Enhancing Visual Perception in Sports Environments: A Virtual Reality and Machine Learning Approach
Abstract
1. Introduction
1.1. The Correlation Between Visual Perception and Emotion in Sports
- Literature review and research gap-1:
1.2. Visual Perception Elements Research Using Eye Tracker and Virtual Reality
- Literature review and research gap-2:
1.3. Visual Perception Prediction Model and Optimization
- Literature review and research gap 3:
1.4. Research Objective
- To solve the limitation of real scene perception data size and the subjectivity of semantic differential (SD) questionnaire and accurately find strong impact sports visual environmental factors (spatial elements’ properties), this research firstly pointed out the spatial elements which users focused on with the eye tracker, secondly screened out their properties which strongly affect the sports perception with SD questionnaire, and finally constructed the database of environmental impact factors, sports emotions and sports perception in immersive virtual environments (IVEs).
- To address the research gap in ignoring the influence of human behavioral psychological elements (sports emotion) on sports perception, this study explored the influence of multiple visual environmental factors, including light environment indicators (such as spatial geometry, interface texture, and environmental color) on three sports emotions (pleasure, arousal, and dominance) through VR visual environment experiments and studied the contributions of the three sports emotions to sports perception through database analysis.
- In order to explore and test the optimization method of the sports visual environment for a specific sports scene, this research firstly trained the sports emotions surrogate prediction model through the ANNs, secondly combined GA and ANN to calculate the environmental factors’ thresholds, and finally implemented and validated the GA and ANN optimization approach in a real-world sports setting to enhance its sports performance visual environment.
2. Methodology
2.1. Visual Environment Factors Selecting
2.1.1. Impact Factors Screening with SD Questionnaire
2.1.2. Impact Factors Screening with Eye Tracker in Real-World Scenes
2.1.3. Eye-Tracker Validation in VR
2.2. VR Orthogonal Experiment Setup
2.2.1. VR Orthogonal Experiment Procedure
2.2.2. Sports Emotional Assessment
2.3. Data Analysis
2.3.1. Correlation Test
2.3.2. Multivariate Nonlinear Fitting
2.4. Sports Visual Environmental Optimization
2.4.1. Machine Learning Algorithm
Decision Tree
Support Vector Machine (SVM)
K-Nearest Neighbor (KNN)
Artificial Neural Network (ANN)
2.4.2. Genetic Algorithm
3. Result
3.1. Sports Environmental Impact Factor Screening
3.1.1. SD Questionnaire Results Analysis
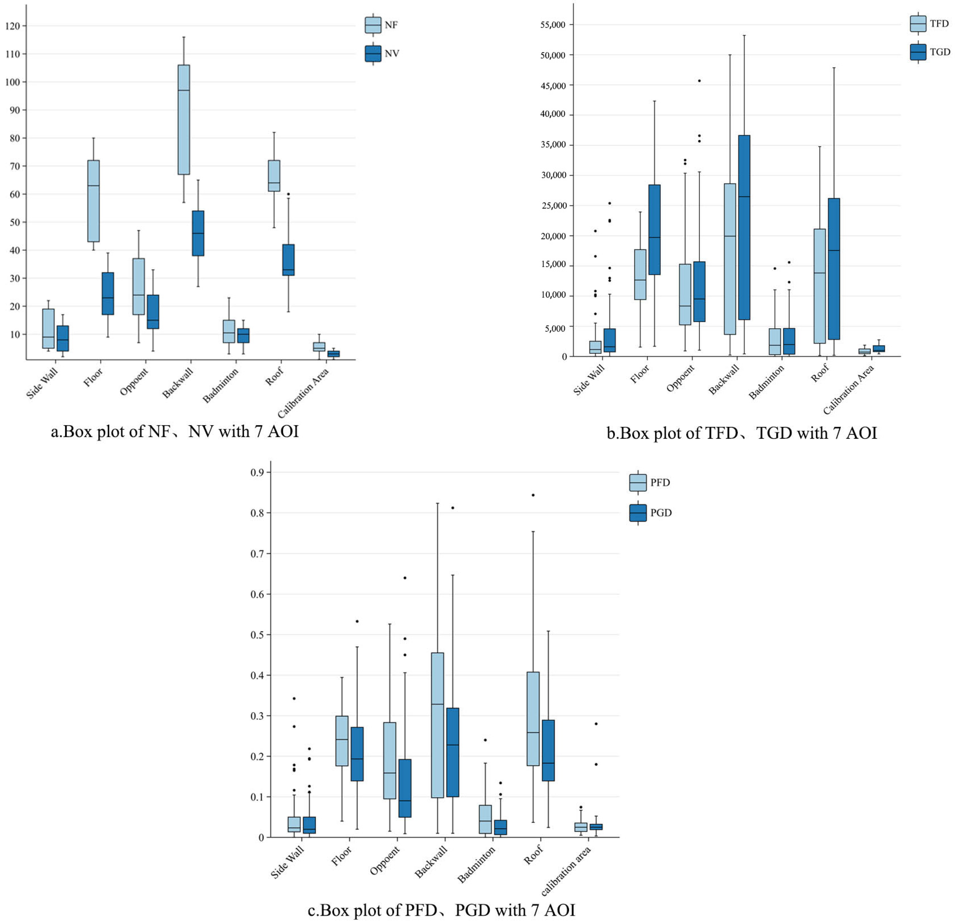
3.1.2. Eye Movement Experiment Data Analysis in Real Scenes
3.1.3. Validation of VR Eye Tracking
3.2. The Influence of Environmental Factors on Sports Emotion
3.2.1. Analysis of Correlation Between Environmental Factors
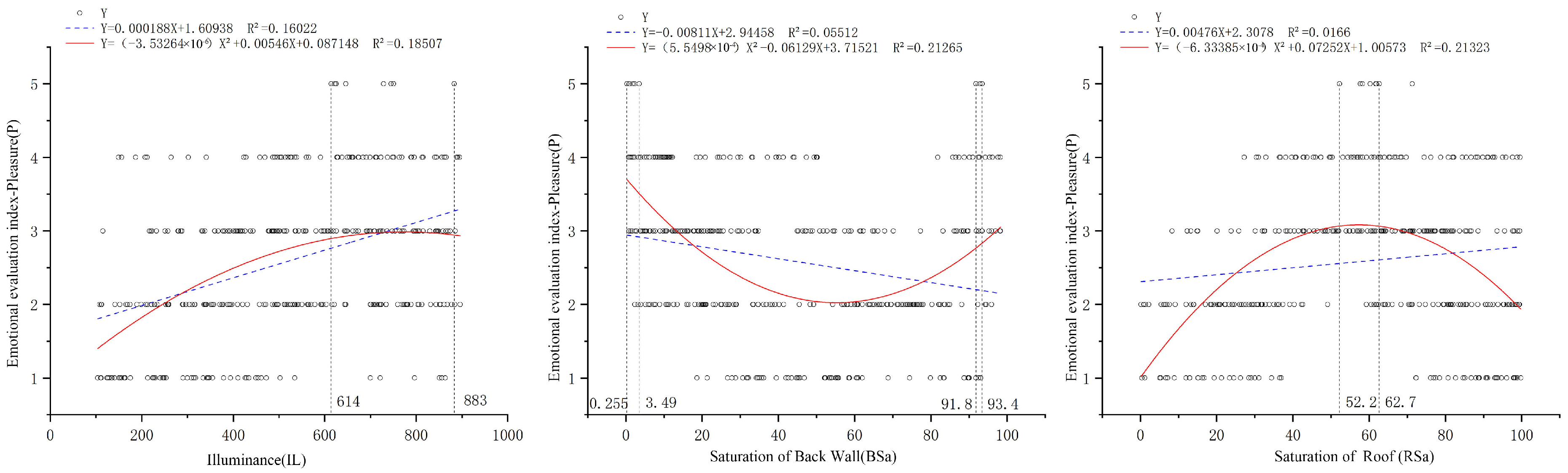
3.2.2. The Influence of Environmental Factors on Emotional Pleasure (P)
3.2.3. The Influence of Environmental Factors on Emotional Arousal (A)
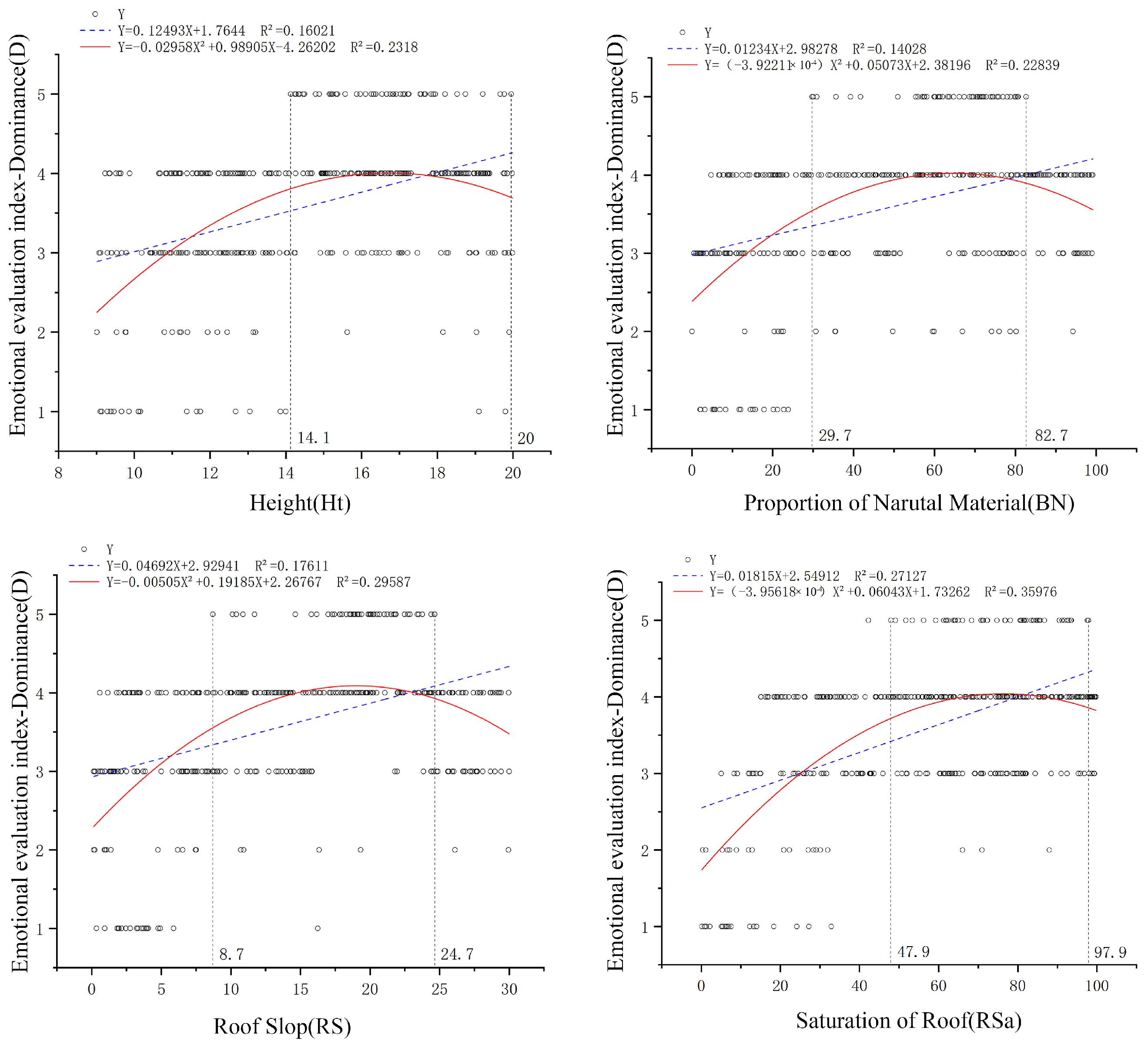
3.2.4. The Influence of Environmental Factors on Emotional Dominance (D)
3.2.5. Nonlinear Regression Between Sports Emotion and Perception
3.3. Sports Perception Design with Machine Learning
3.3.1. Sports Emotion Surrogate Prediction Model
3.3.2. Sports Visual Environment Optimization Design for Virtual Scenes
3.3.3. Sports Visual Environment Renovation Design for an Actual Scene
4. Discussion
4.1. Limitations of Sports Visual Environment Factors Screening
4.2. Limitations of Subjectivity in Sports Emotion SAM Scoring
4.3. Limitations of Sports Type and User Group Selecting
5. Conclusions
5.1. Environmental Factors
5.2. VR and Actual Scenes
5.3. Sports Emotions and Perception
5.4. Machine Learning
5.5. Optimization and Renovation
Supplementary Materials
Author Contributions
Funding
Institutional Review Board Statement
Data Availability Statement
Acknowledgments
Conflicts of Interest
References
- Handy, S. Health and community design: The impact of the built environment on physical activity. J. Am. Plan. Assoc. 2004, 70, 375–376. [Google Scholar]
- Murphy, M.H.; Blair, S.N.; Murtagh, E.M. Accumulated versus Continuous Exercise for Health Benefit A Review of Empirical Studies. Sports Med. 2009, 39, 29–43. [Google Scholar] [CrossRef] [PubMed]
- Jimenez-Pavon, D.; Carbonell-Baeza, A.; Lavie, C.J. Physical exercise as therapy to fight against the mental and physical consequences of COVID-19 quarantine: Special focus in older people. Prog. Cardiovasc. Dis. 2020, 63, 386–388. [Google Scholar] [CrossRef] [PubMed]
- Jimeno-Almazán, A.; Pallarés, J.G.; Buendía-Romero, Á.; Martínez-Cava, A.; Franco-López, F.; Sánchez-Alcaraz Martínez, B.J.; Bernal-Morel, E.; Courel-Ibáñez, J. Post-COVID-19 Syndrome and the Potential Benefits of Exercise. Int. J. Environ. Res. Public Health 2021, 18, 5329. [Google Scholar] [CrossRef]
- Barton, J.; Pretty, J. What is the best dose of nature and green exercise for improving mental health? A multi-study analysis. Environ. Sci. Technol. 2010, 44, 3947–3955. [Google Scholar] [CrossRef]
- Song, C.; Ikei, H.; Igarashi, M.; Miwa, M.; Takagaki, M.; Miyazaki, Y. Physiological and psychological responses of young males during spring-time walks in urban parks. J. Physiol. Anthropol. 2014, 33, 8. [Google Scholar] [CrossRef]
- Bowler, D.E.; Buyung-Ali, L.M.; Knight, T.M.; Pullin, A.S. A systematic review of evidence for the added benefits to health of exposure to natural environments. BMC Public Health 2010, 10, 456. [Google Scholar] [CrossRef]
- Araujo, D.; Davids, K. Ecological approaches to cognition and action in sport and exercise: Ask not only what you do, but where you do it. Int. J. Sport Psychol. 2009, 40, 5. [Google Scholar]
- Sussman, A.; Hollander, J. Cognitive Architecture: Designing for How We Respond to the Built Environment; Routledge: London, UK, 2021. [Google Scholar]
- Veitch, J.A.; Charles, K.E.; Farley, K.M.J.; Newsham, G.R. A model of satisfaction with open-plan office conditions: COPE field findings. J. Environ. Psychol. 2007, 27, 177–189. [Google Scholar] [CrossRef]
- Li, H.; Ding, Y.; Zhao, B.; Xu, Y.; Wei, W. Effects of immersion in a simulated natural environment on stress reduction and emotional arousal: A systematic review and meta-analysis. Front. Psychol. 2023, 13, 1058177. [Google Scholar] [CrossRef]
- Calogiuri, G.; Litleskare, S.; Fagerheim, K.A.; Rydgren, T.L.; Brambilla, E.; Thurston, M. Experiencing Nature through Immersive Virtual Environments: Environmental Perceptions, Physical Engagement, and Affective Responses during a Simulated Nature Walk. Front. Psychol. 2017, 8, 2321. [Google Scholar] [CrossRef] [PubMed]
- Ekkekakis, P.; Hargreaves, E.A.; Parfitt, G. Invited Guest Editorial: Envisioning the next fifty years of research on the exercise–affect relationship. Psychol. Sport Exerc. 2013, 14, 751–758. [Google Scholar] [CrossRef]
- White, M.P.; Pahl, S.; Ashbullby, K.J.; Burton, F.; Depledge, M.H. The Effects of Exercising in Different Natural Environments on Psycho-Physiological Outcomes in Post-Menopausal Women: A Simulation Study. Int. J. Environ. Res. Public Health 2015, 12, 11929–11953. [Google Scholar] [CrossRef] [PubMed]
- Gill, D.L.; Williams, L.; Reifsteck, E.J. Psychological Dynamics of Sport and Exercise; Human Kinetics: Champaign, IL, USA, 2017. [Google Scholar]
- Yeh, H.P.; Stone, J.A.; Churchill, S.M.; Brymer, E.; Davids, K. Physical and Emotional Benefits of Different Exercise Environments Designed for Treadmill Running. Int. J. Environ. Res. Public Health 2017, 14, 752. [Google Scholar] [CrossRef]
- Harte, J.L.; Eifert, G.H. The Effects of Running, Environment, and Attentional Focus on Athletes’ Catecholamine and Cortisol-Levels and Mood. Psychophysiology 1995, 32, 49–54. [Google Scholar] [CrossRef]
- Kweon, B.S.; Ulrich, R.S.; Walker, V.D.; Tassinary, L.G. Anger and stress: The role of landscape posters in an office setting. Environ. Behav. 2008, 40, 355–381. [Google Scholar] [CrossRef]
- Jeannerod, M. A theory of representation-driven actions. In The Perceived Self-Ecological and Interpersonal Sources of Self-Knowledge; Cambridge University Press: Cambridge, UK, 1993. [Google Scholar]
- Shi, L.G.; Zhang, Y.X.; Wang, Z.L.; Cheng, X.Y.; Yan, H.Z. Luminance parameter thresholds for user visual comfort under daylight conditions from subjective responses and physiological measurements in a gymnasium. Build. Environ. 2021, 205, 108187. [Google Scholar] [CrossRef]
- Kong, G.; Chen, P.; Wang, L.; Chen, S.; Yu, J. Calibration of brightness of virtual reality light sources based on user perception in the real environment. J. Build. Eng. 2023, 78, 107702. [Google Scholar] [CrossRef]
- Credé, M.; Niehorster, S. Adjustment to college as measured by the student adaptation to college questionnaire: A quantitative review of its structure and relationships with correlates and consequences. Educ. Psychol. Rev. 2012, 24, 133−165. [Google Scholar] [CrossRef]
- Araújo, D.; Davids, K.; Renshaw, I. Cognition, emotion and action in sport: An ecological dynamics perspective. In Handbook of Sport Psychology; Wiley: Hoboken, NJ, USA, 2020; pp. 535–555. [Google Scholar]
- McCarthy, P.J. Positive emotion in sport performance: Current status and future directions. Int. Rev. Sport Exerc. Psychol. 2011, 4, 50–69. [Google Scholar] [CrossRef]
- Zimmer, Z.; Lin, H.S. Leisure activity and well-being among the elderly in Taiwan: Testing hypotheses in an Asian setting. J. Cross-Cult. Gerontol. 1996, 11, 167–186. [Google Scholar] [CrossRef] [PubMed]
- Lochbaum, M.; Zanatta, T.; Kirschling, D.; May, E. The Profile of Moods States and athletic performance: A meta-analysis of published studies. Eur. J. Investig. Health Psychol. Educ. 2021, 11, 50–70. [Google Scholar] [CrossRef] [PubMed]
- Bradley, M.M.; Lang, P.J. Measuring emotion: The self-assessment manikin and the semantic differential. J. Behav. Ther. Exp. Psychiatry 1994, 25, 49–59. [Google Scholar] [CrossRef] [PubMed]
- Watson, D.; Clark, L.A.; Tellegen, A. Development and validation of brief measures of positive and negative affect: The PANAS scales. J. Personal. Soc. Psychol. 1988, 54, 1063. [Google Scholar] [CrossRef] [PubMed]
- Molanorouzi, K.; Khoo, S.; Morris, T. Validating the Physical Activity and Leisure Motivation Scale (PALMS). BMC Public Health 2014, 14, 909. [Google Scholar] [CrossRef]
- Maffei, L.; Iannace, G.; Masullo, M.; Nataletti, P. Noise exposure in school gymnasia and swimming pools. Noise Control. Eng. J. 2009, 57, 603–612. [Google Scholar] [CrossRef]
- Lee, S.; Cinn, E.; Yan, J.; Jung, J. Using an Eye Tracker to Study Three-Dimensional Environmental Aesthetics: The Impact of Architectural Elements and Educational Training on Viewers’ visual Attention. J. Archit. Plan. Res. 2015, 32, 145–167. [Google Scholar]
- Kitazawa, K.; Fujiyama, T. Pedestrian vision and collision avoidance behavior: Investigation of the information process space of pedestrians using an eye tracker. In Pedestrian and Evacuation Dynamics; Springer: New York, NY, USA, 2009; pp. 95–108. [Google Scholar]
- Gibson, J.J. The Ecological Approach to Visual Perception; Psychology Press: New York, NY, USA, 1986. [Google Scholar]
- Fisher, D.L.; Pradhan, A.K.; Pollatsek, A.; Knodler, M.A., Jr. Empirical evaluation of hazard anticipation behaviors in the field and on driving simulator using eye tracker. Transp. Res. Rec. 2007, 2018, 80–86. [Google Scholar] [CrossRef]
- Palinko, O.; Kun, A.L.; Shyrokov, A.; Heeman, P. Estimating cognitive load using remote eye tracking in a driving simulator. In Proceedings of the 2010 Symposium on Eye-Tracking Research & Applications, Austin, TX, USA, 22–24 March 2010; pp. 141–144. [Google Scholar]
- Portman, M.E.; Natapov, A.; Fisher-Gewirtzman, D.J.C. To go where no man has gone before: Virtual reality in architecture, landscape architecture and environmental planning. Comput. Environ. Urban Syst. 2015, 54, 376–384. [Google Scholar] [CrossRef]
- Scorpio, M.; Laffi, R.; Teimoorzadeh, A.; Ciampi, G.; Masullo, M.; Sibilio, S. A calibration methodology for light sources aimed at using immersive virtual reality game engine as a tool for lighting design in buildings. J. Build. Eng. 2022, 48, 103998. [Google Scholar] [CrossRef]
- Buscema, M. Back propagation neural networks. Subst. Use Misuse 1998, 33, 233–270. [Google Scholar] [CrossRef] [PubMed]
- Al Mindeel, T.; Spentzou, E.; Eftekhari, M. Energy, thermal comfort, and indoor air quality: Multi-objective optimization review. Renew. Sustain. Energy Rev. 2024, 202, 114682. [Google Scholar] [CrossRef]
- Escandón, R.; Ascione, F.; Bianco, N.; Mauro, G.M.; Suárez, R.; Sendra, J.J. Thermal comfort prediction in a building category: Artificial neural network generation from calibrated models for a social housing stock in southern Europe. Appl. Therm. Eng. 2019, 150, 492–505. [Google Scholar] [CrossRef]
- Kerdan, I.G.; Gálvez, D.M. Artificial neural network structure optimisation for accurately prediction of exergy, comfort and life cycle cost performance of a low energy building. Appl. Energy 2020, 280, 115862. [Google Scholar] [CrossRef]
- Lopez-Perez, L.A.; Flores-Prieto, J.J.; Rios-Rojas, C. Comfort temperature prediction according to an adaptive approach for educational buildings in tropical climate using artificial neural networks. Energy Build. 2021, 251, 111328. [Google Scholar] [CrossRef]
- Zhang, W.; Wu, Y.; Calautit, J.K. A review on occupancy prediction through machine learning for enhancing energy efficiency, air quality and thermal comfort in the built environment. Renew. Sustain. Energy Rev. 2022, 167, 112704. [Google Scholar] [CrossRef]
- Wang, Z.; Calautit, J.; Tien, P.W.; Wei, S.; Zhang, W.; Wu, Y.; Xia, L. An occupant-centric control strategy for indoor thermal comfort, air quality and energy management. Energy Build. 2023, 285, 112899. [Google Scholar] [CrossRef]
- Ogundiran, J.; Asadi, E.; Gameiro da Silva, M. A Systematic Review on the Use of AI for Energy Efficiency and Indoor Environmental Quality in Buildings. Sustainability 2024, 16, 3627. [Google Scholar] [CrossRef]
- Kazanasmaz, T.; Günaydin, M.; Binol, S. Artificial neural networks to predict daylight illuminance in office buildings. Build. Environ. 2009, 44, 1751–1757. [Google Scholar] [CrossRef]
- Nicoletti, F.; Kaliakatsos, D.; Parise, M. Optimizing the control of Venetian blinds with artificial neural networks to achieve energy savings and visual comfort. Energy Build. 2023, 294, 113279. [Google Scholar] [CrossRef]
- Li, R.; Yuizono, T.; Li, X. Affective computing of multi-type urban public spaces to analyze emotional quality using ensemble learning-based classification of multi-sensor data. PLoS ONE 2022, 17, e0269176. [Google Scholar] [CrossRef] [PubMed]
- Gharavian, D.; Sheikhan, M.; Nazerieh, A. Garoucy Speech emotion recognition using FCBF feature selection method and GA-optimized fuzzy ARTMAP neural network. Neural Comput. Appl. 2012, 21, 2115–2126. [Google Scholar] [CrossRef]
- Rutten, D. Galapagos: On the Logic and Limitations of Generic Solvers. Archit. Des. 2013, 83, 132–135. [Google Scholar] [CrossRef]
- González, J.; Fiorito, F.J.B. Daylight design of office buildings: Optimisation of external solar shadings by using combined simulation methods. Buildings 2015, 5, 560–580. [Google Scholar] [CrossRef]
- Phomsoupha, M.; Laffaye, G. The science of badminton: Game characteristics, anthropometry, physiology, visual fitness and biomechanics. Sports Med. 2015, 45, 473–495. [Google Scholar] [CrossRef]
- Kuo, K.P.; Tsai, H.H.; Lin, C.Y.; Wu, W.T. Verification and evaluation of a visual reaction system for badminton training. Sensors 2020, 20, 6808. [Google Scholar] [CrossRef]
- Niehorster, D.C.; Hessels, R.S.; Benjamins, J.S. GlassesViewer: Open-source software for viewing and analyzing data from the Tobii Pro Glasses 2 eye tracker. Behav. Res. Methods 2020, 52, 1244–1253. [Google Scholar] [CrossRef]
- Niehorster, D.C.; Hildebrandt, M.; Smoker, A.; Jarodzka, H.; Dahlströhm, N. Towards eye tracking as a support tool for pilot training and assessment. In Eye-Tracking in Aviation. Proceedings of the 1st International Workshop; ISAE−SUPAERO, Université de Toulouse; Institute of Cartography and Geoinformation (IKG), ETH Zurich: Zurich, Switzerland, 2020; pp. 17–28. [Google Scholar]
- Olsen, A. The Tobii I−VT fixation filter. Tobii Technol. 2012, 21, 4−19. [Google Scholar]
- JGJ 31-2003; Design Code for Sports Building. Ministry of Housing and Urban-Rural Development: Beijing, China, 2003.
- Zhou, J.; An, R.; Zhang, H.; Liu, Y. Orthogonal design of pharmaceutical experiment based on SPSS. In Information Computing and Applications, Proceedings of the Third International Conference, ICICA 2012, Chengde, China, 14–16 September 2012; Springer: Berlin/Heidelberg, Germany, 2012; Proceedings, Part II 3; pp. 552–560. [Google Scholar]
- Bakker, I.; Van Der Voordt, T.; Vink, P.; De Boon, J. Pleasure, arousal, dominance: Mehrabian and Russell revisited. Curr. Psychol. 2014, 33, 405–421. [Google Scholar] [CrossRef]
- Aries, M.B.; Veitch, J.A.; Newsham, G.R. Windows, view, and office characteristics predict physical and psychological discomfort. J. Environ. Psychol. 2010, 30, 533–541. [Google Scholar] [CrossRef]
- Cucciniello, I.; Sangiovanni, S.; Maggi, G.; Rossi, S. Validation of robot interactive behaviors through users emotional perception and their effects on trust. In Proceedings of the 2021 30th IEEE International Conference on Robot & Human Interactive Communication (RO-MAN), Vancouver, BC, Canada, 8–12 August 2021; pp. 197–202. [Google Scholar]
- Buechel, S.; Hahn, U. Emobank: Studying the impact of annotation perspective and representation format on dimensional emotion analysis. arXiv 2022, arXiv:2205.01996. [Google Scholar]
- Crispim, A.C.; Archer, A.B.; Cruz, R.M. Methodological issues about affect: A systematic review about assessment tests of affect. Int. J. Educ. Soc. Sci. 2014, 1, 118–126. [Google Scholar]
- Akoglu, H. User’s guide to correlation coefficients. Turk. J. Emerg. Med. 2018, 18, 91–93. [Google Scholar] [CrossRef]
- Shafighfard, T.; Kazemi, F.; Asgarkhani, N.; Yoo, D.Y. Machine−learning methods for estimating compressive strength of high−performance alkali−activated concrete. Eng. Appl. Artif. Intell. 2024, 136, 109053. [Google Scholar] [CrossRef]
- Zeng, X.; Luo, P.; Wang, T.; Wang, H.; Shen, X.J.B. Building and Environment Screening visual environment impact factors and the restorative effect of four visual environment components in large-space alternative care facilities. Build. Environ. 2023, 235, 110221. [Google Scholar] [CrossRef]
- Steyerberg, E.W.; van der Ploeg, T.; Van Calster, B. Risk prediction with machine learning and regression methods. Biom. J. 2014, 56, 601–606. [Google Scholar] [CrossRef]
- Song, Y.Y.; Ying, L.U. Decision tree methods: Applications for classification and prediction. Shanghai Arch. Psychiatry 2015, 27, 130. [Google Scholar]
- Chauhan, V.K.; Dahiya, K.; Sharma, A. Problem formulations and solvers in linear SVM: A review. Artif. Intell. Rev. 2019, 52, 803–855. [Google Scholar] [CrossRef]
- Guo, G.; Wang, H.; Bell, D.; Bi, Y.; Greer, K. KNN model-based approach in classification. In On The Move to Meaningful Internet Systems 2003: CoopIS, DOA, and ODBASE, Proceedings of the OTM Confederated International Conferences, CoopIS, DOA, and ODBASE 2003, Catania, Italy, 3–7 November 2003; Springer: Berlin/Heidelberg, 2003; pp. 986–996. [Google Scholar]
- Agatonovic-Kustrin, S.; Beresford, R. Basic concepts of artificial neural network (ANN) modeling and its application in pharmaceutical research. J. Pharm. Biomed. Anal. 2000, 22, 717–727. [Google Scholar] [CrossRef]
- Lambora, A.; Gupta, K.; Chopra, K. Genetic algorithm—A literature review. In Proceedings of the 2019 International Conference on Machine Learning, Big Data, Cloud and Parallel Computing (COMITCon), Faridabad, India, 14–16 February 2019; pp. 380–384. [Google Scholar]
- Ting, C.-K. On the Mean Convergence Time of Multi-parent Genetic Algorithms Without Selection. In Advances in Artificial Life, Proceedings of the 8th European Conference, ECAL 2005, Canterbury, UK, 5–9 September 2005; pp. 403–412. ISBN 978-3-540-288483540288481.
- Manni, M.; Lobaccaro, G.; Lolli, N.; Bohne, R.A. Parametric Design to Maximize Solar Irradiation and Minimize the Embodied GHG Emissions for a ZEB in Nordic and Mediterranean Climate Zones. Energies 2020, 13, 4981. [Google Scholar] [CrossRef]
- Ilbeigi, M.; Ghomeishi, M.; Dehghanbanadaki, A. Prediction and optimization of energy consumption in an office building using artificial neural network and a genetic algorithm. Sustain. Cities Soc. 2020, 61, 102325. [Google Scholar] [CrossRef]
- Hong, X.; Zhang, W.; Chu, Y.; Zhu, W. Study on Subjective Evaluation of Acoustic Environment in Urban Open Space Based on “Effective Characteristics”. Int. J. Environ. Res. Public Health 2022, 19, 9231. [Google Scholar] [CrossRef] [PubMed]
- Zhang, F.; de Dear, R.; Hancock, P. Effects of moderate thermal environments on cognitive performance: A multidisciplinary review. Appl. Energy 2019, 236, 760–777. [Google Scholar] [CrossRef]
- Blauert, J. Spaces speak, are you listening? Experiencing aural architecture. J. Acoust. Soc. Am. 2007, 121, 1820–1821. [Google Scholar] [CrossRef]
- Ding, X.; Guo, X.; Lo, T.T.; Ke, W. The spatial environment affects human emotion perception-using physiological signal modes. In Proceedings of the 27th International Conference of the Association for Computer-Aided Architectural Design Research in Asia (CAADRIA), Sydney, Australia, 9–15 April 2022. [Google Scholar]
- Zadra, J.R.; Clore, G.L. Emotion and perception: The role of affective information. Wiley Interdiscip. Rev. Cogn. Sci. 2011, 2, 676–685. [Google Scholar] [CrossRef]
- Gutiérrez-Martín, L.; Romero-Perales, E.; de Baranda Andújar, C.S.; Canabal-Benito, F.M.; Rodríguez-Ramos, G.E.; Toro-Flores, R.; López-Ongil, S.; López-Ongil, C. Fear detection in multimodal affective computing: Physiological signals versus catecholamine concentration. Sensors 2022, 22, 4023. [Google Scholar] [CrossRef]
- Diez-Fernández, P.; Ruibal-Lista, B.; Rico-Díaz, J.; Rodríguez-Fernández, J.E.; López-García, S. Performance Factors in Sport Climbing: A Systematic Review. Sustainability 2023, 15, 16687. [Google Scholar] [CrossRef]
- Madden, D.J.; Whiting, W.L.; Huettel, S.A. Age-related changes in neural activity during visual perception and attention. In Cognitive Neuroscience of Aging: Linking Cognitive and Cerebral Aging; Oxford University Press: Oxford, UK, 2005; pp. 157–185. [Google Scholar]
- Levine, B.K.; Beason, L.L.; Purpura, K.P.; Aronchick, D.M.; Optican, L.M.; Alexander, G.E.; Horwitz, B.; Rapoport, S.I.; Schapiro, M.B. Age-related differences in visual perception: A PET study. Neurobiol. Aging 2000, 21, 577–584. [Google Scholar] [CrossRef]















| Number | Factor of Neutrality | Adjective Pairs | 
|---|---|---|
| 1 | Color-H | Cold–Warm | 
| 2 | Color-S | High–Low | 
| 3 | Color-V | Brightness–Darkness | 
| 4 | Texture (Smoothness to roughness) | Smoothness–Roughness | 
| 5 | Texture (Transparent to opaque) | Transparent–Opaque | 
| 6 | Texture (Natural to artificial) | Natural–Artificial | 
| 7 | Height | High–Low | 
| 8 | Length-to-width ratio | Wide–Narrow | 
| 9 | Roof Slope | High–Low | 
| 10 | Illuminance | Brightness–Darkness | 
| 11 | Color temperature | Cold–Warm | 
| 12 | Proportion of natural light | Natural light dominated–Artificial light dominated | 
|  | ||
| Case | A | B | C | D | E | F | G | 
|---|---|---|---|---|---|---|---|
| W × L × H (meter) | 28 × 20 × 6 | 28 × 20 × 9 | 15 × 30 × 7 | 60 × 30 × 20 | 45 × 50 × 8 | 30 × 20 × 7 | 15 × 30 × 9 | 
| Window | High side and Top | Full side | High side | High side | High side | Full side | Middle side | 
| 9:00 a.m. average illumination (Lx) | 185 | 344 | 144 | 102 | 156 | 304 | 166 | 
| 15:00 p.m. average illumination (Lx) | 322 | 438 | 387 | 277 | 414 | 542 | 323 | 
| Material | White and Wood | White | Blue and Wood | White and Wood | Blue | White | Green | 
| Graph |  |  |  |  |  |  |  | 
| Element of Visual Perception | |||||
|---|---|---|---|---|---|
| Entities Elements | Color | Texture | Geometry | ||
| Saturation | Proportion of natural materials | Transparency | height | slope | |
| Roof | Yes | No | No | Yes | Yes | 
| Back wall | Yes | Yes | No | No | No | 
| Non-entities Elements | Illuminance | Proportion of natural light | Color temperature | ||
| Light | Yes | No | No | ||
| Solution Set 1 | Solution Set 2 | Solution Set 3 | … | Solution Set 35 | Range | |
|---|---|---|---|---|---|---|
| IL (lx) | 778.32 | 797.28 | 847.79 | … | 874.43 | 778.32–874.43 | 
| Ht (m) | 15.27 | 16.36 | 17.37 | … | 19.60 | 15.27–19.60 | 
| RSa | 95.23 | 95.66 | 96.20 | … | 96.90 | 95.23–96.20 | 
| RS (°) | 14.03 | 14.88 | 17.23 | … | 18.07 | 14.03–18.07 | 
| BN (%) | 66.09 | 75.18 | 78.63 | … | 81.46 | 66.09–81.46 | 
| BSa | 58.01 | 66.30 | 69.00 | … | 76.51 | 58.01–76.51 | 
| P (Predict) | 5 | 5 | 4 | … | 4 | 4–5 | 
| A (Predict) | 5 | 5 | 5 | … | 5 | 5 | 
| D (Predict) | 5 | 4 | 5 | … | 4 | 4–5 | 
| W (Predict) | 5 (5.11) | 5 (4.86) | 5 (4.80) | … | 5 (4.54) | 5 (4.54–5.11) | 
| Real Scene of Original Sports Environment | VR Scene of Original Sports Environment | VR Scene of Renovated Sports Environment | |
|---|---|---|---|
| Graph |  |  |  | 
| IL (lx) | 500 | 500 | 864.25 | 
| Ht (m) | 14 | 14 | 14 | 
| RSa | 0 | 0 | 94.75 | 
| RS (°) | 8 | 8 | 8 | 
| BN (%) | 0 | 0 | 80.53 | 
| BSa | 25 | 25 | 62.42 | 
| Predicted P | - | 3.00 | 4.00 | 
| Average of scored P | 2.70 | 2.60 | 3.45 | 
| Range of scored P | 1.00–5.00 | 1.00–4.00 | 2.00–5.00 | 
| Predicted A | - | 4.00 | 5.00 | 
| Average of scored A | 4.00 | 3.95 | 4.70 | 
| Range of scored A | 3.00–5.00 | 3.00–5.00 | 3.00–5.00 | 
| Predicted D | - | 3.00 | 5.00 | 
| Average of scored D | 3.15 | 2.85 | 4.75 | 
| Range of scored D | 3.00–4.00 | 2.00–4.00 | 3.00–5.00 | 
| Predicted W | - | 3.52 | 4.80 | 
| Average of scored W | 3.85 | 3.75 | 4.60 | 
| Range of scored W | 3.00–5.00 | 2.00–5.00 | 3.00–5.00 | 
| Disclaimer/Publisher’s Note: The statements, opinions and data contained in all publications are solely those of the individual author(s) and contributor(s) and not of MDPI and/or the editor(s). MDPI and/or the editor(s) disclaim responsibility for any injury to people or property resulting from any ideas, methods, instructions or products referred to in the content. | 
© 2024 by the authors. Licensee MDPI, Basel, Switzerland. This article is an open access article distributed under the terms and conditions of the Creative Commons Attribution (CC BY) license (https://creativecommons.org/licenses/by/4.0/).
Share and Cite
Wang, T.; Luo, P.; Xia, S. Enhancing Visual Perception in Sports Environments: A Virtual Reality and Machine Learning Approach. Buildings 2024, 14, 4012. https://doi.org/10.3390/buildings14124012
Wang T, Luo P, Xia S. Enhancing Visual Perception in Sports Environments: A Virtual Reality and Machine Learning Approach. Buildings. 2024; 14(12):4012. https://doi.org/10.3390/buildings14124012
Chicago/Turabian StyleWang, Taiyang, Peng Luo, and Sihan Xia. 2024. "Enhancing Visual Perception in Sports Environments: A Virtual Reality and Machine Learning Approach" Buildings 14, no. 12: 4012. https://doi.org/10.3390/buildings14124012
APA StyleWang, T., Luo, P., & Xia, S. (2024). Enhancing Visual Perception in Sports Environments: A Virtual Reality and Machine Learning Approach. Buildings, 14(12), 4012. https://doi.org/10.3390/buildings14124012
 
        


 
       