Study on Resilience Factors and Enhancement Strategies in Prefabricated Building Supply Chains
Abstract
1. Introduction
2. Literature Review
3. Methodology
3.1. Modeling Process
3.1.1. Factors Influencing SCR
3.1.2. PBSC Resilience Impact Factor Model
3.2. Data Collection
3.3. Data Analysis
4. Results
4.1. Description of Data
4.2. Reliability and Validity Test
4.3. Results of the Hypothesis Model
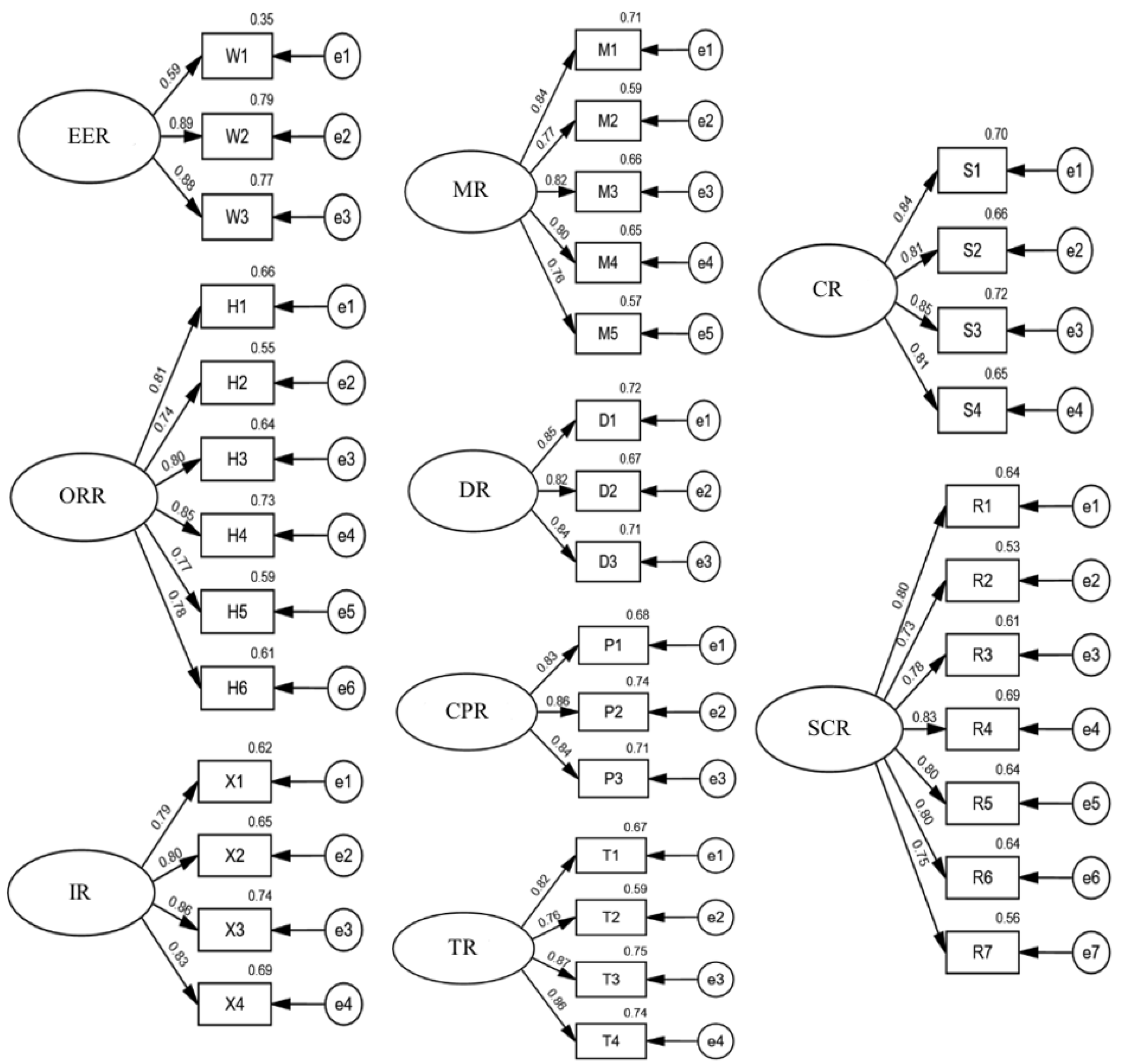
4.3.1. Measurement Model Analysis
4.3.2. Structural Model Analysis
5. Discussion
5.1. Enhancing Resilience through Information Sharing
5.1.1. Enhancing Information Transmission Efficiency
5.1.2. Establishing Stable Cooperative Relationships
5.1.3. Enhancing Risk Management Capability
5.1.4. Developing Detailed Policy Standards
5.2. Enhancing Resilience in Each Phase
5.2.1. Design Phase
5.2.2. Component Production Phase
5.2.3. Transportation Phase
5.2.4. Construction Phase
6. Conclusions
Author Contributions
Funding
Data Availability Statement
Conflicts of Interest
Appendix A
| Part I Basic Information | ||||||
| Work | 1. Research institute 2. Owner 3. Contractor 4. Design institute 5. Component production factory 6. Others | |||||
| Education background | 1. Ph.D. 2. Master 3. Bachelor 4. Junior college and below | |||||
| Working experience (years) | 1. 0–3 2. 3–5 3. ≥5 | |||||
| Part II To what extent does the factor affect the resilience of the prefabricated building supply chain? 1—very low; 2—low; 3—general; 4—high; 5—very high | ||||||
| Categories | Factors | Scores | ||||
| External environmental risks | Natural environment | 1 | 2 | 3 | 4 | 5 |
| Policies | 1 | 2 | 3 | 4 | 5 | |
| Standard specification | 1 | 2 | 3 | 4 | 5 | |
| Organizational relationship risks | Communication and coordination | 1 | 2 | 3 | 4 | 5 |
| Cooperation satisfaction | 1 | 2 | 3 | 4 | 5 | |
| Benefit distribution | 1 | 2 | 3 | 4 | 5 | |
| Target consistency | 1 | 2 | 3 | 4 | 5 | |
| Organizational mutual trust | 1 | 2 | 3 | 4 | 5 | |
| Cooperation mechanism | 1 | 2 | 3 | 4 | 5 | |
| Information risks | Information construction | 1 | 2 | 3 | 4 | 5 |
| Information platform | 1 | 2 | 3 | 4 | 5 | |
| Information sharing | 1 | 2 | 3 | 4 | 5 | |
| Information transmission | 1 | 2 | 3 | 4 | 5 | |
| Management risks | Crisis consciousness | 1 | 2 | 3 | 4 | 5 |
| Risk response | 1 | 2 | 3 | 4 | 5 | |
| Experience summary | 1 | 2 | 3 | 4 | 5 | |
| Resource integration and reconstruction | 1 | 2 | 3 | 4 | 5 | |
| Risk tolerance | 1 | 2 | 3 | 4 | 5 | |
| Design risks | Component design | 1 | 2 | 3 | 4 | 5 |
| Change control | 1 | 2 | 3 | 4 | 5 | |
| Number of personnel | 1 | 2 | 3 | 4 | 5 | |
| Component production risks | Component redundancy | 1 | 2 | 3 | 4 | 5 |
| Component manufacturing | 1 | 2 | 3 | 4 | 5 | |
| Manufacturer management | 1 | 2 | 3 | 4 | 5 | |
| Transportation risks | Logistics company reliability | 1 | 2 | 3 | 4 | 5 |
| Transportation distance and cost | 1 | 2 | 3 | 4 | 5 | |
| Transport flexibility | 1 | 2 | 3 | 4 | 5 | |
| Level of transportation redundancy | 1 | 2 | 3 | 4 | 5 | |
| Construction risks | Construction capacity | 1 | 2 | 3 | 4 | 5 |
| Professional talents | 1 | 2 | 3 | 4 | 5 | |
| Construction technology | 1 | 2 | 3 | 4 | 5 | |
| Regulatory mechanisms | 1 | 2 | 3 | 4 | 5 | |
| Part III How important is the resilience measurement index of the prefabricated building supply chain? 1—very unimportant; 2—unimportant; 3—generally important; 4—relatively important; 5—very important | ||||||
| I1 Predictive capability | 1 | 2 | 3 | 4 | 5 | |
| The ability of each participant in the supply chain to actively defend and avoid risks through early warning, planning, and evaluation before the occurrence of risk events. | ||||||
| I2 Redundancy | 1 | 2 | 3 | 4 | 5 | |
| Supply chain participants reserve additional resources to cope with supply chain disruptions. | ||||||
| I3 Robustness | 1 | 2 | 3 | 4 | 5 | |
| When the supply chain is impacted, it can resist external interference and maintain its original state. | ||||||
| I4 Agility | 1 | 2 | 3 | 4 | 5 | |
| The response speed of the supply chain to emergencies. | ||||||
| I5 Adaptability | 1 | 2 | 3 | 4 | 5 | |
| The ability of the supply chain to adapt and respond to environmental changes by adjusting. | ||||||
| I6 Recovery capability | 1 | 2 | 3 | 4 | 5 | |
| The ability of the supply chain to quickly and effectively return to a normal state through recovery measures, that is, resource reorganization ability and crisis mitigation ability. | ||||||
| I7 Learning ability | 1 | 2 | 3 | 4 | 5 | |
| After the supply chain returns to a normal state, the ability to optimize the supply chain structure through learning. | ||||||
References
- Röck, M.; Saade, M.R.M.; Balouktsi, M.; Rasmussen, F.N.; Birgisdottir, H.; Frischknecht, R.; Habert, G.; Lützkendorf, T.; Passer, A. Embodied GHG Emissions of Buildings—The Hidden Challenge for Effective Climate Change Mitigation. Appl. Energy 2020, 258, 114107. [Google Scholar] [CrossRef]
- He, Y.; Xing, Y.; Zeng, X.; Ji, Y.; Hou, H.; Zhang, Y.; Zhu, Z. Factors Influencing Carbon Emissions from China’s Electricity Industry: Analysis Using the Combination of LMDI and K-Means Clustering. Environ. Impact Assess. Rev. 2022, 93, 106724. [Google Scholar] [CrossRef]
- Yu, S.; Liu, Y.; Wang, D.; Bahaj, A.S.; Wu, Y.; Liu, J. Review of Thermal and Environmental Performance of Prefabricated Buildings: Implications to Emission Reductions in China. Renew. Sustain. Energy Rev. 2021, 137, 110472. [Google Scholar] [CrossRef]
- Gao, Y.; Tian, X.-L. Prefabrication Policies and the Performance of Construction Industry in China. J. Clean. Prod. 2020, 253, 120042. [Google Scholar] [CrossRef]
- Hossain, M.U.; Ng, S.T.; Antwi-Afari, P.; Amor, B. Circular Economy and the Construction Industry: Existing Trends, Challenges and Prospective Framework for Sustainable Construction. Renew. Sustain. Energy Rev. 2020, 130, 109948. [Google Scholar] [CrossRef]
- Liu, Y.; Dong, J.; Shen, L. A Conceptual Development Framework for Prefabricated Construction Supply Chain Management: An Integrated Overview. Sustainability 2020, 12, 1878. [Google Scholar] [CrossRef]
- Hou, Y.; Wang, X.; Wu, Y.J.; He, P. How Does the Trust Affect the Topology of Supply Chain Network and Its Resilience? An Agent-Based Approach. Transp. Res. Part E Logist. Transp. Rev. 2018, 116, 229–241. [Google Scholar] [CrossRef]
- Giannoccaro, I.; Iftikhar, A. Mitigating Ripple Effect in Supply Networks: The Effect of Trust and Topology on Resilience. Int. J. Prod. Res. 2022, 60, 1178–1195. [Google Scholar] [CrossRef]
- Hosseini, S.; Ivanov, D.; Dolgui, A. Review of Quantitative Methods for Supply Chain Resilience Analysis. Transp. Res. Part E Logist. Transp. Rev. 2019, 125, 285–307. [Google Scholar] [CrossRef]
- Zhang, M.; Liu, Y.; Ji, B. Influencing Factors of Resilience of PBSC Based on Empirical Analysis. Buildings 2021, 11, 467. [Google Scholar] [CrossRef]
- Zhang, H.; Yu, L. Resilience-Cost Tradeoff Supply Chain Planning for the Prefabricated Construction Project. J. Civ. Eng. Manag. 2021, 27, 45–59. [Google Scholar] [CrossRef]
- Ekanayake, E.M.A.C.; Shen, G.Q.P.; Kumaraswamy, M.M. Identifying Supply Chain Capabilities of Construction Firms in Industrialized Construction. Prod. Plan. Control 2021, 32, 303–321. [Google Scholar] [CrossRef]
- Jang, J.; Ahn, S.; Cha, S.H.; Cho, K.; Koo, C.; Kim, T.W. Toward Productivity in Future Construction: Mapping Knowledge and Finding Insights for Achieving Successful Offsite Construction Projects. J. Comput. Des. Eng. 2021, 8, 1–14. [Google Scholar] [CrossRef]
- Wang, Z.; Hu, H.; Gong, J.; Ma, X.; Xiong, W. Precast Supply Chain Management in Off-Site Construction: A Critical Literature Review. J. Clean. Prod. 2019, 232, 1204–1217. [Google Scholar] [CrossRef]
- Hussein, M.; Eltoukhy, A.E.E.; Karam, A.; Shaban, I.A.; Zayed, T. Modelling in Off-Site Construction Supply Chain Management: A Review and Future Directions for Sustainable Modular Integrated Construction. J. Clean. Prod. 2021, 310, 127503. [Google Scholar] [CrossRef]
- Wuni, I.Y.; Shen, G.Q. Critical Success Factors for Modular Integrated Construction Projects: A Review. Build. Res. Inf. 2020, 48, 763–784. [Google Scholar] [CrossRef]
- Hussein, M.; Zayed, T. Critical Factors for Successful Implementation of Just-in-Time Concept in Modular Integrated Construction: A Systematic Review and Meta-Analysis. J. Clean. Prod. 2021, 284, 124716. [Google Scholar] [CrossRef] [PubMed]
- Machado, N.; Morioka, S.N. Contributions of Modularity to the Circular Economy: A Systematic Review of Literature. J. Build. Eng. 2021, 44, 103322. [Google Scholar] [CrossRef]
- Abdul Nabi, M.; El-adaway, I.H. Modular Construction: Determining Decision-Making Factors and Future Research Needs. J. Manag. Eng. 2020, 36, 04020085. [Google Scholar] [CrossRef]
- Kifokeris, D. Variants of Swedish Lean Construction Practices Reported in Research: Systematic Literature Review and Critical Analysis. J. Constr. Eng. Manag. 2021, 147, 05021005. [Google Scholar] [CrossRef]
- Lu, J.; Wang, J.; Song, Y.; Yuan, C.; He, J.; Chen, Z. Influencing Factors Analysis of Supply Chain Resilience of Prefabricated Buildings Based on PF-DEMATEL-ISM. Buildings 2022, 12, 1595. [Google Scholar] [CrossRef]
- Wuni, I.Y.; Shen, G.Q. Barriers to the Adoption of Modular Integrated Construction: Systematic Review and Meta-Analysis, Integrated Conceptual Framework, and Strategies. J. Clean. Prod. 2020, 249, 119347. [Google Scholar] [CrossRef]
- Raj, A.; Mukherjee, A.A.; de Sousa Jabbour, A.B.L.; Srivastava, S.K. Supply Chain Management during and Post-COVID-19 Pandemic: Mitigation Strategies and Practical Lessons Learned. J. Bus. Res. 2022, 142, 1125–1139. [Google Scholar] [CrossRef] [PubMed]
- Wang, S.-J.; Hwang, J.-S.; Chang, K.-C.; Lin, M.-H.; Lee, B.-H. Analytical and Experimental Studies on Midstory Isolated Buildings with Modal Coupling Effect. Earthq. Eng. Struct. Dyn. 2013, 42, 201–219. [Google Scholar] [CrossRef]
- Forcellini, D.; Kalfas, K.N. Inter-Story Seismic Isolation for High-Rise Buildings. Eng. Struct. 2023, 275, 115175. [Google Scholar] [CrossRef]
- Gharbia, M.; Chang-Richards, A.; Lu, Y.; Zhong, R.Y.; Li, H. Robotic Technologies for On-Site Building Construction: A Systematic Review. J. Build. Eng. 2020, 32, 101584. [Google Scholar] [CrossRef]
- Gonçalves, J.E.; van Hooff, T.; Saelens, D. Simulating Building Integrated Photovoltaic Facades: Comparison to Experimental Data and Evaluation of Modelling Complexity. Appl. Energy 2021, 281, 116032. [Google Scholar] [CrossRef]
- Zhang, Y.; Lei, Z.; Han, S.; Bouferguene, A.; Al-Hussein, M. Process-Oriented Framework to Improve Modular and Offsite Construction Manufacturing Performance. J. Constr. Eng. Manag. 2020, 146, 04020116. [Google Scholar] [CrossRef]
- Tao, X.; Mao, C.; Xie, F.; Liu, G.; Xu, P. Greenhouse Gas Emission Monitoring System for Manufacturing Prefabricated Components. Autom. Constr. 2018, 93, 361–374. [Google Scholar] [CrossRef]
- Mao, C.; Shen, Q.; Shen, L.; Tang, L. Comparative Study of Greenhouse Gas Emissions between Off-Site Prefabrication and Conventional Construction Methods: Two Case Studies of Residential Projects. Energy Build. 2013, 66, 165–176. [Google Scholar] [CrossRef]
- Liu, G.; Chen, R.; Xu, P.; Fu, Y.; Mao, C.; Hong, J. Real-Time Carbon Emission Monitoring in Prefabricated Construction. Autom. Constr. 2020, 110, 102945. [Google Scholar] [CrossRef]
- Scholz, J.; De Meyer, A.; Marques, A.S.; Pinho, T.M.; Boaventura-Cunha, J.; Van Orshoven, J.; Rosset, C.; Künzi, J.; Kaarle, J.; Nummila, K. Digital Technologies for Forest Supply Chain Optimization: Existing Solutions and Future Trends. Environ. Manag. 2018, 62, 1108–1133. [Google Scholar] [CrossRef] [PubMed]
- Arshad, H.; Zayed, T. Critical Influencing Factors of Supply Chain Management for Modular Integrated Construction. Autom. Constr. 2022, 144, 104612. [Google Scholar] [CrossRef]
- Masood, R.; Lim, J.B.P.; González, V.A. Performance of the Supply Chains for New Zealand Prefabricated House-Building. Sustain. Cities Soc. 2021, 64, 102537. [Google Scholar] [CrossRef]
- Wang, L.; Cheng, Y.; Zhang, Y. Exploring the Risk Propagation Mechanisms of Supply Chain for Prefabricated Building Projects. J. Build. Eng. 2023, 74, 106771. [Google Scholar] [CrossRef]
- Chang, Y.; Li, X.; Masanet, E.; Zhang, L.; Huang, Z.; Ries, R. Unlocking the Green Opportunity for Prefabricated Buildings and Construction in China. Resour. Conserv. Recycl. 2018, 139, 259–261. [Google Scholar] [CrossRef]
- Liao, L.; Yang, C.; Quan, L. Construction Supply Chain Management: A Systematic Literature Review and Future Development. J. Clean. Prod. 2023, 382, 135230. [Google Scholar] [CrossRef]
- Chen, Z.; Hammad, A.W.A.; Alyami, M. Building Construction Supply Chain Resilience under Supply and Demand Uncertainties. Autom. Constr. 2024, 158, 105190. [Google Scholar] [CrossRef]
- Wang, Y.; Ren, J.; Zhang, L.; Liu, D. Research on Resilience Evaluation of Green Building Supply Chain Based on ANP-Fuzzy Model. Sustainability 2023, 15, 285. [Google Scholar] [CrossRef]
- Trần, T.V.; Phan, T.H.; Lê, A.T.T.; Trần, T.M. Evaluation of Factors Affecting the Transition to a Circular Economy (CE) in Vietnam by Structural Equation Modeling (SEM). Sustainability 2022, 14, 613. [Google Scholar] [CrossRef]
- Li, H.; Li, Q.; Lu, Y. Analysis of Key Safety Risks in Prefabricated Building Construction Based on Structural Equation Model. China Saf. Sci. J. 2019, 29, 171. [Google Scholar] [CrossRef]
- Li, X.-J. Research on Investment Risk Influence Factors of Prefabricated Building Projects. J. Civ. Eng. Manag. 2020, 26, 599–613. [Google Scholar] [CrossRef]
- Song, Y.; Wang, J.; Guo, F.; Lu, J.; Liu, S. Research on Supplier Selection of Prefabricated Building Elements from the Perspective of Sustainable Development. Sustainability 2021, 13, 6080. [Google Scholar] [CrossRef]
- Hu, T. Research on Resilience Optimization of Prefabricated Building Supply Chain. Master’s Thesis, China University of Mining and Technology, Beijing, China, 2023. [Google Scholar]
- Zhu, L.; Chen, J.; Yuan, J. Research on Critical Factors Influencing the Resilience of Prefabricated Building Supply Chain Based on ISM. J. Civ. Eng. Manag. 2020, 37, 108–114. [Google Scholar] [CrossRef]
- Wang, Q.; Duan, H.; Shen, C.; Zhu, K. Study on the Influencing Factors of Prefabreicated Building Resilient Supply Chain. Constr. Econ. 2021, 42, 79–82. [Google Scholar] [CrossRef]
- Wang, B.; Geng, L.; Dang, P.; Zhang, L. Developing a Framework for Dynamic Organizational Resilience Analysis in Prefabricated Construction Projects: A Project Life Cycle Perspective. J. Constr. Eng. Manag. 2022, 148, 04022110. [Google Scholar] [CrossRef]
- Shen, K. Research on Rework Risk of Prefabricated Construction Process. Ph.D. Thesis, Tsinghua University, Beijing, China, 2022. [Google Scholar]
- Liu, T. Research of Prefabricated Construction Enterprise Supply Chain Risk Management. Master’s Thesis, Chongqing University, Chongqing, China, 2017. [Google Scholar]
- Innella, F.; Arashpour, M.; Bai, Y. Lean Methodologies and Techniques for Modular Construction: Chronological and Critical Review. J. Constr. Eng. Manag. 2019, 145, 04019076. [Google Scholar] [CrossRef]
- Hu, X.; Chong, H.-Y.; Wang, X.; London, K. Understanding Stakeholders in Off-Site Manufacturing: A Literature Review. J. Constr. Eng. Manag. 2019, 145, 03119003. [Google Scholar] [CrossRef]
- Li, T.; You, X. Impact Factors Analysis on Prefabricated Building Quality Based on Apriori Algorithm. J. Tongji Univ. Sci. 2022, 50, 147–152. [Google Scholar] [CrossRef]
- Han, Y.; Chong, W.K.; Li, D. A Systematic Literature Review of the Capabilities and Performance Metrics of Supply Chain Resilience. Int. J. Prod. Res. 2020, 58, 4541–4566. [Google Scholar] [CrossRef]
- MacAskill, S.; Mostafa, S.; Stewart, R.A.; Sahin, O.; Suprun, E. Offsite Construction Supply Chain Strategies for Matching Affordable Rental Housing Demand: A System Dynamics Approach. Sustain. Cities Soc. 2021, 73, 103093. [Google Scholar] [CrossRef]
- Wang, Z.; Wang, T.; Hu, H.; Gong, J.; Ren, X.; Xiao, Q. Blockchain-Based Framework for Improving Supply Chain Traceability and Information Sharing in Precast Construction. Autom. Constr. 2020, 111, 103063. [Google Scholar] [CrossRef]
- Peng, Y.; Zhang, Y.; Tang, Y.; Li, S. An Incident Information Management Framework Based on Data Integration, Data Mining, and Multi-Criteria Decision Making. Decis. Support Syst. 2011, 51, 316–327. [Google Scholar] [CrossRef]
- Tang, O.; Nurmaya Musa, S. Identifying Risk Issues and Research Advancements in Supply Chain Risk Management. Int. J. Prod. Econ. 2011, 133, 25–34. [Google Scholar] [CrossRef]
- Lin, M.S.-M.; Lu, B.-S. Risk Assessment and Management in the Offshore Wind Power Industry: A Focus on Component Handling Operations in Ports. Saf. Sci. 2023, 167, 106286. [Google Scholar] [CrossRef]
- Zhang, S.; Li, Z.; Ma, S.; Li, L.; Yuan, M. Critical Factors Influencing Interface Management of Prefabricated Building Projects: Evidence from China. Sustainability 2022, 14, 5418. [Google Scholar] [CrossRef]
- Gan, X.; Liu, L.; Wen, T. Evaluation of Policies on the Development of Prefabricated Construction in China: An Importance-Performance Analysis. J. Green Build. 2022, 17, 149–168. [Google Scholar] [CrossRef]
- He, R.; Li, M.; Gan, V.J.L.; Ma, J. BIM-Enabled Computerized Design and Digital Fabrication of Industrialized Buildings: A Case Study. J. Clean. Prod. 2021, 278, 123505. [Google Scholar] [CrossRef]
- Rauch, E.; Dallasega, P.; Matt, D.T. Complexity Reduction in Engineer-to-Order Industry through Real-Time Capable Production Planning and Control. Prod. Eng. 2018, 12, 341–352. [Google Scholar] [CrossRef]
- Prajogo, D.; Chowdhury, M.; Yeung, A.C.L.; Cheng, T.C.E. The Relationship between Supplier Management and Firm’s Operational Performance: A Multi-Dimensional Perspective. Int. J. Prod. Econ. 2012, 136, 123–130. [Google Scholar] [CrossRef]
- Shekarian, M.; Reza Nooraie, S.V.; Parast, M.M. An Examination of the Impact of Flexibility and Agility on Mitigating Supply Chain Disruptions. Int. J. Prod. Econ. 2020, 220, 107438. [Google Scholar] [CrossRef]
- Huang, C.; Wong, C.K. Optimisation of Site Layout Planning for Multiple Construction Stages with Safety Considerations and Requirements. Autom. Constr. 2015, 53, 58–68. [Google Scholar] [CrossRef]




| Definitions | References |
|---|---|
| The supply chain’s ability to minimize the likelihood of interruptions, reduce the consequences of these interruptions when they occur, and decrease the time required to restore normal performance. | [7,8,9] |
| The capability of the supply chain to achieve performance through adjustment strategies. | [10,11,12] |
| The supply chain’s responsiveness to external or internal interruptions and vulnerabilities, coupled with its capacity to swiftly restore a state of high performance and efficiency. | [13,14] |
| The preparedness of the supply chain for unforeseen events, its ability to react to interruptions, and its capability to restore the structure and functionality of the supply chain through continuous strategies. | [15,16] |
| The ability of the supply chain to return to its original state in emergency risk environments. | [17] |
| The proactive planning and design capability of the supply chain network, enabling it to predict unexpected events, respond to interruptions, and sustain a robust state of operation. | [18,19] |
| The adaptive capability of the supply chain, which entails reducing the probability of disturbances, resisting the spread of disturbances by controlling the supply chain network, and effectively planning for recovery to a robust operational state. | [20] |
| Primary Indicators | Items | Secondary Indicators | Descriptions |
|---|---|---|---|
| External environmental risks (EERs) | W1 | Natural environment | The possibility of natural disasters. |
| W2 | Policies | The level of perfection of industrial policy. | |
| W3 | Standard specification | The level of perfection of national standards. | |
| Organizational relationship risks (ORRs) | H1 | Communication and coordination | All participants in the supply chain can communicate and coordinate in a timely and effective manner. |
| H2 | Cooperation satisfaction | The level of satisfaction of the participants in the supply chain when cooperating. | |
| H3 | Benefit distribution | The participants in the supply chain can achieve fairness and rationality in the distribution of benefits. | |
| H4 | Target consistency | The consistency of the objectives of each participant in the supply chain with the project objectives. | |
| H5 | Organizational mutual trust | Organizations can trust each other and have a high level of trust. | |
| H6 | Cooperation mechanism | The risk sharing of all participants in the supply chain, cooperation, and establishment of relevant management systems. | |
| Information risks (IRs) | X1 | Information construction | The level of information construction of each participant in the supply chain. |
| X2 | Information platform | The perfection of the construction of an information interaction platform, which can provide the basis for information sharing. | |
| X3 | Information sharing | The effect of information sharing among participants in the supply chain. | |
| X4 | Information transmission | The accuracy and timeliness of information transmission between supply chain participants. | |
| Management risks (MRs) | M1 | Crisis consciousness | The management measures for coping with risks, such as setting up emergency plans and disaster recovery plans. |
| M2 | Risk response | Risk control measures can be carried out in times when risk events occur. | |
| M3 | Experience summary | The ability to summarize experience and save data after a risk event occurs. | |
| M4 | Resource integration and reconstruction | The ability to integrate resources and reconstruct processes after the occurrences of risk events. | |
| M5 | Risk tolerance | The ability to bear economic losses after the occurrences of risk events. | |
| Design risks (DRs) | D1 | Component design | The technology of component design is innovative, and the standardization and modular design of components make it universal and interchangeable. |
| D2 | Change control | When a design change of the component occurs, it can respond quickly. | |
| D3 | Number of personnel | The number of professional and technical personnel with the ability to deepen the design. | |
| Component production risks (CPRs) | P1 | Component redundancy | The overcapacity in component production and the ability to replace defective components in time. |
| P2 | Component manufacturing | The integration level of component production, component quality, manufacturing cost, and quantity. | |
| P3 | Manufacturer management | The maturity of supplier management, supply plan, standardization, and specialization of the factory. | |
| Transportation risks (TRs) | T1 | Logistics company reliability | The transportation personnel have qualified skills and high quality, and the transportation company has a strong carrying capacity and can transport the components on time with reliability. |
| T2 | Transportation distance and cost | The distance of component transportation and the cost of transportation. | |
| T3 | Transport flexibility | When supply chain disruption occurs, the transportation plan can be adjusted in time. | |
| T4 | Level of transportation redundancy | Component transport has alternative routes and vehicles. | |
| Construction risks (CRs) | S1 | Construction capacity | The construction quality, methods and equipment, site layout management, and construction specialization. |
| S2 | Professional talents | The experience and ability of field personnel in the construction, cost, and safety of prefabricated buildings, and the base and plan setting of talent training. | |
| S3 | Construction technology | Construction organization design, technical scheme formulation, and process flow arrangement. | |
| S4 | Regulatory mechanisms | The number of personnel with construction site supervision experience. |
| Cronbach’s α | Cronbach’s α Based on Standardized Items | Number of Items |
|---|---|---|
| 0.971 | 0.971 | 39 |
| Latent Variables | Items | Mean | Standard Deviation | CITC | Cronbach’s α |
|---|---|---|---|---|---|
| EER | W1 | 133.93 | 619.468 | 0.462 | 0.817 |
| W2 | 133.72 | 619.369 | 0.523 | ||
| W3 | 133.51 | 613.165 | 0.631 | ||
| ORR | H1 | 133.53 | 611.973 | 0.692 | 0.910 |
| H2 | 133.78 | 620.903 | 0.550 | ||
| H3 | 133.62 | 613.532 | 0.635 | ||
| H4 | 133.71 | 614.232 | 0.667 | ||
| H5 | 133.65 | 613.373 | 0.709 | ||
| H6 | 133.55 | 615.440 | 0.669 | ||
| IR | X1 | 133.66 | 614.179 | 0.653 | 0.891 |
| X2 | 133.64 | 615.573 | 0.690 | ||
| X3 | 133.64 | 615.122 | 0.695 | ||
| X4 | 133.51 | 611.488 | 0.687 | ||
| MR | M1 | 133.50 | 610.691 | 0.778 | 0.896 |
| M2 | 133.44 | 616.999 | 0.686 | ||
| M3 | 133.58 | 612.881 | 0.710 | ||
| M4 | 133.58 | 612.892 | 0.710 | ||
| M5 | 133.53 | 613.499 | 0.699 | ||
| DR | D1 | 133.52 | 609.465 | 0.753 | 0.874 |
| D2 | 133.59 | 613.422 | 0.738 | ||
| D3 | 133.74 | 609.964 | 0.728 | ||
| CPR | P1 | 133.61 | 613.128 | 0.740 | 0.880 |
| P2 | 133.66 | 609.879 | 0.766 | ||
| P3 | 133.54 | 612.701 | 0.741 | ||
| TR | T1 | 133.74 | 615.245 | 0.689 | 0.896 |
| T2 | 133.93 | 614.157 | 0.706 | ||
| T3 | 133.71 | 607.767 | 0.780 | ||
| T4 | 133.89 | 612.981 | 0.697 | ||
| CR | S1 | 133.45 | 609.671 | 0.790 | 0.896 |
| S2 | 133.54 | 611.441 | 0.753 | ||
| S3 | 133.52 | 613.893 | 0.742 | ||
| S4 | 133.73 | 613.169 | 0.705 |
| Latent Variables | Items | Parameter Significance Estimation | Std. | SMC | CR | AVE | |||
|---|---|---|---|---|---|---|---|---|---|
| Unstd. | SE | t-Value | p-Value | ||||||
| EER | W1 | 1.454 | 0.183 | 7.954 | *** | 0.930 | 0.865 | 0.834 | 0.634 |
| W2 | 1.000 | 0.820 | 0.672 | ||||||
| W3 | 0.816 | 0.078 | 10.523 | *** | 0.719 | 0.517 | |||
| ORR | H1 | 0.999 | 0.083 | 12.069 | *** | 0.790 | 0.624 | 0.910 | 0.629 |
| H2 | 0.991 | 0.076 | 12.973 | *** | 0.839 | 0.704 | |||
| H3 | 0.905 | 0.076 | 11.915 | *** | 0.791 | 0.626 | |||
| H4 | 0.900 | 0.075 | 11.956 | *** | 0.793 | 0.629 | |||
| H5 | 1.006 | 0.082 | 12.316 | *** | 0.788 | 0.621 | |||
| H6 | 0.943 | 0.073 | 12.893 | *** | 0.811 | 0.658 | |||
| IR | X1 | 1.000 | 0.854 | 0.729 | 0.892 | 0.675 | |||
| X2 | 1.096 | 0.081 | 13.509 | *** | 0.832 | 0.692 | |||
| X3 | 1.032 | 0.079 | 13.016 | *** | 0.854 | 0.729 | |||
| X4 | 0.864 | 0.077 | 11.275 | *** | 0.765 | 0.585 | |||
| MR | M1 | 1.000 | 0.807 | 0.651 | 0.897 | 0.635 | |||
| M2 | 0.984 | 0.084 | 11.745 | *** | 0.794 | 0.630 | |||
| M3 | 0.939 | 0.085 | 11.019 | *** | 0.760 | 0.578 | |||
| M4 | 1.018 | 0.076 | 13.397 | *** | 0.859 | 0.738 | |||
| M5 | 0.889 | 0.070 | 12.659 | *** | 0.821 | 0.674 | |||
| DR | D1 | 1.000 | 0.828 | 0.686 | 0.875 | 0.699 | |||
| D2 | 0.958 | 0.071 | 13.515 | *** | 0.827 | 0.684 | |||
| D3 | 1.039 | 0.074 | 14.117 | *** | 0.847 | 0.717 | |||
| CPR | P1 | 1.000 | 0.853 | 0.728 | 0.880 | 0.710 | |||
| P2 | 0.845 | 0.062 | 13.735 | *** | 0.811 | 0.658 | |||
| P3 | 0.830 | 0.064 | 12.925 | *** | 0.789 | 0.623 | |||
| TR | T1 | 1.000 | 0.877 | 0.769 | 0.897 | 0.685 | |||
| T2 | 0.915 | 0.064 | 14.330 | *** | 0.830 | 0.689 | |||
| T3 | 1.083 | 0.077 | 14.086 | *** | 0.855 | 0.731 | |||
| T4 | 1.025 | 0.079 | 12.902 | *** | 0.811 | 0.658 | |||
| CR | S1 | 1.000 | 0.837 | 0.701 | 0.896 | 0.683 | |||
| S2 | 1.028 | 0.081 | 12.740 | *** | 0.802 | 0.643 | |||
| S3 | 1.000 | 0.801 | 0.642 | ||||||
| S4 | 0.822 | 0.080 | 10.279 | *** | 0.727 | 0.529 | |||
| SCR | R1 | 0.946 | 0.083 | 11.335 | *** | 0.780 | 0.608 | 0.918 | 0.615 |
| R2 | 0.983 | 0.079 | 12.434 | *** | 0.826 | 0.682 | |||
| R3 | 0.893 | 0.075 | 11.919 | *** | 0.808 | 0.653 | |||
| R4 | 0.931 | 0.080 | 11.573 | *** | 0.795 | 0.632 | |||
| R5 | 0.882 | 0.082 | 10.757 | *** | 0.749 | 0.561 | |||
| R6 | 1.454 | 0.183 | 7.954 | *** | 0.930 | 0.865 | |||
| R7 | 1.000 | 0.820 | 0.672 | ||||||
| Fit Indices 1 | Recommendations | Hypothesis Model |
|---|---|---|
| RMR | <0.05 | 0.039 |
| RMSEA | <0.08 | 0.067 |
| IFI | >0.90 | 0.908 |
| CFI | >0.90 | 0.907 |
| CMIN/DF | <3.00 | 1.769 |
| PGFI | >0.05 | 0.636 |
| PCFI | >0.05 | 0.815 |
| PNFI | >0.05 | 0.729 |
| Relationship | Standardized Factor Loadings | CR | p-Value | Support |
|---|---|---|---|---|
| EER → IR | 0.677 | 6.430 | *** | Yes |
| TR → CR | 0.923 | 12.820 | *** | Yes |
| DR → CCR | 0.931 | 11.315 | *** | Yes |
| IR → MR | 0.817 | 9.987 | *** | Yes |
| IR → ORR | 0.835 | 10.217 | *** | Yes |
| CCR → SCR | 0.240 | 1.345 | 0.039 * | Yes |
| CR → SCR | 0.422 | 2.369 | 0.018 * | Yes |
| MR → SCR | 0.247 | 1.802 | 0.041 * | Yes |
| ORR → SCR | −0.125 | −1.117 | 0.264 | No |
Disclaimer/Publisher’s Note: The statements, opinions and data contained in all publications are solely those of the individual author(s) and contributor(s) and not of MDPI and/or the editor(s). MDPI and/or the editor(s) disclaim responsibility for any injury to people or property resulting from any ideas, methods, instructions or products referred to in the content. |
© 2024 by the authors. Licensee MDPI, Basel, Switzerland. This article is an open access article distributed under the terms and conditions of the Creative Commons Attribution (CC BY) license (https://creativecommons.org/licenses/by/4.0/).
Share and Cite
Cheng, S.; Zhou, X.; Zhang, Y.; Duan, M.; Gao, J. Study on Resilience Factors and Enhancement Strategies in Prefabricated Building Supply Chains. Buildings 2024, 14, 195. https://doi.org/10.3390/buildings14010195
Cheng S, Zhou X, Zhang Y, Duan M, Gao J. Study on Resilience Factors and Enhancement Strategies in Prefabricated Building Supply Chains. Buildings. 2024; 14(1):195. https://doi.org/10.3390/buildings14010195
Chicago/Turabian StyleCheng, Shengdong, Xin Zhou, Yuhang Zhang, Mengna Duan, and Juncheng Gao. 2024. "Study on Resilience Factors and Enhancement Strategies in Prefabricated Building Supply Chains" Buildings 14, no. 1: 195. https://doi.org/10.3390/buildings14010195
APA StyleCheng, S., Zhou, X., Zhang, Y., Duan, M., & Gao, J. (2024). Study on Resilience Factors and Enhancement Strategies in Prefabricated Building Supply Chains. Buildings, 14(1), 195. https://doi.org/10.3390/buildings14010195
