Performance Evaluation of Inerter-Based Dynamic Vibration Absorbers for Wind-Induced Vibration Control of a Desulfurization Tower
Abstract
1. Introduction
2. Tower–IDVA Systems
2.1. Model of the Desulfurization Tower
2.2. Equations of the Tower–IDVA System
2.3. Optimal Design
3. Evaluation of Wind-Induced Vibration Control
3.1. Comparative Analysis of H∞ Performance
3.2. Along-Wind Vibration Control Analysis
3.3. Across-Wind Vibration Control Analysis
4. Parametric Study
5. Conclusions
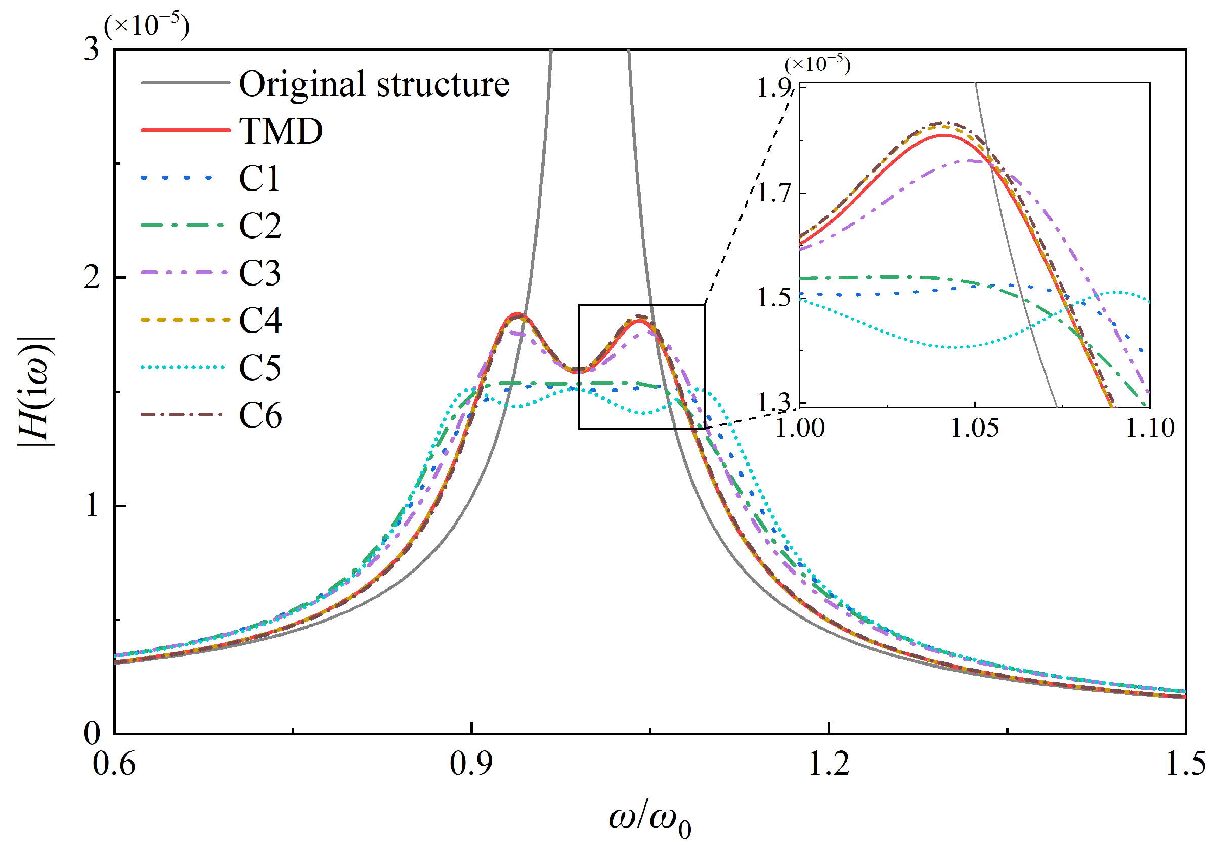
- C4 and C6, which only introduced an inerter element, cannot enhance the control performance of the TMD. It is necessary to add another spring element. The configurations C1, C2, C3, and C5 with three components—the spring, damper, and inerter—can enhance the H∞ performance and expand the effective frequency band of the TMD when parallel with the tuning spring component. The configurations C1 and C5, where the spring element is in series with other components, have a relatively close control performance and are significantly superior to other configurations.
- Under the along-wind loads, the application of C1 and C5 can reduce the tuned mass ratio of the TMD from 5% to below 3.3%, maintaining an equivalent vibration control performance for the tower. Under vortex excitation simulated by sinusoidal excitation in the across-wind direction, C1 and C5 demonstrate an even higher vibration mitigation ratio and greater lightweight effect. With mass ratios of 2.3%, C1 and C5 match the control performance of the TMD with a 5% tuned mass ratio, and their vibration mitigation ratio of the displacement response reaches 93.5%.
- C1 features a high optimal inertance–mass ratio and a low damping ratio, and it achieves further energy dissipation through an increased displacement response of the damping element by paralleling it with the inerter element. C5 adopts a series connection of the inerter, damping, and stiffness elements, with a larger inertance–mass ratio and an optimal damping coefficient close to that of the TMD, achieving further energy dissipation through the apparent mass enhancement of the inerter.
Author Contributions
Funding
Data Availability Statement
Conflicts of Interest
Appendix A
Appendix B
| Mode | Frequency (Beam199/Solid95) | Period (Beam188/Solid95) |
|---|---|---|
| Chinese codes [47,48] | Only Re and vcr of Section III meet the requirements | |
| Europe codes [49] | Only Section V needs to be calculated | |
| Japanese codes [50] | Only Section V needs to be calculated | |
| American codes [51] | Section III and Section V need to be calculated |


References
- Kareem, A. Emerging frontiers in wind engineering: Computing, stochastics, machine learning and beyond. J. Wind Eng. Ind. Aerodyn. 2020, 206, 104320. [Google Scholar] [CrossRef]
- Lorenzo, I.F.; Elena, B.C.; Rodríguez, P.M.; Parnás, V.B.E. Dynamic analysis of self-supported tower under hurricane wind conditions. J. Wind Eng. Ind. Aerodyn. 2020, 197, 104078. [Google Scholar] [CrossRef]
- Lupi, F.; Niemann, H.J.; Höffer, R. A novel spectral method for cross-wind vibrations: Application to 27 full-scale chimneys. J. Wind Eng. Ind. Aerodyn. 2017, 171, 353–365. [Google Scholar] [CrossRef]
- Han, Y.; Zhou, X.; Wang, L.; Cai, C.S.; Yan, H.; Hu, P. Experimental investigation of the vortex-induced vibration of tapered light poles. J. Wind Eng. Ind. Aerodyn. 2021, 211, 104555. [Google Scholar] [CrossRef]
- Arul, M.; Kareem, A.; Kwon, K.D. Identification of vortex-induced vibration of tall building pinnacle using cluster analysis for fatigue evaluation: Application to Burj Khalifa. J. Struct. Eng-ASCE 2020, 146, 04020234. [Google Scholar] [CrossRef]
- Kavyashree, B.G.; Patil, S.; Rao, V.S. Review on vibration control in tall buildings: From the perspective of devices and applications. Int. J. Dyn. Control 2020, 9, 1316–1331. [Google Scholar] [CrossRef]
- Jafari, M.; Alipour, A. Methodologies to mitigate wind-induced vibration of tall buildings: A state-of-the-art review. J. Build. Eng. 2020, 33, 101582. [Google Scholar] [CrossRef]
- Yang, F.; Sedaghati, R.; Esmailzadeh, E. Vibration suppression of structures using tuned mass damper technology: A state-of-the-art review. J. Vib. Control 2022, 28, 812–836. [Google Scholar] [CrossRef]
- Den Hartog, J.P. Mechanical Vibrations; Courier Corporation: New York, NY, USA, 1985. [Google Scholar]
- Colherinhas, G.B.; Morais, M.V.G.; Machado, M.R. Spectral model of offshore wind turbines and vibration control by pendulum tuned mass dampers. Int. J. Str. Stab. Dyn. 2022, 22, 2250053. [Google Scholar] [CrossRef]
- Elias, S.; Matsagar, V. Research developments in vibration control of structures using passive tuned mass dampers. Ann. Rev. Control 2017, 44, 129–156. [Google Scholar] [CrossRef]
- Brownjohn, J.M.W.; Carden, E.P.; Goddard, C.R.; Oudin, G. Real-time performance monitoring of tuned mass damper system for a 183 m reinforced concrete chimney. J. Wind Eng. Ind. Aerod. 2010, 98, 169–179. [Google Scholar] [CrossRef]
- Elias, S.; Matsagar, V.; Datta, T.K. Along-wind response control of chimneys with distributed multiple tuned mass dampers. Struct. Control Health Monit. 2019, 26, e2275. [Google Scholar] [CrossRef]
- Xiang, Y.; Tan, P.; He, H.; Yao, H.; Zheng, X. Seismic optimal design of hysteretic damping tuned mass damper (HD-TMD) for acceleration response control. Acta Mech. 2023; published online. [Google Scholar] [CrossRef]
- Franco, L.G.T.; Morita, N.F.; Fong, H.F.A.; Carbajal, F.B.; Lopez, A.E.D.; Arreola, D.E.R. Oscillation attenuation in a building-like structure by using a flexible vibration absorber. Mathematics 2022, 10, 289. [Google Scholar] [CrossRef]
- Nakano, Y.; Kishi, T.; Takahara, H. Experimental study on application of tuned mass dampers for chatter in turning of a thin-walled cylinder. Appl. Sci. 2021, 11, 12070. [Google Scholar] [CrossRef]
- Bekdas, G.; Nigdeli, S.M. Mass ratio factor for optimum tuned mass damper strategies. Int. J. Mech. Sci. 2013, 71, 68–84. [Google Scholar] [CrossRef]
- Lu, X.; Chen, J. Mitigation of wind-induced response of Shanghai Center Tower by tuned mass damper. Struct. Des. Tall Spec. Build. 2011, 20, 435–452. [Google Scholar] [CrossRef]
- Xu, K.; Bi, K.; Ge, Y.; Zhao, L.; Han, Q.; Du, X. Performance evaluation of inerter-based dampers for vortex-induced vibration control of long-span bridges: A comparative study. Struct. Control Health Monit. 2020, 27, e2529. [Google Scholar] [CrossRef]
- Smith, M.C. Synthesis of mechanical networks: The inerter. IEEE Trans. Autom. Control 2002, 47, 1648–1662. [Google Scholar] [CrossRef]
- Wang, F.; Hong, M.; Chen, C. Building suspensions with inerters. Proc. Inst. Mech. Eng. Part C J. Mech. Eng. Sci. 2010, 224, 1605–1616. [Google Scholar] [CrossRef]
- Lazar, I.F.; Neild, S.A.; Wagg, D.J. Using an inerter-based device for structural vibration suppression. Earthq. Eng. Struct. Dyn. 2014, 43, 1129–1147. [Google Scholar] [CrossRef]
- Ma, R.; Bi, K.; Hao, H. Inerter-based structural vibration control: A state-of-the-art review. Eng. Struct. 2021, 243, 112655. [Google Scholar] [CrossRef]
- Xu, T.; Li, Y.; Lai, T.; Zheng, J. A simplified design method of tuned inerter damper for damped civil structures: Theory, validation, and application. Struct. Control Health Monit. 2021, 28, e2798. [Google Scholar] [CrossRef]
- Zhang, R.; Zhao, Z.; Pan, C.; Ikago, K.; Xue, S. Damping enhancement principle of inerter system. Struct. Control Health Monit. 2020, 27, e2523. [Google Scholar] [CrossRef]
- Alotta, G.; Failla, G. Improved inerter-based vibration absorbers. Int. J. Mech. Sci. 2021, 192, 106087. [Google Scholar] [CrossRef]
- Liang, Q.; Li, L.; Yang, Q. Seismic analysis of the tuned-inerter-damper enhanced mega-sub structure system. Struct. Control Health Monit. 2020, 28, e2568. [Google Scholar] [CrossRef]
- Chen, H.; Bi, K.; Liu, Y.; Tan, P. Performance evaluation of multiple tuned inerter-based dampers for seismic induced structural vibration control. Struct. Control Health Monit. 2022, 29, e2860. [Google Scholar] [CrossRef]
- Marian, L.; Giaralis, A. Optimal design of a novel tuned mass-damper–inerter (TMDI) passive vibration control configuration for stochastically support-excited structural systems. Probabilist Eng. Mech. 2014, 38, 156–164. [Google Scholar] [CrossRef]
- Wang, Q.; Qiao, H.; Li, W.; You, Y.; Fan, Z.; Tiwari, N. Parametric optimization of an inerter-based vibration absorber for wind-induced vibration mitigation of a tall building. Wind Struct. 2020, 31, 241–253. [Google Scholar]
- Ikago, K.; Sugimura, Y.; Saito, K.; Inoue, N. Modal response characteristics of a multiple degree-of-freedom structure incorporated with tuned viscous mass dampers. J. Asian. Archit. Build. 2012, 11, 375–382. [Google Scholar] [CrossRef]
- Garrido, H.; Curadelli, O.; Ambrosini, D. Improvement of tuned mass damper by using rotational inertia through tuned viscous mass damper. Eng. Struct. 2013, 56, 2149–2153. [Google Scholar] [CrossRef]
- Zhang, Z.; Høeg, C. Inerter-enhanced tuned mass damper for vibration damping of floating offshore wind turbines. Ocean Eng. 2021, 223, 108663. [Google Scholar] [CrossRef]
- Zhang, R.; Cao, Y.; Dai, K. Response control of wind turbines with ungrounded tuned mass inerter system (TMIS) under wind loads. Wind Struct. 2021, 32, 573–586. [Google Scholar]
- Zhang, R.; Zhao, Z.; Dai, K. Seismic response mitigation of a wind turbine tower using a tuned parallel inerter mass system. Eng. Struct. 2019, 180, 29–39. [Google Scholar] [CrossRef]
- Zhang, L.; Xue, S.; Zhang, R.; Xie, L.; Hao, L. Simplified multimode control of seismic response of high-rise chimneys using distributed tuned mass inerter systems (TMIS). Eng. Struct. 2021, 228, 111550. [Google Scholar] [CrossRef]
- Wen, Y.; Chen, Z.; Hua, X. Design and evaluation of tuned inerter-based dampers for the seismic control of MDOF structures. J. Struct. Eng. 2017, 143, 04016207. [Google Scholar] [CrossRef]
- Su, N.; Peng, S.; Hong, N.; Xia, Y. Wind-induced vibration absorption using inerter-based double tuned mass dampers on slender structures. J. Build. Eng. 2022, 58, 104993. [Google Scholar] [CrossRef]
- Hu, Y.; Chen, M.Z.Q. Performance evaluation for inerter-based dynamic vibration absorbers. Int. J. Mech. Sci. 2015, 99, 297–307. [Google Scholar] [CrossRef]
- Li, S.; Liu, M.; Li, H.; Hui, Y.; Chen, Z. Effects of structural damping on wind-induced responses of a 243-meter-high solar tower based on a novel elastic test model. J. Wind Eng. Ind. Aerod. 2018, 172, 1–11. [Google Scholar] [CrossRef]
- Lin, J.; Zhang, Y.; Li, Q.; Williams, F. Seismic spatial effects for long-span bridges, using the pseudo excitation method. Eng. Struct. 2004, 26, 1207–1216. [Google Scholar] [CrossRef]
- Colherinhas, G.B.; Morais, M.V.G.; Shzu, M.A.M.; Avlia, S.M. Optimal pendulum tuned mass damper design applied to high towers using genetic algorithms: 2DOF modelling. Int. J. Str. Stab. Dyn. 2019, 19, 1950125. [Google Scholar] [CrossRef]
- Liao, F.; Lu, Y.; Liu, H. Cooperative optimal preview tracking control of continuous-time multi-agent systems. Int. J. Control 2016, 89, 2019–2028. [Google Scholar] [CrossRef]
- Kaveh, A.; Farzam, M.F.; Maroofiazar, R. Comparing H2 and H∞ algorithms for optimum design of tuned mass dampers under near-fault and far-fault earthquake motions. Period. Polytech. Civ. Eng. 2020, 64, 828–844. [Google Scholar] [CrossRef]
- Davenport, A.G. The response of slender, line-like structures to a gusty wind. Proc. Inst. Civ. Eng. 1961, 23, 389–408. [Google Scholar] [CrossRef]
- Wang, L.; Wang, Z.; Huang, N.; Fan, X.; Zhang, Z. Comparative analysis of cross-wind load code for high structures with circular sections. Structures 2022, 43, 117–1186. [Google Scholar] [CrossRef]
- NB/T 47041-2014; Vertical Vessels Supported by Skirt. Standards Press of China: Beijing, China, 2014.
- GB/T 50051-2021; Technical Standard for Chimney Engineering. China Planning Press: Beijing, China, 2021.
- BS EN 1991-3-2; Eurocode 3: Design of Steel Structures: Part 3-2: Towers, Masts and Chimneys. European Committee for Standardization: Brussels, Belgium, 2006.
- AIJ 2004; Recommendations for Loads on Buildings. Architectural Institute of Japan: Tokyo, Japan, 2004.
- ASME STS-1-2006; Steel Stacks. The American Society of Mechanical Engineers: New York, NY, USA, 2006.
- Holmes, J.D. Wind Loading of Structures, 3rd ed.; CRC Press: Boca Raton, FL, USA, 2018. [Google Scholar]
- Simiu, E.; Yeo, D.H. Wind Effect on Structures: Modern Structural Design for Wind, 4th ed.; Wiley-Blackwell: Hoboken, NJ, USA, 2019. [Google Scholar]




















| Segment | I | II | III | IV | V |
|---|---|---|---|---|---|
| Inside diameter/m | 7.700 | 7.700/5.760 | 5.760 | 2.700 | 2.700 |
| Thickness/m | 0.020 | 0.020/0.016 | 0.016 | 0.016 | 0.016 |
| Mode | Frequency (Beam199/Solid95) | Period (Beam188/Solid95) | Error |
|---|---|---|---|
| 1st | 0.908/0.888 | 1.101/1.126 | 2.3% |
| 2nd | 4.192/4.160 | 0.239/0.241 | 0.8% |
| 3rd | 9.156/9.050 | 0.109/1.111 | 1.2% |
| μt (%) | μin | υt | υin | ξin | |
|---|---|---|---|---|---|
| TMD | 2 | / | 0.9794 | / | 0.0874 (ξt) |
| 5 | / | 0.9524 | / | 0.1336 (ξt) | |
| C1 | 2 | 0.0646 | 0.9547 | 0.0738 | 0.0149 |
| 5 | 0.1322 | 0.9060 | 0.1937 | 0.0548 | |
| C2 | 2 | 0.0683 | 0.9990 | 0.0621 | 0.0136 |
| 5 | 0.0950 | 0.9705 | 0.0866 | 0.0176 | |
| C3 | 2 | 0.0038 | 0.9031 | 0.4170 | 0.1619 |
| 5 | 0.0037 | 0.9013 | 0.8104 | 0.1520 | |
| C4 | 2 | →0 | 0.9796 | / | 0.0862 |
| 5 | →0 | 0.9511 | / | 0.1346 | |
| C5 | 2 | 0.0413 | 0.9596 | 0.0438 | 0.0764 |
| 5 | 0.1123 | 0.8978 | 0.1333 | 0.1156 | |
| C6 | 2 | →+∞ | 1.0136 | / | 0.0975 |
| 5 | →+∞ | 0.9511 | / | 0.1359 |
Disclaimer/Publisher’s Note: The statements, opinions and data contained in all publications are solely those of the individual author(s) and contributor(s) and not of MDPI and/or the editor(s). MDPI and/or the editor(s) disclaim responsibility for any injury to people or property resulting from any ideas, methods, instructions or products referred to in the content. |
© 2024 by the authors. Licensee MDPI, Basel, Switzerland. This article is an open access article distributed under the terms and conditions of the Creative Commons Attribution (CC BY) license (https://creativecommons.org/licenses/by/4.0/).
Share and Cite
Li, Y.; Zhang, Q.; Xu, Y.; Wen, J.; Wang, Z. Performance Evaluation of Inerter-Based Dynamic Vibration Absorbers for Wind-Induced Vibration Control of a Desulfurization Tower. Buildings 2024, 14, 150. https://doi.org/10.3390/buildings14010150
Li Y, Zhang Q, Xu Y, Wen J, Wang Z. Performance Evaluation of Inerter-Based Dynamic Vibration Absorbers for Wind-Induced Vibration Control of a Desulfurization Tower. Buildings. 2024; 14(1):150. https://doi.org/10.3390/buildings14010150
Chicago/Turabian StyleLi, Yang, Qinghua Zhang, Yanwei Xu, Jinlong Wen, and Zhihao Wang. 2024. "Performance Evaluation of Inerter-Based Dynamic Vibration Absorbers for Wind-Induced Vibration Control of a Desulfurization Tower" Buildings 14, no. 1: 150. https://doi.org/10.3390/buildings14010150
APA StyleLi, Y., Zhang, Q., Xu, Y., Wen, J., & Wang, Z. (2024). Performance Evaluation of Inerter-Based Dynamic Vibration Absorbers for Wind-Induced Vibration Control of a Desulfurization Tower. Buildings, 14(1), 150. https://doi.org/10.3390/buildings14010150

