Next Article in Journal
Study on the Impact Law of V-Shaped Gully Debris Avalanches on Double-Column Piers
Previous Article in Journal
Performance Study on Laterite Road Base Stabilised with Emulsions Incorporating Biochar
 
 
Font Type:
Arial Georgia Verdana
Font Size:
Aa Aa Aa
Line Spacing:
Column Width:
Background:
Article

Bridge Construction Risk Assessment Based on Variable Weight Theory and Cloud Model

1
School of Resources and Civil Engineering, Northeastern University, Shenyang 110819, China
2
School of Civil Engineering, Shenyang Jianzhu University, Shenyang 110168, China
*
Author to whom correspondence should be addressed.
Buildings 2024, 14(3), 576; https://doi.org/10.3390/buildings14030576
Submission received: 8 December 2023 / Revised: 29 January 2024 / Accepted: 20 February 2024 / Published: 21 February 2024
(This article belongs to the Section Construction Management, and Computers & Digitization)

Abstract

In order to effectively prevent the occurrence of risky accidents during bridge construction, this study proposes a bridge construction risk assessment method based on variable weight theory and the cloud model theory. Firstly, the fishbone diagram was used to identify risk factors in constructing a bridge construction risk index system. Secondly, according to the cloud model theory, the comment cloud model of each risk index was established by using the forward cloud generator. Finally, the risk factor weights were quantified according to the intuitionistic fuzzy analytic hierarchy process (IFAHP). Combined with the variable weight theory, a zoning variable weight function was constructed and the weights were reallocated. Through the mutual aggregation of the comment cloud model and weights, the risk level of construction bridges was obtained. The method takes full account of the fuzziness and randomness existing in the evaluation process, optimizes the distribution of weight values of indicators, and uses Delphi iteration to effectively eliminate the subjective defects of individuals. A construction bridge in Changchun was used as an example for risk assessment, and the advance of the method was well verified. The results demonstrate that the method is highly feasible and effective after accuracy verification and sensitivity analysis.

1. Introduction

The bridge construction process is characterized by a long construction period, many construction personnel, complex construction environment, etc., creating a series of dangerous factors and making it very easy to cause dangerous accidents. Once a risky accident occurs during the construction process, it will cause not only delays and property losses but also serious risk loss such as casualties. On 13 August 2007, a significant collapse occurred at the Tixi Tuojiang Bridge under construction in Fenghuang County, Hunan Province, resulting in 64 deaths and 22 injuries. On 3 July 2014, an overpass under construction collapsed in Belo Horizonte, Brazil, resulting in two deaths and 22 injuries. On 9 July of the same year, an accident occurred on the Montgomery Highway overpass under construction, resulting in the death of two workers on the spot. On 31 March 2016, an overpass bridge under construction in Kolkata, India, collapsed, resulting in 27 people’s deaths and injuring at least 80 others. On 9 April 2021, the Lingang Railway Bridge in Tianjin collapsed during construction, killing eight workers and injuring six others. In India, two accidents on bridges under construction occurred in August 2023 alone, resulting in the death of at least 46 workers. Therefore, it is necessary to carry out a whole set of risk assessment for bridges under construction. This involves determining the composition of risk factors during bridge construction, obtaining the risk level using reasonable methods, and finally proposing corresponding measures to avoid risky accidents.
In order to effectively prevent risky accidents, many risk assessment methods were proposed. Mortazavi et al. [1] conducted a questionnaire survey of experts on bridge construction risks to rank their importance and finally determined the impact of higher risk indicators on bridge construction using Monte Carlo simulation. Nieto-Morote et al. [2] proposed a risk assessment method based on fuzzy theory–analytic hierarchy process (AHP) and applied it to bridge construction. Andric and Lu [3] combined the fuzzy analytic hierarchy process with fuzzy logic to develop a basic framework for bridge risk assessment. They showed that the model could effectively implement bridge risk assessment. Kim et al. [4] proposed a risk assessment method of bridge construction combining an entropy method and topology theory, and they used it to develop appropriate risk prevention measures. Wang and Niu [5] proposed an assessment method based on an improved analytic network process and trapezoidal membership fuzzy comprehensive evaluation model, which had the advantages of accuracy and applicability and could solve the problems of incomplete information and data fluctuation. Peng [6] introduced the Delphi iterative method into the cloud computing model, which largely eliminated the dispersion of expert comments and ensured the accuracy of risk assessment. Liang et al. [7] constructed a risk evaluation model by combining the entropy weight method with the cloud model. This study used a fault tree to identify risk factors and constructed a risk indicator system. Li et al. [8] proposed a dynamic risk analysis method based on Bayesian networks. Li et al. [9] used the cloud entropy weight method to establish a risk evaluation model for highway bridge construction and combined the cloud model to evaluate the risk level of bridge construction. Ji et al. [10] used WBS-RBS to establish an evaluation index system and introduced the Delphi method to improve FAHP to assess the construction safety risk of large and complex bridges. He et al. [11] introduced the validation factor analysis into the fuzzy theory, proposed a new bridge risk assessment model, and applied it to a real project to verify the validity of the model. The research methodology of the relevant literature is summarized using Table 1.
From the above studies, the following can be seen: (1) All of the above studies have adopted the theory of fixed weights in the assessment process, like AHP, in which the weights of the indicators always remain the same no matter how the values of their attributes change. This means that if an indicator is very risky but its weight is small, the expressive power of this particular indicator will be suppressed, leading to unscientific results. (2) In expressing uncertainty in the assessment process, most studies have used fuzzy set theories such as triangular fuzzy numbers, which utilize a certain interval to express part of the uncertainty (fuzziness) in the assessment process but ignore its randomness. (3) In determining the weights, all the above studies use the method of introducing the membership function, such as AHP, to describe the uncertainty in the decision-making process. In this process, the membership function is only a single-valued function, which can only show the support or opposition of the experts to the evaluation of the indicators but cannot reflect the hesitation characteristics of the experts.
To solve the above problems, this paper proposes a new method for risk assessment by combining variable weight theory and the cloud model. The fishbone diagram is applied to identify the risk factors and to establish a risk index system in this way. The cloud model is used to accurately translate the expert comments into indicator evaluation values. IFAHP is applied to quantify the weight values of evaluation indicators, and the variable weight theory is used to optimize their weight value distribution. The method utilizes the random point set of the cloud model instead of the traditional membership function, expressing the fuzziness and randomness of the expert comments. IFAHP is applied to accurately describe the experts’ support, opposition, and hesitation for the evaluation of the indicators. The Delphi iterative method is used to eliminate the subjective influence of individuals, and the variable weight theory is used to emphasize indicators with a high degree of risk to obtain more scientific results. Finally, a construction bridge in Changchun, China, is taken as an example to derive its risk level and the important risk factors affecting the construction risk of this bridge, providing a scientific and effective risk assessment method for the bridge construction risk problem.
The remainder of this paper is structured as follows: Section 2 describes in detail the theory applied in this study. Section 3 presents the specific steps of the proposed bridge construction risk assessment method. Section 4 applies the method to conduct a study on engineering examples. Section 5 performs accuracy verification and sensitivity analysis on the results of the proposed method to verify its reasonableness. The last section is the conclusion of the paper.

2. Research Theory

2.1. Variable Weight Theory

Let us start with an example [18]. Suppose we want to open a restaurant in China and need to choose what restaurant to open based on feasibility and necessity. Then, we define feasibility as X1 and necessity as X2, and open a Chinese restaurant as option A and open a Western restaurant as option B. Assuming that feasibility and necessity have equal weights, the selection function should be V = 0.5 X 1 + 0.5 X 2 . There are many Chinese restaurants in China but relatively few Western restaurants. Therefore, in terms of feasibility and necessity, option A: X1 = 8, X2 = 2, option B: X1 = 5, X2 = 5, then V A = V B = 5 . This is clearly contrary to common sense because opening a Chinese restaurant (option A) has a low necessity and is generally not selected. The reason for this is that after the applied fixed weight calculation method assigns weights to the indicators, their weights do not change in the following process, thus suppressing the expressiveness of some special but potentially crucial indicators. In the actual risk assessment process, if the weight of an indicator is small but its level of risk is high, the importance of the indicator is often neutralized, leading to an overly optimistic result in the final assessment. The theory of variable weights interconnects the weight vector and the state vector. The rationalization of the weight assignment is achieved by dynamic adjustment of the state vector S. The following is the definition of the variable weight model [19]:
Definition 1: 
W : ( 0 , 1 ) m ( 0 , 1 ) ,   W = ( w 1 , w 2 ,   , w m ) , where  w i ( i = 1 , 2 ,   , m )  is the variable weight of each factor and satisfies the normalization, continuity, and monotonicity conditions.
Definition 2: 
S : ( 0 , 1 ) m ( 0 , 1 ) ,   S = ( s 1 , s 2 ,   , s m ) , where  s i ( i = 1 , 2 ,   , m )  is the state variable weight of each factor, and the following conditions are satisfied:
(1)
Let 0 γ 1 , if 0   <   x i γ , then w i ( x ) is monotonically decreasing. If γ x i 1 , then w i ( x ) is monotonically increasing.
(2)
Let 0 α β 1 , if 0   <   x j α , then s j ( x ) is monotonically decreasing. If β x j 1 , then s j ( x ) is monotonically increasing and s j ( x ) satisfies the continuity condition.
(3)
For any fixed weight vector W ( 0 ) = ( w 1 ( 0 ) , w 2 ( 0 ) ,   , w m ( 0 ) ) , Equation (1) is satisfied.
W ( x ) = w 1 ( 0 ) S i ( x ) i = 1 m w 1 ( 0 ) S i ( x )
In this study, the state variation weight function [19] is defined by the penalty-incentive type variation weight theory, as shown in Equation (2). When the score of an indicator is too low (too high risk), the function will increase its impact on the bridge construction risk by appropriately increasing the weight of that indicator. Thus, the overall construction evaluation score is reduced. Conversely, when the indicator data show no risk, the evaluation score is increased appropriately. This plays the effect of “punishment” and “incentive”.
S i ( x ) = M μ ln μ x i + K 0 < x i μ K μ < x i λ   K + c 2 c 1 2 ( β α ) ( α λ ) ( 1 λ x i ) 2 λ < x i α   c 2 c 1 β α ( 1 x i ) + c 2 ( 1 α ) c 1 ( 1 β ) β α α < x i β c 2 c 1 β α ( 1 β ) ln 1 β 1 x i + c 2 β < x i 1  
where x is the indicator score value, S i ( x ) is the state variable weight vector, μ , λ , α and β are the interval thresholds, and c 1 , c 2 , K , M are empirically determined constants.

2.2. Cloud Model

The cloud model is an uncertainty cognitive model based on probability and fuzzy sets proposed by Li et al. [20]. It is defined as let U be a quantitative domain, and let T be a qualitative concept of U. Suppose x is a random realization of T and x U ; then, the membership function μ ( x ) is represented by.
μ : U [ 0 , 1 ]   x U μ ( x )
Then, the membership function μ ( x ) is called the cloud model, and ( x , μ ( x ) ) is called the cloud droplet, as shown in Figure 1. The cloud model can be portrayed by the numerical characteristics (Ex, En, He). Expectation (Ex) is the mathematical expectation of the cloud model in space and is the most representative feature. Entropy (En) is the main parameter reflecting the randomness of the qualitative concept. The hyper entropy (He) represents the degree of dispersion between cloud droplets. The image meanings of Ex, En, and He are all available in Figure 1.
The forward cloud generator can determine three numerical features based on interval boundary values and draw a visual cloud model. For the interval [Cimin, Cimax], the numerical features are calculated using Equations (4)–(6), and Equation (7) generates the cloud drops.
E x i = C i max + C i min 2
E n i = E x i + 1 E x i 3
H e = k
μ C ( x ) = e ( x i E x ) 2 2 ( E n i ) 2
where He is taken as a constant of 0.05 to ensure the cloud model dispersity is in a controllable range [21].
In practical assessments, traditional risk assessment methods often translate expert opinion into a precise number. However, this can lead to results that are skewed from reality. This is because expert comments are inherently subjective, and their expression is often full of uncertainty. For example, if an expert’s risk rating for Indicator A is 6, the hidden meaning is that the expert’s rating for Indicator A is equally biased toward 5.9. The difference is that the expert is 100% biased toward a score of 6 and 98% biased toward a score of 5.9. Therefore, this study applies the cloud model, a probability distribution model, to fully express the uncertainty contained in the experts’ comments. Its specific application in the evaluation system of this paper is to quantify the experts’ evaluation of the indicator (e.g., good, very good, etc.) into numerical intervals. Then, it is fuzzed by the forward cloud generator and transformed into a cloud model of experts’ comments on the index. Thus, the accuracy of experts’ opinions in the evaluation model is ensured.

2.3. IFAHP

The traditional analytic hierarchy process (AHP) is a method to make priority ranking for complex systems that are difficult to fully quantify. However, it quantifies expert comments as an exact number and ignores the uncertainty of expert comments. The fuzzy analytic hierarchy process (FAHP), as an extension of AHP, describes the uncertainty in the decision-making process by introducing the membership function. However, since the membership function is only a single-valued function, it cannot accurately describe the support, opposition, and hesitation of experts on the evaluation of indexes [22]. For example, in the actual evaluation process, the experts are unable to clearly express how much better the index is than the other indexes. Thus, they show hesitation in the process of determining the priority ranking. To address this point, Atanassov K [23] extended FAHP to IFAHP by introducing the membership function, non-membership function, and hesitancy degree to describe the above-mentioned characteristics more comprehensively. The definition of IFAHP axiomatization is as follows [24].
Let K be a fixed set and the intuitionistic fuzzy set A K ; then, A can be expressed in the following form.
A = x , μ A ( x ) , v A ( x ) | x K
where μ A ( x ) : K 0 , 1 and v A ( x ) : K 0 , 1 are the membership degree and non-membership degree of element x K to set A, respectively. Let π A ( x ) = 1 μ A ( x ) v A ( x ) and π A ( x ) [ 0 , 1 ] , where π A ( x ) is the degree of uncertainty about the membership degree and non-membership degree, that is, the hesitancy degree. When π A ( x ) = 0 , IFAHP degenerates to FAHP.
In the actual evaluation process, μ A ( x ) and v A ( x ) indicate the degree of importance of indicator i to j and the degree of importance of j to i, respectively. π A ( x ) represents the uncertainty of the degree of importance of indicator i to j.

3. Bridge Construction Risk Assessment Model

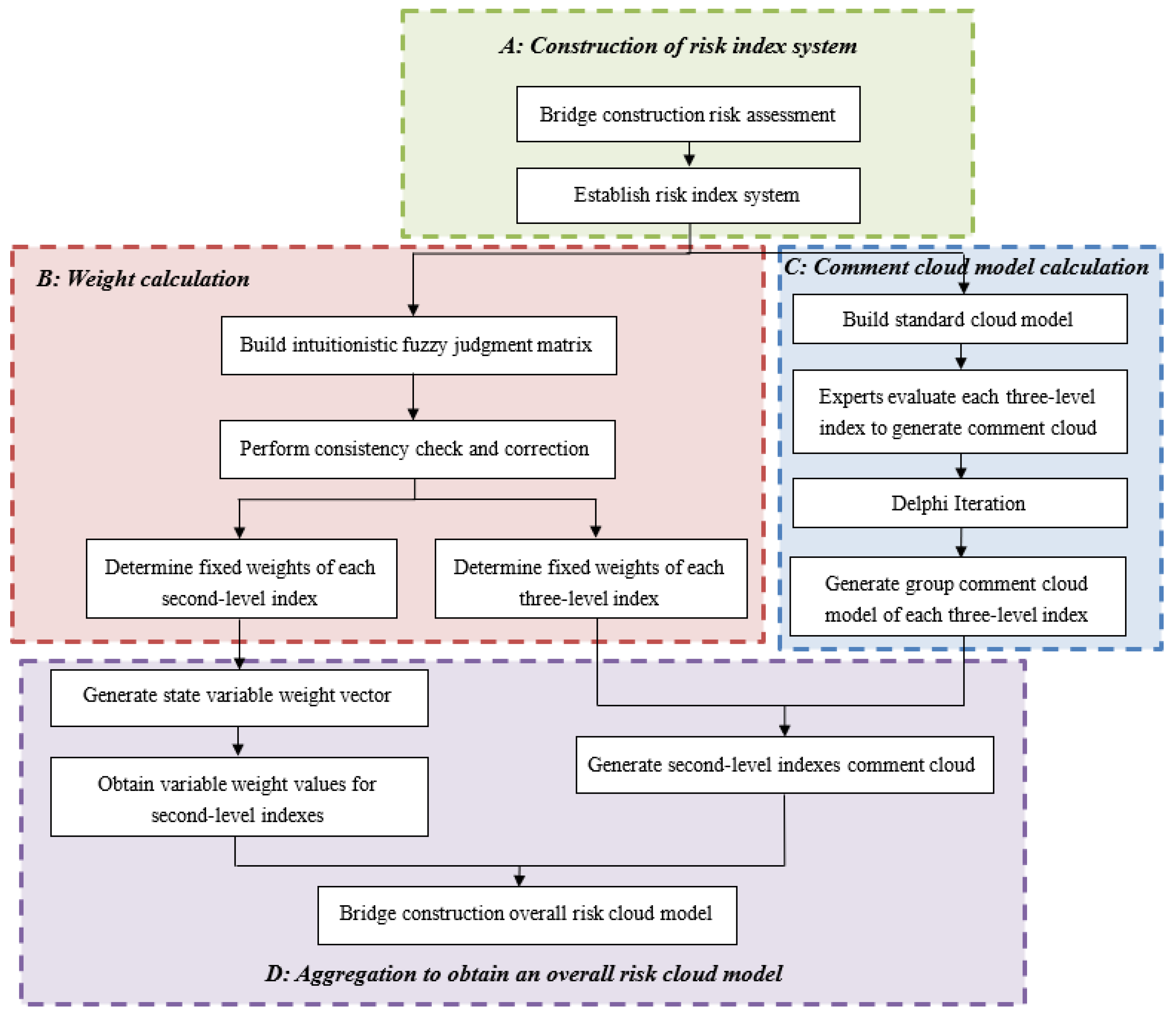
The specific steps of the bridge construction risk assessment method proposed in this paper are shown in Figure 2. Firstly, risk factors are identified, and a risk index system with a three-level hierarchy is established. Secondly, the comment cloud model of each three-level indicator is obtained by the standard cloud model. The fixed weights of each three-level indicator are obtained by IFAHP. The comment cloud model and fixed weights of the three-level indicators are aggregated to generate the second-level indicators’ comment cloud model. Finally, the fixed weights of the second-level indicators determined by IFAHP are introduced into the variable weight theory to obtain the variable weights. These are then aggregated with the comment cloud model of the second-level indicators to finally determine the overall risk level of bridge construction.

3.1. Establish Risk Index System

In the actual construction process, many factors cause risky accidents, and the causes are more complex. In this paper, combined with accident causation theory, we use the fishbone diagram analysis method to analyze the causes of bridge construction risks, as shown in Figure 3. The specific drawing steps are as follows. (1) Write the risk problem to be identified to the head of the fishbone. (2) List the major causes of the risk problem (fishbone backbone). From the major cause, continue to dig deeper and deeper into the minor causes (fishbone branches) and so on, layer by layer, until the root cause is analyzed. Based on the causes of construction risks obtained from the above fishbone diagram analysis, the risk index system is categorized and obtained as shown in Figure 4.

3.2. Build Standard Cloud Model

In this paper, each risk indicator is a qualitative indicator, and it needs to be assessed by experts to determine the evaluation value of the indicator. Therefore, the evaluation standard needs to be transformed into a cloud model. The total evaluation score is 10 points, which is averaged into five parts. The evaluation standards are set as very low risk I (0–2), low risk II (2–4), medium risk III (4–6), high risk IV (6–8), and very high risk V (8–10). The standard cloud model numerical features are calculated according to Equations (4)–(6) and cloud model theory [25], and the results are shown in Table 2 and Figure 5.

3.3. Build Comment Cloud Model

To overcome the uncertainty problem of expert comments, this paper invites several experts to evaluate each index, and a corresponding comment cloud model is built for each review. The fuzziness and randomness of the expert comments are transformed into Ex, En, and He of the cloud model. For example, if an expert rated an indicator as high risk, the comment was transformed into the corresponding cloud model (7, 0.66, 0.05) according to Table 2. However, since different experts may have different experiences, knowledge, and personal preferences, they tend to express different subjective feelings in the same situation. Therefore, it is necessary to assign different weights to expert members to reflect their relative importance in the risk assessment process. In this paper, we refer to Liu et al. [26] to describe the relative importance of expert members in terms of work experience and positional title, as shown in Table 3.
The expert weights and the comment cloud model are aggregated by the cloud model calculation rules of Wu et al. [27] to obtain the group evaluation cloud model. When there is a serious deviation between individual evaluation and group evaluation, it indicates that there is a non-negligible problem with the evaluation data. At this time, the Delphi iteration method is applied to compare the group evaluation cloud model with the individual evaluation cloud model. In this method, researchers find the cloud model where the individual evaluation seriously deviates from the group evaluation and provide feedback to the corresponding experts for adjustment until the evaluation results have no obvious dispersion.

3.4. Calculate the Fixed Weight of Indexes

IFAHP is a decision analysis method combining the analytic hierarchy process and intuitionistic fuzzy sets. It helps to quantify fuzzy concepts and determine the relative importance degree among indicators. In this paper, in order to quantitatively reflect the impact of relevant indicators on construction risk, IFAHP is used to calculate the fixed weights of each indicator within the risk index system, and the steps to achieve this are as follows.
Step 1: The experts compare the factors two by two in turn according to the relative importance scale (Table 4), measure the relative importance of each index, and construct an intuitionistic fuzzy judgment matrix [28], as shown in Equation (9).
R = ( r i j ) n × n = ( μ i j , v i j ) n × n = ( μ 11 , v 11 ) ( μ 12 , v 12 ) ( μ 1 n , v 1 n ) ( μ 21 , v 21 ) ( μ 22 , v 22 ) ( μ 2 n , v 2 n ) ( μ n 1 , v n 1 ) ( μ n 2 , v n 2 ) ( μ n n , v n n )
where n is the number of indicators. μ i j and v i j , respectively, represent the membership degree and non-membership degree of elements, and in this paper, they represent the relative importance of indicator i to j and j to i, which can be determined by Table 4, and μ i j + v i j 0 ,   1 . Define the hesitancy degree π i j = 1 μ i j v i j .
Step 2: The consistency check of the intuitionistic fuzzy judgment matrix is conducted, and the consistency judgment matrix R ¯ = ( r ¯ i j ) n × n = ( μ ¯ i j , v ¯ i j ) n × n is constructed according to Xu and Liao [22]. The specific calculation is as follows.
(1)
If  j   >   i + 1 , r ¯ i j = ( μ ¯ i j , v ¯ i j ) .
μ ¯ i j = t = i + 1 j 1 μ i t μ t j j i 1 t = i + 1 j 1 μ i t μ t j j i 1 + t = i + 1 j 1 ( 1 μ i t ) ( 1 μ t j ) j i 1
v ¯ i j = t = i + 1 j 1 v i t v t j j i 1 t = i + 1 j 1 v i t v t j j i 1 + t = i + 1 j 1 ( 1 v i t ) ( 1 v t j ) j i 1
(2)
If j = i + 1 or j = i , r ¯ i j = r i j = ( μ i j , v i j ) .
(3)
If j   <   i , r ¯ i j = ( v ¯ i j , μ ¯ i j ) .
The measured distance d ( R , R ¯ ) between the matrix R and R ¯ is calculated according to Xu and Liao [22] and compared with the consistency threshold of 0.1. When d ( R , R ¯ )   <   0.1 , the matrix R is considered to pass the consistency check.
d ( R , R ¯ ) = 1 2 ( n 1 ) ( n 2 ) i = 1 n j = 1 n ( | μ ¯ i j μ i j | + | v ¯ i j v i j | + | π ¯ i j π i j | )
If d ( R , R ¯ )   >   0.1 , it means the evaluation data deviates too much, and the original matrix R needs to be corrected. A correction factor γ 0 ,   1 is introduced to make it pass the consistency check. The corrected matrix R = ( μ i j , v i j ) n × n is shown below.
μ i j = ( μ i j ) 1 γ ( μ ¯ i j ) γ ( μ i j ) 1 γ ( μ ¯ i j ) γ + ( 1 μ i j ) 1 γ ( 1 μ ¯ i j ) γ
v i j = ( v i j ) 1 γ ( v ¯ i j ) γ ( v i j ) 1 γ ( v ¯ i j ) γ + ( 1 v i j ) 1 γ ( 1 v ¯ i j ) γ
Step 3: Calculate the fixed weights. Based on the judgment matrix satisfying the consistency check requirements, Li et al. [29] calculate the intuitionistic fuzzy weights ω ^ i .
ω ^ i = ( μ ^ i , v ^ i ) = i = 1 n μ i j i = 1 n j = 1 n ( 1 v i j ) , 1 i = 1 n ( 1 v i j ) i = 1 n j = 1 n u i j
Then, fixed weights are calculated in Equations (16) and (17).
C ( i ) = μ ^ i + π ^ i μ ^ i μ ^ i + v ^ i
w i = C ( i ) i = 1 n C ( i )
where μ ^ i represents the membership degree of weight ω ^ i , v ^ i represents the non-membership degree of weight ω ^ i , π ^ i is the hesitancy degree of weight ω ^ i , and π ^ i = 1 μ ^ i v ^ i .

3.5. Calculate the Variable Weight of Indexes

To ensure the sensitivity of the indicator weights, the fixed weights of the indicators are further transformed into variable weights. In this paper, a penalty-incentive-type variable weight is adopted, and the zoning variable weight function is constructed as shown in Equation (18) by reference to Chen et al. [21].
S i ( x ) = 0.2 ln 0.2 x i + 0.5 0 < x i 0.2 x i + 0.7 0.2 < x i 0.4   0.2 + 2.5 ( 0.6 x i ) 2 0.4 < x i 0.6 0.2 0.6 < x i 0.8 0.2 ln 0.2 1 x i + 0.2 0.8 < x i < 1
The image of the variable weight function is shown in Figure 6. To guarantee the safety of the assessment results, the conditions for the indicators to play an “incentive” role will be harsher. Therefore, the incentive interval is defined to be smaller than the penalty interval. In this paper, the incentive interval of the variable weight function is 0–0.2 and the penalty interval is 0.4–1. Among them, when x i ( 0 ,   0.2 ] , the risk is small and the construction risk needs to be given an appropriate incentive. When x i ( 0.2 ,   0.4 ] , the slope is 0, which means no “penalty” and no “incentive” at this time. When x i ( 0.4 ,   0.8 ] , the slope of the function gradually increases, and the penalty intensity also gradually increases. When x i ( 0.8 ,   1 ) , the slope of the function is large, meaning that the construction risk is large, so it is necessary to increase the index weight to maximize the penalty intensity. Finally, the variable weight of each indicator is calculated according to Equation (1).
Based on the calculated weight values of each indicator (constant weight, variable weight) and the comment cloud model, the overall risk cloud model is obtained by using Equation (19) to aggregate upwards step by step according to the risk index system. Finally, the overall risk level of bridge construction is obtained by comparing it with the standard cloud model.
C i = j = 1 n w i j C i j C = i = 1 n w i C i
where C i and C i j are the comment cloud models for the secondary and tertiary indicators, respectively, w i j is the fixed weight for the tertiary indicator, w i is the variable weight for the secondary indicator, and C is the overall risk cloud model.

4. Project Case

4.1. Project Overview

The proposed bridge is located within Changchun. There are significant temperature variations throughout the year and long winters. For five months of the year, the average temperature is below 0 °C. The coldest month in winter, January, has an average temperature of only −16.6 °C with a minimum temperature of −39.8 °C. There is not much precipitation at this time and the climate is dry, with frequent snowstorms, making it prone to disasters.
The bridge superstructure is ( 23 × 20 + 5 × 30 + 3 × 20 ) m prestressed concrete continuous box beams, and the lower part is column piers. The bridge mainly spans the river valley and the terraces on both sides. The slopes of the river valley are steep and the terrain is undulating with a maximum difference of 55 m. According to the survey, the bridge area is covered with seasonal frozen soil to a depth of approximately 2 m. The strata are mainly silty clay, medium sand, mudstone, and granite.

4.2. Calculate Three-Level Indexes Comment Cloud Model

Three on-site construction experts are invited to evaluate each three-level index in the risk index system (Figure 4) according to the standard cloud model established in Table 2. In order to more accurately reflect the relative importance of the expert members, weights are assigned to the experts in terms of both positional title and work experience. The weight values of a, b, and c (the three experts) are obtained according to the calculation in Table 3.
w D M = ( w D M a , w D M b , w D M c ) = ( 0.4 ,   0.3 ,   0.3 )
Here, taking the three-level indexes C11, C12, C13, and C14 as examples, the results of the evaluation by the three experts are shown in Table 5.
The expert weights and the expert comment cloud model are aggregated to obtain the group comment cloud model. Comparing the group comment cloud model with the individual comment cloud model, it is found that there are obvious differences in the expert evaluations of C11 and C12 indicators (Figure 7a and Figure 8a). Therefore, Delphi iteration is performed. The corrected expert evaluations are shown in Table 6, and from Figure 7b and Figure 8b, it is obvious that the corrected results are more consistent. Similarly, the group comment cloud model for the other three-level indexes after the Delphi iteration is shown in Table 7.
As can be seen from Table 7, the risk ratings for the tertiary indicators C13 (Natural disaster), C12 (Geological condition), and C14 (Terrain condition) are all high, which indicates that the experts agree that the construction bridge is of high risk in terms of natural disaster, geology, and terrain. This also corresponds to the frequent snowstorms, undulating terrain, and the seasonal frozen soil covered in the bridge area.

4.3. Calculate Indexes Weight

4.3.1. Fixed Weight Calculation of Three-Level Indexes Based on IFAHP

Three experts were invited to measure the relative importance of each three-level index according to Table 4 and construct an intuitionistic fuzzy judgment matrix according to Equation (9). Meanwhile, according to the weight values of the three experts obtained in the previous, the intuitionistic fuzzy judgment matrix of each expert is weighted to obtain the group judgment matrix. At the same time, the Delphi iterative method is used to feedback the individual opinions that seriously deviate from the group opinion to the corresponding experts and reevaluate them until there is no obvious gap in the evaluation results. Here, taking the second-level index C1 as an example, the fixed weights of its lower three-level indexes C11, C12, C13, and C14 are calculated as follows.
The weighted group judgment matrix R C 1 based on the evaluation of the three experts is shown below.
R C 1 = ( 0.500 ,   0.500 ) ( 0.230 ,   0.670 ) 0.360 ,   0.540 0.530 ,   0.370 ( 0.670 ,   0.230 ) ( 0.500 ,   0.500 ) 0.500 ,   0.430 0.700 ,   0.200 0.540 ,   0.360 0.430 ,   0.500 ( 0.500 ,   0.500 ) 0.610 ,   0.330 0.370 ,   0.530 0.200 ,   0.700 0.330 ,   0.610 ( 0.500 ,   0.500 )
The consistency check is performed on the judgment matrix. Then, R ¯ C 1 is calculated according to Equations (9) and (10) as shown below.
R ¯ C 1 = ( 0.500 ,   0.500 ) ( 0.230 ,   0.670 ) 0.230 ,   0.605 0.439 ,   0.351 ( 0.670 ,   0.230 ) ( 0.500 ,   0.500 ) 0.500 ,   0.430 0.610 ,   0.271 0.605 ,   0.230 0.430 ,   0.500 ( 0.500 ,   0.500 ) 0.610 ,   0.330 0.351 ,   0.439 0.271 ,   0.610 0.330 ,   0.610 ( 0.500 ,   0.500 )
The measured distance d ( R C 1 , R ¯ C 1 ) = 0.110   >   0.1 between the matrix R C 1 and R ¯ C 1 is calculated according to Equation (12), which means that R C 1 cannot pass the consistency check. Therefore, R C 1 is corrected by Equations (12) and (13), and the correction factor γ = 0.6 . The correction matrix R C 1 is shown below. At this time, d ( R C 1 , R ¯ C 1 ) = 0.065   <   0.1 .
R C 1 = ( 0.500 ,   0.500 ) ( 0.230 ,   0.670 ) 0.278 ,   0.579 0.475 ,   0.359 ( 0.670 ,   0.230 ) ( 0.500 ,   0.500 ) 0.500 ,   0.430 0.647 ,   0.241 0.579 ,   0.278 0.430 ,   0.500 ( 0.500 ,   0.500 ) 0.610 ,   0.330 0.359 ,   0.475 0.241 ,   0.647 0.330 ,   0.610 ( 0.500 ,   0.500 )
The intuitionistic fuzzy weights are calculated according to Equation (15), as shown below.
ω ^ C 11 = ( 0.171 ,   0.743 ) ,   ω ^ C 12 = ( 0.268 ,   0.646 ) ,   ω ^ C 13 = ( 0.245 ,   0.675 ) ,   ω ^ C 14 = ( 0.165 ,   0.760 )
Finally, the fixed weights of the three-level indexes C11, C12, C13, and C14 are calculated according to Equations (15) and (16), as shown below.
( ω C 11 ,   ω C 12 ,   ω C 13 ,   ω C 14 ) = ( 0.203 ,   0.317 ,   0.288 ,   0.192 )
If only the membership degree is considered, the IFAHP degenerates to FAHP; that is, the intuitionistic fuzzy judgment matrix R C 1 is transformed into P C 1 , as shown below.
P C 1 = 0.500 0.230 0.278 0.475 0.770 0.500 0.500 0.647 0.722 0.500 0.500 0.610 0.525 0.353 0.390 0.500
The FAHP calculates the weight values of the tertiary indicators as ( ω C 11 ,   ω C 12 ,   ω C 13 ,   ω C 14 ) = ( 0.207 ,   0.285 ,   0.278 ,   0.231 ) with weights ranked as C12 > C13 > C14 > C11. This is different from the IFAHP calculation of C12 > C13 > C11 > C14. This is because the IFAHP considers not only membership degrees but also the influence of non-membership and hesitancy degrees on the assessment results. Thus, compared to AHP and FAHP, IFAHP can express the non-membership and hesitancy degrees that also represent expert preferences. This ensures the integrity of expert opinion in the assessment model.
The calculation of fixed weight values for other tertiary indicators using IFAHP is shown in Table 8.

4.3.2. Variable Weight Calculation of Second-Level Indexes Based on Variable Weight Theory

First, applying the same steps in the previous section to calculate the fixed weights of each second-level index, the results are shown in Table 9. After normalizing the Ex of the second-level index comment cloud model, the state variable weight vector is calculated by substituting it into Equation (18). Then, the variable weight values of each second-level index are finally calculated based on Equation (1), as shown in Table 9.
As can be seen from Table 9, the ranking of the fixed weight of the second-level indexes is C4 (organizational management) > C1 (construction environment) > C3 (material and equipment) > C2 (construction technology), but the variable weight is C1 > C4 > C3 > C2. This is due to the actual bridge crossing a river valley where the terrain is undulating and the geology is complex. And the temperature in this area is below 0 °C on average for five months of the year. All of this makes construction significantly more difficult. Therefore, in the variable weight calculation, the construction environment factor weights are increased, presenting C1 > C4 weight results. It can be seen that sometimes, the weight of certain factors is small, but the experts agree that the riskiness is large. Applying the variable weight theory can reasonably increase the weight of that factor so that it can be expressed, and the results can better reflect the actual engineering situation.

4.4. Aggregate to Obtain the Risk Level

The comment cloud model for each secondary indicator is obtained by aggregating the comment cloud model (Table 7) and constant weights (Table 8) from the tertiary indicators according to Equation (19), as shown in Table 10. Plotting its image and comparing with the standard cloud model image, the risk level of each second-level index can be obtained, as shown in Figure 9.
The secondary indicator comment cloud model (Table 10) and variable weights (Table 9) were substituted into Equation (19) to obtain the final risk cloud model for this bridge construction (3.81, 0.64, 0.05). Plotting its image and comparing it with the standard cloud model image, the risk level of this bridge construction can be obtained as II (low risk), as shown in Figure 10.
The ultimate purpose of bridge construction risk assessment is to obtain the overall risk level of bridge construction and find the major risk sources by evaluating each risk factor of bridge construction. Then, the next step is to propose scientific and reasonable countermeasures and suggestions in order to effectively reduce construction risks and avoid risky accidents as much as possible. The overall risk level of the construction bridge evaluated in this paper is II, which indicates low risk, but the risk level of the construction environment factor in the second-level index is III, which indicates medium risk. Therefore, appropriate risk countermeasures need to be taken for this factor.

5. Comparison and Discussion

5.1. Accuracy Verification

To ensure the accuracy of the risk assessment method in this paper, a traditional fuzzy comprehensive evaluation method is used to evaluate this construction bridge in Changchun. The second-level indexes and overall risk results calculated by different assessment methods are shown in Table 11 and Table 12.
Comparing Table 11 and Table 12, there is a high consistency between the assessment results of this paper’s method and the fuzzy comprehensive evaluation method. The approach in this paper takes the cloud as a calculated result rather than just a precise number. This fully demonstrates the uncertainty associated with the assessment results and enriches the dimensionality of the expression of the results. In addition, regarding the calculation results of the high-risk key index C1 (construction environment), the risk score (Ex in the cloud model) of this paper’s method is nearly 15% higher than that of the fuzzy comprehensive evaluation method. In the evaluation results of the low-risk secondary index C3 (material and equipment), the risk score of this paper’s method is lower. This indicates that the calculation method of this paper not only has reasonable results but also can highlight the high-risk index factors. This is very beneficial for the construction company to effectively identify the high-risk indicators and develop corresponding risk measures in the actual construction.
In order to further verify the accuracy and applicability of this paper’s method, we collected another seven sets of actual bridge construction data (Table 13) and assessed them by using the traditional fuzzy comprehensive evaluation method and this paper’s method, respectively, and the assessment results are shown in Table 14. As can be seen from Table 13 and Table 14, the assessment results of this paper’s method and the traditional fuzzy comprehensive evaluation method are basically the same. In addition, the risk score of this paper’s method is higher than that of the traditional fuzzy comprehensive evaluation method in higher risky projects, while the risk score of this paper’s method is lower in lower risky projects. This indicates that this paper’s method is more able to highlight the riskiness of the project in the actual engineering, and it has high feasibility and practicality.

5.2. Sensitivity Analysis

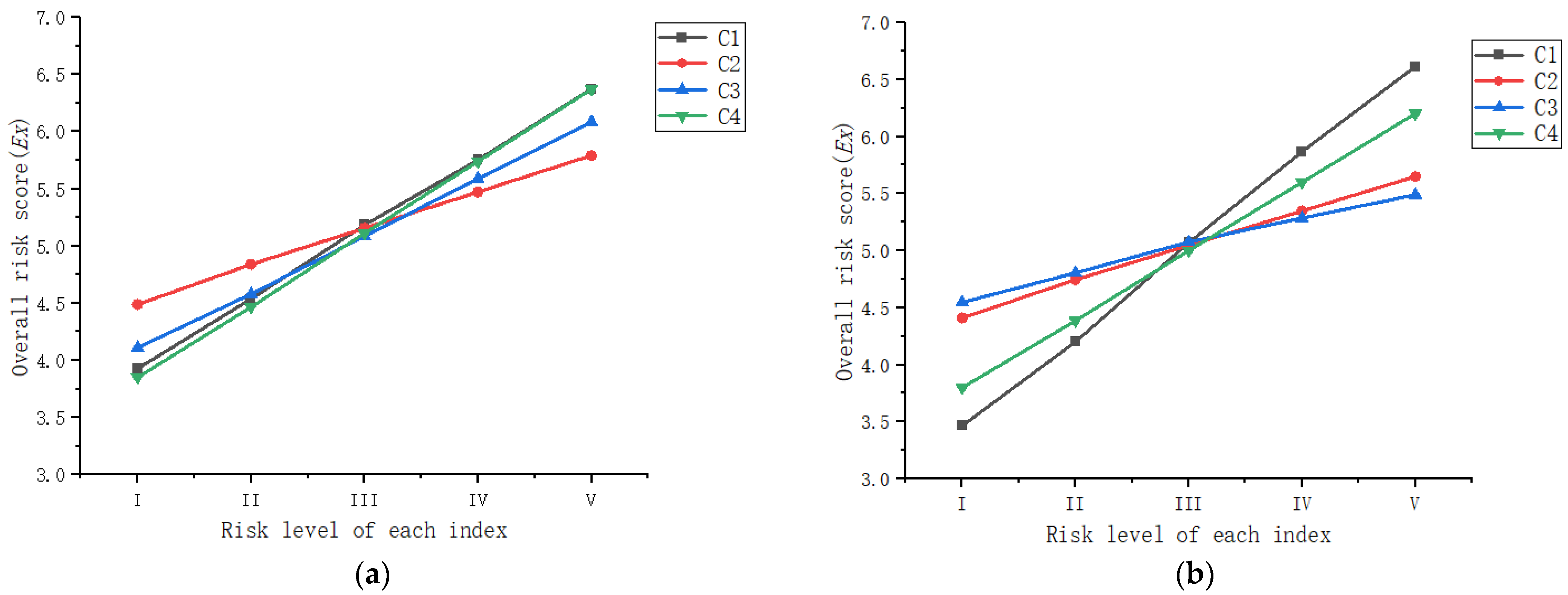
The purpose of sensitivity analysis is to determine the impact on the overall risk of changes in the different sub-indicators. The sensitivity ranking of the sub-indicators is derived and the indicator with the greater sensitivity (higher riskiness) is found. Indicator sensitivity can be portrayed by the change in overall risk caused by the indicator from risk level I to V [30]. Taking the secondary indicator C1 (construction environment) as an example, C1 is set as risk level I, while the risk levels of the remaining secondary indicators are randomly generated, and thus the overall risk score (Ex) is obtained. Subsequently, the impact on the overall risk of its different risk levels is calculated in turn, and the final indicator sensitivity is calculated by Equation (20).
T ( C i ) = R V R I
where T ( C i ) is the sensitivity of indicator Ci; R I and R V are the overall risk scores when indicator Ci is risk level I and risk level V, respectively. To ensure accuracy, 1000 simulations are conducted for each level of indicator Ci, and the results are averaged over 1000 simulations.
As can be seen in Figure 11, with the rising risk level of the indicators, the overall risk score is also rising; that is, the level of risk is increasing. The sensitivity results for the secondary indicators can be seen in Table 15. Based on Figure 11 and Table 15, comparing the sensitivity of each secondary indicator for fixed and variable weights shows that after optimization by the variable weight function, the sensitivity of indicator C1 (construction environment) increases significantly, while the sensitivity of indicator C3 (material and equipment) decreases significantly. This indicates that the application of the variable weight function can bring out the high-risk indicator C1 while diminishing the performance of the low-risk indicator C3. This sensitivity analysis result also corresponds to the accuracy verification result, reflecting the accuracy of this paper’s method from the side.

6. Conclusions

In this paper, a new bridge construction risk assessment method was proposed, and according to the research results, the following conclusions were drawn.
(1)
In this paper, the fishbone diagram analysis method was adopted to analyze the causes of construction risks, and 14 risk factors that affect bridge construction safety were identified. A risk index system with a three-level structure was constructed, and the accuracy of the evaluation results was ensured through step-by-step calculations.
(2)
In this paper, the cloud model was used to construct the evaluation model to express the fuzziness and randomness of the expert comments. At the same time, the cloud model was used throughout the evaluation process, expressing the uncertainty of the evaluation process effectively. The Delphi iterative method was used to eliminate the subjective bias of individual experts to a greater extent. IFAHP was used to calculate index weights to solve the hesitancy arising from the experts’ decision-making process, ensuring the integrity of the expert’s opinions in the assessment model. With the variable weight theory applied and the zoning variable weight function constructed, the weight distribution of the second-level index construction risk is optimized by “penalty” and “incentive” to the index weights.
(3)
In this paper, a whole bridge construction risk assessment system is constructed and applied to the actual project of a bridge in Changchun. The advancement of the assessment system in this paper is well verified by the results analysis of the intermediate process of the example calculation. Finally, accuracy verification and sensitivity analysis are conducted to verify the validity and feasibility of the assessment system.
Bridge construction is a dynamic process, but the dynamic nature of risk is not considered in this paper and the dynamic changes in risk cannot be predicted. Therefore, this study still has some limitations, and future research should start from these issues to further ensure bridge construction safety.

Author Contributions

Conceptualization, B.Y. and L.W.; methodology, B.Y.; software, B.Y. and H.G.; validation, L.R.; investigation, L.W.; resources, L.W.; writing—original draft preparation, B.Y.; writing—review and editing, L.W., H.G. and L.R.; supervision, L.R.; funding acquisition, L.W. All authors have read and agreed to the published version of the manuscript.

Funding

This research was funded by the National Outstanding Youth Science Fund Project of National Natural Science Foundation of China (No. 51808100) and the Natural Science Foundation of Liaoning Province (No. 20170540303).

Data Availability Statement

The data presented in this study are available in the article.

Conflicts of Interest

The authors declare no conflicts of interest.

References

  1. Mortazavi, S.; Kheyroddin, A.; Naderpour, H. Risk Evaluation and Prioritization in Bridge Construction Projects Using System Dynamics Approach. Pract. Period. Struct. Des. Constr. 2020, 25, 04020015. [Google Scholar] [CrossRef]
  2. Nieto-Morote, A.; Ruz-Vila, F. A Fuzzy Approach to Construction Project Risk Assessment. Int. J. Proj. Manag. 2011, 29, 220–231. [Google Scholar] [CrossRef]
  3. Andric, J.M.; Lu, D.-G. Risk Assessment of Bridges under Multiple Hazards in Operation Period. Saf. Sci. 2016, 83, 80–92. [Google Scholar] [CrossRef]
  4. Kim, J.-M.; Kim, T.; Ahn, S. Loss Assessment for Sustainable Industrial Infrastructure: Focusing on Bridge Construction and Financial Losses. Sustainability 2020, 12, 5316. [Google Scholar] [CrossRef]
  5. Wang, M.; Niu, D. Research on Project Post-Evaluation of Wind Power Based on Improved ANP and Fuzzy Comprehensive Evaluation Model of Trapezoid Subordinate Function Improved by Interval Number. Renew. Energy 2019, 132, 255–265. [Google Scholar] [CrossRef]
  6. Peng, K. Risk Evaluation for Bridge Engineering Based on Cloud-Clustering Group Decision Method. J. Perform. Constr. Facil. 2019, 33, 04018105. [Google Scholar] [CrossRef]
  7. Liang, X.; Liang, W.; Zhang, L.; Guo, X. Risk Assessment for Long-Distance Gas Pipelines in Coal Mine Gobs Based on Structure Entropy Weight Method and Multi-Step Backward Cloud Transformation Algorithm Based on Sampling with Replacement. J. Clean Prod. 2019, 227, 218–228. [Google Scholar] [CrossRef]
  8. Li, X.; Chen, G.; Zhu, H. Quantitative Risk Analysis on Leakage Failure of Submarine Oil and Gas Pipelines Using Bayesian Network. Process Saf. Environ. Prot. 2016, 103, 163–173. [Google Scholar] [CrossRef]
  9. Li, Q.; Zhou, J.; Feng, J. Safety Risk Assessment of Highway Bridge Construction Based on Cloud Entropy Power Method. Appl. Sci. 2022, 12, 8692. [Google Scholar] [CrossRef]
  10. Ji, T.; Liu, J.-W.; Li, Q.-F. Safety Risk Evaluation of Large and Complex Bridges during Construction Based on the Delphi-Improved FAHP-Factor Analysis Method. Adv. Civ. Eng. 2022, 2022, e5397032. [Google Scholar] [CrossRef]
  11. He, K.; Zhu, J.; Wang, H.; Huang, Y.; Li, H.; Dai, Z.; Zhang, J. Safety Risk Evaluation of Metro Shield Construction When Undercrossing a Bridge. Buildings 2023, 13, 2540. [Google Scholar] [CrossRef]
  12. Dawood, T.; Elwakil, E.; Mayol Novoa, H.; Garate Delgado, J.F. Soft Computing for Modeling Pipeline Risk Index under Uncertainty. Eng. Fail. Anal. 2020, 117, 104949. [Google Scholar] [CrossRef]
  13. Wang, X.; Li, S.; Xu, Z.; Li, X.; Lin, P.; Lin, C. An Interval Risk Assessment Method and Management of Water Inflow and Inrush in Course of Karst Tunnel Excavation. Tunn. Undergr. Space Technol. 2019, 92, 103033. [Google Scholar] [CrossRef]
  14. Badida, P.; Balasubramaniam, Y.; Jayaprakash, J. Risk Evaluation of Oil and Natural Gas Pipelines Due to Natural Hazards Using Fuzzy Fault Tree Analysis. J. Nat. Gas Sci. Eng. 2019, 66, 284–292. [Google Scholar] [CrossRef]
  15. Huang, Z.; Zhang, W.; Sun, H.; Pan, Q.; Zhang, J.; Li, Y. Risk Uncertainty Analysis in Shield Tunnel Projects. Tunn. Undergr. Space Technol. 2023, 132, 104899. [Google Scholar] [CrossRef]
  16. Li, X.; Yang, M.; Chen, G. An Integrated Framework for Subsea Pipelines Safety Analysis Considering Causation Dependencies. Ocean Eng. 2019, 183, 175–186. [Google Scholar] [CrossRef]
  17. Wang, L.; Jin, R.; Zhou, J.; Li, Q. Construction Risk Assessment of Yellow River Bridges Based on Combined Empowerment Method and Two-Dimensional Cloud Model. Appl. Sci. 2023, 13, 10942. [Google Scholar] [CrossRef]
  18. Li, H.X.; Li, L.X.; Wang, J.Y.; Mo, Z.; Li, Y.D. Fuzzy Decision Making Based on Variable Weights. Math. Comput. Model. 2004, 39, 163–179. [Google Scholar] [CrossRef]
  19. Lin, C.; Zhang, M.; Zhou, Z.; Li, L.; Shi, S.; Chen, Y.; Dai, W. A New Quantitative Method for Risk Assessment of Water Inrush in Karst Tunnels Based on Variable Weight Function and Improved Cloud Model. Tunn. Undergr. Space Technol. 2020, 95, 103136. [Google Scholar] [CrossRef]
  20. Li, D.; Liu, C.; Gan, W. A New Cognitive Model: Cloud Model. Int. J. Intell. Syst. 2009, 24, 357–375. [Google Scholar] [CrossRef]
  21. Chen, Y.; Xie, S.; Tian, Z. Risk Assessment of Buried Gas Pipelines Based on Improved Cloud-Variable Weight Theory. Reliab. Eng. Syst. Saf. 2022, 221, 108374. [Google Scholar] [CrossRef]
  22. Xu, Z.; Liao, H. Intuitionistic Fuzzy Analytic Hierarchy Process. IEEE Trans. Fuzzy Syst. 2014, 22, 749–761. [Google Scholar] [CrossRef]
  23. Atanassov, K. Intuitionistic Fuzzy Sets; Springer: New York, NY, USA, 1999. [Google Scholar]
  24. Wang, Y.; Xu, Z. Evaluation of the Human Settlement in Lhasa with Intuitionistic Fuzzy Analytic Hierarchy Process. Int. J. Fuzzy Syst. 2018, 20, 29–44. [Google Scholar] [CrossRef]
  25. Wang, X.; Li, S.; Xu, Z.; Hu, J.; Pan, D.; Xue, Y. Risk Assessment of Water Inrush in Karst Tunnels Excavation Based on Normal Cloud Model. Bull. Eng. Geol. Environ. 2019, 78, 3783–3798. [Google Scholar] [CrossRef]
  26. Liu, H.; Wang, L.; Li, Z.; Hu, Y. Improving Risk Evaluation in FMEA With Cloud Model and Hierarchical TOPSIS Method. IEEE Trans. Fuzzy Syst. 2019, 27, 84–95. [Google Scholar] [CrossRef]
  27. Wu, Y.; Chu, H.; Xu, C. Risk Assessment of Wind-Photovoltaic-Hydrogen Storage Projects Using an Improved Fuzzy Synthetic Evaluation Approach Based on Cloud Model: A Case Study in China. J. Energy Storage 2021, 38, 102580. [Google Scholar] [CrossRef]
  28. Xu, Z. Intuitionistic Preference Relations and Their Application in Group Decision Making. Inf. Sci. 2007, 177, 2363–2379. [Google Scholar] [CrossRef]
  29. Li, X.; Zhang, W.; Wang, X.; Wang, Z.; Pang, C. Evaluation on the Risk of Water Inrush Due to Roof Bed Separation Based on Improved Set Pair Analysis−Variable Fuzzy Sets. ACS Omega 2022, 7, 9430–9442. [Google Scholar] [CrossRef] [PubMed]
  30. Yu, X.; Liang, W.; Zhang, L.; Reniers, G.; Lu, L. Risk Assessment of the Maintenance Process for Onshore Oil and Gas Transmission Pipelines under Uncertainty. Reliab. Eng. Syst. Saf. 2018, 177, 50–67. [Google Scholar] [CrossRef]
Figure 1. A cloud model with numerical characteristics Ex = 10, En = 2, and He = 0.1.
Figure 1. A cloud model with numerical characteristics Ex = 10, En = 2, and He = 0.1.
Buildings 14 00576 g001
Figure 2. Detailed steps of the proposed method.
Figure 2. Detailed steps of the proposed method.
Buildings 14 00576 g002
Figure 3. Fishbone diagram of bridge construction risks.
Figure 3. Fishbone diagram of bridge construction risks.
Buildings 14 00576 g003
Figure 4. Risk index system.
Figure 4. Risk index system.
Buildings 14 00576 g004
Figure 5. Standard cloud model image representation.
Figure 5. Standard cloud model image representation.
Buildings 14 00576 g005
Figure 6. Penalty-incentive type variable weight function.
Figure 6. Penalty-incentive type variable weight function.
Buildings 14 00576 g006
Figure 7. Expert comments on C11 before and after the Delphi iteration: (a) before the Delphi iteration; (b) after the Delphi iteration.
Figure 7. Expert comments on C11 before and after the Delphi iteration: (a) before the Delphi iteration; (b) after the Delphi iteration.
Buildings 14 00576 g007
Figure 8. Expert comments on C12 before and after the Delphi iteration: (a) before the Delphi iteration; (b) after the Delphi iteration.
Figure 8. Expert comments on C12 before and after the Delphi iteration: (a) before the Delphi iteration; (b) after the Delphi iteration.
Buildings 14 00576 g008
Figure 9. Compare the comment cloud model of second-level indexes with the standard cloud model: (a) second-level index C1; (b) second-level index C2; (c) second-level index C3; (d) second-level index C4.
Figure 9. Compare the comment cloud model of second-level indexes with the standard cloud model: (a) second-level index C1; (b) second-level index C2; (c) second-level index C3; (d) second-level index C4.
Buildings 14 00576 g009
Figure 10. Compare the overall risk cloud model with the standard cloud model.
Figure 10. Compare the overall risk cloud model with the standard cloud model.
Buildings 14 00576 g010
Figure 11. Sensitivity analysis of secondary indicators: (a) fixed weight; (b) variable weight.
Figure 11. Sensitivity analysis of secondary indicators: (a) fixed weight; (b) variable weight.
Buildings 14 00576 g011
Table 1. Summary of research methods.
Table 1. Summary of research methods.
LiteratureRisk Analysis MethodsUncertainty Expression MethodsWeight Determination Methods
Liang et al. [7]Fault Tree Analysis (FTA)Cloud model (CM)Entropy weight method
Dawood et al. [12]Risk index systemFuzzy set theory-
Wang and Niu [5]Risk index systemFuzzy set theoryANP
Wang et al. [13]Risk index systemFuzzy set theoryAHP
Badida et al. [14]Fault Tree Analysis (FTA)Fuzzy set theory-
Huang et al. [15]Risk index systemCloud model (CM)AHP
Li et al. [16]Risk index system-Decision-making trial
and Evaluation
Wang et al. [17]Risk index systemCloud model (CM)AHP, Entropy weight method
Table 2. Standard cloud model digital features.
Table 2. Standard cloud model digital features.
Risk LevelRisk DescriptionScore RangeDigital Features
IVery low risk(0–2)(1.5, 0.5, 0.05)
IILow risk(2–4)(3, 0.66, 0.05)
IIIMedium risk(4–6)(5, 0.66, 0.05)
IVHigh risk(6–8)(7, 0.66, 0.05)
VVery high risk(8–10)(8.5, 0.5, 0.05)
Table 3. Expert weight distribution.
Table 3. Expert weight distribution.
AspectsClassificationScore
Work experienceUnder 5 years1
5–14 years2
15–19 years3
Over 20 years4
Positional titleJunior2
Intermediate3
Senior4
Table 4. Quantification of relative importance.
Table 4. Quantification of relative importance.
ScaleRelative Relationship of Indexes
0.9Index i is absolutely more important than j
0.8Index i is largely more important than j
0.7Index i is essentially more important than j
0.6Index i is slightly more important than j
0.5Index i is as important as j
0.4Index j is slightly more important than i
0.3Index j is essentially more important than i
0.2Index j is largely more important than i
0.1Index j is absolutely more important than i
Table 5. Expert comments of C11, C12, C13, and C14.
Table 5. Expert comments of C11, C12, C13, and C14.
ExpertsC11C12C13C14
Expert aI (1.5, 0.5, 0.05)III (5, 0.66, 0.05)IV (7, 0.66, 0.05)I (5, 0.66, 0.05)
Expert bII (3, 0.66, 0.05)III (5, 0.66, 0.05)IV (7, 0.66, 0.05)II (3, 0.66, 0.05)
Expert cIII (5, 0.66, 0.05)I (1.5, 0.5, 0.05)III (7, 0.66, 0.05)I (3, 0.66, 0.05)
Group(3, 0.60, 0.05)(3.95, 0.66, 0.05)(7, 0.66, 0.05)(3.8, 0.66, 0.05)
Table 6. Expert comments of C11, C12, C13, and C14 after correction.
Table 6. Expert comments of C11, C12, C13, and C14 after correction.
ExpertsC11C12C13C14
Expert aII (3, 0.66, 0.05)III (5, 0.66, 0.05)IV (7, 0.66, 0.05)I (5, 0.66, 0.05)
Expert bII (3, 0.66, 0.05)III (5, 0.66, 0.05)IV (7, 0.66, 0.05)II (3, 0.66, 0.05)
Expert cIII (5, 0.66, 0.05)II (3, 0.66, 0.05)III (7, 0.66, 0.05)I (3, 0.66, 0.05)
Group(3.6, 0.66, 0.05)(4.4, 0.66, 0.05)(7, 0.66, 0.05)(3.8, 0.66, 0.05)
Table 7. Three-level indexes group comment cloud model.
Table 7. Three-level indexes group comment cloud model.
Three-Level IndexesGroup Comment Cloud Model
C11(3.6, 0.66, 0.05)
C12(4.4, 0.66, 0.05)
C13(7, 0.66, 0.05)
C14(3.8, 0.66, 0.05)
C21(2.55, 0.62, 0.05)
C22(3.8, 0.66, 0.05)
C23(4.4, 0.66, 0.05)
C31(2.55, 0.62, 0.05)
C32(3, 0.66, 0.05)
C33(1.95, 0.55, 0.05)
C34(2.4, 0.6, 0.05)
C41(3, 0.66, 0.05)
C42(2.55, 0.62, 0.05)
C43(5.6, 0.66, 0.05)
Table 8. Three-level indexes fixed weight.
Table 8. Three-level indexes fixed weight.
Three-Level IndexesFixed Weight
C110.203
C120.317
C130.288
C140.192
C210.219
C220.318
C230.463
C310.186
C320.226
C330.324
C340.264
C410.396
C420.247
C430.357
Table 9. Second-level indexes weight value.
Table 9. Second-level indexes weight value.
Second-Level IndexesFixed WeightVariable Weight
C10.2970.310
C20.1580.150
C30.2510.239
C40.3160.301
Table 10. Second-level indexes comment cloud model.
Table 10. Second-level indexes comment cloud model.
Second-Level IndexesComment Cloud ModelRisk Level
C1(4.87, 0.66, 0.05)III
C2(3.80, 0.65, 0.05)II
C3(2.42, 0.60, 0.05)II
C4(3.82, 0.65, 0.05)II
Table 11. Evaluation results of second-level indexes for different evaluation methods.
Table 11. Evaluation results of second-level indexes for different evaluation methods.
IndexesThis Paper’s MethodFuzzy Comprehensive Evaluation Method
C1III (4.87, 0.66, 0.05)III (4.25)
C2II (3.80, 0.65, 0.05)II (3.25)
C3II (2.42, 0.60, 0.05)II (2.87)
C4II (3.82, 0.65, 0.05)II (3.67)
Table 12. Evaluation results of overall risk for different evaluation methods.
Table 12. Evaluation results of overall risk for different evaluation methods.
Evaluation TargetThis Paper’s MethodFuzzy Comprehensive Evaluation Method
Overall risk cloud model(3.81, 0.64, 0.05)3.59
Risk levelII (low risk)II (low risk)
Table 13. Overview of the actual projects.
Table 13. Overview of the actual projects.
CaseLocationProject Overview
1ZhejiangThe proposed bridge is a prestressed concrete continuous box-girder bridge with a span arrangement of (25 × 30) m. The average annual temperature at the bridge site is 16.3 °C, and the climate is mild and humid. The stratigraphic distribution at the bridge site is silty clay and limestone. The bridge site belongs to the low mountains and hills area with a difference of 30 m in elevation.
2LiaoningThe proposed bridge is a prestressed concrete box girder with a span arrangement of (55 + 80 + 5 × 30) m. The bridge site has cold winters and warm summers with four distinct seasons, and the average annual temperature is 8.5 °C. The bridge crosses an asymmetrical V-shaped valley with a relative height difference of up to 50 m. The stratigraphic distribution is mainly silty clay and limestone.
3HubeiThe proposed bridge is an assembled prestressed concrete continuous box-girder bridge with a span arrangement of (11 × 30) m. The bridge site is hot in summer and cold in winter, humid and rainy, with an average annual temperature of 16.7 °C. The bridge site belongs to the hilly and plain area with little topographic relief. The stratigraphic distribution is mainly clay soil, fine sand, gravel, shaly sandstone, and sandy mudstone.
4HenanThe proposed bridge is an assembled prestressed concrete continuous T-beam bridge with a span arrangement of (6 × 50) m. The climate at the bridge site is warm with four distinct seasons and an average annual temperature of 14.2 °C. The bridge site area belongs to hilly topography with large relief, and the ground elevation is around 352.5–386.4. Within the exploration depth, the stratigraphic distribution is mainly loess, clay, and gravel.
5HenanThe proposed bridge is an assembled prestressed concrete continuous box-girder bridge with a span arrangement of (4 × 20 + 5 × 20) m. The bridge site has a temperate continental monsoon climate with four distinct seasons and an average annual temperature of 12.9 °C. The bridge area is in the mountainous area of the eastern extension of the Qinling Mountains with obvious terrain changes. The stratigraphic distribution is mainly backfilling soil, sandy loess, gravelly soil, and sand conglomerate. The main special geotechnical soil in the bridge site area is sandy loess, which is middle collapsible loess with a collapse coefficient of 0.048.
6HenanThe proposed bridge is a continuous rigid frame bridge with a span arrangement of (4 × 40 + 85 + 5 × 40) m. The bridge site has a temperate continental monsoon climate with low precipitation and an average annual temperature of 13.8 °C. The bridge site is mainly farmland, and the terrain is relatively flat. The stratigraphic distribution is mainly backfilling soil, silty clay, fine sand, and pebbles.
7JiangsuThe total length of the proposed bridge is 420 m, and the bridge site area belongs to the subtropical humid climate zone with the average annual temperature ranging from 13 to 16 °C. The proposed site belongs to the shallow plain area, and the stratigraphic structure mainly consists of clay and silt layers.
Table 14. Risk assessment results of different evaluation methods for each project.
Table 14. Risk assessment results of different evaluation methods for each project.
CaseSamples NameThis Paper’s MethodFuzzy Comprehensive Evaluation Method
1ZhejiangII (2.54, 0.64, 0.05)II (2.67)
2LiaoningII (3.62, 0.63, 0.05)II (3.44)
3HubeiI (1.78, 0.62, 0.05)I (1.93)
4Henan 1II (3.18, 0.59, 0.05)II (3.23)
5Henan 2III (4.36, 0.63, 0.05)III (4.10)
6Henan 3I (1.14, 0.57, 0.05)I (1.53)
7JiangsuI (2.06, 0.66, 0.05)I (2.13)
Table 15. Sensitivity of secondary indicators.
Table 15. Sensitivity of secondary indicators.
Second-Level IndexesSensitivity under Fixed WeightsSensitivity under Variable Weights
C10.6114 0.7864
C20.3257 0.3401
C30.4940 0.2354
C40.6301 0.6002
Disclaimer/Publisher’s Note: The statements, opinions and data contained in all publications are solely those of the individual author(s) and contributor(s) and not of MDPI and/or the editor(s). MDPI and/or the editor(s) disclaim responsibility for any injury to people or property resulting from any ideas, methods, instructions or products referred to in the content.

Share and Cite

MDPI and ACS Style

Yao, B.; Wang, L.; Gao, H.; Ren, L. Bridge Construction Risk Assessment Based on Variable Weight Theory and Cloud Model. Buildings 2024, 14, 576. https://doi.org/10.3390/buildings14030576

AMA Style

Yao B, Wang L, Gao H, Ren L. Bridge Construction Risk Assessment Based on Variable Weight Theory and Cloud Model. Buildings. 2024; 14(3):576. https://doi.org/10.3390/buildings14030576

Chicago/Turabian Style

Yao, Bo, Lianguang Wang, Haiyang Gao, and Lijie Ren. 2024. "Bridge Construction Risk Assessment Based on Variable Weight Theory and Cloud Model" Buildings 14, no. 3: 576. https://doi.org/10.3390/buildings14030576

APA Style

Yao, B., Wang, L., Gao, H., & Ren, L. (2024). Bridge Construction Risk Assessment Based on Variable Weight Theory and Cloud Model. Buildings, 14(3), 576. https://doi.org/10.3390/buildings14030576

Note that from the first issue of 2016, this journal uses article numbers instead of page numbers. See further details here.

Article Metrics

Back to TopTop