Climatic Influences on the Environmental Performances of Residential Buildings: A Comparative Case Study in Turkey
Abstract
1. Introduction
- What is the contribution of climatic differences between the cities of Bolu and Mardin to the environmental impacts of the buildings?
- What is the impact of climate, location, and cultural factors on material selection and construction details in residential projects in these two cities?
2. Materials and Methods
2.1. Materials
2.1.1. Information About the Residential Building in Bolu, Turkey
2.1.2. Information About the Residential Building in Mardin, Turkey
2.2. Method
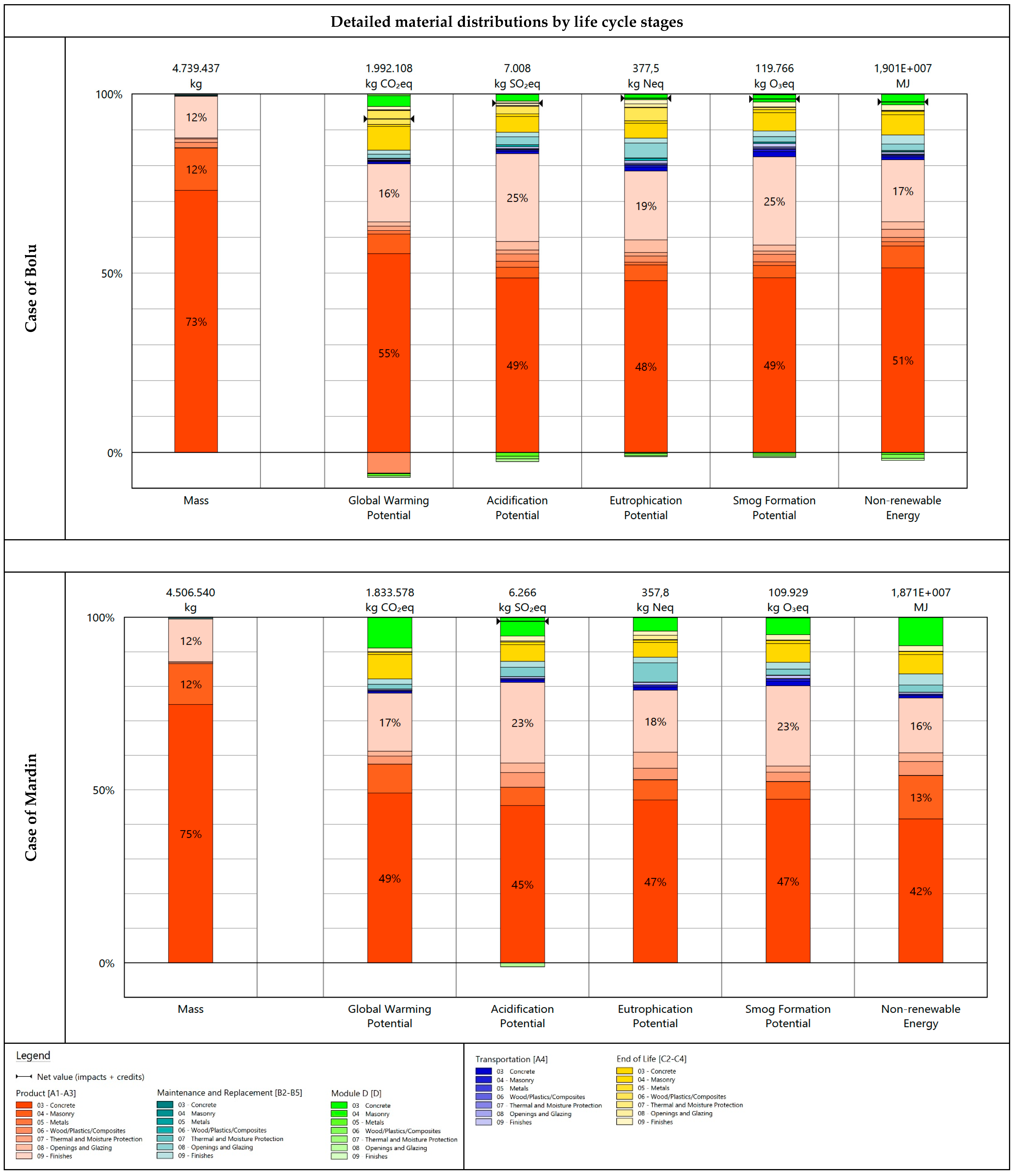
3. Results and Discussions
4. Conclusions
Author Contributions
Funding
Data Availability Statement
Conflicts of Interest
References
- Arnell, N.W. The implications of climate change for emergency planning. Int. J. Disaster Risk Reduct. 2022, 83, 103425. [Google Scholar] [CrossRef]
- Abbass, K.; Qasim, M.Z.; Song, H.; Murshed, M.; Mahmood, H.; Younis, I. A review of the global climate change impacts, adaptation, and sustainable mitigation measures. Environ. Sci. Pollut. Res. 2022, 29, 42539–42559. [Google Scholar] [CrossRef]
- Burger, M.; Gundlach, J. The Status of Climate Change Litigation: A Global Review. 2017. Available online: https://ssrn.com/abstract=3364568 (accessed on 5 August 2024).
- Krezlik, A.; Güzelci, O.Z.; Sousa, J.P. Rob-LCA—An assessment method to support environmental sensitive material selection in robotic fabrication. In Proceedings of the 39th eCAADe Conference, Novi Sad, Serbia, 8–10 September 2021; Volume 1, pp. 455–464. [Google Scholar]
- Soares, N.; Bastos, J.; Pereira, L.D.; Soares, A.; Amaral, A.R.; Asadi, E.; Rodrigues, E.; Lamas, F.; Monteiro, H.; Lopes, M.; et al. A review on current advances in the energy and environmental performance of buildings towards a more sustainable built environment. Renew. Sustain. Energy Rev. 2017, 77, 845–860. [Google Scholar] [CrossRef]
- Johnsson, F.; Karlsson, I.; Rootzén, J.; Ahlbäck, A.; Gustavsson, M. The framing of a sustainable development goals assessment in decarbonizing the construction industry–Avoiding “Greenwashing”. Renew. Sustain. Energy Rev. 2020, 131, 110029. [Google Scholar] [CrossRef]
- Cabeza, L.F.; Rincón, L.; Vilariño, V.; Pérez, G.; Castell, A. Life cycle assessment (LCA) and life cycle energy analysis (LCEA) of buildings and the building sector: A review. Renew. Sustain. Energy Rev. 2014, 29, 394–416. [Google Scholar] [CrossRef]
- González-Torres, M.; Pérez-Lombard, L.; Coronel, J.F.; Maestre, I.R.; Yan, D. A review on buildings energy information: Trends, end-uses, fuels and drivers. Energy Rep. 2022, 8, 626–637. [Google Scholar] [CrossRef]
- Santamouris, M.; Vasilakopoulou, K. Present and future energy consumption of buildings: Challenges and opportunities towards decarbonisation. e-Prime-Adv. Electr. Eng. Electron. Energy 2021, 1, 100002. [Google Scholar] [CrossRef]
- Roberts, M.; Allen, S.; Coley, D. Life cycle assessment in the building design process—A systematic literature review. Build. Environ. 2020, 185, 107274. [Google Scholar] [CrossRef]
- Figueiredo, K.; Pierott, R.; Hammad, A.W.; Haddad, A. Sustainable material choice for construction projects: A Life Cycle Sustainability Assessment framework based on BIM and Fuzzy-AHP. Build. Environ. 2021, 196, 107805. [Google Scholar] [CrossRef]
- Yardimci, Y.; Kurucay, E. LCA-TOPSIS Integration for Minimizing Material Waste in the Construction Sector: A BIM-Based Decision-Making. Buildings 2024, 14, 3919. [Google Scholar] [CrossRef]
- Huang, B.; Gao, X.; Xu, X.; Song, J.; Geng, Y.; Sarkis, J.; Fishman, T.; Kua, H.; Nakatani, J. A life cycle thinking framework to mitigate the environmental impact of building materials. One Earth 2021, 3, 564–573. [Google Scholar] [CrossRef]
- Xing, W.; Tam, V.W.; Le, K.N.; Hao, J.L.; Wang, J. Life cycle assessment of recycled aggregate concrete on its environmental impacts: A critical review. Constr. Build. Mater. 2022, 317, 125950. [Google Scholar] [CrossRef]
- Akbarieh, A.; Jayasinghe, L.B.; Waldmann, D.; Teferle, F.N. BIM-based end-of-lifecycle decision making and digital deconstruction: Literature review. Sustainability 2020, 12, 2670. [Google Scholar] [CrossRef]
- Fnais, A.; Rezgui, Y.; Petri, I.; Beach, T.; Yeung, J.; Ghoroghi, A.; Kubicki, S. The application of life cycle assessment in buildings: Challenges, and directions for future research. Int. J. Life Cycle Assess. 2022, 27, 627–654. [Google Scholar] [CrossRef]
- Ding, Z.; Liu, S.; Luo, L.; Liao, L. A building information modeling-based carbon emission measurement system for prefabricated residential buildings during the materialization phase. J. Clean. Prod. 2020, 264, 121728. [Google Scholar] [CrossRef]
- Zhu, W.; Feng, W.; Li, X.; Zhang, Z. Analysis of the embodied carbon dioxide in the building sector: A case of China. J. Clean. Prod. 2020, 269, 122438. [Google Scholar] [CrossRef]
- Zhong, X.; Hu, M.; Deetman, S.; Steubing, B.; Lin, H.X.; Hernandez, G.A.; Harpprecht, C.; Zhang, C.; Tukker, A.; Behrens, P. Global greenhouse gas emissions from residential and commercial building materials and mitigation strategies to 2060. Nat. Commun. 2021, 12, 6126. [Google Scholar] [CrossRef] [PubMed]
- Bahramian, M.; Yetilmezsoy, K. Life cycle assessment of the building industry: An overview of two decades of research (1995–2018). Energy Build. 2020, 219, 109917. [Google Scholar] [CrossRef]
- Lützkendorf, T. Assessing the environmental performance of buildings: Trends, lessons and tensions. Build. Res. Inf. 2018, 46, 594–614. [Google Scholar] [CrossRef]
- Evangelista, P.P.; Kiperstok, A.; Torres, E.A.; Gonçalves, J.P. Environmental performance analysis of residential buildings in Brazil using life cycle assessment (LCA). Constr. Build. Mater. 2018, 169, 748–761. [Google Scholar] [CrossRef]
- Rebitzer, G.; Ekvall, T.; Frischknecht, R.; Hunkeler, D.; Norris, G.; Rydberg, T.; Schmidt, W.P.; Suh, S.; Weidema, B.P.; Pennington, D.W. Life cycle assessment: Part 1: Framework, goal and scope definition, inventory analysis, and applications. Environ. Int. 2004, 30, 701–720. [Google Scholar] [CrossRef]
- Dani, A.A.; Roy, K.; Masood, R.; Fang, Z.; Lim, J.B. A comparative study on the life cycle assessment of New Zealand residential buildings. Buildings 2022, 12, 50. [Google Scholar] [CrossRef]
- Chau, C.K.; Leung, T.M.; Ng, W.Y. A review on life cycle assessment, life cycle energy assessment and life cycle carbon emissions assessment on buildings. Appl. Energy 2015, 143, 395–413. [Google Scholar] [CrossRef]
- Atmaca, A.; Atmaca, N. Carbon footprint assessment of residential buildings, a review and a case study in Turkey. J. Clean. Prod. 2022, 340, 130691. [Google Scholar] [CrossRef]
- Bribián, I.Z.; Capilla, A.V.; Usón, A.A. Life cycle assessment of building materials: Comparative analysis of energy and environmental impacts and evaluation of the eco-efficiency improvement potential. Build. Environ. 2011, 46, 1133–1140. [Google Scholar] [CrossRef]
- AzariJafari, H.; Guest, G.; Kirchain, R.; Gregory, J.; Amor, B. Towards comparable environmental product declarations of construction materials: Insights from a probabilistic comparative LCA approach. Build. Environ. 2021, 190, 107542. [Google Scholar] [CrossRef]
- Anand, C.K.; Amor, B. Recent developments, future challenges and new research directions in LCA of buildings: A critical review. Renew. Sustain. Energy Rev. 2017, 67, 408–416. [Google Scholar] [CrossRef]
- Soust-Verdaguer, B.; Llatas, C.; García-Martínez, A. Critical review of bim-based LCA method to buildings. Energy Build. 2017, 136, 110–120. [Google Scholar] [CrossRef]
- Finkbeiner, M.; Ackermann, R.; Bach, V.; Berger, M.; Brankatschk, G.; Chang, Y.J.; Grinberg, M.; Lehmann, A.; Martínez-Blanco, J.; Minkov, N.; et al. Challenges in life cycle assessment: An overview of current gaps and research needs. In Background and Future Prospects in Life Cycle Assessment; Springer: Dordrecht, The Netherlands, 2014; pp. 207–258. [Google Scholar]
- Luo, W.; Sandanayake, M.; Hou, L.; Tan, Y.; Zhang, G. A systematic review of green construction research using scientometrics methods. J. Clean. Prod. 2022, 366, 132710. [Google Scholar] [CrossRef]
- Kiss, B.; Szalay, Z. Modular approach to multi-objective environmental optimization of buildings. Autom. Constr. 2020, 111, 103044. [Google Scholar] [CrossRef]
- Dervishaj, A.; Gudmundsson, K. From LCA to circular design: A comparative study of digital tools for the built environment. Resour. Conserv. Recycl. 2024, 200, 107291. [Google Scholar] [CrossRef]
- Chen, Z.; Gu, H.; Bergman, R.D.; Liang, S. Comparative life-cycle assessment of a high-rise mass timber building with an equivalent reinforced concrete alternative using the Athena impact estimator for buildings. Sustainability 2020, 12, 4708. [Google Scholar] [CrossRef]
- Hossain, M.U.; Ng, S.T.; Antwi-Afari, P.; Amor, B. Circular economy and the construction industry: Existing trends, challenges and prospective framework for sustainable construction. Renew. Sustain. Energy Rev. 2020, 130, 109948. [Google Scholar] [CrossRef]
- ISO 14040; Environmental Management—Life Cycle Assessment—Principles and Framework. ISO: Geneva, Switzerland, 2006.
- ISO 14044; Environmental Management—Life Cycle Assessment—Requirements and Guidelines. ISO: Geneva, Switzerland, 2006.
- EN 15804; 2012—Sustainability of Construction Works—Environmental Product Declarations—Core Rules for the Product Category of Construction Products. CEN: Brussels, Belgium, 2019.
- Najjar, M.K.; Figueiredo, K.; Evangelista, A.C.J.; Hammad, A.W.; Tam, V.W.; Haddad, A. Life cycle assessment methodology integrated with BIM as a decision-making tool at early-stages of building design. Int. J. Constr. Manag. 2022, 22, 541–555. [Google Scholar] [CrossRef]
- Chen, Z.; Chen, L.; Zhou, X.; Huang, L.; Sandanayake, M.; Yap, P.S. Recent technological advancements in BIM and LCA integration for sustainable construction: A review. Sustainability 2024, 16, 1340. [Google Scholar] [CrossRef]
- Hollberg, A.; Genova, G.; Habert, G. Evaluation of BIM-based LCA results for building design. Autom. Constr. 2020, 109, 102972. [Google Scholar] [CrossRef]
- Potrč Obrecht, T.; Röck, M.; Hoxha, E.; Passer, A. BIM and LCA integration: A systematic literature review. Sustainability 2020, 12, 5534. [Google Scholar] [CrossRef]
- Safari, K.; AzariJafari, H. Challenges and opportunities for integrating BIM and LCA: Methodological choices and framework development. Sustain. Cities Soc. 2021, 67, 102728. [Google Scholar] [CrossRef]
- Carvalho, J.P.; Alecrim, I.; Bragança, L.; Mateus, R. Integrating BIM-based LCA and building sustainability assessment. Sustainability 2020, 12, 7468. [Google Scholar] [CrossRef]
- Schultz, J.; Ku, K.; Gindlesparger, M.; Doerfler, J. A benchmark study of BIM-based whole-building life-cycle assessment tools and processes. Int. J. Sustain. Build. Technol. Urban Dev. 2016, 7, 219–229. [Google Scholar] [CrossRef]
- Teng, Y.; Xu, J.; Pan, W.; Zhang, Y. A systematic review of the integration of building information modeling into life cycle assessment. Build. Environ. 2022, 221, 109260. [Google Scholar] [CrossRef]
- ISO 21930; Sustainability in Buildings and Civil Engineering Works, In Core Rules for Environmental Product Declarations of Construction Products and Services. ISO: Geneva, Switzerland, 2006.
- ISO 21931; Sustainability in Building Construction—Framework for Methods of Assessment of the Environmental Performance of Construction Works. ISO: Geneva, Switzerland, 2010.
- EN 15978:2011; Sustainability of Construction Works–Assessment of Environmental Performance of Buildings–Calculation Method. CEN: Brussels, Belgium, 2011.
- Autodesk Tally 2024. Available online: www.choosetally.com (accessed on 8 November 2024).
- Ripple, W.J.; Wolf, C.; Newsome, T.M.; Barnard, P.; Moomaw, W.R. World scientists’ warning of a climate emergency. BioScience 2020, 70, 8–100. [Google Scholar] [CrossRef]
- Quintana-Gallardo, A.; Schau, E.M.; Niemelä, E.P.; Burnard, M.D. Comparing the environmental impacts of wooden buildings in Spain, Slovenia, and Germany. J. Clean. Prod. 2021, 329, 129587. [Google Scholar] [CrossRef]
- Monteiro, H.; Freire, F.; Soares, N. Life cycle assessment of a south European house addressing building design options for orientation, window sizing and building shape. J. Build. Eng. 2021, 39, 102276. [Google Scholar] [CrossRef]
- Morales, M.; Moraga, G.; Kirchheim, A.P.; Passuello, A. Regionalized inventory data in LCA of public housing: A comparison between two conventional typologies in southern Brazil. J. Clean. Prod. 2019, 238, 117869. [Google Scholar] [CrossRef]
- Llatas, C.; Soust-Verdaguer, B.; Passer, A. Implementing Life Cycle Sustainability Assessment during design stages in Building Information Modelling: From systematic literature review to a methodological approach. Build. Environ. 2020, 182, 107164. [Google Scholar] [CrossRef]
- Mohamed, A.F. Comparative study of traditional and modern building techniques in Siwa Oasis, Egypt: Case study: Affordable residential building using appropriate building technique. Case Stud. Constr. Mater. 2020, 12, e00311. [Google Scholar]
- Ahmadian, E.; Elnokaly, A.; Sodagar, B.; Verhaert, I. Impact of climate on building energy performance, urban built form and urban geometry. In International Conference on Sustainability in Energy and Buildings; Springer Nature Singapore: Singapore, 2022; pp. 1–11. [Google Scholar]
- Fischer, H.; Aichholzer, M.; Korjenic, A. Ecological Potential of Building Components in Multi-Storey Residential Construction: A Comparative Case Study between an Existing Concrete and a Timber Building in Austria. Sustainability 2023, 15, 6349. [Google Scholar] [CrossRef]
- Zhang, M.; Liu, F.; Liu, Q.; Zhang, F.; Li, T. Climate adaptation analysis and comfort optimization strategies for traditional residential buildings in hot-summer, cold-winter regions: A case study in Xuzhou, China. Sustainability 2024, 16, 3411. [Google Scholar] [CrossRef]





| Doors and Windows | Door frame, aluminum; Door frame, steel, galvanized; Door, exterior, aluminum; Door, exterior, steel; Door, interior, wood, MDF core, flush; Glazing, double-pane IGU; Mineral wool, board, generic; Paint; Window frame, vinyl; wood |
| Floors | Cast-in-place concrete, lightweight structural concrete, 3000 psi; Cast-in-place concrete, structural concrete, 5000 psi; Ceramic tile; Gypsum board; Portland cement stucco; Paint; Stone tile; Laminated parquet |
| Roofs | Clay roofing tile; Plywood, exterior grade; Wood framing |
| Stairs and Railings | Aluminum, round tube; Stair, cast-in-place concrete; Stone tile |
| Walls and Structural Elements | Cast-in-place concrete, structural concrete, 5000 psi; Brick; Ceramic tile; Domestic hardwood; Expanded polystyrene (EPS), board; Gypsum board; Hollow-core CMU; Paint; Portland cement stucco; Stone tile |
| Windows | Domestic hardwood; Glazing, double-pane IGU; Polyurethane foam; spray-applied, Paint; Stone tile; Window frame, aluminum; Window frame, steel, Window frame, vinyl |
| Doors | Door frame, aluminum; Door frame, wood; Door, exterior, aluminum; Door, interior, wood, MDF core, flush; Glazing, double-pane IGU; Paint; Window frame, vinyl |
| Floors | Cast-in-place concrete, lightweight structural concrete, 3000 psi; Cast-in-place concrete, structural concrete, 5000 psi; Ceramic tile; Gypsum board; Paint; Portland cement stucco; Stone tile; Wood veneer; Asphalt felt sheet |
| Stairs and Railings | Aluminum, round tube; Stair, cast-in-place concrete; Stone tile |
| Walls | Brick; Cast-in-place concrete, structural concrete, 5000 psi; Ceramic tile; Expanded polystyrene (EPS), board; Gypsum board; Paint; Portland cement stucco; Stone veneer wall; limestone, grouted |
| Windows | Glazing, double-pane IGU; Polyurethane foam; spray-applied Window frame; aluminum, Window frame |
| Environmental Impacts of Materials Used in Buildings | |||||||||
|---|---|---|---|---|---|---|---|---|---|
| Row Labels | Acidification Potential Total (kgSO2eq) | Eutrophication Potential Total (kgNeq) | Global Warming Potential Total (kgCO2eq) | Ozone Depletion Potential Total (CFC-11eq) | Smog Formation Potential Total (kgO3eq) | Primary Energy Demand Total (MJ) | Non-Renewable Energy Demand Total (MJ) | Renewable Energy Demand Total (MJ) | |
| Case of Bolu | 03—Concrete | 3.90 × 103 | 2.06 × 102 | 1.31 × 106 | −1.16 × 10−3 | 6.86 × 104 | 1.22 × 107 | 1.16 × 107 | 6.50 × 105 |
| % | 57.13 | 55.30 | 70.48 | −601.32 | 58.09 | 58.26 | 62.23 | 27.24 | |
| 04—Masonry | 2.89 × 102 | 2.15 × 101 | 1.26 × 105 | 2.54 × 10−8 | 6.10 × 103 | 1.54 × 106 | 1.42 × 106 | 1.16 × 105 | |
| % | 4.23 | 5.76 | 6.79 | 0.01 | 5.17 | 7.34 | 7.65 | 4.85 | |
| 05—Metals | 4.30 × 101 | 1.63 × 100 | 8.65 × 103 | 1.00 × 10−4 | 6.30 × 102 | 1.38 × 105 | 1.24 × 105 | 1.24 × 104 | |
| % | 0.63 | 0.44 | 0.47 | 51.93 | 0.53 | 0.66 | 0.67 | 0.52 | |
| 06—Wood/Plastics/Composites | 2.81 × 102 | 2.12 × 101 | −3.03 × 104 | 2.63 × 10−6 | 3.29 × 103 | 9.18 × 105 | 1.23 × 105 | 7.95 × 105 | |
| % | 4.12 | 5.69 | −1.63 | 1.36 | 2.79 | 4.38 | 0.66 | 33.33 | |
| 07—Thermal and Moisture Protection | 1.02 × 102 | 5.84 × 100 | 3.02 × 104 | 7.90 × 10−4 | 1.72 × 103 | 5.61 × 105 | 5.33 × 105 | 2.78 × 104 | |
| % | 1.50 | 1.56 | 1.63 | 410.52 | 1.46 | 2.67 | 2.87 | 1.17 | |
| 08—Openings and Glazing | 2.85 × 102 | 3.15 × 101 | 4.18 × 104 | 4.21 × 10−4 | 3.48 × 103 | 8.30 × 105 | 6.49 × 105 | 1.81 × 105 | |
| % | 4.17 | 8.45 | 2.25 | 219 | 2.95 | 3.96 | 3.49 | 7.59 | |
| 09—Finishes | 1.93 × 103 | 8.50 × 101 | 3.71 × 105 | 3.62 × 10−5 | 3.43 × 104 | 4.77 × 106 | 4.17 × 106 | 6.04 × 105 | |
| % | 28.22 | 22.80 | 20.01 | 18.8 | 29 | 22.74 | 22.43 | 25.30 | |
| Grand Total | 6.83 × 103 | 3.73 × 102 | 1.85 × 106 | 1.92 × 10−4 | 1.18 × 105 | 2.10 × 107 | 1.86 × 107 | 2.39 × 106 | |
| Case of Mardin | 03—Concrete | 3.53 × 103 | 2.01 × 102 | 1.20 × 106 | −1.10 × 10−3 | 6.47 × 104 | 1.11 × 107 | 1.05 × 107 | 6.06 × 105 |
| % | 56.97 | 56.43 | 65.89 | −43.93 | 59.18 | 54.90 | 56.43 | 37.11 | |
| 04—Masonry | 4.05 × 102 | 2.54 × 101 | 1.70 × 105 | 3.94 × 10−8 | 7.49 × 103 | 2.78 × 106 | 2.60 × 106 | 1.84 × 105 | |
| % | 6.53 | 7.14 | 9.32 | 0.00 | 6.85 | 13.76 | 13.98 | 11.26 | |
| 06 Wood/Plastics/Composites | 7.08 × 100 | 6.20 × 10−1 | 4.58 × 102 | 2.70 × 10−7 | 1.13 × 102 | 3.62 × 104 | 1.27 × 104 | 2.35 × 104 | |
| % | 0.11 | 0.17 | 0.03 | 0.01 | 0.10 | 0.18 | 0.07 | 1.44 | |
| 07—Thermal and Moisture Protection | 2.70 × 102 | 1.22 × 101 | 4.32 × 104 | 3.07 × 10−3 | 3.06 × 103 | 8.21 × 105 | 7.65 × 105 | 5.62 × 104 | |
| % | 4.36 | 3.43 | 2.37 | 122.21 | 2.80 | 4.06 | 4.12 | 3.44 | |
| 08—Openings and Glazing | 2.91 × 102 | 3.98 × 101 | 4.57 × 104 | 5.35 × 10−4 | 3.42 × 103 | 9.65 × 105 | 7.44 × 105 | 2.22 × 105 | |
| % | 4.70 | 11.18 | 2.51 | 21.33 | 3.13 | 4.77 | 4.00 | 13.61 | |
| 09—Finishes | 1.69 × 103 | 7.72 × 101 | 3.62 × 105 | 9.40 × 10−6 | 3.05 × 104 | 4.52 × 106 | 3.98 × 106 | 5.41 × 105 | |
| % | 27.32 | 21.65 | 19.88 | 0.37 | 27.94 | 22.33 | 21.40 | 33.15 | |
| Grand Total | 6.19 × 103 | 3.56 × 102 | 1.82 × 106 | 2.51 × 10−3 | 1.09 × 105 | 2.02 × 107 | 1.86 × 107 | 1.63 × 106 | |
| Life Cycle Stages | |||||||||
|---|---|---|---|---|---|---|---|---|---|
| Row Labels | Acidification Potential Total (kgSO2eq) | Eutrophication Potential Total (kgNeq) | Global Warming Potential Total (kgCO2eq) | Ozone Depletion Potential Total (CFC-11eq) | Smog Formation Potential Total (kgO3eq) | Primary Energy Demand Total (MJ) | Non-Renewable Energy Demand Total (MJ) | Renewable Energy Demand Total (MJ) | |
| Case of Bolu | [A1–A3] Product | 5.84 × 103 | 2.96 × 102 | 1.49 × 106 | 2.64 × 10−4 | 9.88 × 104 | 1.78 × 107 | 1.55 × 107 | 2.33 × 106 |
| % | 85.55 | 79.46 | 80.26 | 137.05 | 83.67 | 85.10 | 83.50 | 97.49 | |
| [A4] Transportation | 1.34 × 102 | 1.09 × 101 | 2.89 × 104 | 9.89 × 10−10 | 4.42 × 103 | 4.20 × 105 | 4.10 × 105 | 1.01 × 104 | |
| % | 1.96 | 2.92 | 1.56 | 0.00 | 3.74 | 2.00 | 2.20 | 0.43 | |
| [B2–B5] Maintenance and Replacement | 2.85 × 102 | 2.38 × 101 | 4.50 × 104 | 3.11 × 10−4 | 4.19 × 103 | 1.17 × 106 | 9.08 × 105 | 2.63 × 105 | |
| % | 4.17 | 6.37 | 2.43 | 161.44 | 3.55 | 5.58 | 4.88 | 11.01 | |
| [C2–C4] End of Life | 6.11 × 102 | 4.05 × 101 | 2.43 × 105 | 4.18 × 10−8 | 9.71 × 103 | 1.71 × 106 | 1.60 × 106 | 1.13 × 105 | |
| % | 8.94 | 10.85 | 13.10 | 0.02 | 8.23 | 8.15 | 8.59 | 4.72 | |
| [D] Module D | −4.25 × 101 | 1.52 × 100 | 4.91 × 104 | −3.82 × 10−4 | 9.66 × 102 | −1.74 × 105 | 1.52 × 105 | −3.26 × 105 | |
| % | −0.62 | 0.41 | 2.65 | −198.51 | 0.82 | −0.83 | 0.82 | −13.65 | |
| Grand Total | 6.83 × 103 | 3.73 × 102 | 1.85 × 106 | 1.92 × 10−4 | 1.18 × 105 | 2.10 × 107 | 1.86 × 107 | 2.39 × 106 | |
| Case of Mardin | [A1–A3] Product | 5.09 × 103 | 2.82 × 102 | 1.43 × 106 | 3.37 × 10−3 | 8.81 × 104 | 1.58 × 107 | 1.43 × 107 | 1.49 × 106 |
| % | 82.10 | 79.15 | 78.47 | 134.27 | 80.61 | 78.26 | 77.12 | 91.07 | |
| [A4] Transportation | 1.01 × 102 | 8.19 × 100 | 2.17 × 104 | 7.43 × 10−10 | 3.32 × 103 | 3.16 × 105 | 3.08 × 105 | 7.63 × 103 | |
| % | 1.62 | 2.30 | 1.19 | 0.00 | 3.04 | 1.56 | 1.66 | 0.47 | |
| [B2–B5] Maintenance and Replacement | 2.82 × 102 | 2.62 × 101 | 5.39 × 104 | 2.64 × 10−4 | 4.14 × 103 | 1.22 × 106 | 1.00 × 106 | 2.18 × 105 | |
| % | 4.55 | 7.35 | 2.96 | 10.51 | 3.78 | 6.03 | 5.39 | 13.36 | |
| [C2–C4] End of Life | 4.58 × 102 | 2.71 × 101 | 1.64 × 105 | 2.36 × 10−8 | 8.82 × 103 | 1.64 × 106 | 1.53 × 106 | 1.08 × 105 | |
| % | 7.40 | 7.60 | 9.00 | 0.00 | 8.07 | 8.09 | 8.23 | 6.62 | |
| [D] Module D | 2.68 × 102 | 1.28 × 101 | 1.53 × 105 | −1.12 × 10−3 | 4.92 × 103 | 1.23 × 106 | 1.41 × 106 | −1.88 × 105 | |
| % | 4.33 | 3.60 | 8.38 | −44.78 | 4.50 | 6.06 | 7.60 | −11.51 | |
| Grand Total | 6.19 × 103 | 3.56 × 102 | 1.82 × 106 | 2.51 × 10−3 | 1.09 × 105 | 2.02 × 107 | 1.86 × 107 | 1.63 × 106 | |
| Environmental Impacts of Building Layers | |||||||||
|---|---|---|---|---|---|---|---|---|---|
| Row Labels | Acidification Potential Total (kgSO2eq) | Eutrophication Potential Total (kgNeq) | Global Warming Potential Total (kgCO2eq) | Ozone Depletion Potential Total (CFC-11eq) | Smog Formation Potential Total (kgO3eq) | Primary Energy Demand Total (MJ) | Non-Renewable Energy Demand Total (MJ) | Renewable Energy Demand Total (MJ) | |
| Case of Bolu | Doors | 1.14 × 102 | 2.29 × 101 | 1.64 × 104 | 3.41 × 10−4 | 1.30 × 103 | 4.40 × 105 | 2.87 × 105 | 1.54 × 105 |
| % | 1.68 | 6.13 | 0.88 | 176.95 | 1.11 | 2.10 | 1.55 | 6.44 | |
| Floors | 3.90 × 103 | 1.82 × 102 | 9.17 × 105 | 4.76 × 10−5 | 6.63 × 104 | 9.54 × 106 | 8.62 × 106 | 9.29 × 105 | |
| % | 57.15 | 48.80 | 49.47 | 24.73 | 56.18 | 45.50 | 46.36 | 38.94 | |
| Roofs | 3.07 × 102 | 2.24 × 101 | −1.13 × 104 | 2.25 × 10−4 | 3.94 × 103 | 1.15 × 106 | 4.11 × 105 | 7.38 × 105 | |
| % | 4.50 | 6.00 | −0.61 | 116.77 | 3.34 | 5.47 | 2.21 | 30.93 | |
| Stairs and Railings | 6.15 × 101 | 2.61 × 100 | 1.37 × 104 | 9.80 × 10−5 | 9.75 × 102 | 1.87 × 105 | 1.69 × 105 | 1.68 × 104 | |
| % | 0.90 | 0.70 | 0.74 | 50.90 | 0.83 | 0.89 | 0.91 | 0.71 | |
| Walls | 2.21 × 103 | 1.31 × 102 | 8.85 × 105 | −6.10 × 10−4 | 4.22 × 104 | 9.10 × 106 | 8.63 × 106 | 4.66 × 105 | |
| % | 32.31 | 35.18 | 47.75 | −317.05 | 35.73 | 43.38 | 46.43 | 19.53 | |
| Windows | 2.37 × 102 | 1.19 × 101 | 3.27 × 104 | 9.18 × 10−5 | 3.33 × 103 | 5.55 × 105 | 4.73 × 105 | 8.25 × 104 | |
| % | 3.47 | 3.20 | 1.77 | 47.71 | 2.82 | 2.65 | 2.55 | 3.46 | |
| Grand Total | 6.83 × 103 | 3.73 × 102 | 1.85 × 106 | 1.92 × 10−4 | 1.18 × 105 | 2.10 × 107 | 1.86 × 107 | 2.39 × 106 | |
| Case of Mardin | Doors | 1.64 × 102 | 3.30 × 101 | 2.56 × 104 | 5.34 × 10−4 | 1.89 × 103 | 6.43 × 105 | 4.46 × 105 | 1.98 × 105 |
| % | 2.65 | 9.25 | 1.40 | 21.29 | 1.73 | 3.18 | 2.40 | 12.15 | |
| Floors | 3.33 × 103 | 1.73 × 102 | 8.53 × 105 | 2.55 × 10−3 | 6.00 × 104 | 8.99 × 106 | 8.17 × 106 | 8.27 × 105 | |
| % | 53.83 | 48.52 | 46.78 | 101.70 | 54.90 | 44.46 | 43.93 | 50.63 | |
| Stairs and Railings | 5.94 × 101 | 2.79 × 100 | 1.28 × 104 | 6.20 × 10−7 | 1.06 × 103 | 1.40 × 105 | 1.25 × 105 | 1.51 × 104 | |
| % | 0.96 | 0.78 | 0.70 | 0.02 | 0.97 | 0.69 | 0.67 | 0.93 | |
| Walls | 2.51 × 103 | 1.41 × 102 | 9.11 × 105 | −5.79 × 10−4 | 4.48 × 104 | 1.01 × 107 | 9.55 × 106 | 5.68 × 105 | |
| % | 40.49 | 39.50 | 49.99 | −23.09 | 40.99 | 50.05 | 51.37 | 34.80 | |
| Windows | 1.28 × 102 | 6.94 × 100 | 2.04 × 104 | 1.86 × 10−6 | 1.55 × 103 | 3.28 × 105 | 3.03 × 105 | 2.43 × 104 | |
| % | 2.07 | 1.95 | 1.12 | 0.07 | 1.42 | 1.62 | 1.63 | 1.49 | |
| Grand Total | 6.19 × 103 | 3.56 × 102 | 1.82 × 106 | 2.51 × 10−3 | 1.09 × 105 | 2.02 × 107 | 1.86 × 107 | 1.63 × 106 | |
| Environmental Impacts/Area | Product Stage [A1–A3] | Construction Stage [A4] | Use Stage [B2–B5] | End of Life Stage [C2–C4] | Module D [D] | |
|---|---|---|---|---|---|---|
| Case of Bolu | Global Warming (kg CO2eq/m2) | 2.147 | 41.65 | 64.98 | 350.4 | 70.92 |
| Acidification (kg SO2eq/m2) | 8.429 | 0.193 | 0.4109 | 0.8813 | −0.06132 | |
| Eutrophication (kg Neq/m2) | 0.4277 | 0.01571 | 0.03428 | 0.0584 | 0.002197 | |
| Smog Formation (kg O3eq/m2) | 142.5 | 6.377 | 6.044 | 14.01 | 1.393 | |
| Ozone Depletion (kg CFC-11eq/m2) | 3.81 × 10−7 | 1.43 × 10−12 | 4.48 × 10−7 | 6.04 × 10−11 | −5.51 × 10−7 | |
| Primary Energy (MJ/m2) | 25.747 | 605.7 | 1.689 | 2.464 | −251 | |
| Non-renewable Energy (MJ/m2) | 22.396 | 591.2 | 1.310 | 2.305 | 219.2 | |
| Renewable Energy (MJ/m2) | 3.356 | 14.65 | 379.2 | 162.4 | −470 | |
| Case of Mardin | Global Warming (kg CO2eq/m2) | 2.684 | 40.73 | 101.2 | 307.9 | 286.4 |
| Acidification (kg SO2eq/m2) | 9.541 | 0.1887 | 0.5285 | 0.8595 | 0.5029 | |
| Eutrophication (kg Neq/m2) | 0.5292 | 0.01537 | 0.04914 | 0.05085 | 0.0241 | |
| Smog Formation (kg O3eq/m2) | 165.4 | 6.236 | 7.761 | 16.56 | 9.223 | |
| Ozone Depletion (kg CFC-11eq/m2) | 6.32 × 10−6 | 1.40 × 10−12 | 4.95 × 10−7 | 4.42 × 10−11 | −2.11 × 10−6 | |
| Primary Energy (MJ/m2) | 29.696 | 592.3 | 2.288 | 3.069 | 2.299 | |
| Non-renewable Energy (MJ/m2) | 26.900 | 578.1 | 1.879 | 2.870 | 2.652 | |
| Renewable Energy (MJ/m2) | 2.789 | 14.32 | 409.3 | 202.6 | −353 |
Disclaimer/Publisher’s Note: The statements, opinions and data contained in all publications are solely those of the individual author(s) and contributor(s) and not of MDPI and/or the editor(s). MDPI and/or the editor(s) disclaim responsibility for any injury to people or property resulting from any ideas, methods, instructions or products referred to in the content. |
© 2024 by the authors. Licensee MDPI, Basel, Switzerland. This article is an open access article distributed under the terms and conditions of the Creative Commons Attribution (CC BY) license (https://creativecommons.org/licenses/by/4.0/).
Share and Cite
Yardımcı, Y.; Colak Demirel, B.B.; Ertosun Yıldız, M. Climatic Influences on the Environmental Performances of Residential Buildings: A Comparative Case Study in Turkey. Buildings 2024, 14, 4015. https://doi.org/10.3390/buildings14124015
Yardımcı Y, Colak Demirel BB, Ertosun Yıldız M. Climatic Influences on the Environmental Performances of Residential Buildings: A Comparative Case Study in Turkey. Buildings. 2024; 14(12):4015. https://doi.org/10.3390/buildings14124015
Chicago/Turabian StyleYardımcı, Yigit, Burcu Buram Colak Demirel, and Merve Ertosun Yıldız. 2024. "Climatic Influences on the Environmental Performances of Residential Buildings: A Comparative Case Study in Turkey" Buildings 14, no. 12: 4015. https://doi.org/10.3390/buildings14124015
APA StyleYardımcı, Y., Colak Demirel, B. B., & Ertosun Yıldız, M. (2024). Climatic Influences on the Environmental Performances of Residential Buildings: A Comparative Case Study in Turkey. Buildings, 14(12), 4015. https://doi.org/10.3390/buildings14124015

