Interface Fatigue Test of Hybrid-Bonded Fiber-Reinforced Plastic-Reinforced Concrete Specimen
Abstract
1. Introduction
2. Materials and Methods
2.1. Test Specimens
2.2. Material Properties
2.3. Arrangement of Measuring Points
2.4. Testing Procedures
3. Results
3.1. Load–FRP Slip Relationship
3.1.1. Monotonic
3.1.2. Fatigue
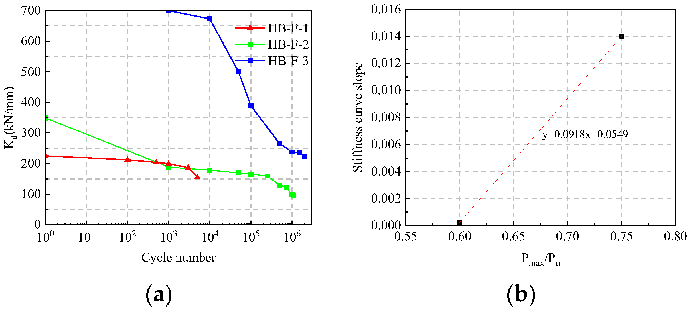
3.2. Interface Stiffness Damage
3.3. FRP Slip–Cycle Count Relationship
3.4. Development of FRP Strain Distribution
3.4.1. Monotonic
3.4.2. Fatigue
3.5. Bond Stress–Slip Responses
3.6. Bond Stress–Fatigue Life Responses
3.7. S–N Curve Calculation
4. Conclusions
Author Contributions
Funding
Data Availability Statement
Conflicts of Interest
References
- Hollaway, L. Polymers Composites for Civil and Structural Engineering; Springer Science & Business Media: London, UK, 1993; pp. 335–352. [Google Scholar]
- Zhang, S.; Zhang, Q.; Wang, Y. Experimental study on flexural performance of aramid fiber reinforced concrete beams. Compos. Sci. Eng. 2006, 1, 14–16. [Google Scholar]
- Xie, J.; Huang, K.; Li, Z. Experiment on Fatigue Behaviors of Flexural Concrete Interface Strengthened with BFRP and CFRP. J. Archit. Civ. Eng. 2015, 32, 53–59. [Google Scholar]
- Tian, L. Study on Bond Fatigue Properties of BFRP-Concrete Interface; Jilin Jianzhu University: Changchun, China, 2019. [Google Scholar]
- Zhang, Z.; Xiao, Y. Experimental Investigation on the Interfacial Debonding between FRP Sheet and Concrete under Medium Strain Rate. Int. J. Polym. Sci. 2019, 2019, 1973453. [Google Scholar] [CrossRef]
- Yuan, C.; Chen, W.; Thong, M. Interfacial bond behaviour between hybrid carbon/basalt fibre composites and concrete under dynamic loading. Int. J. Adhes. Adhes. 2020, 99, 102569. [Google Scholar] [CrossRef]
- Bizindavyi, L.; Neale, K.W.; Erki, M.A. Experimental investigation of bonded fiber reinforced polymer-concrete joints under cyclic loading. J. Compos. Constr. 2003, 7, 127–134. [Google Scholar] [CrossRef]
- Zeng, X.T.; Che, H.M. Experimental study on fatigue of concrete beams strengthened with glass-reinforced steel plates affixed to the beam. J. Civ. Eng. 2001, 1, 33–38. [Google Scholar]
- Oudah, F.; El-Hacha, R. Analytical fatigue prediction model of RC beams strengthened in flexure using prestressed FRP reinforcement. Eng. Struct. 2013, 46, 173–183. [Google Scholar] [CrossRef]
- Carloni, C.; Subramaniam, K.V.; Savoia, M.; Mazzotti, C. Experimental determination of FRP–concrete cohesive interface properties under fatigue loading. Compos. Struct. 2012, 94, 1288–1296. [Google Scholar] [CrossRef]
- Sobuz, H.R.; Ahmed, E.; Uddin, M.A. Structural strengthening of RC beams externally bonded with different CFRP laminates configurations. J. Civ. Eng. 2011, 39, 33–47. [Google Scholar]
- Dong, Y.; Ansari, F.; Karbhari, V.M. Fatigue performance of reinforced concrete beams with externally bonded CFRP reinforcement. Struct. Infrastruct. Eng. 2011, 7, 229–241. [Google Scholar] [CrossRef]
- Ko, H.; Sato, Y. Bond stress–slip relationship between FRP sheet and concrete under cyclic load. J. Compos. Constr. 2007, 11, 419–426. [Google Scholar] [CrossRef]
- Diab, H.M.; Wu, Z.; Iwashita, K. Theoretical solution for fatigue debonding growth and fatigue life prediction of FRP-concrete interfaces. Adv. Struct. Eng. 2009, 12, 781–792. [Google Scholar] [CrossRef]
- Li, K. Study on the Fatigue Performance of Carbon Fibre Reinforced Reinforced Concrete Beams; Southeast University: Nanjing, China, 2016. [Google Scholar]
- Xian, G.; Guo, R.; Li, C. Mechanical performance evolution and life prediction of prestressed CFRP plate exposed to hygrothermal and freeze-thaw environments. Compos. Struct. 2022, 293, 115719. [Google Scholar] [CrossRef]
- Rajak, D.; Wagh, P.; Linul, E. Manufacturing technologies of carbon/glass fiber-reinforced polymer composites and their properties: A review. Polymers 2021, 13, 3721. [Google Scholar] [CrossRef] [PubMed]
- Xian, G.; Zhou, P.; Bai, Y. Design, preparation and mechanical properties of novel glass fiberreinforced polypropylene bending bars. Constr. Build. Mater. 2024, 429, 136455. [Google Scholar] [CrossRef]
- Wu, Y.F.; He, L.; Bank, L.C. Bond-test protocol for plate-to-concrete interface involving all mechanisms. J. Compos. Constr. 2016, 20, 04015022. [Google Scholar] [CrossRef]
- Wu, Y.F.; Yan, J.H.; Zhou, Y.W.; Xiao, Y. Ultimate Strength of Reinforced Concrete Beams Retrofitted with Hybrid Bonded Fiber-Reinforced Polymer. ACI Struct. J. 2010, 107, 451. [Google Scholar]
- Wu, Y.F.; Wang, Z.; Liu, K.; He, W.; Wang, Z. Numerical Analyses of Hybrid-Bonded FRP Strengthened Concrete Beams. Comput. Aided Civ. Infrastruct. Eng. 2009, 24, 371–384. [Google Scholar] [CrossRef]
- Yun, Y.; Wu, Y.F.; Tang, W.C. Performance of FRP bonding systems under fatigue loading. Eng. Struct. 2008, 30, 3129–3140. [Google Scholar] [CrossRef]
- Liu, K. Computational Modeling, Experimental and Theoretical Study on Bond Behaviors of Hybrid-Bonded FRP Strengthened Concrete Structures; City University of Hong Kong: Hong Kong, China, 2011. [Google Scholar]






















| Specimen ID | Testing Method | Pmax/Pu | Pmin/Pmax | Concrete Strength | Loading Frequency |
|---|---|---|---|---|---|
| HB-M-1 | Static | 1 | - | C50 | |
| HB-M-2 | Static | 1 | - | C50 | |
| HB-F-1 | Fatigue | 0.75 | 0.1 | C50 | 3 |
| HB-F-2 | Fatigue | 0.6 | 0.1 | C50 | 3 |
| HB-F-3 | Fatigue | 0.4 | 0.1 | C50 | 3 |
| Specimen | FRP Width/mm | FRP Thickness/mm | FRP Bonding Length/mm | Concrete Strength/MPa |
|---|---|---|---|---|
| EB-FRP | 50 | 0.222 | 160 | 62.2 |
| HB-FRP | 50 | 2 | 360 | 55 |
| Specimen ID | Pu | Pmin/Pu | Pmax/Pu | Fatigue Life |
|---|---|---|---|---|
| E-M-0 | 29.17 | - | 1 | 1 |
| E-F-0 | - | 0.15 | 0.8 | 2600 |
| E-F-1 | - | 0.15 | 0.7 | 32,000 |
| E-F-2 | - | 0.15 | 0.65 | 168,900 |
| E-F-3 | - | 0.15 | 0.55 | 1,550,000 |
| E-F-4 | - | 0.15 | 0.54 | 2,380,000 |
| E-F-5 | - | 0.15 | 0.45 | >2,000,000 |
| Specimen ID | lgN | Sa | S | |
|---|---|---|---|---|
| E-M-0 | 0 | 1 | 0.5 | 2 |
| E-F-0 | 3.414 | 0.648 | 0.476 | 1.237 |
| E-F-1 | 4.505 | 0.553 | 0.423 | 0.959 |
| E-F-2 | 5.227 | 0.500 | 0.399 | 0.833 |
| E-F-3 | 6.190 | 0.401 | 0.349 | 0.616 |
| E-F-4 | 6.376 | 0.388 | 0.345 | 0.594 |
| E-F-5 | >6.301 | 0.301 | 0.299 | 0.430 |
| HB-M-1 | 0 | 0.961 | 0.487 | 1.846 |
| HB-M-2 | 0 | 1.032 | 0.515 | 2.123 |
| HB-F-1 | 3.694 | 0.614 | 0.411 | 1 |
| HB-F-2 | 6.042 | 0.425 | 0.305 | 0.571 |
| HB-F-3 | >6.301 | 0.289 | 0.260 | 0.322 |
Disclaimer/Publisher’s Note: The statements, opinions and data contained in all publications are solely those of the individual author(s) and contributor(s) and not of MDPI and/or the editor(s). MDPI and/or the editor(s) disclaim responsibility for any injury to people or property resulting from any ideas, methods, instructions or products referred to in the content. |
© 2024 by the authors. Licensee MDPI, Basel, Switzerland. This article is an open access article distributed under the terms and conditions of the Creative Commons Attribution (CC BY) license (https://creativecommons.org/licenses/by/4.0/).
Share and Cite
Zhou, K.; Wei, Q.; Wang, J.; Gao, L.; Dong, C.; Zhang, Z.; Fu, K.; Cheng, Z. Interface Fatigue Test of Hybrid-Bonded Fiber-Reinforced Plastic-Reinforced Concrete Specimen. Buildings 2024, 14, 3080. https://doi.org/10.3390/buildings14103080
Zhou K, Wei Q, Wang J, Gao L, Dong C, Zhang Z, Fu K, Cheng Z. Interface Fatigue Test of Hybrid-Bonded Fiber-Reinforced Plastic-Reinforced Concrete Specimen. Buildings. 2024; 14(10):3080. https://doi.org/10.3390/buildings14103080
Chicago/Turabian StyleZhou, Kun, Qian Wei, Jiabin Wang, Lei Gao, Chao Dong, Zejun Zhang, Kunhao Fu, and Ziqin Cheng. 2024. "Interface Fatigue Test of Hybrid-Bonded Fiber-Reinforced Plastic-Reinforced Concrete Specimen" Buildings 14, no. 10: 3080. https://doi.org/10.3390/buildings14103080
APA StyleZhou, K., Wei, Q., Wang, J., Gao, L., Dong, C., Zhang, Z., Fu, K., & Cheng, Z. (2024). Interface Fatigue Test of Hybrid-Bonded Fiber-Reinforced Plastic-Reinforced Concrete Specimen. Buildings, 14(10), 3080. https://doi.org/10.3390/buildings14103080

