Structural Behavior of a Fixed-End Arched Cellular Steel Beam without Lateral Support
Abstract
1. Introduction
2. Experimental Program
2.1. Fabrication of Arched Cellular Beam
2.2. Specimen Description
2.3. Material Properties
2.4. Test Setup and Loading Scheme
2.5. Instrumentation
3. Results and Analysis
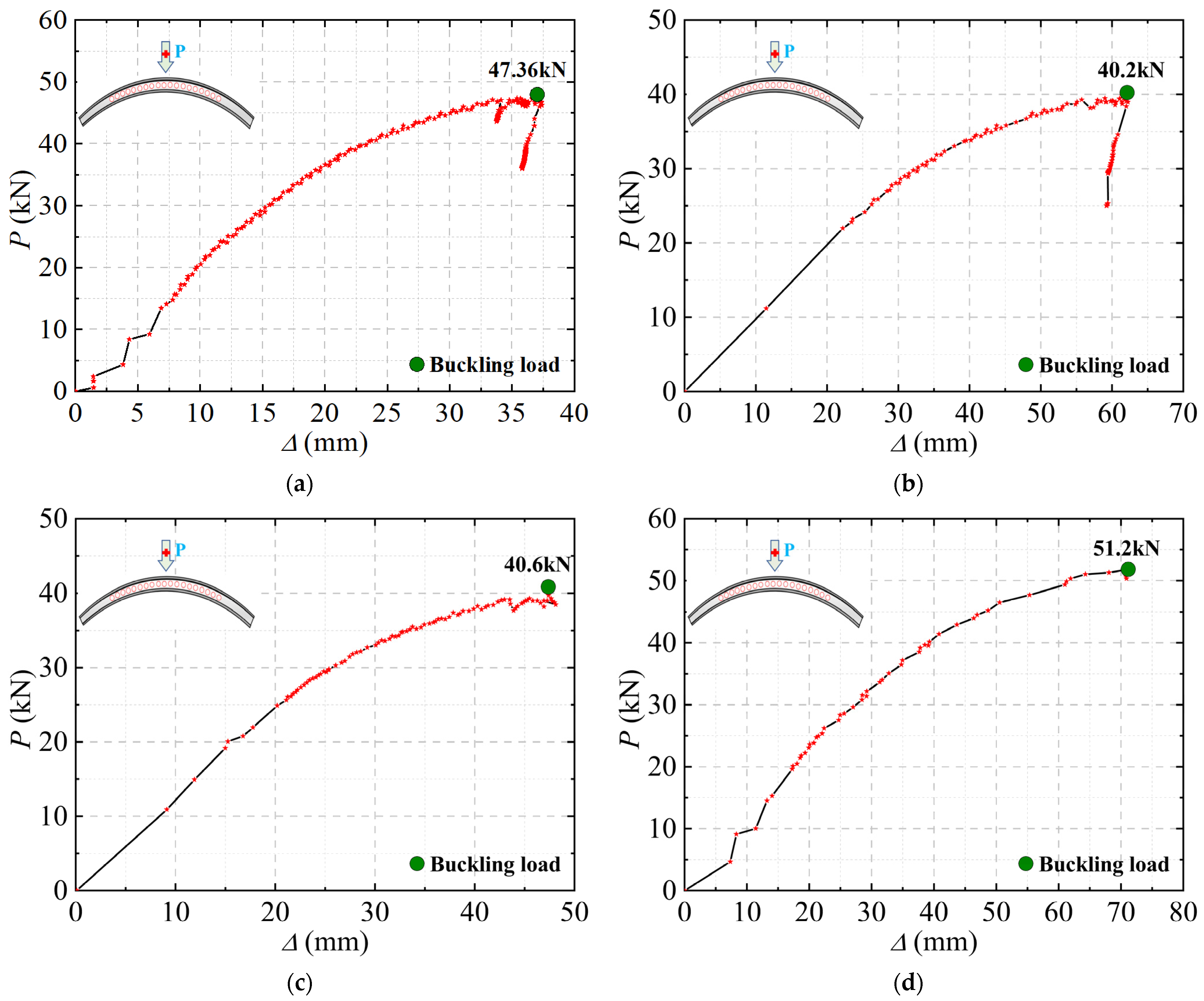
3.1. Experimental Observations and Displacement–Load Curves
3.2. Strain Gauge Readings
4. Numerical Analysis
4.1. Numerical Model
4.2. Verification of FE Model
5. Parametric Studies
5.1. General
5.2. Elastic Buckling Analysis under Concentrated Load
5.3. Elastic Buckling Analysis under Vertical Load along the Arch Axis
5.4. Elastic Buckling Analysis under Horizontal Uniform Vertical Load
6. Conclusions
- (1)
- The primary failure modes of arched cellular beams are sinking at the mid-span loading point and bulging upward at L/4 and 3L/4, forming a letter-"M" shape. Furthermore, the arched cellular beam exhibits clear lateral instability.
- (2)
- The experimental and FE model results, including buckling load and ultimate displacement, were in good agreement, as were the failure modes. Therefore, the FE method can be utilized to conduct multi-factor research on the out-of-plane stability of the arched cellular beam.
- (3)
- The order of factors affecting the out-of-plane elastic buckling of arched cellular beams under three loads without lateral support is as follows: rise–span ratio > web height–thickness ratio > diameter–depth ratio. This is primarily due to the increase in the arch axial force with the rise–span ratio of the arched cellular beam, leading to a reduction in out-of-plane stiffness and making the specimen more susceptible to out-of-plane instability.
- (4)
- The optimal combination of factors for the fixed-end arched cellular beam under concentrated load, vertical load along the arch axis, and horizontal uniform vertical load is (f/l)1(h0/tw)4(R/h)3, (f/l)1(h0/tw)4(R/h)1, and (f/l)1(h0/tw)3(R/h)1, respectively.
Author Contributions
Funding
Data Availability Statement
Conflicts of Interest
References
- La Poutré, D.B.; Spoorenberg, R.C.; Snijder, H.H.; Hoenderkamp, J.C.D. Out-of-plane stability of roller bent steel arches—An experimental investigation. J. Constr. Steel Res. 2013, 81, 20–34. [Google Scholar] [CrossRef]
- Zewudie, B.B.; Buratti, N. Nonlinear Finite Element Analysis and Comparison of In-Plane Strength of Circular and Parabolic Arched I-Section Cellular Steel Beam. Adv. Civ. Eng. 2022, 2022, 4879164. [Google Scholar] [CrossRef]
- Zaher, O.F.; Yossef, N.M.; El-Boghdadi, M.H.; Dabaon, M.A. Structural behaviour of arched steel beams with cellular openings. J. Constr. Steel Res. 2018, 148, 756–767. [Google Scholar] [CrossRef]
- Rakici, S.C.; Menkulasi, F. Out-of-plane buckling strength of free standing singly symmetric hollow pinned circular arches. J. Constr. Steel Res. 2021, 186, 106914. [Google Scholar] [CrossRef]
- Wang, P.; Ma, Q.; Wang, X. Investigation on Vierendeel mechanism failure of castellated steel beams with fillet corner web openings. Eng. Struct. 2014, 74, 44–51. [Google Scholar] [CrossRef]
- Morkhade, S.G.; Jagtap, K.R.; Ghorpade, P.S.; Ahiwale, D.D.; Najm, H.M. Buckling performance evaluation of steel cellular beams strengthened with flange cover plate. Asian J. Civ. Eng. 2022, 23, 1277–1290. [Google Scholar] [CrossRef]
- Wang, P.; Guo, K.; Liu, M.; Zhang, L. Shear buckling strengths of web-posts in a castellated steel beam with hexagonal web openings. J. Constr. Steel Res. 2016, 121, 173–184. [Google Scholar] [CrossRef]
- Panedpojaman, P.; Thepchatri, T.; Limkatanyu, S. Novel design equations for shear strength of local web-post buckling in cellular beams. Thin-Walled Struct. 2014, 76, 92–104. [Google Scholar] [CrossRef]
- Nicolas, B.; Joanna, N.; Hugues, S. Experimental and numerical investigations towards the lateral torsional buckling of cellular steel beams. Thin-Walled Struct. 2024, 195, 111388. [Google Scholar]
- Fares, S.S.; Coulson, J.; Dinehart, D.W. Castellated and Cellular Beam Design; Steel Design Guide 31; American Institute of Steel Construction: Washington, DC, USA, 2016. [Google Scholar]
- Liu, A.; Lu, H.; Fu, J.; Pi, Y.L. Lateral-torsional buckling of fixed circular arches having a thin-walled section under a central concentrated load. Thin-Walled Struct. 2017, 118, 46–55. [Google Scholar] [CrossRef]
- Zewudie, B.B.; Jorga, K.Z.; Agon, E.C. Numerical Investigation of Elastic-Plastic Buckling Performance of Circular Arched Cellular Steel Beam; Social Science Electronic Publishing: Rochester, NY, USA, 2023. [Google Scholar]
- Timoshenko, S.P. Theory of Elastic Stability; McGraw-Hill: New York, NY, USA, 1936. [Google Scholar]
- Schreyer, H.L.; Masur, E.F. Buckling of shallow arches. J. Eng. Mech. Div. ASCE 1966, 92, 1–17. [Google Scholar] [CrossRef]
- Austin, W.J.; Ross, T.J. Elastic buckling of arches under symmetrical loading. J. Struct. Div. 1976, 102, 1086–1095. [Google Scholar] [CrossRef]
- Bradford, M.A.; Pi, Y.L. A new analytical solution for lateral-torsional buckling of arches under axial uniform compression—ScienceDirect. Eng. Struct. 2012, 41, 14–23. [Google Scholar] [CrossRef]
- Hu, C.F.; Pi, Y.L.; Gao, W.; Li, L. In-plane non-linear elastic stability of parabolic arches with different rise-to-span ratios. Thin-Walled Struct. 2018, 129, 74–84. [Google Scholar] [CrossRef]
- Han, Q.; Cheng, Y.; Lu, Y.; Li, T.; Lu, P. Nonlinear buckling analysis of shallow arches with elastic horizontal supports. Thin-Walled Struct. 2016, 109, 88–102. [Google Scholar] [CrossRef]
- Pi, Y.L.; Bradford, M.A.; Liu, A. Nonlinear Equilibrium and Buckling of Fixed Shallow Arches Subjected to an Arbitrary Radial Concentrated Load. Int. J. Struct. Stab. Dyn. 2017, 17, 1750082. [Google Scholar] [CrossRef]
- Sapountzakis, E.J.; Tsiptsis, I.N. Generalized warping analysis of curved beams by BEM. Eng. Struct. 2015, 100, 535–549. [Google Scholar] [CrossRef]
- Guo, Y.L.; Zhao, S.Y.; Pi, Y.L.; Bradford, M.A.; Dou, C. An experimental study on out-of-plane inelastic buckling strength of fixed steel arches. Eng. Struct. 2015, 98, 118–127. [Google Scholar] [CrossRef]
- Dou, C.; Guo, Y.L.; Pi, Y.L.; Zhao, S.Y.; Bradford, M.A. Effects of shape functions on flexural–torsional buckling of fixed circular arches. Eng. Struct. 2014, 59, 238–247. [Google Scholar] [CrossRef]
- Gandomi, A.H.; Tabatabaei, S.M.; Moradian, M.H.; Radfar, A.; Alavi, A.H. A new prediction model for the load capacity of castellated steel beams. J. Constr. Steel Res. 2011, 67, 1096–1105. [Google Scholar] [CrossRef]
- Kang, L.; Hong, S.; Liu, X. Shear behaviour and strength design of cellular beams with circular or elongated openings. Thin-Walled Struct. 2021, 160, 107353. [Google Scholar] [CrossRef]
- Luo, C.; Wang, F.; Chen, H.; Chen, L.; Fu, C.; Chen, Y.; Liao, Q. Castellated steel beams under impact load. J. Constr. Steel Res. 2022, 196, 107394. [Google Scholar] [CrossRef]
- Morkhade, S.; Gupta, L.M. Behavior of Castellated Steel Beams State of the Art Review. Electron. J. Struct. Eng. 2020, 19, 39–48. [Google Scholar] [CrossRef]
- Hosseinpour, M.; Sharifi, Y.; Sharifi, H. Neural network application for distortional buckling capacity assessment of castellated steel beams. Structures 2020, 27, 1174–1183. [Google Scholar] [CrossRef]
- Dou, C.; Guo, Y.L.; Zhao, S.Y.; Pi, Y.L. Experimental Investigation into Flexural-Torsional Ultimate Resistance of Steel Circular Arches. J. Struct. Eng. 2015, 141, 04015006. [Google Scholar] [CrossRef]
- Gholizadeh, S.; Pirmoz, A.; Attarnejad, R. Assessment of load carrying capacity of castellated steel beams by neural networks. J. Constr. Steel Res. 2011, 67, 770–779. [Google Scholar] [CrossRef]
- Daryan, A.S.; Sadri, M.; Saberi, H.; Saberi, V.; Moghadas, A.B.; Karimlu, M. Rotational capacity of castellated steel beams. Struct. Des. Tall Spec. Build. 2013, 22, 941–953. [Google Scholar] [CrossRef]
- Martin, P.O.; Couchaux, M.; Vassart, O.; Bureau, A. An analytical method for the resistance of cellular beams with sinusoidal openings. Eng. Struct. 2017, 143, 113–126. [Google Scholar] [CrossRef]
- Sagali, M.M.; Maximino, G.B.H.; Yinghua, Y. Investigation on the Fire Resistance of Cellular Steel Beam with Sinusoidal Openings. Open J. Civ. Eng. 2023, 13, 637–663. [Google Scholar]
- Miranda, L.G.J.; Ribeiro, J.C.L.; de Souza Veríssimo, G.; Paes, J.L.R.; Caldas, R.B. Comparative analysis of fire-adapted models for the shear buckling strength of web-posts in castellated steel beams. Fire Saf. J. 2023, 138, 103796. [Google Scholar] [CrossRef]
- Yossef, N.M.; Taher, S. Cost Optimization of Composite Floor Systems with Castellated Steel Beams. Pract. Period. Struct. Des. Constr. 2018, 24, 04018035. [Google Scholar] [CrossRef]
- Ellobody, E. Interaction of buckling modes in castellated steel beams. Steel Constr. 2011, 67, 814–825. [Google Scholar] [CrossRef]
- Hadeed, S.M.; Alshimmeri, A.J.H. Comparative Study of Structural Behaviour for Rolled and Castellated Steel Beams with Different Strengthening Techniques. Civ. Eng. J. 2019, 5, 1384–1394. [Google Scholar] [CrossRef]
- JGJ/T 249-2011; Technical Specification for Arched Steel Structure. Building Industry Press: Beijing, China, 2011. (In Chinese)
- GB/T228.1-2010; Metallic Materials Tensile Test-Room Temperature Test Method. China Standard Press: Beijing, China, 2010. (In Chinese)
- Vidhatha, K.; Ram, G. Study of Effect of Rise-Span Ratio and Study of Different Hanger Configuration in the Analysis of Bowstring Arch Bridge. Int. J. Eng. Res. Technol. 2019, 8, 41–53. [Google Scholar]
- Tian, L.M.; Li, Q.B.; Zhong, W.H.; Wei, J.P. Effects of the rise-to-span ratio on the progressive collapse resistance of Kiewitt-6 single-layer latticed domes. Eng. Fail. Anal. 2019, 106, 104158. [Google Scholar] [CrossRef]
- Abaqus Analysis User’s Manual; Abaqus Standard, Version 2020; SIMULIA: Providence, RI, USA, 2020.
- Yang, X.; Dong, J.; Yang, J.; Han, X. Similar Material Proportioning Tests and Mechanical Properties Based on Orthogonal Design. Materials 2023, 16, 6439. [Google Scholar] [CrossRef]




















| Specimens | Web Thickness, tw (mm) | Hole Diameter, R (mm) | Rise–Span Ratio, f/l | 
|---|---|---|---|
| SJ-1 | 5.5 | 30 | 0.2 | 
| SJ-2 | 5.5 | 34 | 0.3 | 
| SJ-3 | 7.5 | 30 | 0.3 | 
| SJ-4 | 7.5 | 34 | 0.2 | 
| Specimens | h (mm) | h0 (mm) | b (mm) | tw (mm) | t (mm) | R (mm) | g (mm) | l (mm) | f (mm) | Number of Holes | 
|---|---|---|---|---|---|---|---|---|---|---|
| SJ-1 | 66 | 51 | 80 | 5.5 | 7.5 | 30 | 30 | 2000 | 400 | 23 | 
| SJ-2 | 66 | 51 | 80 | 5.5 | 7.5 | 34 | 30 | 2000 | 600 | 23 | 
| SJ-3 | 66 | 51 | 80 | 7.5 | 7.5 | 30 | 30 | 2000 | 600 | 23 | 
| SJ-4 | 66 | 51 | 80 | 7.5 | 7.5 | 34 | 30 | 2000 | 400 | 23 | 
| Specimens | d (Width) (mm) | b (Thickness) (mm) | A (Area) (mm2) | σs (Yield Strength) (MPa) | σb (Tensile Strength) (MPa) | δ (Elongation) (%) | 
|---|---|---|---|---|---|---|
| Web-5.5-1 | 18.30 | 5.50 | 100.65 | 397.42 | 510.00 | 20.43 | 
| Web-5.5-2 | 18.60 | 5.60 | 104.16 | 384.02 | 505.00 | 23.79 | 
| Web-5.5-3 | 18.64 | 5.70 | 106.25 | 385.88 | 485.00 | 21.46 | 
| Web-5.5-4 | 18.66 | 5.70 | 106.36 | 376.08 | 470.00 | 19.20 | 
| Average value | 18.55 | 5.63 | 104.36 | 385.85 | 492.50 | 21.22 | 
| Flange plate-7.5-1 | 19.00 | 7.46 | 141.74 | 409.20 | 475.00 | 23.79 | 
| Flange plate-7.5-2 | 18.56 | 7.50 | 139.20 | 366.38 | 490.00 | 21.24 | 
| Flange plate-7.5-3 | 19.00 | 8.00 | 152.00 | 335.26 | 445.00 | 23.79 | 
| Flange plate-7.5-4 | 18.63 | 8.06 | 150.16 | 326.32 | 440.00 | 24.24 | 
| Average value | 18.80 | 7.76 | 145.89 | 359.29 | 462.50 | 23.27 | 
| Specimens | Load (kN) | Loading Stage | |||||
|---|---|---|---|---|---|---|---|
| Preloading | Formal Loading | ||||||
| SJ-1 | 47.499 | 3-step | Load per level (kN) | 1~4-step | Load per level (kN) | 5~6-step | Load per level (kN) | 
| 9.500 | 9.500 | 4.750 | |||||
| SJ-2 | 41.116 | 3-step | Load per level (kN) | 1~4-step | Load per level (kN) | 5~6-step | Load per level (kN) | 
| 8.223 | 8.223 | 4.112 | |||||
| SJ-3 | 44.484 | 3-step | Load per level (kN) | 1~4-step | Load per level (kN) | 5~6-step | Load per level (kN) | 
| 8.897 | 8.897 | 4.448 | |||||
| SJ-4 | 50.705 | 3-step | Load per level (kN) | 1~4-step | Load per level (kN) | 5~6-step | Load per level (kN) | 
| 10.141 | 10.141 | 5.071 | |||||
| Specimens | Vertical Displacement, U2 (mm) | Buckling Load, Pu (kN) | ||||
|---|---|---|---|---|---|---|
| Experiment | FE | Deviation (%) | Experiment | FE | Deviation (%) | |
| SJ-1 | 48 | 52 | 8.33 | 47.36 | 47.499 | 0.29 | 
| SJ-2 | 54 | 61 | 12.96 | 40.20 | 41.116 | 2.20 | 
| SJ-3 | 46 | 49 | 6.52 | 40.60 | 44.484 | 8.73 | 
| SJ-4 | 80 | 76 | 5.00 | 51.20 | 50.705 | 0.97 | 
| Specimens | Web Thickness, tw (mm) | h0/tw | Hole Diameter, R (mm) | R/h | Rise–Span Ratio, f/l | 
|---|---|---|---|---|---|
| MSJ-1 | 16 | 36.625 | 300 | 0.476 | 0.2 | 
| MSJ-2 | 17 | 34.471 | 340 | 0.540 | 0.2 | 
| MSJ-3 | 18 | 32.556 | 360 | 0.571 | 0.2 | 
| MSJ-4 | 19 | 30.842 | 400 | 0.635 | 0.2 | 
| MSJ-5 | 16 | 36.625 | 340 | 0.540 | 0.3 | 
| MSJ-6 | 17 | 34.471 | 300 | 0.476 | 0.3 | 
| MSJ-7 | 18 | 32.556 | 400 | 0.635 | 0.3 | 
| MSJ-8 | 19 | 30.842 | 360 | 0.571 | 0.3 | 
| MSJ-9 | 16 | 36.625 | 360 | 0.571 | 0.4 | 
| MSJ-10 | 17 | 34.471 | 400 | 0.635 | 0.4 | 
| MSJ-11 | 18 | 32.556 | 300 | 0.476 | 0.4 | 
| MSJ-12 | 19 | 30.842 | 340 | 0.540 | 0.4 | 
| MSJ-13 | 16 | 36.625 | 400 | 0.635 | 0.5 | 
| MSJ-14 | 17 | 34.471 | 360 | 0.571 | 0.5 | 
| MSJ-15 | 18 | 32.556 | 340 | 0.540 | 0.5 | 
| MSJ-16 | 19 | 30.842 | 300 | 0.476 | 0.5 | 
| Specimens | Eigenvalue, λ (mm) | Critical Load, Pcr (kN) | Specimens | Eigenvalue, λ | Critical Load, Pcr (kN) | 
|---|---|---|---|---|---|
| MSJ-1 | 2.0672 | 713.1840 | MSJ-9 | 0.8700 | 300.1500 | 
| MSJ-2 | 2.1491 | 741.4395 | MSJ-10 | 0.8943 | 308.5335 | 
| MSJ-3 | 2.1738 | 749.9610 | MSJ-11 | 0.9852 | 339.8940 | 
| MSJ-4 | 2.2027 | 759.9315 | MSJ-12 | 1.0067 | 347.3115 | 
| MSJ-5 | 1.4228 | 490.8660 | MSJ-13 | 0.5220 | 180.0900 | 
| MSJ-6 | 1.5083 | 520.3635 | MSJ-14 | 0.5617 | 193.7865 | 
| MSJ-7 | 1.5006 | 517.7070 | MSJ-15 | 0.5940 | 204.9300 | 
| MSJ-8 | 1.5887 | 548.1015 | MSJ-16 | 0.6323 | 218.1435 | 
| Factor | Rise–Span Ratio, f/l (mm) | Web Height-to-Thickness Ratio (h0/tw) | Diameter–Depth Ratio (R/h) | 
|---|---|---|---|
| R | 541.891 | 47.299 | 6.434 | 
| Specimens | Eigenvalue, λ (mm) | Critical Load, Pcr (kN) | Specimens | Eigenvalue, λ | Critical Load, Pcr (kN) | 
|---|---|---|---|---|---|
| MSJ-1 | 3.98771 × 105 | 3520.35 | MSJ-9 | 1.55059 × 105 | 1715.57 | 
| MSJ-2 | 4.07760 × 105 | 3599.71 | MSJ-10 | 1.60003 × 105 | 1770.27 | 
| MSJ-3 | 4.20263 × 105 | 3710.08 | MSJ-11 | 1.77643 × 105 | 1965.44 | 
| MSJ-4 | 4.28240 × 105 | 3780.08 | MSJ-12 | 1.82073 × 105 | 2014.46 | 
| MSJ-5 | 2.75281 × 105 | 2697.75 | MSJ-13 | 0.80758 × 105 | 1014.97 | 
| MSJ-6 | 2.92838 × 105 | 2869.81 | MSJ-14 | 0.87531 × 105 | 1100.09 | 
| MSJ-7 | 2.91796 × 105 | 2859.60 | MSJ-15 | 0.93225 × 105 | 1171.65 | 
| MSJ-8 | 3.10337 × 105 | 3041.30 | MSJ-16 | 0.99802 × 105 | 1254.31 | 
| Factor | Rise–Span Ratio, f/l (mm) | Web Height-to-Thickness Ratio (h0/tw) | Diameter–Depth Ratio (R/h) | 
|---|---|---|---|
| R | 2517.3 | 285.38 | 46.25 | 
| Specimens | Eigenvalue, λ (mm) | Critical Load, Pcr (kN) | Specimens | Eigenvalue, λ | Critical Load, Pcr (kN) | 
|---|---|---|---|---|---|
| MSJ-1 | 3.98771 × 105 | 3190.17 | MSJ-9 | 1.55059 × 105 | 1240.47 | 
| MSJ-2 | 4.07760 × 105 | 3262.08 | MSJ-10 | 1.60003 × 105 | 1280.02 | 
| MSJ-3 | 4.20263 × 105 | 3362.10 | MSJ-11 | 1.77643 × 105 | 1421.14 | 
| MSJ-4 | 4.28240 × 105 | 3425.92 | MSJ-12 | 1.82073 × 105 | 1456.59 | 
| MSJ-5 | 2.75281 × 105 | 2202.24 | MSJ-13 | 0.80758 × 105 | 646.07 | 
| MSJ-6 | 2.92838 × 105 | 2342.70 | MSJ-14 | 0.87531 × 105 | 700.25 | 
| MSJ-7 | 2.91796 × 105 | 2334.37 | MSJ-15 | 0.93225 × 105 | 745.80 | 
| MSJ-8 | 3.10337 × 105 | 2482.69 | MSJ-16 | 0.99802 × 105 | 798.42 | 
| Factor | Rise–Span Ratio, f/l (mm) | Web Height-to-Thickness Ratio (h0/tw) | Diameter–Depth Ratio (R/h) | 
|---|---|---|---|
| R | 2587.43 | 152.12 | 29.70 | 
| Disclaimer/Publisher’s Note: The statements, opinions and data contained in all publications are solely those of the individual author(s) and contributor(s) and not of MDPI and/or the editor(s). MDPI and/or the editor(s) disclaim responsibility for any injury to people or property resulting from any ideas, methods, instructions or products referred to in the content. | 
© 2024 by the authors. Licensee MDPI, Basel, Switzerland. This article is an open access article distributed under the terms and conditions of the Creative Commons Attribution (CC BY) license (https://creativecommons.org/licenses/by/4.0/).
Share and Cite
Ning, Q.; Lu, J.; Li, S.; Lu, X. Structural Behavior of a Fixed-End Arched Cellular Steel Beam without Lateral Support. Buildings 2024, 14, 229. https://doi.org/10.3390/buildings14010229
Ning Q, Lu J, Li S, Lu X. Structural Behavior of a Fixed-End Arched Cellular Steel Beam without Lateral Support. Buildings. 2024; 14(1):229. https://doi.org/10.3390/buildings14010229
Chicago/Turabian StyleNing, Qiujun, Jiawei Lu, Shaojuan Li, and Xiaosong Lu. 2024. "Structural Behavior of a Fixed-End Arched Cellular Steel Beam without Lateral Support" Buildings 14, no. 1: 229. https://doi.org/10.3390/buildings14010229
APA StyleNing, Q., Lu, J., Li, S., & Lu, X. (2024). Structural Behavior of a Fixed-End Arched Cellular Steel Beam without Lateral Support. Buildings, 14(1), 229. https://doi.org/10.3390/buildings14010229
 
         
                                                
 
       