Next Article in Journal
BIM- and GIS-Based Life-Cycle-Assessment Framework for Enhancing Eco Efficiency and Sustainability in the Construction Sector
Next Article in Special Issue
Preparation and Properties of Attapulgite-Hydroxyethyl Cellulose Composite Poly (Acrylic Acid-co-2-acrylamide-2-methylpropanesulfonic Acid) Concrete Internal Curing Material
Previous Article in Journal
Collaborative BIM-Based Construction Coordination Progress Modeling Using Extended Collaborative Process Modeling (exCPM)
Previous Article in Special Issue
Recycling of Aluminosilicate-Based Solid Wastes through Alkali-Activation: Preparation, Characterization, and Challenges
 
 
Font Type:
Arial Georgia Verdana
Font Size:
Aa Aa Aa
Line Spacing:
Column Width:
Background:
Article

Evaluation of Workability and Mechanical Properties in Cement Mortar after Compounding Igneous Rock Powder and Silica Fume

1
China Construction Civil Engineering Co., Ltd., Beijing 100073, China
2
School of Materials Science and Engineering, Chang’an University, Xi’an 710061, China
*
Author to whom correspondence should be addressed.
Buildings 2024, 14(2), 359; https://doi.org/10.3390/buildings14020359
Submission received: 18 December 2023 / Revised: 10 January 2024 / Accepted: 19 January 2024 / Published: 28 January 2024
(This article belongs to the Special Issue Urban Infrastructure Construction and Management)

Abstract

In order to investigate the influence of igneous rock powder and silica fume on the performance of cement mortar, facilitate the application of igneous rock powder in engineering, and promote the greening of the cement industry, this study examined the pozzolanic activity of three different types of igneous rock powders: granite, andesite, and tuff. It explored the workability and mechanical properties of both binary systems (igneous rock–cement) and ternary systems (igneous rock–silica fume–cement). Microscopic techniques including X-ray diffraction (XRD), thermogravimetric analysis–differential thermal analysis (TG-DTA), scanning electron microscopy (SEM), and nitrogen adsorption were used to investigate the mechanisms of how different types of igneous rock and silica fume affect the cementitious systems. The results showed that the pozzolanic activity of igneous rock powders was relatively weak, and their inclusion at levels below 20% had minimal impact on the flowability of cement mortar. In fact, within the 20% inclusion range, andesite powder even increased the flowability. Co-blending igneous rock powders with silica fume promoted the early hydration of cement, resulting in reduced calcium hydroxide (CH) content in the hydration products. The most significant increase in strength of the cement mortar system was observed when 5% to 10% (by mass) of igneous rock powder and 5% to 10% of silica fume were used as replacements for cement. The highest cement mortar strength was achieved when 10% andesite and 10% silica fume were used as replacements, resulting in a compressive strength of 52.2 MPa.

1. Introduction

With the continuous development of the economy, the construction of railway, road, and other transportation infrastructure continues to expand, and the demand for cement concrete has increased significantly. As a primary component of concrete, cement requires a significant quantity of mineral resources during its production and transportation phases, leading to the emission of substantial amounts of CO2 gas and other pollutants. Consequently, the cement industry is characterized by high energy consumption and environmental pollution [1,2].
The use of mineral admixtures to replace part of cement can reduce the environmental pollution of cement production and promote the utilization of resources, which is an effective way to promote sustainable development [3,4,5]. As the main auxiliary cementing materials, fly ash and mineral powder have an uneven geographical distribution, and a series of economic problems such as transportation cost should be considered in the construction of infrastructure in remote areas [6,7]. Therefore, it is urgent to find a mineral admixture that can meet the performance requirements of Portland cement as an auxiliary cementing material to reduce the engineering cost.
Igneous rock, one of the three major rock types in the Earth’s lithosphere, accounts for 66% of all rocks in the Earth’s crust and is widely distributed. Typical igneous rocks include tuff, andesite, and granite, all of which exhibit pozzolanic activity. Using them as new types of admixtures benefits the cement industry. Research has shown that igneous rock minerals possess some level of reactivity, and their chemical composition is highly similar to fly ash. When finely ground to a certain degree, igneous rock powders exhibit potential hydraulic activity, known as the “volcanic ash effect” [8,9]. However, due to the relatively low content of amorphous SiO2 in some igneous rock minerals, their hydraulic activity is limited, which is not conducive to the development of cement’s later-stage strength. This can result in slow strength growth and a lower density. Therefore, the use of igneous rock materials as mineral admixtures requires modification to address these issues effectively [10]. On the other hand, silica fume is an industrial byproduct of large-scale metallurgical processes. It mainly consists of SiO2 with a nanometer-sized particle range, high specific surface area, and high reactivity. Its average particle size is 100 times smaller than that of cement, and the particles are spherical in shape. Silica fume exhibits strong volcanic ash characteristics. When incorporated into cement, silica fume quickly dissolves and reacts with the Ca(OH)2 generated during cement hydration to produce C-S-H gel. This can improve the pore structure and refine the crystals in the cementitious matrix [11,12]. As a result, silica fume is an excellent modifying admixture.
In view of this, this paper aimed to solve the problem of raw material sources of cement and concrete by adding igneous rock powder and to improve the strength performance of composite concrete by compounding silica fume. It also explored the influence of igneous mineral admixture and silica fume on the working performance of cement mortar and the strength growth mechanism through microscopic tests, so as to provide a certain reference value.

2. Experimental

2.1. Raw Materials

The cement used was Hai Luo brand 42.5 ordinary Portland cement. The technical specifications are provided in Table 1. Igneous rock powders selected are sourced from Sichuan, China, including tuff, andesite, and granite powders. The chemical compositions of the cement and igneous rock are shown in Table 2, and the particle size distribution and cumulative passing rates can be found in Figure 1. The mineral phase compositions of the three types of igneous rock obtained by X-ray diffraction (XRD) are presented in Figure 2. The experiments use fine aggregates conforming to ISO standard sand (GB/T 17671-2021) [13], and laboratory tap water was used as the testing water.

2.2. Mix Design

To investigate the pozzolanic activity of different igneous rock powders, specimens of standard mortar were prepared by replacing 30% of the cement with equal masses of andesite powder, granite powder, and tuff powder. The mix proportions are shown in Table 3.
To explore whether the inclusion of igneous rock powders, silica fume, or their combinations would affect the performance of cement mortar, different percentages (5%, 10%, 15%, and 20%) of silica fume, andesite powder, granite powder, and tuff powder were individually added to cement mortar. Specimens of the binary system mortar with admixtures were prepared as per the single admixture scheme outlined in Table 4. Simultaneously, various combinations of igneous rock powders (andesite powder, granite powder, and tuff powder) and silica fume were added in different proportions to prepare specimens of ternary system mortar with admixtures. The combinations are shown in Table 5. Please note that the numbers in the naming scheme represent the replacement percentages. For instance, “SF5A15” represents the mix design of cement mortar where silica fume replaces 5% of the cement and andesite powder replaces 15% of the cement.

2.3. Preparation of Specimens

According to the design plan, the corresponding proportions of cement and igneous rock powder were weighed. Next, 1350 g of standard sand was weighed, and 225 milliliters of testing water were measured and set aside. A cement mortar mixer and a vibrating table were used to prepare mortar specimens with dimensions of 40 mm × 40 mm × 160 mm. The specific preparation process follows the guidelines outlined in GB/T 17671-2021 “Cement Mortar Strength Testing Method (ISO Method)” [13]. The completed molds were immediately placed on a level rack in a humid environment to ensure adequate moisture contact. After 24 h of curing, the specimens were demolded and placed horizontally or vertically in a water tank at a temperature of 20 °C ± 1 °C, as per the curing stages. The specimens were placed on a grid that does not easily rot, with an appropriate spacing between them. A schematic representation of the procedure is shown in Figure 3.

2.4. Methods of Testing

2.4.1. Testing for Flowability, Strength, and Reactivity

Igneous rock powder and silica fume were used to replace a portion of the cement in the production of cement mortar. After the mortar was prepared successfully, its flowability was tested immediately in accordance with GB/T 2419-2005 “Method for Determining Flowability of Cement Mortar” [14]. The tensile and compressive strength of the cement mortar specimens were determined for 3 days and 28 days of curing following GB/T 17671-2021 “Cement Mortar Strength Testing Method (ISO Method)” [13]. The loading rate for flexural strength testing was 50 N/s ± 10 N/s, while the loading rate for compressive strength testing was 2400 N/s ± 200 N/s.
The reactivity of the igneous rock powder was calculated as the ratio of the compressive strength of the cement mortar specimens with 30% igneous rock powder replacement to the compressive strength of 100% cement mortar specimens at 28 days, as shown in Formula (1) [15]:
H 28 = R 30 R 0
H28—Activity index (%);
R30—Compressive strength of cement mortar with 30% igneous rock powder replacement at 28 days (MPa);
R0—Compressive strength of 100% cement mortar at 28 days (MPa).
The calculation results should be accurate to the nearest 1%.

2.4.2. Microscopic Analysis Methods

The preparation of cement paste samples according to the test plan was carried out, and they were cured under the same conditions for 28 days for microscopic analysis. For the phase analysis of the different samples, an AXS D8 ADVANCE X-ray diffractometer from Bruker, Germany, was used. The samples were ground into fine powder with particle sizes smaller than 75 μm. The powdered samples were then spread and lightly pressed into sample holders, and excess powder was removed. These sample holders were placed in the X-ray diffractometer and scanned at intervals of 0.5° with a scanning rate of 13°/min and a scanning angle range from 15° to 90°.
Thermal analysis (TG-DTA, TG means thermogravimetric analysis and DTA means differential thermal analysis) was conducted using an SDT Q600 simultaneous thermal analyzer manufactured by TA-Waters, Eden Prairie, MN, USA, with a temperature range from room temperature to 800 °C and a heating rate of 10 °C/min. Observation of the microscopic structure of the composite cement hydration products was performed using a Hitachi S-4800 field emission scanning electron microscope (SEM). The samples were ground into powder, adhered to a conductive tape on the sample stage, and then gold-coated. Afterward, they were placed in the scanning electron microscope for observation. The pore size distribution was determined using nitrogen adsorption. Cement paste samples were dried in an oven at 60 °C for 24 h. Small pieces of samples and impurities were removed from the surface of the cement, and then a Micromeritics ASAP 2460 porosity analyzer was used to analyze the pore structure.

3. Results

3.1. Igneous Rock Activity Analysis

The volcanic ash activity index for tuff, granite, and andesite is shown in Figure 4. Tuff had the lowest activity index among the three igneous rocks, at only 52%. Granite’s volcanic ash activity index was 57%, slightly higher than tuff but lower than andesite’s volcanic ash activity. Andesite had the highest volcanic ash activity index among the three igneous rocks, at 61%. None of the activity indices of these three igneous rocks exceeded 65% [16]. Therefore, andesite powder, granite powder, and tuff powder cannot be used directly as admixtures in cement mortar and concrete. To use them as admixtures, they would need to undergo activation or be combined with other admixtures to enhance the strength properties of the cementitious materials.

3.2. The Impact of Igneous Rock Powder and Silica Fume on the Workability of Cement Mortar

(1)
Silica fume–cement binary system
According to Figure 5, it can be observed that an increase in the silica fume content gradually reduces the flowability of the cement composite system mortar. Research indicates that silica fume has an extremely small average particle size, approximately one percent of the size of cement particles, and a large specific surface area, generally ten to twenty times that of cement [17]. It requires more water to wet the surface of the particles, and silica fume has a significant adsorption effect on water. A significant amount of free water in the cementitious system is adsorbed by silica fume, leading to a decrease in flowability when silica fume is added. When the silica fume content was 10%, the flowability of the cement–silica fume binary system decreased by 5.1%, and when the silica fume content was 20%, the flowability of the cement–silica fume binary system decreased by 15.4%. This indicates that as the silica fume content gradually increased, the decrease in the flowability of the cement–silica fume binary system became more pronounced. Analysis suggests that when the silica fume content is below 10%, there is a lower amount of silica fume present, and the smaller particles of the silica fume can effectively play a “filling effect” and “water-reducing effect” throughout the cementitious system. When the silica fume content exceeds 10%, the flowability of the cement is significantly reduced. This is because the high content of silica fume requires a significant amount of water to wet the particle surfaces, leading to water absorption in the cementitious system far exceeding its role as a pore-filling agent, impeding the flow of the cement slurry to some extent [18].
(2)
Igneous rock–cement binary system
Figure 6 shows the flowability test results for the igneous rock powder–cement binary composite cementitious system. According to Figure 6a, it can be observed that the flowability of the composite system increases initially with an increase in the andesite powder content, peaking at 20% admixture content. At 20% admixture content, the flowability was the highest, showing an increase of 1.59% compared to the control group. However, beyond 20% admixture content, the flowability rapidly decreased. This is because andesite powder has a small particle size, and the inclusion of these powder particles can act as rolling balls between sand particles, cement particles, and between sand and cement particles, reducing the resistance to mutual sliding between these particles. Additionally, the fine andesite powder particles can fill the gaps between cement particles, improving the particle size distribution of the cementitious material and facilitating the flow of the slurry, thus increasing the mortar’s flowability. As the admixture content increases further, an excessive adsorption of free water by the powder particles leads to the formation of clusters, increasing the relative resistance to sliding, and flowability decreases rapidly.
According to Figure 6b, the flowability of the composite system decreases linearly with an increase in tuff powder content. The lowest flowability was observed at 40% admixture content, with a 21.25% reduction compared to the control group. This is because tuff powder, with its laminar structure, has a large internal specific surface area, which can adsorb some of the free water and additives in the mortar. This reduces the dispersing and encapsulating abilities of the cement paste, resulting in a deterioration of workability.
Figure 6c shows that the flowability of the composite system gradually decreases with an increase in granite powder content. However, the reduction in flowability within the range of 10% admixture content was relatively small. Beyond 10% admixture content, the flowability decreased rapidly, with a 31.55% reduction at 40% admixture content compared to the control group. Granite powder contains minerals such as quartz, feldspar, and mica, with mica being a layered mineral. Its crystal structure provides strong interlayer adsorption characteristics. As the admixture content increases to a certain degree, the excessive adsorption of free water by the granite powder particles causes the formation of clusters in the mortar, resulting in a significant reduction in flowability.
(3)
Igneous rock-silica fume–cement ternary system
The flowability test results for the igneous rock–silica fume–cement ternary composite cementitious systems are shown in Figure 7, Figure 8 and Figure 9. In the andesite–silica fume–cement system, with a 20% mineral admixture, the addition of andesite had a relatively small impact on the flowability of the composite system compared to the other silica fume and igneous rock powder test groups. The SF5A5 test group had the highest cement mortar flowability in this system, with only a 0.92% reduction compared to the control group, reaching 193.2 mm (Figure 7). As shown in Figure 8, when tuff powder and silica fume were used to partially replace cement, the flowability decreased with increasing content. The SF15N5 test group had the lowest flowability, with an 8.2% reduction compared to the control group, reaching only 176 mm. Figure 9 reveals that in the case of granite powder and silica fume used to replace cement, the flowability of mortar significantly decreased compared to the reference cement. With a fixed content of 20% mineral admixture, an increase in the amount of granite powder led to decreased flowability of the mortar. This is consistent with the conclusions drawn for the binary systems, where andesite powder within 20% had a favorable effect on the flowability of cement mortar and could partially offset the adverse effects of silica fume. Consequently, the cement mortar flowability of the andesite–silica fume–cement system was the highest among the tested systems.

3.3. The Influence of Igneous Rock Powder and Silica Fume on the Mechanical Strength of Cement Mortar

In Section 3.1, it was found that igneous rock powder cannot be directly used as an admixture for cement mortar and concrete. Therefore, this section only investigated the impact of igneous rock powder and silica fume as a composite substitute for cement on the strength performance of cement mortar.
(1)
Andesite powder–silica fume–cement ternary cementitious system
Figure 10 shows the contour maps of the compressive strength of the andesite–silica fume–cement system at 3 days and 28 days of hydration. From Figure 10, it can be observed that there is a high-strength region in the ternary system, with the proportions of the three components in the high-strength region being 80~90% cement, 5~15% silica fume, and 5~15% andesite powder. In this composition, the compressive strength of the SF10A10-P.O composite system was 29.7 MPa at 3 days and reached 52.2 MPa at 28 days, while the 28-day strength of the reference cement was 45.5 MPa. This represents a 14% improvement in strength compared to the reference cement. The 28-day compressive strength of the SF10A10-P.O composite system with 20% mineral admixture was 35% higher than when using 20% granite or 20% silica fume individually. It is evident that the composite substitution has a significant strengthening effect on the entire cementitious system. Moreover, the development of strength in this high-strength region is quite substantial.
Figure 11 displays the contour maps of the compressive strength of the andesite–silica fume–cement system at 3 days and 28 days of hydration, and the overall strength of the high-strength region increases with the extension of the curing period.
(2)
Tuff–silica fume–cement ternary blended system
Figure 12 shows the contour maps of the 3-day and 28-day compressive strength for the tuff–silica fume–cement system. It can be observed that there are two relatively independent high-compressive strength regions. The first high-strength region corresponds to a composition range of 90% to 95% cement, 5% to 10% silica fume, and 0% to 5% tuff. In this region, the highest strength was achieved when the silica fume content was 5% and the tuff content was 5%, with a cement content of 90%. The ternary system SF5T5-P.O exhibited a 3-day strength of 24.3 MPa, which is 4.5% higher than the reference cement. The 28-day strength reached 48.3 MPa, a 6% improvement compared to the reference cement. The proportion range for the three components corresponding to another high-strength area was as follows: 80% to 85% cement, 10% to 20% silica fume, and 0% to 10% volcanic ash. And the second high-strength region has a central point with 15% silica fume, 5% tuff, and 80% cement. In this region, the ternary system SF15T5-P.O showed a 3-day compressive strength of 22.6 MPa, similar to the early strength of the reference cement. With increasing curing age, the 28-day strength of SF15T5-P.O reached 48.6 MPa, which is 6% higher than the reference cement. When 20% mineral admixture is added, the 3-day compressive strength of SF15T5-P.O increased by 43% compared to single additions of 20% tuff and 20% silica fume. The 28-day compressive strength increased by 36% and 16% compared to single additions of 20% trachyte and 20% silica fume, respectively. This indicates that the combination of tuff and silica fume in certain proportions significantly enhances the overall strength of the ternary blended system.
Figure 13 shows the contour maps of the 3-day and 28-day flexural strength for the tuff–silica fume–cement system. Analysis of the contour maps reveals that ternary blending of silica fume and tuff powder leads to a slight increase in early flexural strength, with further increases as the curing age progresses. However, the strength development in flexural strength is not as pronounced as in compressive strength, indicating that ternary blending has a lower impact on flexural strength.
(3)
Granite–silica fume–cement ternary blended system
Figure 14 presents the contour maps of the 3-day and 28-day compressive strength for the granite–silica fume–cement system. It can be observed that there are two relatively independent high-compressive strength regions. The first high-strength region corresponds to a composition range of 90% to 100% cement, 0% to 10% silica fume, and 0% to 10% granite. In this region, even with less than 10% silica fume in the cement, a relatively high strength can be achieved. The second high-strength region, with 15% silica fume content, 5% granite content, and 80% cement content, showed a 3-day compressive strength of 23.7 MPa. In comparison, the reference cement has a 3-day strength of 22.1 MPa, indicating a 7% increase in early strength for the SF15G5-P.O ternary system. The 28-day strength of SF15G5-P.O reached 48.3 MPa, while the reference cement has a 28-day strength of 45.5 MPa, representing a 6% improvement in strength. With the addition of 20% mineral admixture, the 3-day compressive strength of SF15G5-P.O increased by 43% compared to single additions of 20% granite and 20% silica fume. The 28-day compressive strength increased by 34% and 14% compared to single additions of 20% granite and 20% silica fume, respectively. This suggests that ternary blending significantly enhances the overall strength of the ternary blended system.
Figure 15 shows the contour maps of the 3-day and 28-day flexural strength for the granite–silica fume–cement system. The development of strength in the ternary system was similar to the tuff–silica fume–cement ternary blended system, with minimal impact on flexural strength after ternary blending.
Silica fume and volcanic rock powder are both active mineral admixtures with varying degrees of pozzolanic activity. They can undergo secondary hydration reactions with the cement hydration product Ca(OH)2 to form C-S-H gel, which, along with the micro-aggregate effect, significantly increases the strength of the mortar. Additionally, when these mineral admixtures are used in combination to replace part of the cement, they have different particle sizes, which leads to a better particle size distribution in the system. This allows for more effective filling of the voids between cement particles and results in increased mortar density, making the structure more compact. The effect of this combination is not simply mechanical mixing but rather a synergistic interaction between different types of admixtures, known as the “superposition effect.”

3.4. The Influence of Igneous Rock Powder and Silica Fume on the Phase Composition of Cementitious Materials

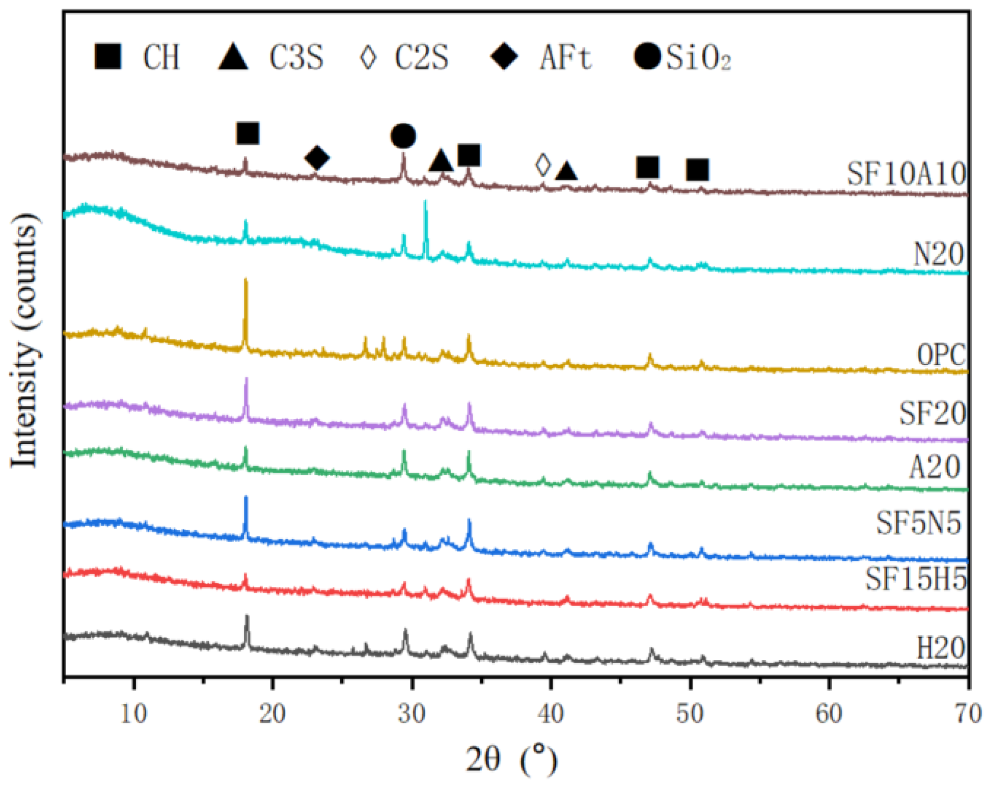
Figure 16 shows the XRD (X-ray diffraction) patterns of the cementitious system at 28 days of age with different igneous rock powders and silica fume replacing cement. In the case of a single admixture of igneous rock powder, the diffraction peak of AFt (ettringite) was not prominent, indicating a lower generation of AFt. However, when silica fume was added in combination with igneous rock powder, the content of AFt significantly increased, demonstrating a higher degree of hydration in the system with combined admixtures. No new hydration products were detected in the XRD patterns at various ages, suggesting that the addition of volcanic rock powder to the cementitious system does not lead to the formation of new hydration products.
Furthermore, when both silica fume and volcanic rock powder were added, the diffraction peaks of Ca(OH)2 gradually decreased. The group with 10% volcanic rock powder and 10% silica fume exhibited the lowest diffraction peaks for Ca(OH)2. This suggests that the Ca(OH)2 formed during hydration has reacted with the primary component of the volcanic rock powder, SiO2, consuming some of the Ca(OH)2. Ca(OH)2 in hydrated cement paste appears in a layered and plate-like structure, with weak connections between the layers. This layered structure makes it prone to fracture under external forces. Ca(OH)2 has poor stability and is easily eroded. In addition, Ca(OH)2 crystals tend to accumulate at the interface between cement and aggregates, forming large crystals that reduce the bond strength at the interface, resulting in a transition zone with poor mechanical properties in the cement paste [19]. The decrease in Ca(OH)2 also indirectly indicates that the combined addition of igneous rock powder and silica fume is beneficial for the strength enhancement of cement mortar.

3.5. Composite Cementitious System TG-DTA Thermal Analysis

Figure 17 shows a comparison of TG-DTA curves for different volcanic rock powder single and composite cementitious systems. It can be observed that the TG-DTA curve characteristics are essentially the same for all of the mixed pastes, with three weight loss steps corresponding to three endothermic peaks. There are two endothermic peaks between 75 °C and 120 °C, with one around 100 °C corresponding to the dehydration of AFt crystals, and the endothermic peak around 120 °C related to the dehydration of AFm crystals. The two additional endothermic peaks between 400~500 °C and 680~750 °C correspond to the decomposition of Ca(OH)2 and CaCO3, respectively [20]. The dehydration process of C-S-H gel is spread throughout the entire heating process, so there are no distinct weight loss steps or endothermic peaks in the graph.
Based on the TG curve in Figure 17a, it can be seen that when the temperature reached 550 °C, the weight loss due to chemical water in different cementitious systems with the addition of silica fume increased. For the cementitious system with a single addition of 20% volcanic rock powder, the weight loss rate was about 18%. After adding silica fume, the weight loss rate for the composite cementitious system was about 19%. For the cementitious system with a single addition of 20% tuff, the weight loss rate was around 15%, and it increased to about 16% after adding silica fume. For the cementitious system with a single addition of 20% granite powder, the weight loss rate was around 16%, and it increased to about 17% after adding silica fume.
This indicates that with the addition of silica fume, more hydration products are formed, promoting early cement hydration reactions, ultimately leading to an increase in early strength. From the DTA curve in the graph, it can be seen that after adding silica fume, the area of the endothermic peak corresponding to the decomposition of Ca(OH)2 in the cementitious system is smaller than in the single rock powder systems. This suggests that silica fume, with a highly active volcanic ash effect, reacts with Ca(OH)2 after addition, consuming some of the Ca(OH)2.

3.6. The Influence of Igneous Rock Powder and Silica Fume on the Pore Structure of Cementitious Systems

Figure 18 shows the pore size distribution curves of different granite–silica fume–cement ternary systems. Partial replacement of cement with granite mineral admixtures and silica fume can have a certain impact on the pore structure. From the figure, it can be observed that the pore size distribution of the SF10A10 sample is similar to the control group, with the highest content of small pores (<10 nm) and the lowest content of large capillary pores (10~100 nm). Its average particle size is 6.1984 nm. In comparison, the SF10H10 sample has the lowest content of small pores and the highest content of large capillary pores, with an average particle size of 6.9042 nm. This indicates that the appropriate addition of andesite powder and silica fume can refine the pore structure of the cement composite system. It is believed that silica fume has a smaller particle size and higher activity, which allows it to better fill the pores in the cement matrix, refine the pore structure, and increase the system’s density. Andesite powder has a smaller average particle size than tuff powder and granite powder, and smaller particle-sized powder can fill more pores, reducing porosity. In addition, the high activity of silica fume allows it to react more fully with the hydration products in cement, and the high activity of andesite powder relative to other igneous rock powders, coupled with the composite superposition effect, allows the active components in the powder particles to be fully released, participate in cement hydration reactions to generate more C-S-H gel, fill the pores, and enhance the mechanical properties of the cement matrix. In comparison, the particle size of tuff powder and granite powder is larger, and they are considered to be low-activity volcanic ash materials with lower early reactivity. Therefore, their filling effect is poor, leading to an increase in the content of coarse pores and large capillary pores, a decrease in the density of the cement matrix, and a subsequent decrease in strength.

3.7. The Influence of Igneous Rock Powder and Silica Fume on the Microstructure of the Cementitious System

The microstructure of the three pastes with 15% andesite powder and 5% silica fume, 15% granite powder and 5% silica fume, and 15% tuff powder and 5% silica fume at 3 days of hydration is shown in Figure 19. It can be observed that in the early stages of hydration, there are relatively few hydration products, and the network-like structure of the hydration products is in the initial stages of formation. However, there are some hydration products on the surfaces of various mineral powder particles. In Figure 19a, the surface of andesite powder shows early-formed flocculent C-S-H gel and some ettringite. In Figure 19b, the granite powder is partially enclosed by C-S-H gel and ettringite to some extent, leading to a denser structure. In Figure 19c, the surrounding area of rhyolite powder also contains some C-S-H gel and ettringite. This indicates that igneous rock powders indeed play a certain role as nucleation sites in the early stages of hydration, promoting cement hydration. This is because the powder surfaces have some adsorption capacity for calcium ions in the solution, and when the solution becomes supersaturated, CH crystals and C-S-H gels begin to form on the powder surface. This reduces the concentration of Ca2+ around C3S, thus promoting cement hydration. It is believed that the difference in the amount of hydration products with the complex addition of the three igneous rock powders and silica fume is related to the physical and chemical properties of the rock powders themselves.
XRF analysis of the igneous rock powders indicated that rhyolite has the least amount of silica and alumina and the lowest volcanic ash activity (52%) compared to granite powder (57%) and andesite powder (61%). The higher content of alkali oxides (e.g., Al2O3) in andesite and granite, along with the different particle sizes of various powders, allows for better filling and the formation of a “superposition effect.” This makes it easier for them to react with the high-alkaline substances produced by cement hydration, resulting in an increase in the needle-like AFt crystals after hydration. These needle-like crystals build up between the pores, leading to a denser structure.

4. Conclusions

This study tested the macroscopic properties and microstructure of cement mortar after replacing an equivalent amount of cement with volcanic rock powder and silica fume. It investigated the influence of volcanic rock powder and silica fume on the workability and mechanical properties of cement mortar, exploring their impact mechanisms. The main conclusions are as follows:
  • Within a 20% range of volcanic rock powder, there is a minor decrease in flowability, and even a potential improvement in mortar flowability with 0% to 20% inclusion of andesite powder. However, the flowability of mortar significantly decreases when volcanic rock powder exceeds 20%.
  • The most significant increase in strength in the cement mortar system occurs when 5% to 10% (by mass fraction) volcanic rock powder and 5% to 10% silica fume replace cement. Specifically, the maximum strength of cement mortar obtained after replacing 10% of cement with both andesite and silica fume reaches 52.2 MPa.
  • The combined use of volcanic rock powder and silica fume refines the pore structure of the cement composite system, increasing the compactness of the cement matrix. Among them, the combination of andesite and silica fume shows the best effects in refining pores.
  • Substituting part of the cement with volcanic rock powder and silica fume yields favorable performance in various aspects of mortar, providing some reference value for the application of volcanic rock as a supplementary cementitious material in concrete.

Author Contributions

Conceptualization, B.L.; methodology, X.Z.; software, X.L.; validation, X.L.; formal analysis, Z.H.; investigation, B.L.; resources, X.Z.; data curation, X.L.; writing—original draft preparation, B.L. and X.Z.; writing—review and editing, Z.H. and X.C.; visualization, X.L.; supervision, B.G.; project administration, B.G.; funding acquisition, B.G. All authors have read and agreed to the published version of the manuscript.

Funding

This research was funded by the Natural Science Foundation of Qinghai Province (No. 2021-ZJ-765).

Data Availability Statement

The data used to support the findings of this study are included within the article.

Conflicts of Interest

Authors Bo Liu, Xiaodong Zhao, Xing Liu were employed by the company China Construction Civil Engineering Co., Ltd. The remaining authors declare that the research was conducted in the absence of any commercial or financial relationships that could be construed as a potential conflict of interest.

References

  1. Stafford, F.N.; Raupp-Pereira, F.; Labrincha, J.A.; Hotza, D. Life cycle assessment of the production of cement: A Brazilian case study. J. Clean. Prod. 2016, 137, 1293–1299. [Google Scholar] [CrossRef]
  2. Naqi, A.; Jang, J.G. Recent progress in green cement technology utilizing Low-Carbon emission fuels and raw materials: A Review. Sustainability 2019, 11, 537. [Google Scholar] [CrossRef]
  3. Rajamma, R.; Senff, L.; Ribeiro, M.; Labrincha, J.; Ball, R.; Allen, G.; Ferreira, V. Biomass fly ash effect on fresh and hardened state properties of cement based materials. Compos. Part B Eng. 2015, 77, 1–9. [Google Scholar] [CrossRef]
  4. Wan, X.; Zhang, Y.; Zhao, T.; Zhang, S.; Cheng, Y. Mechanical properties of alkali-activated slag concrete. Mater. Rep. 2018, 32, 2091–2095. (In Chinese) [Google Scholar]
  5. Xu, X.-C.; Lou, J.-W.; Xie, Q.-Q.; Xiao, Q.; Liang, J.; Lu, S.-M. Geochronology and tectonic setting of Pb–Zn–Mo deposits and related igneous rocks in the Yinshan region, Jinzhai, Anhui province, China. Ore Geol. Rev. 2011, 43, 132–141. [Google Scholar] [CrossRef]
  6. Han, X.; Feng, J.J.; Wang, B.M. Relationship between fractal feature and compressive strength of fly ash-cement composite cementitious materials. Cem. Concr. Compos. 2023, 139, 105052. [Google Scholar] [CrossRef]
  7. Wu, J.-D.; Guo, L.-P.; Fei, X.-P.; Lyu, B.-C.; Chen, B. Synergistic effects of silica fume and slag on the microstructure and mechanical behaviors of ultra-high-strength and high-ductility cementitious composites. Constr. Build. Mater. 2023, 367, 130169. [Google Scholar] [CrossRef]
  8. Yuan, Q.; Yang, Z.Z.; Shi, C.J.; Tan, Y.B.; An, X.P. Fundamentals of the application of natural volcanic ash in cement-based materials. Bull. Chin. Ceram. Soc. 2020, 39, 2379–2392. (In Chinese) [Google Scholar]
  9. Korkmaz, V.A. Investigation of the Usability of Karakaya (Yıldızeli) Andesitic Tuffs as Additive in Cement Prodution. Mühendislik Ve Yer Bilim. Derg. 2018, 1, 1–10. [Google Scholar]
  10. Labbaci, Y.; Abdelaziz, Y.; Mekkaoui, A.; Alouani, A. The use of the volcanic powders as sup-lementary cementitious materials for environmental-friendly durable concrete. Constr. Build. Mater. 2017, 133, 468–481. [Google Scholar] [CrossRef]
  11. Yin, X.B. Experimental study on the influence of silica fume on asphalt mixture performance. Hefei Univ. Technol. 2020, 1, 1–101. (In Chinese) [Google Scholar]
  12. Xiao, J.; Zhou, S.Q.; Xu, Y.D. Experimental study on the effects of fly ash and silica fume on the performance of cement mortar. Concrete 2003, 8, 28–30+36. (In Chinese) [Google Scholar]
  13. GB/T 17671-2021; Test Method of Cement Mortar Strength (ISO Method). Standardization Administration of China: Beijing, China, 2021.
  14. GB/T 2419-2005; Test Method for Fluidity of Cement Mortar. Standardization Administration of China: Beijing, China, 2005.
  15. Zhang, X.; Ge, S.; Wang, H.; Chen, R. Effect of 5-phase seed crystal on the mechanical properties and microstructure of magnesium oxychloride cement. Constr. Build. Mater. 2017, 150, 409–417. [Google Scholar] [CrossRef]
  16. JG/T 315-2011; Natural Pozzolanic Materials Used for Cement Mortar and Concrete. Standardization Administration of China: Beijing, China, 2011.
  17. Liu, Q.L. Research on the influence of mineral admixtures on the performance of cement-based materials. Fly Ash Compr. Util. 2019, 4, 33–37+92. (In Chinese) [Google Scholar]
  18. Cao, M.L.; Xu, L.; Zhang, C. Influence of calcium carbonate whiskers on the rheological properties of cement mortar at different water-cement and sand-cement ratios. J. Chin. Ceram. Soc. 2016, 44, 246–252. (In Chinese) [Google Scholar]
  19. Wong, H.S.; Buenfeld, N.B. Euclidean distance mapping for computing microstructural gradients at interfaces in composite materials. Cem. Concr. Res. 2006, 36, 1091–1097. [Google Scholar] [CrossRef]
  20. Wang, X.H.; Hou, X.; Gan, L.; Wang, Y.; Bian, Q.H.; Zhang, J.P. Evaluation of the pozzolanic activity and hydration performance of ashed tuff powder in composite cementitious materials. Mater. Rep. 2022, 36, 143–150. (In Chinese) [Google Scholar]
Figure 1. Igneous rock powder and cement: particle size distribution and passing percentage.
Figure 1. Igneous rock powder and cement: particle size distribution and passing percentage.
Buildings 14 00359 g001
Figure 2. Igneous rock mineral phase composition.
Figure 2. Igneous rock mineral phase composition.
Buildings 14 00359 g002
Figure 3. The flowchart for specimen preparation.
Figure 3. The flowchart for specimen preparation.
Buildings 14 00359 g003
Figure 4. The activity index of mortar specimens with different igneous rock admixtures replacing cement at 28 days.
Figure 4. The activity index of mortar specimens with different igneous rock admixtures replacing cement at 28 days.
Buildings 14 00359 g004
Figure 5. Flowability of cement mortar with varying silica fume content.
Figure 5. Flowability of cement mortar with varying silica fume content.
Buildings 14 00359 g005
Figure 6. The flowability test results for the igneous rock powder-cement binary composite cementitious system.
Figure 6. The flowability test results for the igneous rock powder-cement binary composite cementitious system.
Buildings 14 00359 g006
Figure 7. Flowability of the andesite powder–silica fume–cement ternary composite system mortar.
Figure 7. Flowability of the andesite powder–silica fume–cement ternary composite system mortar.
Buildings 14 00359 g007
Figure 8. Flowability of the tuff powder–silica fume–cement ternary composite system mortar.
Figure 8. Flowability of the tuff powder–silica fume–cement ternary composite system mortar.
Buildings 14 00359 g008
Figure 9. Flowability of the granite powder–silica fume–cement ternary composite system mortar.
Figure 9. Flowability of the granite powder–silica fume–cement ternary composite system mortar.
Buildings 14 00359 g009
Figure 10. The contour map of compressive strength for the andesite–silica fume–cement system.
Figure 10. The contour map of compressive strength for the andesite–silica fume–cement system.
Buildings 14 00359 g010
Figure 11. The contour map of flexural strength for the andesite–silica fume–cement system.
Figure 11. The contour map of flexural strength for the andesite–silica fume–cement system.
Buildings 14 00359 g011
Figure 12. The contour map of compressive strength for the tuff–silica fume–cement system.
Figure 12. The contour map of compressive strength for the tuff–silica fume–cement system.
Buildings 14 00359 g012
Figure 13. The contour map of flexural strength for the tuff–silica fume–cement system.
Figure 13. The contour map of flexural strength for the tuff–silica fume–cement system.
Buildings 14 00359 g013
Figure 14. The contour map of compressive strength for the granite–silica fume–cement system.
Figure 14. The contour map of compressive strength for the granite–silica fume–cement system.
Buildings 14 00359 g014
Figure 15. The contour map of flexural strength for the granite–silica fume–cement system.
Figure 15. The contour map of flexural strength for the granite–silica fume–cement system.
Buildings 14 00359 g015
Figure 16. The XRD charts of cementitious systems after the replacement of cement with different volcanic rock powders and silica fume.
Figure 16. The XRD charts of cementitious systems after the replacement of cement with different volcanic rock powders and silica fume.
Buildings 14 00359 g016
Figure 17. TG-DTA curves of different cementitious systems.
Figure 17. TG-DTA curves of different cementitious systems.
Buildings 14 00359 g017
Figure 18. The pore size distribution curve of the igneous rock powder–silica fume–cement ternary composite system paste.
Figure 18. The pore size distribution curve of the igneous rock powder–silica fume–cement ternary composite system paste.
Buildings 14 00359 g018
Figure 19. Scanning electron microscope (SEM) images of the andesite powder–silica fume co-blend.
Figure 19. Scanning electron microscope (SEM) images of the andesite powder–silica fume co-blend.
Buildings 14 00359 g019
Table 1. Cement technical specifications.
Table 1. Cement technical specifications.
Density
(g/cm3)
Standard
Consistency
(%)
Initial
Setting Time
(Min)
Final
Setting Time
(Min)
StabilityFlexural
Strength
(MPa)
Compressive
Strength
(MPa)
3.0828.1210317eligible4.724.9
Table 2. The chemical composition of igneous rocks and silica fume.
Table 2. The chemical composition of igneous rocks and silica fume.
Chemical
Composition
Cement
(%)
Andesite
(%)
Tuff
(%)
Granite
(%)
Silica Fume
(%)
SiO221.2057.9439.7168.6692.58
TiO21.280.870.860.43-
Al2O34.8517.0214.2413.120.32
Fe2O32.573.279.783.200.18
MnO0.050.140.180.12-
MgO3.003.336.950.821.08
CaO54.926.7911.394.080.52
Na2O0.113.481.552.33-
K2O0.421.621.643.37-
P2O50.050.210.230.26-
LOI3.941.6513.643.232.60
Table 3. Material quantities for volcanic ash activity test.
Table 3. Material quantities for volcanic ash activity test.
SampleCement
(g)
Granite Powder
(g)
Andesite Powder
(g)
Tuff
Powder
(g)
Water
(mL)
Standard Sand
(g)
OPC4500002251350
A30315013502251350
N30315001352251350
H30315135002251350
Table 4. The mix proportions for single admixture test samples.
Table 4. The mix proportions for single admixture test samples.
SampleSilica Fume
(%)
Andesite
Powder
(%)
Tuff
Powder
(%)
Granite Powder
(%)
Cement
(%)
OPC0000100
SF5500095
SF101000090
SF151500085
SF202000080
A5050095
A100100090
A150150085
A200200080
N5005095
N100010090
N150015085
N200020080
H10000595
H150001090
H200001585
H100002080
Table 5. The mix design parameters for composite incorporation of igneous rock powder and silica fume.
Table 5. The mix design parameters for composite incorporation of igneous rock powder and silica fume.
SampleSilica Fume
(%)
Andesite
Powder
(%)
Tuff
Powder
(%)
Granite Powder
(%)
Cement
(%)
SF5A155150080
SF10A1010100080
SF15A51550080
SF5N155015080
SF10N1010010080
SF15N5505080
SF5H155001580
SF10H1010001080
SF15H51500580
Disclaimer/Publisher’s Note: The statements, opinions and data contained in all publications are solely those of the individual author(s) and contributor(s) and not of MDPI and/or the editor(s). MDPI and/or the editor(s) disclaim responsibility for any injury to people or property resulting from any ideas, methods, instructions or products referred to in the content.

Share and Cite

MDPI and ACS Style

Liu, B.; Zhao, X.; Liu, X.; He, Z.; Cao, X.; Guan, B. Evaluation of Workability and Mechanical Properties in Cement Mortar after Compounding Igneous Rock Powder and Silica Fume. Buildings 2024, 14, 359. https://doi.org/10.3390/buildings14020359

AMA Style

Liu B, Zhao X, Liu X, He Z, Cao X, Guan B. Evaluation of Workability and Mechanical Properties in Cement Mortar after Compounding Igneous Rock Powder and Silica Fume. Buildings. 2024; 14(2):359. https://doi.org/10.3390/buildings14020359

Chicago/Turabian Style

Liu, Bo, Xiaodong Zhao, Xing Liu, Zhenqing He, Xuanhao Cao, and Bowen Guan. 2024. "Evaluation of Workability and Mechanical Properties in Cement Mortar after Compounding Igneous Rock Powder and Silica Fume" Buildings 14, no. 2: 359. https://doi.org/10.3390/buildings14020359

APA Style

Liu, B., Zhao, X., Liu, X., He, Z., Cao, X., & Guan, B. (2024). Evaluation of Workability and Mechanical Properties in Cement Mortar after Compounding Igneous Rock Powder and Silica Fume. Buildings, 14(2), 359. https://doi.org/10.3390/buildings14020359

Note that from the first issue of 2016, this journal uses article numbers instead of page numbers. See further details here.

Article Metrics

Back to TopTop