Phonon Transport Characteristics of Nano-Silicon Thin Films Irradiated by Ultrafast Laser under Dispersion Relation
Abstract
1. Introduction
2. Methods and Models
2.1. Physical Model
2.2. Lattice Models
2.3. Mathematical Method
2.4. Phonon Dispersion Relationship in Silicon Thin Films
3. Results and Discussions
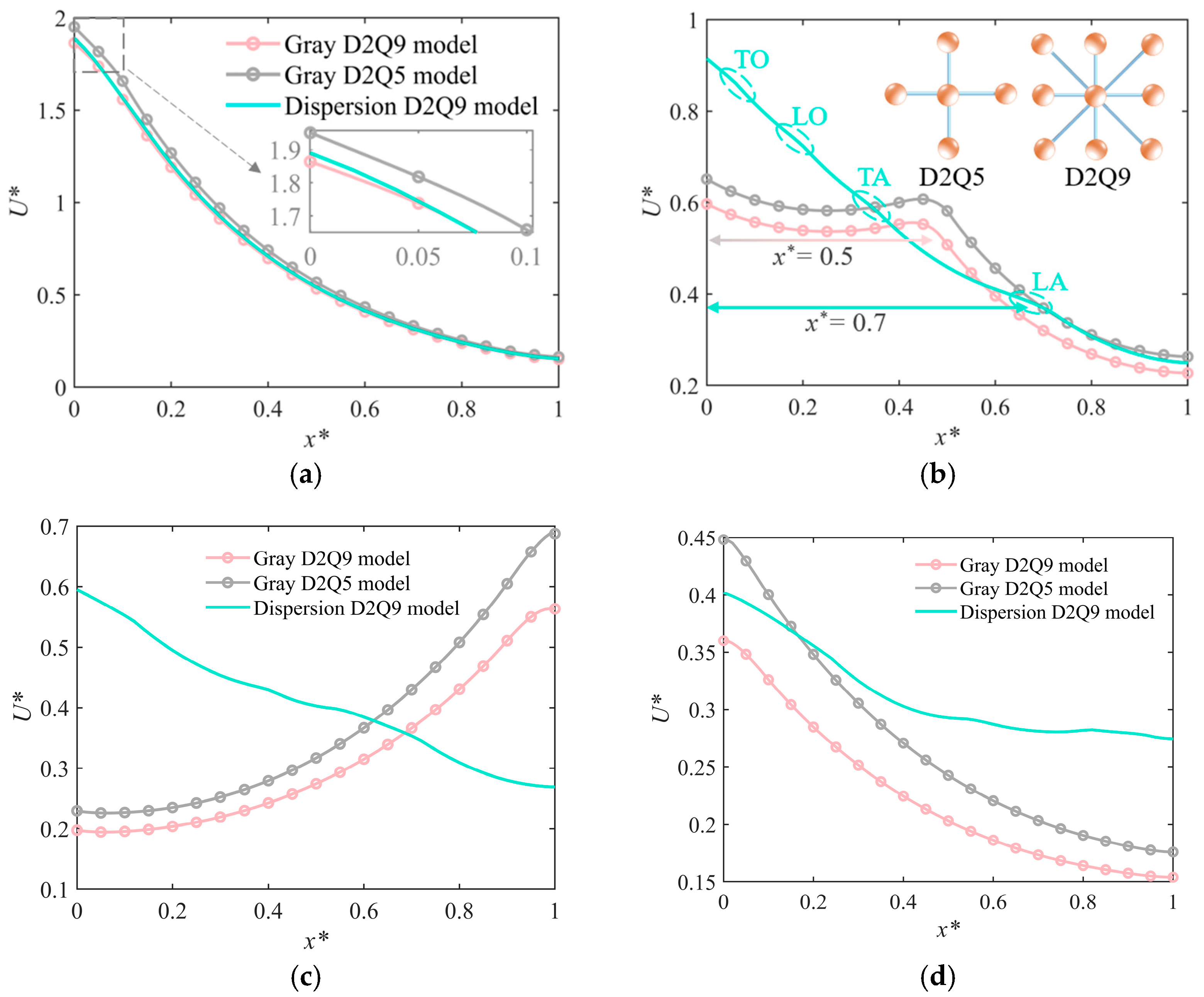
3.1. Verification
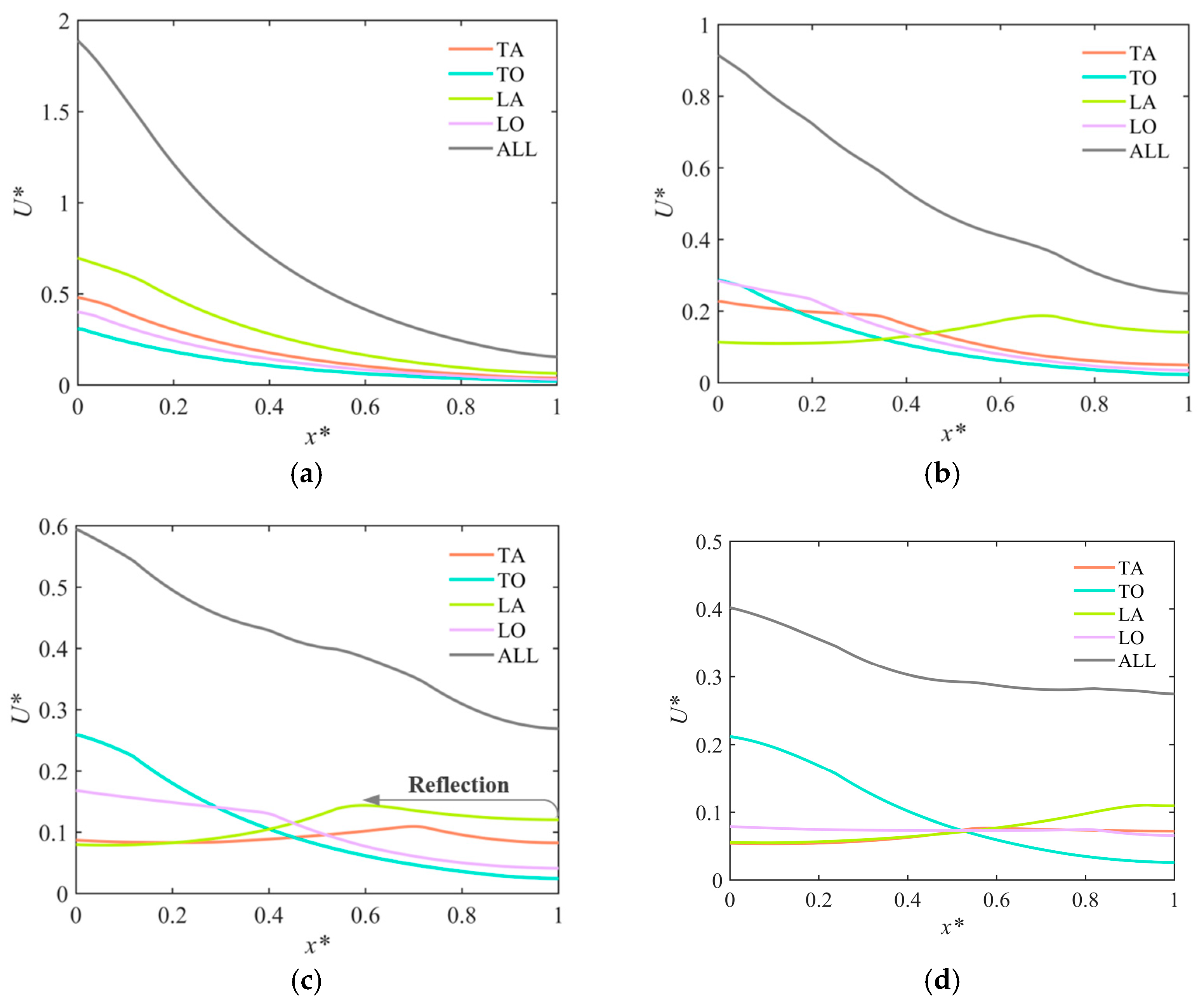
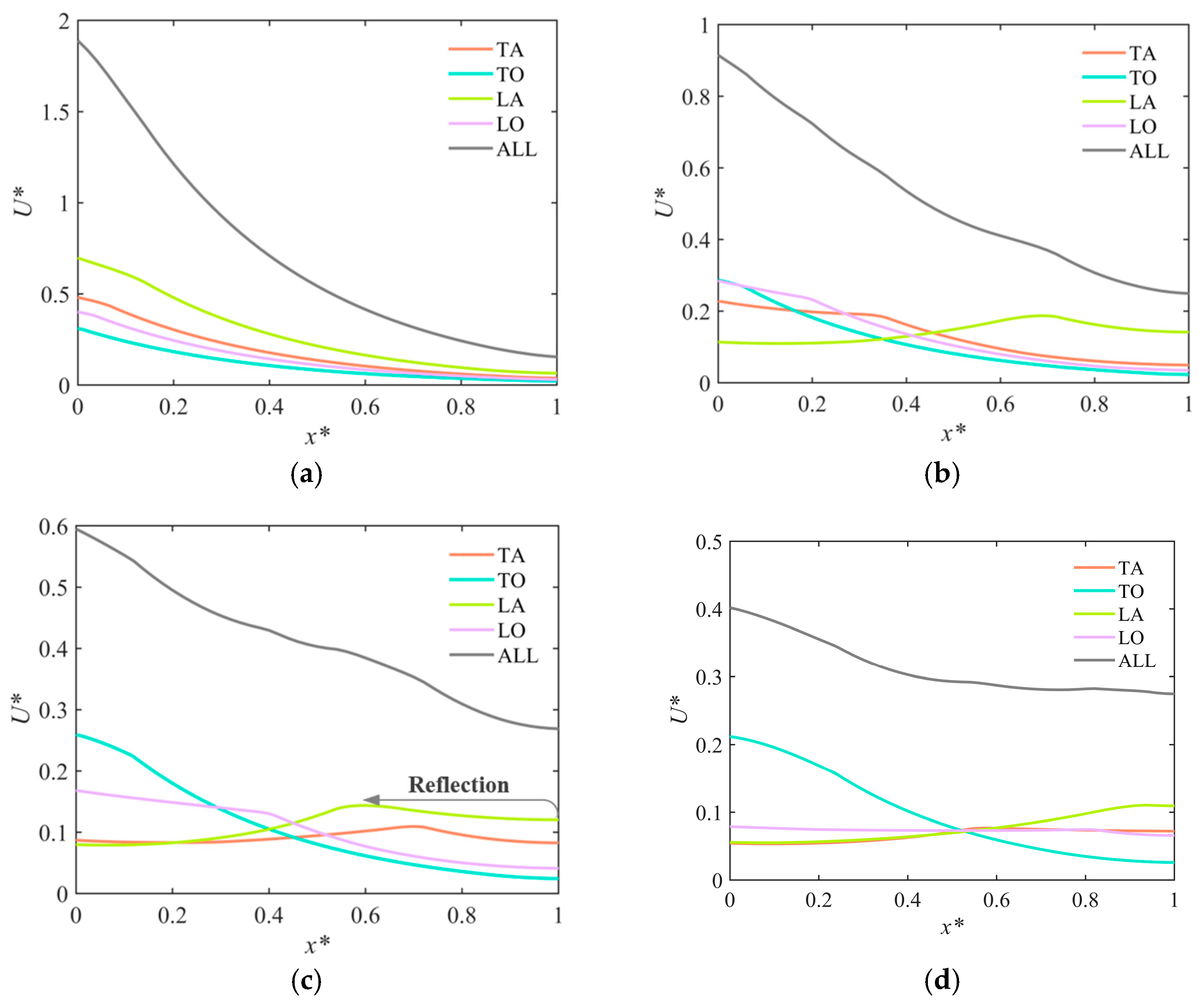
3.2. Analysis of Phonon Transport Characteristics Inside the 2D Film
3.2.1. Along the Tangential Direction of the Film
3.2.2. Along the Longitudinal Direction of the Film
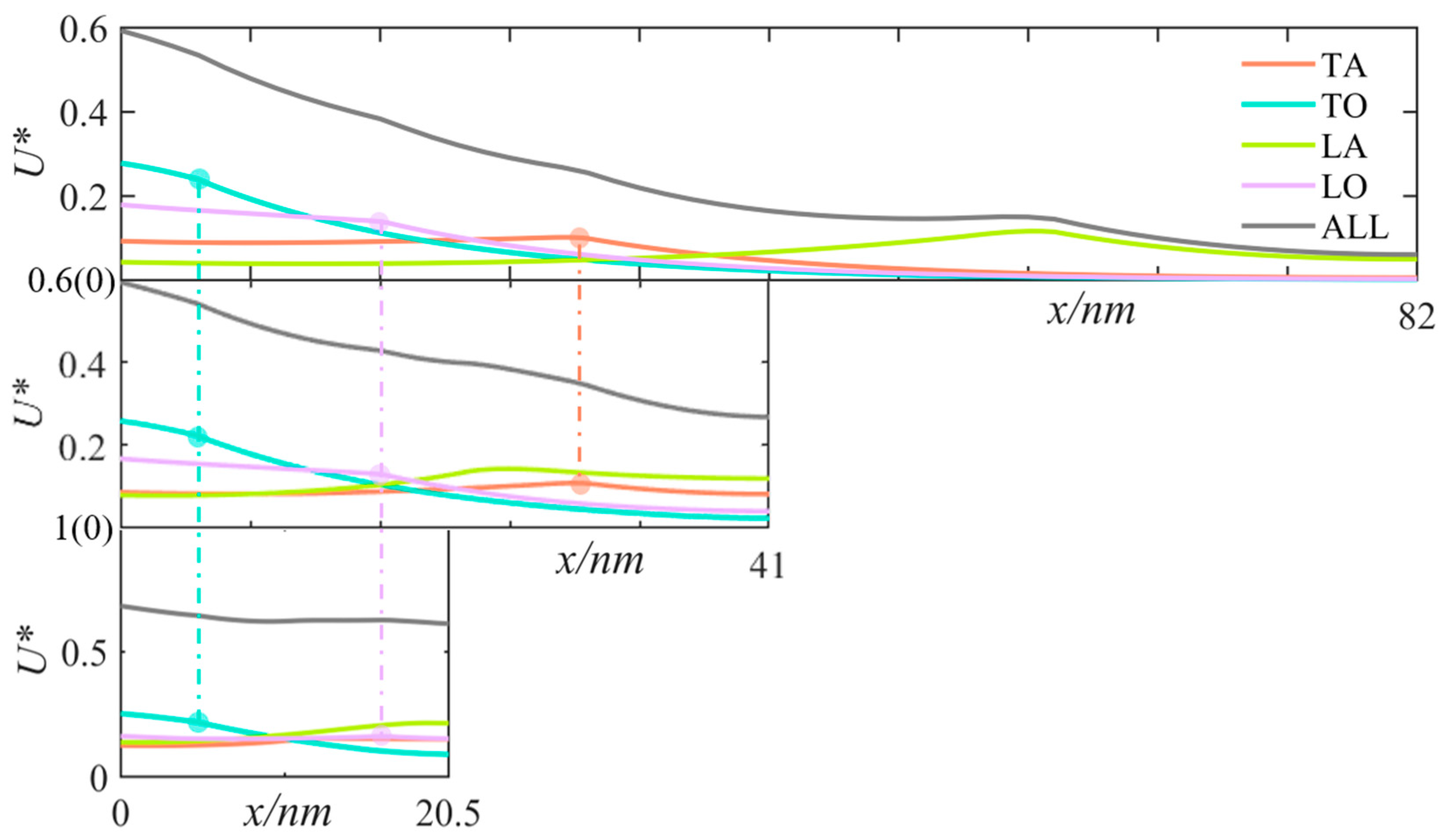
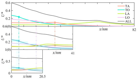
3.3. Effect of Film Characteristic Size on Phonon Transport
3.3.1. Along the Tangential Direction of the Film
3.3.2. Along the Longitudinal Direction of the Film
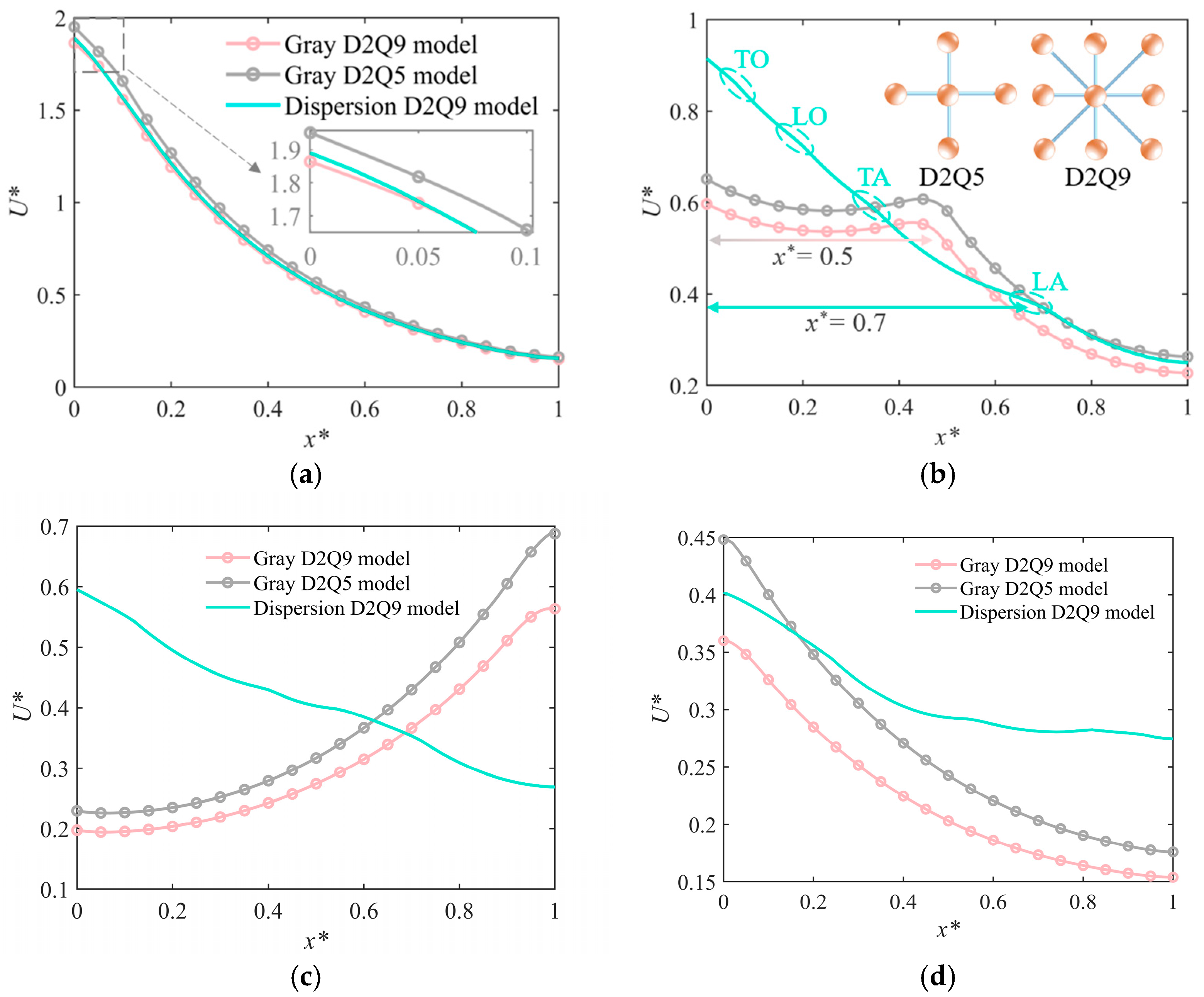
3.4. Comparison of Dispersion and Gray Model
3.4.1. Along the Tangential Direction of the Film
3.4.2. Along the Longitudinal Direction of the Film
4. Conclusions
- (1)
- The propagation speed and transfer performance of different phonon branches determine the distribution and fluctuation characteristics of energy. The LA and TA phonon branches have the faster propagation speed and high energy transfer efficiency, while the TO and LO phonon branches have the slower propagation speed and poorer transfer performance, resulting in less energy accumulation in the longitudinal direction and difficulty in forming significant thermal wave phenomena.
- (2)
- As the thin film size decreases, the energy density inside the thin film gradually increases. When the film tangential size is 82 nm, the total phonon energy density is dominated by acoustic modes. When the thin film thickness is 20.5 nm, the total energy density is significantly influenced by optical modes. This means that as the film size decreases, the influence of the optical phonon branch gradually increases.
- (3)
- The dispersion model can more accurately describe the propagation behavior of waves as it takes into account the relationship between frequency and wave vector, with different phonon branches having different propagation speeds. In contrast, the gray model simplifies the effect of phonon polarization, assuming all phonons propagate at a fixed speed, which may result in slightly lower accuracy.
- (4)
- When more attention is paid to the characteristics of energy in the transmission process, the dispersive model is preferred. If only the initial and equilibrium states of energy transfer are taken into account, the gray model is also a good choice. Compared to the D2Q5 lattice, the increase in computational cost of the D2Q9 lattice is small, but faster transmission efficiency can be achieved. Consequently, the D2Q9 lattice is a superior choice.
Author Contributions
Funding
Data Availability Statement
Conflicts of Interest
References
- Onatayo, D.A.; Srinivasan, R.S.; Shah, B. Ultraviolet Radiation Transmission in Buildings’ Fenestration: Part I, Detection Methods and Approaches Using Spectrophotometer and Radiometer. Buildings 2023, 13, 1670. [Google Scholar] [CrossRef]
- Anderson, A.L.; Chen, S.; Romero, L.; Top, I.; Binions, R. Thin Films for Advanced Glazing Applications. Buildings 2016, 6, 37. [Google Scholar] [CrossRef]
- Xue, X.; Patra, B.; van Dijk, J.P.G.; Samkharadze, N.; Subramanian, S. CMOS-based cryogenic control of silicon quantum circuits. Nature 2021, 593, 205–210. [Google Scholar] [CrossRef]
- Margalit, N.; Xiang, C.; Bowers, S.M. Perspective on the future of silicon photonics and electronics. Appl. Phys. Lett. 2021, 118, 220501. [Google Scholar] [CrossRef]
- Luo, X.; Luo, H.W.; Li, H.J.; Xia, R.; Zheng, X.T. Efficient Perovskite/Silicon Tandem Solar Cells on Industrially Compatible Textured Silicon. Adv. Mater. 2023, 35, 2207883. [Google Scholar] [CrossRef] [PubMed]
- Kuang, W.Y.; Illankoon, C.; Vithanage, S.C. Grid-Connected Solar Photovoltaic (PV) System for Covered Linkways. Buildings 2022, 12, 2131. [Google Scholar] [CrossRef]
- Caballero-Lucas, F.; Obata, K.; Sugioka, K. Enhanced ablation efficiency for silicon by femtosecond laser microprocessing with GHz bursts in MHz bursts (BiBurst). Int. J. Extreme Manuf. 2022, 4, 015103. [Google Scholar] [CrossRef]
- Podder, C.; Gong, X.T.; Pan, H. Ultrafast, Non-Equilibrium and Transient Heating and Sintering of Nanocrystals for Nanoscale Metal Printing. Small 2021, 17, 2103436. [Google Scholar] [CrossRef]
- Polyakov, D.S.; Shandybina, G.D.; Shamova, A.A. Ultrafast changes of optical properties of semiconductors at wavelength near the edge of interband absorption after excitation by femtosecond laser pulse. Optika 2022, 256, 168751. [Google Scholar] [CrossRef]
- Du, G.Q.; Yu, F.R.; Lu, Y.; Kai, L.; Yang, Q. Ultrafast thermalization dynamics in Au/Ni film excited by femtosecond laser double-pulse vortex beam. Int. J. Therm. Sci. 2023, 187, 108208. [Google Scholar] [CrossRef]
- Zhang, C.; Guo, Z.L. A transient heat conduction phenomenon to distinguish the hydrodynamic and (quasi) ballistic phonon transport. Int. J. Heat Mass Transf. 2021, 181, 121847. [Google Scholar] [CrossRef]
- Ramirez, R.; Herrero, C.P. Phonon dispersion in two-dimensional solids from atomic probability distributions. J. Chem. Phys. 2020, 151, 224107. [Google Scholar] [CrossRef]
- Bin Mansoor, S.; Yilbas, B.S. Phonon Transport Characteristics in a Thin Silicon Film. J. Comput. Omput. Theor. Trans. 2015, 44, 154–174. [Google Scholar] [CrossRef]
- Guo, Y.Y.; Wang, M.R. Lattice Boltzmann modeling of phonon transport. J. Comput. Phys. 2016, 315, 1–15. [Google Scholar] [CrossRef]
- Nabovati, A.; Sellan, D.P.; Amon, C.H. On the lattice Boltzmann method for phonon transport. J. Comput. Phys. 2011, 15, 5864–5876. [Google Scholar] [CrossRef]
- Li, H.L.; Shiomi, J.; Cao, B.Y. Ballistic-Diffusive Heat Conduction in Thin Films by Phonon Monte Carlo Method: Gray Medium Approximation Versus Phonon Dispersion. J. Heat Transf.-ASME 2020, 142, 112502. [Google Scholar] [CrossRef]
- Escobar, R.A.; Amon, C.H. Thin Film Phonon Heat Conduction by the Dispersion Lattice Boltzmann Method. J. Heat Transf.-ASME 2008, 139, 092402. [Google Scholar] [CrossRef]
- Zhang, C.; Guo, Z.L.; Chen, S.Z. An implicit kinetic scheme for multiscale heat transfer problem accounting for phonon dispersion and polarization. Int. J. Heat Mass Transf. 2019, 130, 1366–1376. [Google Scholar] [CrossRef]
- Luo, X.P.; Yi, H.L. A discrete unified gas kinetic scheme for phonon Boltzmann transport equation accounting for phonon dispersion and polarization. Int. J. Heat Mass Transf. 2017, 114, 970–980. [Google Scholar] [CrossRef]
- Kumar, N.; Barry, M.C.; Kumar, S. Thermal transport in beta-gallium oxide thin-films using non-gray Boltzmann transport equation. J. Phys.-Condens. Matter 2022, 34, 105603. [Google Scholar] [CrossRef]
- McNamara, G.R.; Zanetti, G. Use of the Boltzmann equation to simulate lattice-gas automata. Phys. Rev. Lett. 1988, 20, 2332–2335. [Google Scholar] [CrossRef] [PubMed]
- Bin Mansoor, S.; Yilbas, B.S. Phonon Transport in Silicon Thin Film: Effect of Temperature Oscillation on Effective Thermal Conductivity. Transp. Theory Stat. Phys. 2014, 42, 179–201. [Google Scholar] [CrossRef]
- Liu, J.; Zhang, C.; Yuan, H.Z.; Su, W.; Wu, L. A fast-converging scheme for the phonon Boltzmann equation with dual relaxation times. J. Comput. Phys. 2022, 467, 111436. [Google Scholar] [CrossRef]
- Li, R.Y.; Lee, E.; Luo, T.F. Physics-Informed Deep Learning for Solving Coupled Electron and Phonon Boltzmann Transport Equations. Phys. Rev. Appl. 2023, 19, 064049. [Google Scholar] [CrossRef]
- Joseph, A.M.; Cao, B.Y. Electron Heat Source Driven Heat Transport in GaN at Nanoscale: Electron-Phonon Monte Carlo Simulations and a Two Temperature Model. Materials 2022, 15, 1651. [Google Scholar] [CrossRef] [PubMed]
- Zhang, J.; Zhang, H.C.; Wang, Q.; Sun, W.B.; Zhang, D. Study on Phonon Localization in Silicon Film by Molecular Dynamics. Coatings 2022, 12, 422. [Google Scholar] [CrossRef]
- Namvar, M.; Leclaire, S. LaBCof: Lattice Boltzmann boundary condition framework. Comput. Phys. Commun. 2023, 285, 108647. [Google Scholar] [CrossRef]
- Kumar, S.; Vradis, G.C. Thermal-Conductivity of Thin Metallic-Films. J. Heat Transf.-ASME 1994, 1, 28–34. [Google Scholar] [CrossRef]
- Li, Y.F.; Zhang, T.; Zhang, Y.; Zhao, C.G. A comprehensive experimental study regarding size dependence on thermal conductivity of graphene oxide nanosheet. Int. Commun. Heat Mass 2022, 130, 105764. [Google Scholar] [CrossRef]
- Ren, X.; Shi, S.H. A Buckling Analysis of Thermoelastic Micro/Nano-Beams Considering the Size-Dependent Effect and Non-Uniform Temperature Distribution. Materials 2023, 16, 6390. [Google Scholar] [CrossRef]
- Han, Y.F.; Liu, H.D. An investigation of Phonon Heat Transport: Influence of Size and Geometric Configuration. J. Comput. Theor. Nanosci. 2015, 12, 1478–1782. [Google Scholar] [CrossRef]
- Huang, M.J.; Weng, C.C.; Chang, T.M. An investigation of the phonon properties of silicon nanowires. Int. J. Therm. Sci. 2010, 49, 1095–1102. [Google Scholar] [CrossRef]
- Li, L.K.; Mei, R.W.; Klausner, J.F. Lattice Boltzmann models for the convection-diffusion equation: D2Q5 vs. D2Q9. Int. J. Heat Mass Transf. 2017, 108, 41–62. [Google Scholar] [CrossRef]
- Mao, Y.D.; Xu, M.T. Lattice Boltzmann numerical analysis of heat transfer in nano-scale silicon films induced by ultra-fast laser heating. Int. J. Therm. Sci. 2015, 89, 210–221. [Google Scholar] [CrossRef]
- Chattopadhyay, A.; Pattamatta, A. A Comparative Study of Submicron Phonon Transport Using the Boltzmann Transport Equation and the Lattice Boltzmann Method. Numer. Heat Transf. Part B Fundam. 2014, 66, 360–379. [Google Scholar] [CrossRef]










| Parameters and Symbols | Numerical Value | Units |
|---|---|---|
| Initial temperature T0 | 300 | K |
| Silicon volumetric heat capacity Cv | 2.3 × 106 | J/(m3·K) |
| Phonon relaxation time τ | 6.5 | ps |
| Laser pulse duration tp | 0.65 | ps |
| Laser energy density J | 732 | J/m2 |
| Laser penetration depth δ | 15.3 | nm |
| Laser influence radius r0 | 15.3 | nm |
| Surface reflectance R | 0.93 | - |
Disclaimer/Publisher’s Note: The statements, opinions and data contained in all publications are solely those of the individual author(s) and contributor(s) and not of MDPI and/or the editor(s). MDPI and/or the editor(s) disclaim responsibility for any injury to people or property resulting from any ideas, methods, instructions or products referred to in the content. |
© 2024 by the authors. Licensee MDPI, Basel, Switzerland. This article is an open access article distributed under the terms and conditions of the Creative Commons Attribution (CC BY) license (https://creativecommons.org/licenses/by/4.0/).
Share and Cite
Mao, Y.; Liu, S.; Liu, J.; Yu, M.; Li, X.; Kim, M.K.; Yang, K. Phonon Transport Characteristics of Nano-Silicon Thin Films Irradiated by Ultrafast Laser under Dispersion Relation. Buildings 2024, 14, 210. https://doi.org/10.3390/buildings14010210
Mao Y, Liu S, Liu J, Yu M, Li X, Kim MK, Yang K. Phonon Transport Characteristics of Nano-Silicon Thin Films Irradiated by Ultrafast Laser under Dispersion Relation. Buildings. 2024; 14(1):210. https://doi.org/10.3390/buildings14010210
Chicago/Turabian StyleMao, Yudong, Shouyu Liu, Jiying Liu, Mingzhi Yu, Xinwei Li, Moon Keun Kim, and Kaimin Yang. 2024. "Phonon Transport Characteristics of Nano-Silicon Thin Films Irradiated by Ultrafast Laser under Dispersion Relation" Buildings 14, no. 1: 210. https://doi.org/10.3390/buildings14010210
APA StyleMao, Y., Liu, S., Liu, J., Yu, M., Li, X., Kim, M. K., & Yang, K. (2024). Phonon Transport Characteristics of Nano-Silicon Thin Films Irradiated by Ultrafast Laser under Dispersion Relation. Buildings, 14(1), 210. https://doi.org/10.3390/buildings14010210

