Micro–Macro-Analysis and Model Derivation of Electrical Resistivity of Ningxia Cement–Loess
Abstract
1. Introduction
2. Materials and Methods
2.1. Properties of Loess
2.2. Experimental Apparatus and Procedure
- (1).
- According to the designed water content, dry density, and cement dosage, the corresponding mass of water, loess, and cement was mixed evenly and then layered into the test box to ensure uniform sample density.
- (2).
- The prepared cement–loess samples were wrapped with a plastic bag to prevent water content loss. After the labeling was completed, the samples were placed in a standard curing machine (temperature: 20 °C; humidity: 95%) with the corresponding curing ages (1, 7, 14, and 28 days).
- (3).
- A sample that reached the corresponding curing age was removed from the bag and quickly placed into the electrical resistivity testing box, the digital bridge instrument was connected with the electrical resistivity testing box, and then the electrical resistivity of the cement–loess sample was measured and recorded at the selected frequency of 50 kHz.
- (4).
- Different water contents (8 and 12.5%) and cement dosages (6, 9, and 12%) were selected for microscopic mechanism analysis at curing ages of 1, 7, and 28 days. After the measurement of electrical resistivity, the samples were terminated in their hydration reaction by low-temperature drying and sealed in a plastic bag for preservation [28].
- (5).
- The microscopic structure sample was cut and polished from an intact internal part, and the sample size was 1 cm × 1 cm × 0.5 cm. The SEM (Saimofei QuattroS, Waltham, MA, USA) was adopted to observe the microscopic structure.
- (6).
- Taken from the central part of the cement–loess samples, an agate mortar was used to grind the sample into a powder for XRD and TG/DTG (TA Q600, USA) experiments, which can reflect the changing mineral composition under various conditions.
3. Results and Discussion
3.1. Electrical Resistivity Behavior of Cement–Loess
3.1.1. Dry Density and Water Content
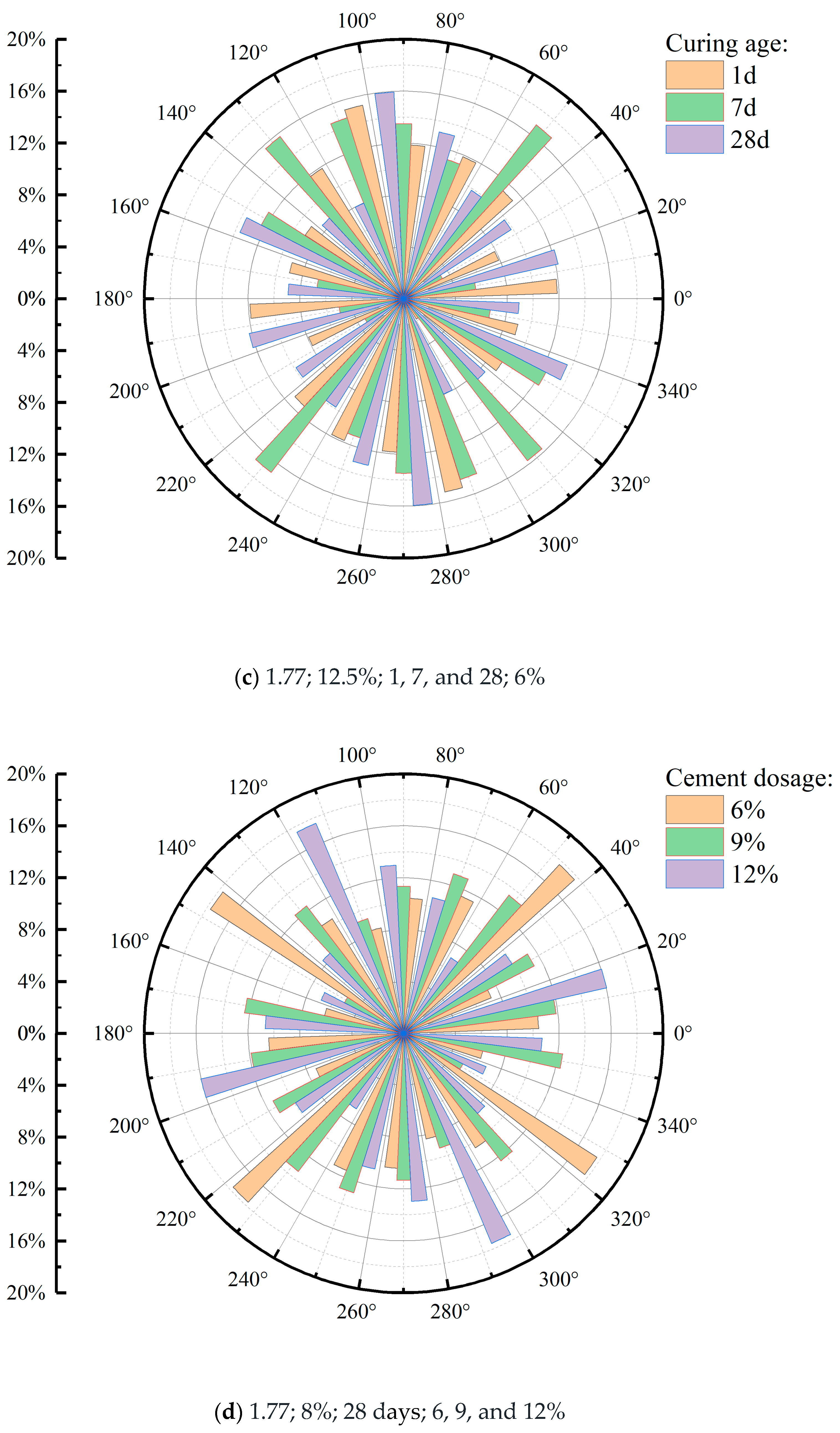
3.1.2. Curing Age and Cement Dosage
3.2. Microstructure and Weight Loss Curve
3.2.1. Microstructure
3.2.2. Weight Loss Curve
3.3. Electrical Resistivity Model
Derivation of Electrical Resistivity Model
4. Conclusions
- (1).
- The electrical resistivity of cement–loess decreased with the dry density and water content, whereas it increased with the cement dosage and curing age. If the water content was higher than its optimal value (11%), the reduction in electrical resistivity was 23.4%, which was 38.1% lower than that at a water content of 8~10%. This included the soluble salts in the loess that dissolve in the pore water. In addition, the hydration reaction potential was insufficient when using a cement dosage of 9% compared to that achieved at 12%. Therefore, the electrical resistivity at a cement dosage of 12% was 22.8% higher than that at a cement dosage of 9% at a curing age of 28 days.
- (2).
- A higher cement dosage, increased water content, and extended curing age contributed to improved hydration reactions within the cement–soil system. As a result, a greater quantity of C-S-H gel was produced. The hydration reaction consumed the water in the soil, and the filling of the pores by the hydration products reduced the pores and increased the resistivity. Additionally, the increase in hydration reduced the orientation microscopically, which induced the increase in cement–loess electrical resistivity.
- (3).
- A modified Archie resistivity formula was used to establish a power-law regression model, which considers ρd·w and aw·T independently. Further, a three-dimensional fitting model was established using water content, dry density, curing age and cement dosage as comprehensive influencing factors. Finally, the prediction accuracy of the electrical resistivity model was 0.94 R2. Therefore, the electrical resistivity could quantitatively express the influencing factors, which proved that the electrical resistivity is very important.
- (4).
- In the practical application, we can adopt the same-sized electrodes from this study, and the electrical resistivity values in the field would be almost identical to the experimental ones. In future studies, the relationship between mechanical characteristics and electrical resistivity should be explored. Moreover, a quick and multi-featured piece of detection equipment will be developed based on the electrical resistivity. In addition, a calibration method will be explored in cement–loess, which can reduce the detection time and cost.
Author Contributions
Funding
Data Availability Statement
Conflicts of Interest
References
- Wang, J.; Zhang, D.; Chen, C.; Wang, S. Measurement and modelling of stress-dependent water permeability of collapsible loess in China. in China. Eng. Geol. 2020, 266, 105393. [Google Scholar] [CrossRef]
- Yang, H.; Xie, W.; Liu, Q.; Zhu, R.; Liu, Y. Three-stage collapsibility evolution of Malan loess in the Loess Plateau. Catena 2022, 217, 106482. [Google Scholar] [CrossRef]
- Derbyshire, E. Geological hazards in loess terrain, with particular reference to the loess regions of China. Earth-Sci. Rev. 2001, 54, 231–260. [Google Scholar] [CrossRef]
- Kara, C.; Kutuk, S.; Kutuk-Sert, T. Improvement of the durability of concrete by substitution of raw ground colemanite. Case Stud. Constr. Mater. 2023, 19, e02393. [Google Scholar] [CrossRef]
- Abu-Hassanein, Z.S.; Benson, C.H.; Blotz, L.R. Electrical Resistivity of Compacted Clays. J. Geotech. Eng. 1996, 122, 397–406. [Google Scholar] [CrossRef]
- Chen, Y.; Wei, Z.; Irfan, M.; Xu, J.; Yang, Y. Laboratory investigation of the relationship between electrical resistivity and geotechnical properties of phosphate tailings. Measurement 2018, 126, 289–298. [Google Scholar] [CrossRef]
- Naseem, A.; Jalal, F.; Naseem, A. Predicting sandy-clayey soil properties using electrical resistivity testing. Proc. Inst. Civ. Eng. Geotech. Eng. 2020, 173, 21–29. [Google Scholar] [CrossRef]
- Zhou, Y.; Li, G.; Ma, W.; Chen, D.; Wang, F.; Mao, Y.; Du, Q.; Zhang, J.; Tang, L. Experimental Study on Electric Resistivity Characteristics of Compacted Loess under Different Loads and Drying-Wetting Cycles. Adv. Civ. Eng. 2021, 2021, 1–12. [Google Scholar] [CrossRef]
- Taylor, M.A.; Arulanandan, K. Relationships between electrical and physical properties of cement pastes. Cem. Concr. Res. 1974, 4, 881–897. [Google Scholar] [CrossRef]
- Tashiro, C.; Ikeda, K.; Inoue, Y. Evaluation of pozzolanic activity by the electric resistance measurement method. Cem. Concr. Res. 1994, 24, 1133–1139. [Google Scholar] [CrossRef]
- Yousuf, F.; Wei, X. Investigation of the early-age microstructural development of hydrating cement pastes through electrical resistivity measurements. Case Stud. Constr. Mater. 2020, 13, e00391. [Google Scholar] [CrossRef]
- Liu, S.Y.; Du, Y.J.; Han, L.H.; Gu, M.F. Experimental study on the electrical resistivity of soil–cement admixtures. Environ. Geol. 2008, 54, 1227–1233. [Google Scholar] [CrossRef]
- Liu, J.; Zha, F.; Xu, L.; Kang, B.; Tan, X.; Deng, Y.; Yang, C. Mechanism of stabilized/solidified heavy metal contaminated soils with cement-fly ash based on electrical resistivity measurements. Measurement 2019, 141, 85–94. [Google Scholar] [CrossRef]
- Liu, X.; Xu, X.; Dong, X.; Park, J.; Shen, J.; Rezania, S. Properties of copper-contaminated sand before and after stabilization using electrical resistivity measurement. Fresenius Environ. Bulletion 2019, 28, 2807–2815. [Google Scholar]
- Heidari, P.; Rivard, P.; Wilson, W. Multi-objective optimization of cement-based systems containing marine dredged sediment. Constr. Build. Mater. 2024, 439, 137228. [Google Scholar] [CrossRef]
- Li, M.; Zhong, J.; Li, G.; Zhang, Q.; Cen, F.; Gao, P. Study on the Performance of Polymer-Modified Conductive Cement-Based Materials. Buildings 2023, 13, 2961. [Google Scholar] [CrossRef]
- Sun, Z.; He, W.; Niu, D.; Zhang, L.; Su, L.; Wang, X.; Sun, Z.; He, W.; Niu, D.; Zhang, L.; et al. Resistivity Prediction Model for Basalt–Polypropylene Fiber-Reinforced Concrete. Buildings 2022, 13, 84. [Google Scholar] [CrossRef]
- Archie, G.E. The Electrical Resistivity Log as an Aid in Determining Some Reservoir Characteristics. Trans. AIME 1942, 146, 54–62. [Google Scholar] [CrossRef]
- Keller, G.V.; Frischknecht, F.C. Electrical Methods in Geophysical Prospecting, 1st ed.; Pergamon press: Oxford, UK, 1987; Available online: https://lib.ugent.be/catalog/rug01:001374307 (accessed on 10 April 2023).
- Mitchell, J.K.; Arulanandan, K. Electrical Dispersion in Relation to Soil Structure. J. Soil Mech. Found. Div. 1968, 94, 447–471. [Google Scholar] [CrossRef]
- Tumidajski, P.J.; Schumacher, A.S.; Perron, S.; Gu, P.; Beaudoin, J.J. On the relationship between porosity and electrical resistivity in cementitious systems. Cem. Concr. Res. 1996, 26, 539–544. [Google Scholar] [CrossRef]
- Dong, X.; Song, Z.; Chen, Y.F. Electrical resistivity and strength properties of sodium hydroxide contaminated soil solidified with cement. Mater. Test. 2016, 58, 82–87. [Google Scholar] [CrossRef]
- Zhang, D.; Chen, L.; Liu, S. Key parameters controlling electrical resistivity and strength of cement treated soils. J. Central S. Univ. 2012, 19, 2991–2998. [Google Scholar] [CrossRef]
- Wang, J.; Han, F.Y.; Li, L.S.; Ma, Y.Z.; Gao, J.Q.; Zhang, Y.; Xue, Z.J. Electrical Resistivity Response Law and Model of Ningxia Cement Loess. J. Earth Sci. Environ. 2024. in press (In Chinese) [Google Scholar]
- Alsharari, B.; Olenko, A.; Abuel-Naga, H. Modeling of electrical resistivity of soil based on geotechnical properties. Expert Syst. Appl. 2020, 141, 112966. [Google Scholar] [CrossRef]
- Kibria, G.; Hossain, M.S. Investigation of Geotechnical Parameters Affecting Electrical Resistivity of Compacted Clays. J. Geotech. Geoenvironmental Eng. 2012, 138, 1520–1529. [Google Scholar] [CrossRef]
- ASTM G187-18; Standard Test Method for Measurement of Soil Resistivity Using the Two-Electrode Soil Box Method. ASTM International: West Conshohocken, PA, USA, 2018.
- Bahafid, S.; Ghabezloo, S.; Duc, M.; Faure, P.; Sulem, J. Effect of the hydration temperature on the microstructure of Class G cement: C-S-H composition and density. Cem. Concr. Res. 2017, 95, 270–281. [Google Scholar] [CrossRef]
- Li, J.; Zhang, T.; Zhou, Z.; Li, D.; Teng, J. Study on Acoustic–Electric Response Characteristics of Unsaturated Loess under Different Moisture Content. Buildings 2024, 14, 819. [Google Scholar] [CrossRef]
- Xue, Z.; Zhang, Y.; Luo, J.; Yan, C.; Xu, Z.; Wang, J.; Han, F.; Li, L.; Ma, Y.; Jia, X.; et al. Elastic modulus, water stability and resistivity for loess solidified with white mud based solid waste cementing material: Mechanism analysis and relationship establishment. Case Stud. Constr. Mater. 2024, 21, e03791. [Google Scholar]
- Kutuk, S.; Bolat, S.; Terzioglu, C.; Altintas, S.P. An investigation of magnetoresistivity properties of an Y3Ba5Cu8Oy bulk superconductor. J. Alloys Compd. 2015, 650, 159–164. [Google Scholar] [CrossRef]
- Kutuk, S.; Bolat, S. Analysis of structural, electrical, and levitation properties of (RE: Nd, Sm, Gd) BCO-358 superconducting ceramics prepared by a modified MPMG technique. J. Mater. Sci. 2022, 57, 1198–1214. [Google Scholar] [CrossRef]
- Wang, S.; He, X.; Li, J.; Li, S.; Qin, H.; Ma, Y.; Ma, H.; Gong, S.; Niu, Z. Effect of Consistency Limit on the Strength of Cement-Solidified Dredged Sludge: Modelling and Micro-Mechanism. Water 2022, 14, 1959. [Google Scholar] [CrossRef]
- Jeong, Y.; Yum, W.S.; Moon, J.; Oh, J.E. Utilization of precipitated CaCO3 from carbon sequestration of industrially emitted CO2 in cementless CaO-activated blast-furnace slag binder system. J. Clean. Prod. 2017, 166, 649–659. [Google Scholar] [CrossRef]
- Kim, M.S.; Jun, Y.; Lee, C.; Oh, J.E. Use of CaO as an activator for producing a price-competitive non-cement structural binder using ground granulated blast furnace slag. Cem. Concr. Res. 2013, 54, 208–214. [Google Scholar] [CrossRef]
- Dong, X.Q.; Zhang, S.H.; Su, N.N.; Huang, X.E.; Bai, X.H. Effects of contaminated soil on electrical resistivity and strength of cemented soil. China Civ. Eng. J. 2015, 48, 91–98. (In Chinese) [Google Scholar] [CrossRef]
- Chen, Y.C.; Huang, X.; Chen, X.J.; Ding, K.; Xu, K.Y. Relationship between unconfined compressive strength and electrical resistivity of red clay under dry and wet cycles. J. Guangxi Univ. (Nat. Sci. Ed.) 2010, 45, 1267–1275. (In Chinese) [Google Scholar] [CrossRef]





















| Basic Properties | Value |
|---|---|
| Liquid limit/wL/% | 24 |
| Plastic limit/wP/% | 15.1 |
| Maximum dry density/ρmax/g·cm−3 | 1.88 |
| Optimal water content/wopt/% | 11.0 |
| Specific gravity/Gs | 2.70 |
| Materials | CaO | SiO2 | Al2O3 | Fe2O3 | SO3 | MgO | Na2O | Others | LOI |
|---|---|---|---|---|---|---|---|---|---|
| Loess | 9.31 | 44.4 | 10.49 | 4.38 | 0.11 | 2.64 | 1.42 | 1.01 | 8.51 |
| Cement | 47.4 | 21.87 | 5.96 | 3.61 | 3.31 | 1.96 | 0.62 | 0.86 | 3.70 |
| Cement Dosage/% | Dry Density/g·cm−3 | Water Content/% | Curing Age/Days |
|---|---|---|---|
| 6 [24], 9, 12 | 1.62 | 8.0 | 1, 7, 14, 28 |
| 10.0 | 1, 7, 14, 28 | ||
| 12.5 | 1, 7, 14, 28 | ||
| 14.0 | 1, 7, 14, 28 | ||
| 1.71 | 8.0 | 1, 7, 14, 28 | |
| 10.0 | 1, 7, 14, 28 | ||
| 12.5 | 1, 7, 14, 28 | ||
| 14.0 | 1, 7, 14, 28 | ||
| 1.77 | 8.0 | 1, 7, 14, 28 | |
| 10.0 | 1, 7, 14, 28 | ||
| 12.5 | 1, 7, 14, 28 | ||
| 14.0 | 1, 7, 14, 28 | ||
| 1.81 | 8.0 | 1, 7, 14, 28 | |
| 10.0 | 1, 7, 14, 28 | ||
| 12.5 | 1, 7, 14, 28 | ||
| 14.0 | 1, 7, 14, 28 |
| Parameters | Value |
|---|---|
| e | −2.18 |
| f | −0.302 |
| c | 0.837 |
| R2 | 0.937 |
Disclaimer/Publisher’s Note: The statements, opinions and data contained in all publications are solely those of the individual author(s) and contributor(s) and not of MDPI and/or the editor(s). MDPI and/or the editor(s) disclaim responsibility for any injury to people or property resulting from any ideas, methods, instructions or products referred to in the content. |
© 2024 by the authors. Licensee MDPI, Basel, Switzerland. This article is an open access article distributed under the terms and conditions of the Creative Commons Attribution (CC BY) license (https://creativecommons.org/licenses/by/4.0/).
Share and Cite
Xue, Z.; Deng, Q.; Gao, J.; Zhang, Y.; Zhang, Z.; Yan, C.; Wang, J.; Han, F.; Li, L.; Ma, Y. Micro–Macro-Analysis and Model Derivation of Electrical Resistivity of Ningxia Cement–Loess. Buildings 2024, 14, 3265. https://doi.org/10.3390/buildings14103265
Xue Z, Deng Q, Gao J, Zhang Y, Zhang Z, Yan C, Wang J, Han F, Li L, Ma Y. Micro–Macro-Analysis and Model Derivation of Electrical Resistivity of Ningxia Cement–Loess. Buildings. 2024; 14(10):3265. https://doi.org/10.3390/buildings14103265
Chicago/Turabian StyleXue, Zhijia, Qiquan Deng, Jianqiang Gao, Ying Zhang, Ziwei Zhang, Changgen Yan, Jie Wang, Fangyuan Han, Longshan Li, and Yongzhi Ma. 2024. "Micro–Macro-Analysis and Model Derivation of Electrical Resistivity of Ningxia Cement–Loess" Buildings 14, no. 10: 3265. https://doi.org/10.3390/buildings14103265
APA StyleXue, Z., Deng, Q., Gao, J., Zhang, Y., Zhang, Z., Yan, C., Wang, J., Han, F., Li, L., & Ma, Y. (2024). Micro–Macro-Analysis and Model Derivation of Electrical Resistivity of Ningxia Cement–Loess. Buildings, 14(10), 3265. https://doi.org/10.3390/buildings14103265
