Methods to Stimulate the Proactivity of Enterprises in Fulfilling Safety Responsibilities: A Fundamental Issue in Construction Safety Management
Abstract
1. Introduction
2. Literature Review
2.1. Application of Evolutionary Game Theory in Construction Safety Research
2.2. Stakeholders Associated with Safety Responsibilities
3. Methodology
3.1. Fundamental Assumptions
3.2. Model Establishment
3.3. Evolutionary Equilibrium and Stability Analysis
4. Results and Discussion
4.1. Model Valuation and Validity Verification
4.2. Univariate Sensitivity Analysis
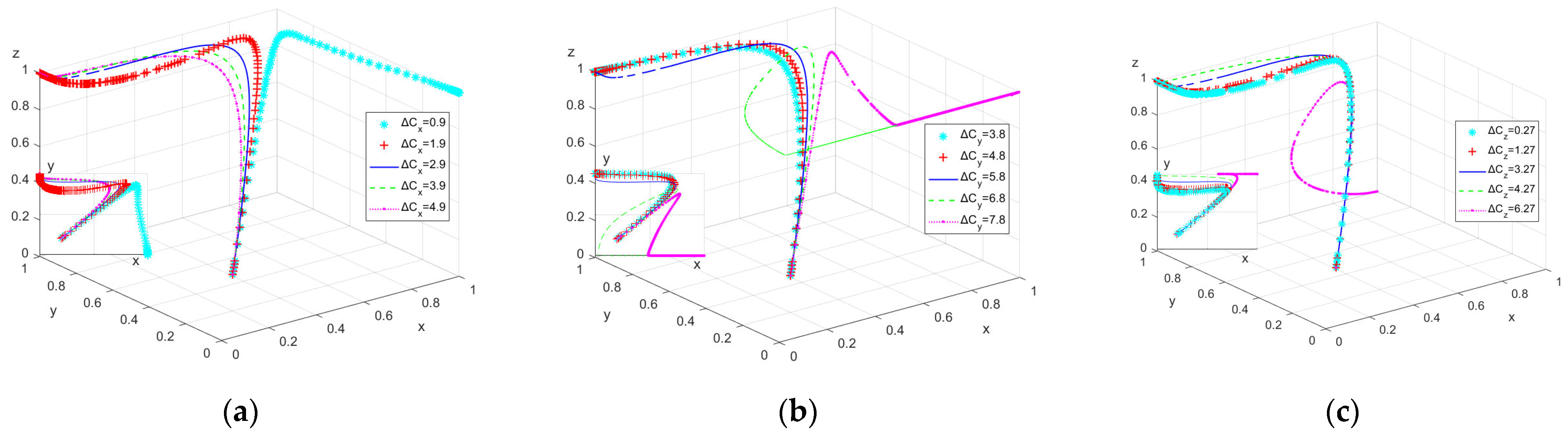
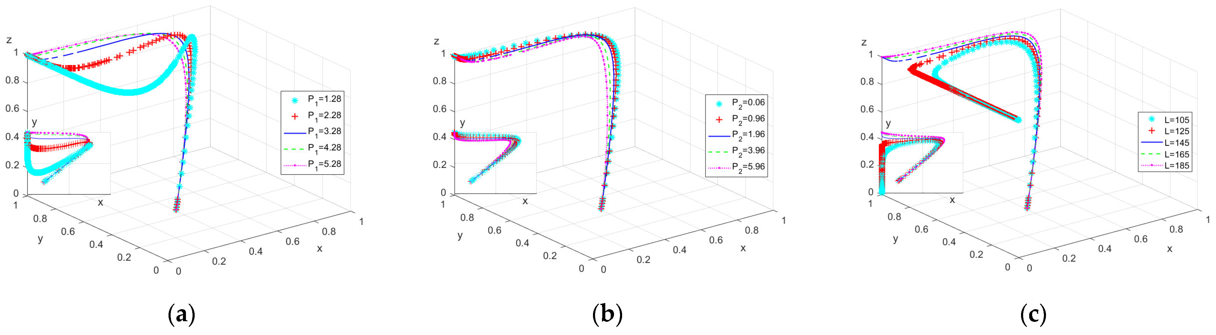
4.2.1. Impacts of Safety Investment on System Evolution
4.2.2. Impacts of Reward Amounts on System Evolution
4.2.3. Impacts of Breach Compensation Amounts and Accident-Related Losses on System Evolution
4.2.4. The Impact of Rent-Seeking Amounts on System Evolution
5. Conclusions and Implications
5.1. Conclusions
- (1)
- Through the analysis of stable strategies, it was found that the contradiction between safety investment and accident-related losses is the core contradiction among the three parties. All the three participants minimize safety investment under the premise of small expected losses, so the strategy combination of effective supervision, proactive management, and active safety investment cannot be realized. Strictly cracking down on negative management and Passive Safety Investment, reasonably controlling the amount of the reward, and increasing the punishment intensity of safety accidents are conducive to enhancing the initiative of general contractors and labor subcontractors in safety management.
- (2)
- Under the premise of a perfect reward-and-punishment system, active safety investment is the evolution and stability strategy of the labor subcontractor. The amount of reward and punishment, accident-related losses, and safety input are the most important factors to determine the evolution and stability strategy of the labor subcontractor. Under the condition of the strict implementation of legal provisions and a clear reward-and-punishment system, the probability of a labor subcontractor choosing active safety investment gradually increases with time.
- (3)
- According to the simulation results, it is challenging to achieve simultaneous diligence on the part of both the supervision companies and the general contractors. Reducing the safety investment of general contracting and labor subcontractors, increasing the rewards for labor subcontractors, and combating rent-seeking behaviors between the supervision companies and the general contractors can encourage supervision companies to opt for effective supervision. Reducing the safety investment by supervision companies, decreasing the amount of rewards for labor subcontractors, increasing the penalties for safety incidents, and enhancing the costs associated with rent-seeking activities are conducive to general contractors choosing proactive management.
- (4)
- The safety input of the general contractor, the amount of rent-seeking, the amount of a reward given to the labor subcontractor, and the accident-related losses have a great impact on the evolution direction of the system. Strictly supervising the safety input status of the general contractors, increasing the compensation for the breach of contract of the general contractors and increasing the punishment for safety accidents are conducive to improving the evolution speed, and thus saving social resources.
- (1)
- It is essential to strengthen the management of construction labor subcontracting contracts by incorporating the safety supervision reward and the penalty mechanisms into the labor subcontracting bidding contracts and by reasonably controlling the amount of rewards. The stringent oversight of the contract performance during the construction process is necessary; if frequent safety hazards occur at the construction site, the general contractor will be held accountable.
- (2)
- It is imperative to enhance surveillance throughout the construction process, particularly to rigorously combat the rent-seeking behaviors between the supervision units and the general contractor.
- (3)
- It is crucial to reinforce the division of labor and coordination among the organizations at the construction site, clearly defining their respective responsibilities, penalizing “free-riding” behaviors, and fostering a positive safety culture of mutual cooperation.
5.2. Limitations and Future Work
Author Contributions
Funding
Data Availability Statement
Acknowledgments
Conflicts of Interest
References
- Dehdasht, G.; Ferwati, M.S.; Zin, R.M.; Abidin, N.Z. A hybrid approach using entropy and TOPSIS to select key drivers for a successful and sustainable lean construction implementation. PLoS ONE 2020, 15, e0228746. [Google Scholar] [CrossRef] [PubMed]
- Low, B.K.L.; Man, S.S.; Chan, A.H.S. The risk-taking propensity of construction workers—An application of Quasi-expert interview. Int. J. Environ. Res. Public Health 2018, 15, 2250. [Google Scholar] [CrossRef] [PubMed]
- Wu, F.; Xu, H.; Sun, K.S.; Hsu, W.L. Analysis of behavioral strategies of construction safety subjects based on the evolutionary game theory. Buildings 2022, 12, 313. [Google Scholar] [CrossRef]
- Saleem, M.S.; Isha, A.S.N.; Yusop, Y.M.; Awan, M.I.; Naji, G.M.A. The role of psychological capital and work engagement in enhancing construction workers’ safety behavior. Front. Public Health 2022, 10, 810145. [Google Scholar] [CrossRef]
- National Engineering Quality and Safety Supervision Information Platform. Accident Situation of Housing and Municipal Engineering Production Safety. Public Service Portal, Homepage. 2024. Available online: https://zlaq.mohurd.gov.cn/fwmh/bjxcjgl/fwmh/pages/default/index.html (accessed on 3 September 2024).
- Wang, D.; Wang, L.; Wei, S.; Yu, P.; Sun, H.; Jiang, X.; Hu, Y. Effects of authoritarian leadership on employees’ safety behavior: A moderated mediation model. Front. Public Health 2022, 10, 846842. [Google Scholar] [CrossRef]
- Bird, F.E. Management Guide to Loss Control; International Safety Academy: Houston, TX, USA, 1974. [Google Scholar]
- Zhang, W.; Zhu, S.; Zhang, X.; Zhao, T. Identification of critical causes of construction accidents in China using a model based on system thinking and case analysis. Saf. Sci. 2020, 121, 606–618. [Google Scholar] [CrossRef]
- Pereira, E.; Ahn, S.; Han, S.; Abourizk, S. Finding causal paths between safety management system factors and accident precursors. J. Manag. Eng. 2020, 36, 04019049. [Google Scholar] [CrossRef]
- Jin, L.H.; Wang, Q.S.; Shao, B.; Wang, X.Y.; Min, L. Analysis of the co-occurrence characteristics of construction safety production accidents causation in construction engineering. Saf. Environ. Eng. 2024, accept. [Google Scholar]
- Xi’an Bureau of Emergency Management. Investigation Report on the “11·9” Major Collapse Accident in Gaoxin District. 2023. Available online: https://yjglj.xa.gov.cn/gk/zdlyxxgk/sgxx/1714478439685783553.html (accessed on 3 September 2024).
- Zhongshan Cuiheng New Area Management Committee. Investigation Report on the “6·16” General Production Safety Accident of Guangdong Jishengjia Construction Engineering Co., Ltd. 2022. Available online: https://www.zs.gov.cn/zschq/gkmlpt/content/2/2183/post_2183654.html#1550 (accessed on 22 July 2024).
- JSSZFHCXJST.JIANGSU.GOV.CN. Issuance of the “Jiangsu Province Construction Construction Safety Management Practical Manual (2023 Edition)”. 2023. Available online: https://jsszfhcxjst.jiangsu.gov.cn/art/2023/12/26/art_49384_11109640.html (accessed on 3 August 2024).
- Hangzhou Urban and Rural Construction Committee. Issuance of the “Hangzhou Construction and Engineering Implementation Plan for the ‘Year of Implementing Enterprise Safety Production Responsibilities’ Special Action”. 2023. Available online: https://cxjw.hangzhou.gov.cn/art/2023/4/14/art_1692623_58916596.html (accessed on 4 August 2024).
- Central People’s Government of China. Ministry of Housing and Urban-Rural Development: Notice on Launching the Three-Year Action Plan for Root Treatment and Strict Control of Safety Production in Housing and Municipal Engineering. 2024. Available online: https://www.gov.cn/zhengce/zhengceku/202404/content_6945484.htm (accessed on 26 August 2024).
- Li, W.; Huang, H.; Solomon, T.; Esmaeili, B.; Yu, L.-F. Synthesizing Personalized Construction Safety Training Scenarios for VR Training. IEEE Trans. Vis. Comput. Graph. 2022, 28, 1993–2002. [Google Scholar] [CrossRef]
- Luo, Z.; Guo, J.; Han, J.; Wang, Y. Research on the construction safety risk assessment of prefabricated subway stations in China. Eng. Constr. Arch. Manag. 2024, 31, 1751–1787. [Google Scholar] [CrossRef]
- Al-Bayati, A.J.; Aramali, V.; Ko, C.H. Assessing Usability of Construction Safety Culture and Climate Framework: A Crucial Method for Advancing Construction Safety. In Proceedings of the Construction Research Congress 2024, Des Moines, Iowa, 20–23 March 2024; pp. 417–424. [Google Scholar]
- Hussain, R.; Sabir, A.; Lee, D.Y.; Zaidi, S.F.A.; Pedro, A.; Abbas, M.S.; Park, C. Conversational AI-based VR system to improve construction safety training of migrant workers. Autom. Constr. 2024, 160, 105315. [Google Scholar] [CrossRef]
- Cheung, W.F.; Lin, T.H.; Lin, Y.C. A real-time construction safety monitoring system for hazardous gas integrating wireless sensor network and building information modeling technologies. Sensors 2018, 18, 436. [Google Scholar] [CrossRef] [PubMed]
- Kim, H.; Park, S.; Yeom, M.; Shim, H.; Park, S.; Kim, J. Bluetooth Load-Cell-Based Support-Monitoring System for Safety Management at a Construction Site. Sensors 2022, 22, 3955. [Google Scholar] [CrossRef] [PubMed]
- Ning, X.; Qiu, Y.; Wu, C.; Jia, K. Developing a Decision-Making Model for Construction Safety Behavior Supervision: An Evolutionary Game Theory-Based Analysis. Front. Psychol. 2022, 13, 861828. [Google Scholar] [CrossRef]
- Yao, Y.; Feng, J.; Yang, Q. Impact of financing constraints on firm performance: Moderating effect based on firm size. Comput. Intell. Neurosci. 2022, 2022, 1954164. [Google Scholar] [CrossRef]
- Ayhan, B.U.; Tokdemir, O.B. Predicting the outcome of construction incidents. Saf. Sci. 2019, 113, 91–104. [Google Scholar] [CrossRef]
- Huang, J.; Wu, Y.; Han, Y.; Yin, Y.; Gao, G.; Chen, H. An evolutionary game-theoretic analysis of construction workers’ unsafe behavior: Considering incentive and risk loss. Front. Public Health 2022, 10, 991994. [Google Scholar] [CrossRef]
- McKinsey, J.C.C. Some Notions and Problems of Game Theory; Wiley: New York, NY, USA, 1952; pp. 591–611. [Google Scholar]
- Min, Z.; Dai, F.-Q. Advances in Natural Computation: Second International Conference, ICNC 2006, Changsha, China, 24–28 September 2006; Proceedings, Part II 2; Springer: Berlin/Heidelberg, Germany, 2006; pp. 466–469. [Google Scholar]
- Chen, B.; Chen, J.; Huang, S. Based on Evolutionary Game Analysis of the Construction Safety Supervision. Manag. Eng. 2017, 27, 16. [Google Scholar]
- Liu, J.; Wang, X.; Liu, T. Behavior choice mechanisms and tax incentive mechanisms in the game of construction safety. Buildings 2022, 12, 1078. [Google Scholar] [CrossRef]
- Jiang, X.; Sun, H.; Lu, K.; Lyu, S.; Skitmore, M. Using evolutionary game theory to study construction safety supervisory mechanism in China. Eng. Constr. Arch. Manag. 2023, 30, 514–537. [Google Scholar] [CrossRef]
- Guo, F.; Wang, J.; Liu, D.; Song, Y. Evolutionary Process of Promoting Construction Safety Education to Avoid Construction Safety Accidents in China. Int. J. Environ. Res. Public Health 2021, 18, 10392. [Google Scholar] [CrossRef] [PubMed]
- Zhang, Y.; Yi, X.; Li, S.; Qiu, H. Evolutionary game of government safety supervision for prefabricated building construction using system dynamics. Eng. Constr. Arch. Manag. 2023, 30, 2947–2968. [Google Scholar] [CrossRef]
- Su, W.; Gao, X.; Jiang, Y.; Li, J. Developing a Construction Safety Standard System to Enhance Safety Supervision Efficiency in China: A Theoretical Simulation of the Evolutionary Game Process. Sustainability 2021, 13, 13364. [Google Scholar] [CrossRef]
- Gong, S.; Gao, X.; Li, Z.; Chen, L. Developing a Dynamic Supervision Mechanism to Improve Construction Safety Investment Supervision Efficiency in China: Theoretical Simulation of Evolutionary Game Process. Int. J. Environ. Res. Public Health 2021, 18, 3594. [Google Scholar] [CrossRef] [PubMed]
- Pi, Z.; Gao, X.; Chen, L.; Liu, J. The New Path to Improve Construction Safety Performance in China: An Evolutionary Game Theoretic Approach. Int. J. Environ. Res. Public Health 2019, 16, 2443. [Google Scholar] [CrossRef] [PubMed]
- Peng, J.; Zhang, Q.; Feng, Y.; Liu, X. Optimization of construction safety resource allocation based on evolutionary game and genetic algorithm. Sci. Rep. 2023, 13, 17097. [Google Scholar] [CrossRef]
- Saurin, T.A. Safety inspections in construction sites: A systems thinking perspective. Accid. Anal. Prev. 2015, 93, 240–250. [Google Scholar] [CrossRef]
- Chan, A.P.C.; Guan, J.; Choi, T.N.Y.; Yang, Y. Moderating Effects of Individual Learning Ability and Resilient Safety Culture on the Relationship between the Educational Level and Safety Performance of Construction Workers. Buildings 2023, 13, 3026. [Google Scholar] [CrossRef]
- Liu, Y.; Ye, G.; Xiang, Q.; Yang, J.; Goh, Y.M.; Gan, L. Antecedents of construction workers’ safety cognition: A systematic review. Saf. Sci. 2023, 157, 105923. [Google Scholar] [CrossRef]
- Fang, Q.; Chen, X.; Castro-Lacouture, D.; Li, C. Intervention and management of construction workers’ unsafe behavior: A simulation digital twin model. Adv. Eng. Inform. 2023, 58, 102182. [Google Scholar] [CrossRef]
- Chen, W.; Yang, Z.; Yan, H.; Zhao, Y. Promoting Construction Labor Professionalization: An Evolutionary Game Perspective. Sustainability 2023, 15, 9688. [Google Scholar] [CrossRef]
- Pun, N.A.; Lu, H.L. A Culture of Violence: The Labor Subcontracting System and Collective Action by Construction Workers in Post-Socialist China. China J. 2010, 64, 143–158. [Google Scholar]
- Sheng, D.; Luo, H.B.; Chen, K. Evolutionary game analysis of construction labor information sharing. Oper. Res. Manag. Sci. 2024, 33, 41–48. [Google Scholar]
- Feng, Q.; Shi, X.; Zhang, J. Influence of rent-seeking on safety supervision in Chinese construction: Based on a simulation technology. Technol. Forecast. Soc. 2019, 138, 1–9. [Google Scholar] [CrossRef]





| Parameters | Description |
|---|---|
| The investment of supervision company when opting for effective supervision | |
| The investment reduction in supervision company when adopting ineffective supervision | |
| The investment of general contractor when opting for proactive management | |
| The investment reduction in general contractor when adopting passive management | |
| The investment of labor subcontractor when opting for active safety investment | |
| The investment reduction in labor subcontractor when adopting Passive Safety Investment | |
| Reward for supervision company paid by employer | |
| Reward for labor subcontractor paid by general contractor | |
| Penalties paid by general contractor to the employer | |
| Penalties paid by labor subcontractor to the general contractor | |
| Losses caused by safety accident | |
| Rent-seeking costs paid by the general contractor to the supervision company | |
| Probability of safety accident |
| General Contractor | Labor Subcontractor | |||
|---|---|---|---|---|
| Active Safety Investment | Passive Safety Investment | |||
| supervision company | Effective Supervision | Proactive Management | ||
| Passive Management | ||||
| Ineffective Supervision | Proactive Management | |||
| Passive Management | ||||
| Equilibrium Points | Eigenvalues of the Jacobian Matrix | Feature Value Symbol | Stability | ||
|---|---|---|---|---|---|
| Unstable point | |||||
| Unstable point | |||||
| Unstable point | |||||
| To be discussed | |||||
| To be discussed | |||||
| To be discussed | |||||
| To be discussed | |||||
| Unstable point | |||||
Disclaimer/Publisher’s Note: The statements, opinions and data contained in all publications are solely those of the individual author(s) and contributor(s) and not of MDPI and/or the editor(s). MDPI and/or the editor(s) disclaim responsibility for any injury to people or property resulting from any ideas, methods, instructions or products referred to in the content. |
© 2024 by the authors. Licensee MDPI, Basel, Switzerland. This article is an open access article distributed under the terms and conditions of the Creative Commons Attribution (CC BY) license (https://creativecommons.org/licenses/by/4.0/).
Share and Cite
Chang, B.; Yu, X.; Liu, Y. Methods to Stimulate the Proactivity of Enterprises in Fulfilling Safety Responsibilities: A Fundamental Issue in Construction Safety Management. Buildings 2024, 14, 3329. https://doi.org/10.3390/buildings14103329
Chang B, Yu X, Liu Y. Methods to Stimulate the Proactivity of Enterprises in Fulfilling Safety Responsibilities: A Fundamental Issue in Construction Safety Management. Buildings. 2024; 14(10):3329. https://doi.org/10.3390/buildings14103329
Chicago/Turabian StyleChang, Beining, Xiaosi Yu, and Yachen Liu. 2024. "Methods to Stimulate the Proactivity of Enterprises in Fulfilling Safety Responsibilities: A Fundamental Issue in Construction Safety Management" Buildings 14, no. 10: 3329. https://doi.org/10.3390/buildings14103329
APA StyleChang, B., Yu, X., & Liu, Y. (2024). Methods to Stimulate the Proactivity of Enterprises in Fulfilling Safety Responsibilities: A Fundamental Issue in Construction Safety Management. Buildings, 14(10), 3329. https://doi.org/10.3390/buildings14103329
