlin/Heidelberg, Germany, 2023; pp. 113–127. [Google Scholar]
- Pantelic, J.; Tham, K.W.; Licina, D. Effectiveness of a personalized ventilation system in reducing personal exposure against directly released simulated cough droplets. Indoor Air 2015, 25, 683–693. [Google Scholar] [CrossRef]
- Shinoda, J.; Bogatu, D.-I.; Watanabe, F.; Kaneko, Y.; Olesen, B.W.; Kazanci, O.B. Performance evaluation of a multi-functional personalized environmental control system (PECS) prototype. Build. Environ. 2024, 252, 111260. [Google Scholar] [CrossRef]
- Saheb, H.A.; Al-amir, Q.R. A Comparative Study of Performance Between Two Combined Ventilation Systems and Their Effect On Indoor Air Quality and Thermal Comfort Inside Office Rooms. IOP Conf. Ser. Mater. Sci. Eng. 2021, 1095, 012001. [Google Scholar] [CrossRef]
- Xu, J.; Wang, C.; Fu, S.; Chan, K.; Chao, C.Y. Short-range bioaerosol deposition and inhalation of cough droplets and performance of personalized ventilation. Aerosol Sci. Technol. 2021, 55, 474–485. [Google Scholar] [CrossRef]
- Rajput, M.; Augenbroe, G.; Stone, B.; Georgescu, M.; Broadbent, A.; Krayenhoff, S.; Mallen, E. Heat exposure during a power outage: A simulation study of residences across the metro Phoenix area. Energy Build. 2022, 259, 111605. [Google Scholar] [CrossRef]
- Chen, Y.; Lin, G.; Crowe, E.; Granderson, J. Development of a unified taxonomy for hvac system faults. Energies 2021, 14, 5581. [Google Scholar] [CrossRef]
- Mills, E. Electric Grid Disruptions and Extreme Weather; Lawrence Berkeley National Laboratory: Berkeley, CA, USA, 2012.
- Al Assaad, D.; Sengupta, A.; Breesch, H. Demand-controlled ventilation in educational buildings: Energy efficient but is it resilient? Build. Environ. 2022, 226, 109778. [Google Scholar] [CrossRef]
- Zhao, Y.; Wen, J.; Xiao, F.; Yang, X.; Wang, S. Diagnostic Bayesian networks for diagnosing air handling units faults—Part I: Faults in dampers, fans, filters and sensors. Appl. Therm. Eng. 2017, 111, 1272–1286. [Google Scholar] [CrossRef]
- Liévanos, R.S.; Horne, C. Unequal resilience: The duration of electricity outages. Energy Policy 2017, 108, 201–211. [Google Scholar] [CrossRef]
- Al Assaad, D.; Breesch, H. Evaluation of “Ventilation Resilience” in Mid-Sized Office Buildings. In Proceedings of the CLIMA 2022 Conference, Rotterdam, The Netherlands, 22–25 May 2022. [Google Scholar]
- Kalmár, F.; Kalmár, T. Alternative personalized ventilation. Energy Build. 2013, 65, 37–44. [Google Scholar] [CrossRef]
- Katramiz, E.; Al Assaad, D.; Ghaddar, N.; Ghali, K. The effect of human breathing on the effectiveness of intermittent personalized ventilation coupled with mixing ventilation. Build. Environ. 2020, 174, 106755. [Google Scholar] [CrossRef]
- Harrouz, J.P.; Karam, J.; Ghali, K.; Ghaddar, N. Personalized ventilation with embedded air treatment system for simultaneous cooling and sorption-based carbon and humidity capture. Energy Convers. Manag. 2023, 291, 117290. [Google Scholar] [CrossRef]
- Xu, C.; Wei, X.; Liu, L.; Su, L.; Liu, W.; Wang, Y.; Nielsen, P.V. Effects of personalized ventilation interventions on airborne infection risk and transmission between occupants. Build. Environ. 2020, 180, 107008. [Google Scholar] [CrossRef] [PubMed]
- Liu, W.; Liu, L.; Xu, C.; Fu, L.; Wang, Y.; Nielsen, P.V.; Zhang, C. Exploring the potentials of personalized ventilation in mitigating airborne infection risk for two closely ranged occupants with different risk assessment models. Energy Build. 2021, 253, 111531. [Google Scholar] [CrossRef] [PubMed]
- Ono, E.; Mihara, K.; Lam, K.P.; Chong, A. The effects of a mismatch between thermal comfort modeling and HVAC controls from an occupancy perspective. Build. Environ. 2022, 220, 109255. [Google Scholar] [CrossRef]
- Liu, S.; Koupriyanov, M.; Paskaruk, D.; Fediuk, G.; Chen, Q. Investigation of airborne particle exposure in an office with mixing and displacement ventilation. Sustain. Cities Soc. 2022, 79, 103718. [Google Scholar] [CrossRef] [PubMed]
- Burkett, A. Conference Room Space Planning Guideline for 2023. Available online: https://www.iofficecorp.com/blog/conference-room-space-planning (accessed on 30 November 2023).
- Alsaad, H.; Voelker, C. Performance assessment of a ductless personalized ventilation system using a validated CFD model. J. Build. Perform. Simul. 2018, 11, 689–704. [Google Scholar] [CrossRef]
- Alsaad, H.; Voelker, C. Could the ductless personalized ventilation be an alternative to the regular ducted personalized ventilation? Indoor Air 2021, 31, 99–111. [Google Scholar] [CrossRef]
- Melikov, A.K. Personalized ventilation. Indoor Air 2004, 14, 157–167. [Google Scholar] [CrossRef]
- Zeng, Q.; Zhao, R. Prediction of perceived air quality for personalized ventilation systems. Tsinghua Sci. Technol. 2005, 10, 227–232. [Google Scholar] [CrossRef]
- Russo, J.S.; Khalifa, E. Computational study of breathing methods for inhalation exposure. HVACR Res. 2011, 17, 419–431. [Google Scholar] [CrossRef]
- Melikov, A.K.; Arakelian, R.S.; Halkjaer, L.; Fanger, P.O. Spot Cooling. Part 2: Recommendations for Design of Spot-Cooling Systems. In Proceedings of the 1994 Annual Meeting of American Society of Heating, Refrigerating, and Air Conditioning Engineers (ASHRAE), Orlando, FL, USA, 25–29 June 1994; pp. 0001–2505. [Google Scholar]
- Chen, Y.; Raphael, B.; Sekhar, S. Individual control of a personalized ventilation system integrated with an ambient mixing ventilation system. HVACR Res. 2012, 18, 1136–1152. [Google Scholar] [CrossRef]
- Kaczmarczyk, J.; Melikov, A.; Fanger, P.O. Human response to personalized ventilation and mixing ventilation. Indoor Air 2004, 14, 17–29. [Google Scholar] [CrossRef] [PubMed]
- Tham, K.W.; Pantelic, J. Performance evaluation of the coupling of a desktop personalized ventilation air terminal device and desk mounted fans. Build. Environ. 2010, 45, 1941–1950. [Google Scholar] [CrossRef]
- Chen, Y.; Sekhar, C.; Tham, K.W.; Raphael, B. Personalized Ventilation Control: Perception of Indoor air Quality. In Proceedings of the 10th REHVA World Congress, Antalya, Turkey, 9–12 May 2010. [Google Scholar]
- Sekhar, S.; Gong, N.; Tham, K.W.; Cheong, K.; Melikov, A.K.; Wyon, D.; Fanger, P.O. Findings of personalized ventilation studies in a hot and humid climate. HVACR Res. 2005, 11, 603–620. [Google Scholar] [CrossRef]
- Al Assaad, D.; Sengupta, A.; Breesch, H. A novel quantitative assessment framework of the IAQ resilience performance of buildings: The resilience score metric. Build. Environ. 2023, 243, 110669. [Google Scholar] [CrossRef]
- Al-Assad, D.; Ghali, K.; Ghaddar, N. Performance of Intermittent Personalized Ventilation Assisting Mixing Ventilation in the Presence of Indoor Disturbance. In Proceedings of the Heat Transfer Summer Conference, Bellevue, DC, USA, 13–17 July 2019; p. V001T003A002. [Google Scholar]
- ANSI/ASHRAE Standard 62.1-2007; Ventilation for Acceptable Indoor Air Quality. American Society of Heating, Refrigerating and Air-Conditioning Engineers, Inc.: Atlanta, GA, USA, 2007.
- Mayer, A.J.; Menges, C.; Göttig, R. A Method for Determining the Time-Dependent Indoor CO2 Concentration to Evaluate Air Hygiene. In Proceedings of the Healthy Buildings 2021, Virtual, 21–23 June 2021. [Google Scholar]
- Zhuang, R.; Li, X.; Tu, J. CFD Study of the Effects of Furniture Layout on Indoor Air Quality under Typical Office Ventilation Schemes. In Building Simulation; Springer: Berlin/Heidelberg, Germany, 2014; pp. 263–275. [Google Scholar]
- Zhang, H.; Zhang, W.; Zhang, W.; Xuan, Y.; Yue, Y. Multi-vent module-based adaptive ventilation to reduce cross-contamination among indoor occupants. Build. Environ. 2022, 212, 108836. [Google Scholar] [CrossRef]
- Alsaad, H.; Voelker, C. CFD Analysis of Indoor Air Quality in Office Rooms Equipped with Desk Fans. In Proceedings of the Building Simulation 2019, Rome, Italy, 2–4 September 2019. [Google Scholar]
- Wu, J.; Xu, L.; Shen, J. Research on the cross-contamination in the confined conference room with the radiant floor heating system integrated with the down-supply ventilation. Heliyon 2023, 9, e14389. [Google Scholar]
- Ahmadzadeh, M.; Shams, M. A numerical approach for preventing the dispersion of infectious disease in a meeting room. Sci. Rep. 2022, 12, 16959. [Google Scholar] [CrossRef]
- Zhang, Y.; Feng, G.; Kang, Z.; Bi, Y.; Cai, Y. Numerical simulation of coughed droplets in conference room. Procedia Eng. 2017, 205, 302–308. [Google Scholar] [CrossRef]
- Abuhegazy, M.; Talaat, K.; Anderoglu, O.; Poroseva, S.V. Numerical investigation of aerosol transport in a classroom with relevance to COVID-19. Phys. Fluids 2020, 32, 103311. [Google Scholar] [CrossRef]
- Karam, J.; Ghali, K.; Ghaddar, N. Pulsating jet ventilation add-ons performance for reducing the contaminant spread in classrooms: Portable air cleaners vs. upper room UVGI. Build. Environ. 2023, 229, 109946. [Google Scholar] [CrossRef]
- Mirzaie, M.; Lakzian, E.; Khan, A.; Warkiani, M.E.; Mahian, O.; Ahmadi, G. COVID-19 spread in a classroom equipped with partition–A CFD approach. J. Hazard. Mater. 2021, 420, 126587. [Google Scholar] [CrossRef] [PubMed]
- Fluent, A. 19.2 User’s Guide; ANSYS. Inc.: Canonsburg, PA, USA, 2013. [Google Scholar]
- Abou Hweij, W.; Ghaddar, N.; Ghali, K.; Habchi, C. Optimized performance of displacement ventilation aided with chair fans for comfort and indoor air quality. Energy Build. 2016, 127, 907–919. [Google Scholar] [CrossRef]
- Lee, M.; Park, G.; Park, C.; Kim, C. Improvement of grid independence test for computational fluid dynamics model of building based on grid resolution. Adv. Civ. Eng. 2020, 2020, 8827936. [Google Scholar] [CrossRef]
- Moukalled, F.; Mangani, L.; Darwish, M.; Moukalled, F.; Mangani, L.; Darwish, M. The Finite Volume Method; Springer: Berlin/Heidelberg, Germany, 2016. [Google Scholar]
- Chen, Q.; Zhang, Z.; Zuo, W. Computational Fluid Dynamics for Indoor Environment Modeling: Past, Present and Future. In Proceedings of the XXV Congresso della Trasmissione del Calore UIT, Trieste, Italy, 18–20 June 2007. [Google Scholar]
- Zhang, Z.; Chen, Q. Comparison of the Eulerian and Lagrangian methods for predicting particle transport in enclosed spaces. Atmos. Environ. 2007, 41, 5236–5248. [Google Scholar] [CrossRef]
- Teodosiu, R.; David, D.; Teodosiu, C.; Rusaouën, G.; Ilie, V.; Nguyen, C.-K. Experimental and numerical investigation of mechanically ventilated rooms. Energy Procedia 2017, 112, 252–260. [Google Scholar] [CrossRef]
- Buratti, C.; Palladino, D.; Moretti, E. Prediction of indoor conditions and thermal comfort using CFD simulations: A case study based on experimental data. Energy Procedia 2017, 126, 115–122. [Google Scholar] [CrossRef]
- Rong, L.; Nielsen, P.V.; Bjerg, B.; Zhang, G. Summary of best guidelines and validation of CFD modeling in livestock buildings to ensure prediction quality. Comput. Electron. Agric. 2016, 121, 180–190. [Google Scholar] [CrossRef]
- Lau, J.; Niu, J. Measurement and CFD simulation of the temperature stratification in an atrium using a floor level air supply method. Indoor Built Environ. 2003, 12, 265–280. [Google Scholar] [CrossRef]
- Du, L.; Yang, C.; Dominy, R.; Yang, L.; Hu, C.; Du, H.; Li, Q.; Yu, C.; Xie, L.; Jiang, X. Computational Fluid Dynamics aided investigation and optimization of a tunnel-ventilated poultry house in China. Comput. Electron. Agric. 2019, 159, 1–15. [Google Scholar] [CrossRef]
- Wang, C.; Liu, J.; Li, J.; Li, F. Chaotic behavior of human thermal plumes in an aircraft cabin mockup. Int. J. Heat Mass Transf. 2018, 119, 223–235. [Google Scholar] [CrossRef]
- Wang, C.; Liu, J.; Li, J. Mini-PIV Determination of Unsteady Characteristic of Human Thermal Plume. In Proceedings of the 10th International Symposium on Heating, Ventilation and Air Conditioning—ISHVAC 2017, Jinan, China, 19–22 October 2017. [Google Scholar]
- Sahebl, H.A.; Al-amir, Q.R. CFD Analysis for The Effect of Personal Ventilation Combined with Mixing Ventilation on Performance Index (ADPI) and Thermal Human Comfort. IOP Conf. Ser. Mater. Sci. Eng. 2020, 978, 012033. [Google Scholar] [CrossRef]
- Ray, S.D.; Gong, N.-W.; Glicksman, L.R.; Paradiso, J.A. Experimental characterization of full-scale naturally ventilated atrium and validation of CFD simulations. Energy Build. 2014, 69, 285–291. [Google Scholar] [CrossRef]
- Song, J.; Meng, X. The improvement of ventilation design in school buildings using CFD simulation. Procedia Eng. 2015, 121, 1475–1481. [Google Scholar] [CrossRef]
- Al Assaad, D.; Ghali, K.; Ghaddar, N.; Habchi, C. Mixing ventilation coupled with personalized sinusoidal ventilation: Optimal frequency and flow rate for acceptable air quality. Energy Build. 2017, 154, 569–580. [Google Scholar] [CrossRef]
- Thermetrics. Newton Thermal Mannikin System. Available online: https://www.thermetrics.com/products/full-body-manikins/newton (accessed on 1 December 2023).
- Kulkarni, V.; Sahoo, N.; Chavan, S.D. Simulation of honeycomb–screen combinations for turbulence management in a subsonic wind tunnel. J. Wind Eng. Ind. Aerodyn. 2011, 99, 37–45. [Google Scholar] [CrossRef]
- Karam, J.; Katramiz, E.; Ghali, K.; Ghaddar, N. Effective mitigation of cross-contamination in classroom conditioned by intermittent air jet cooling with use of portable air cleaners. Build. Environ. 2022, 219, 109220. [Google Scholar] [CrossRef]
- Shokrollahi, S.; Hadavi, M.; Heidarinejad, G.; Pasdarshahri, H. Multi-objective optimization of underfloor air distribution (UFAD) systems performance in a densely occupied environment: A combination of numerical simulation and Taguchi algorithm. J. Build. Eng. 2020, 32, 101495. [Google Scholar] [CrossRef]
- Mahyuddin, N.; Awbi, H. The spatial distribution of carbon dioxide in an environmental test chamber. Build. Environ. 2010, 45, 1993–2001. [Google Scholar] [CrossRef]
- Chakroun, W.; Ghali, K.; Ghaddar, N. Air quality in rooms conditioned by chilled ceiling and mixed displacement ventilation for energy saving. Energy Build. 2011, 43, 2684–2695. [Google Scholar] [CrossRef]
- CO2Meter. Available online: https://www.co2meter.com/collections/5-percent-co2-sensor (accessed on 30 October 2023).
- SWEMA03. Available online: https://swema.com/product/swema-03/ (accessed on 31 August 2023).
- Itani, M.; Ghaddar, D.; Ghaddar, N.; Ghali, K. Model-based multivariable regression model for thermal comfort in naturally ventilated spaces with personalized ventilation. J. Build. Perform. Simul. 2021, 14, 78–93. [Google Scholar] [CrossRef]










| (A) MV Malfunction | ||
| PV Design Flow Rate | MV Shock Duration | MV Shutoff Percentage |
| 4 L/s | 3 h | 100% |
| 50% | ||
| 6 h | 100% | |
| 50% | ||
| 9 L/s | 3 h | 100% |
| 50% | ||
| 6 h | 100% | |
| 50% | ||
| 13 L/s | 3 h | 100% |
| 50% | ||
| 6 h | 100% | |
| 50% | ||
| (B) PV Malfunction | ||
| MV Operation | PV Shutoff Duration | PV Design Flow Rate |
| Normal operation (8 ACH, always ON) | 2 min | 4 L/s |
| 9 L/s | ||
| 13 L/s | ||
| Mesh Size of the PV Inlet Face (cm)/ Mesh Size of the Occupants Faces (cm) | Number of Elements in the Domain | Relative Error on Average Velocity between 2 Consecutive Mesh Sizing |
|---|---|---|
| 5.0/1.8 | 3,674,449 | - |
| 1.5/1.8 | 3,676,268 | 8.2% |
| 1.5/1.5 | 4,230,449 | 4.5% |
| 100% Shutoff | 50% Shutoff | ||||||
|---|---|---|---|---|---|---|---|
| PV Design Flow Rate | |||||||
| 3 h malfunction | 4 L/s | 0.027 | 0.953 | 0.620 | 0.031 | 0.974 | 0.680 |
| 9 L/s | 0.019 | 0.972 | 0.810 | 0.022 | 0.985 | 0.860 | |
| 13 L/s | 0.011 | 0.981 | 0.980 | - | - | 1 | |
| 6 h malfunction | 4 L/s | 0.027 | 0.953 | 0.610 | 0.031 | 0.974 | 0.670 |
| 9 L/s | 0.019 | 0.972 | 0.800 | 0.022 | 0.985 | 0.850 | |
| 13 L/s | 0.011 | 0.981 | 0.970 | - | - | 1 | |
Disclaimer/Publisher’s Note: The statements, opinions and data contained in all publications are solely those of the individual author(s) and contributor(s) and not of MDPI and/or the editor(s). MDPI and/or the editor(s) disclaim responsibility for any injury to people or property resulting from any ideas, methods, instructions or products referred to in the content. |
© 2024 by the authors. Licensee MDPI, Basel, Switzerland. This article is an open access article distributed under the terms and conditions of the Creative Commons Attribution (CC BY) license (https://creativecommons.org/licenses/by/4.0/).
Share and Cite
Karam, J.; Ghali, K.; Ghaddar, N. Resilience of Personalized Ventilation in Maintaining Acceptable Breathable Air Quality When Combined with Mixing Ventilation Subject to External Shocks. Buildings 2024, 14, 654. https://doi.org/10.3390/buildings14030654
Karam J, Ghali K, Ghaddar N. Resilience of Personalized Ventilation in Maintaining Acceptable Breathable Air Quality When Combined with Mixing Ventilation Subject to External Shocks. Buildings. 2024; 14(3):654. https://doi.org/10.3390/buildings14030654
Chicago/Turabian StyleKaram, Jennifer, Kamel Ghali, and Nesreen Ghaddar. 2024. "Resilience of Personalized Ventilation in Maintaining Acceptable Breathable Air Quality When Combined with Mixing Ventilation Subject to External Shocks" Buildings 14, no. 3: 654. https://doi.org/10.3390/buildings14030654
APA StyleKaram, J., Ghali, K., & Ghaddar, N. (2024). Resilience of Personalized Ventilation in Maintaining Acceptable Breathable Air Quality When Combined with Mixing Ventilation Subject to External Shocks. Buildings, 14(3), 654. https://doi.org/10.3390/buildings14030654

