Experimental Study on the Seismic Performance of L-Shaped CFST Columns in Different Combinations
Abstract
:1. Introduction
2. Materials and Methods
2.1. Specimen Design and Construction
2.2. Test Setup
3. Experimental Results
3.1. Falire Mode
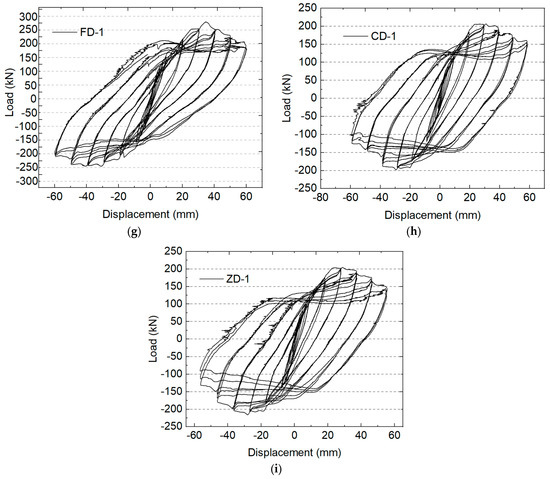
3.2. Hysteresis Behavior
3.3. Skeleton Curve Response
3.4. Bearing Capacity Degradation
3.5. Stiffness Degradation
3.6. Energy Dissipation Capacity
3.7. Ductility
4. Conclusions
- All L-shaped CFST columns examined in the tests displayed well-rounded hysteretic loops, demonstrating favorable energy dissipation and ductility characteristics, ultimately experiencing a ductile failure mode;
- The loading direction of L-shaped CFST columns significantly impacted the load-bearing capacity of the specimen, such as the specimens F-1, C-1, and Z-1, on the long leg loading direction, which had 206, 177, and 93. kN maximum load-bearing capacity. On the other hand, specimens F-2, C-2, and Z-2 with short leg loading direction exhibited 134, 93, and 93 kN peak load-bearing capacity, respectively;
- Specimen FD-1 showed the highest peak load-bearing by 253 kN with a corresponding ultimate 50.3 mm lateral deformation, which indicates the steel tube increased the confinement ratio of the L-shaped CFST columns;
- All specimens failed because of significant infill concrete damage and the bottom of the column steel tube tearing and fractures. The cracks and fractures of the steel tubes were measured almost at 30–50 mm above the beam–column connections.
Author Contributions
Funding
Data Availability Statement
Conflicts of Interest
References
- Dong, X.; Wang, L.; Xu, Z.; Liu, L.; Guan, S.; Chen, H. Cyclic performance of T-Shaped CFST column to steel beam joint with vertical stiffener. Structures 2023, 55, 1659–1674. [Google Scholar] [CrossRef]
- Zheng, Y.; Liang, W.; Ma, S.; Zeng, S. Behavior of stiffened and multi-cell L-shaped CFST columns under eccentric compression. Thin-Walled Struct. 2022, 174, 109156. [Google Scholar] [CrossRef]
- Yang, Y.; Wang, G.; Yang, W.; Wei, X.; Chen, Y.F. Experimental research on fire behavior of L-shaped CFST columns under axial compression. J. Constr. Steel Res. 2022, 198, 107505. [Google Scholar] [CrossRef]
- Cai, W.-Z.; Wang, B.; Shi, Q.-X. Hysteretic model and seismic energy response of CFST columns in diagrid structure. J. Build. Eng. 2023, 68, 106185. [Google Scholar] [CrossRef]
- Li, B.; Yang, Y.; Liu, J.; Liu, X.; Cheng, Y.; Chen, Y.F. Behavior of T-shaped CFST column to steel beam connection with U-shaped diaphragm. J. Build. Eng. 2021, 43, 102518. [Google Scholar] [CrossRef]
- Xiao, Y.; Bie, X.-M.; Song, X.; Zhang, J.; Du, G. Performance of composite L-shaped CFST columns with inner I-shaped steel under axial compression. J. Constr. Steel Res. 2020, 170, 106138. [Google Scholar] [CrossRef]
- Tao, Z.; Hasan, M.M.; Han, D.; Qin, Q.; Abdul Ghafar, W. Study of the Axial Compressive Behaviour of Cross-Shaped CFST and ST Columns with Inner Changes. Buildings 2023, 13, 423. [Google Scholar] [CrossRef]
- Shen, Z.-Y.; Lei, M.; Li, Y.-Q.; Lin, Z.-Y.; Luo, J.-H. Experimental study on seismic behavior of concrete-filled L-shaped steel tube columns. Adv. Struct. Eng. 2013, 16, 1235–1247. [Google Scholar] [CrossRef]
- Zhang, L.; Zhang, Y.-J.; Tong, J.-Z.; Tong, G.-S.; Fu, B.; Xu, Y.-M. Experimental study on multi-cellular L-shaped CFST slender columns under biaxial eccentric compression. Structures 2022, 45, 2210–2225. [Google Scholar] [CrossRef]
- Zheng, Y.; Yang, S.; Lai, P. Hysteretic behavior of multi-cell L-shaped concrete-filled steel tubular columns at different loading angles. Eng. Struct. 2020, 202, 109887. [Google Scholar] [CrossRef]
- Zheng, Y.; Zeng, S. Design of L-shaped and T-shaped concrete-filled steel tubular stub columns under axial compression. Eng. Struct. 2020, 207, 110262. [Google Scholar] [CrossRef]
- Zhou, T.; Jia, Y.; Xu, M.; Wang, X.; Chen, Z. Experimental study on the seismic performance of L-shaped column composed of concrete-filled steel tubes frame structures. J. Constr. Steel Res. 2015, 114, 77–88. [Google Scholar] [CrossRef]
- Chang, X.; Fu, L.; Zhao, H.-B.; Zhang, Y.-B. Behaviors of axially loaded circular concrete-filled steel tube (CFT) stub columns with notch in steel tubes. Thin-Walled Struct. 2013, 73, 273–280. [Google Scholar] [CrossRef]
- Ekmekyapar, T.; Ghanim Hasan, H. The influence of the inner steel tube on the compression behaviour of the concrete filled double skin steel tube (CFDST) columns. Mar. Struct. 2019, 66, 197–212. [Google Scholar] [CrossRef]
- Zhou, L.; Zhang, Z.; Liu, C.; Shi, G. Experimental and numerical investigation of axially loaded L-shaped box-T section columns. Eng. Struct. 2023, 291, 116412. [Google Scholar] [CrossRef]
- GB/T228-2002; Metallic Materials—Tensile Testing at Ambient Temperature. General Administration of Quality Supervision, Inspection and Quarantine of the People’s Republic of China: Beijing, China, 2002.
- GBJ/81-1985; Testing Methods for Mechanical Performance of Ordinary Concrete. General Administration of Quality Supervision, Inspection and Quarantine of the People’s Republic of China: Beijing, China, 1985.
- JGJ/T 101-2015; Specification for Seismic Test of Buildings. Housing and Urban-Rural Development: Beijing, China, 2015.
- Wahab, A.G.; Zhong, T.; Wei, F.; Hakimi, N.; Ahiwale, D.D. Seismic performance enhancement of RC framed structures through retrofitting and strengthening: An experimental and numerical study. Asian J. Civ. Eng. 2023. [Google Scholar] [CrossRef]
- Abdul Ghafar, W.; Zhong, T.; Abid, M.; Faizan, E.; Mohamed, A.; Yosri, A.M. Seismic performance investigation of an innovative steel shear wall with semi-rigid beam-to-column connections. Front. Mater. 2022, 9, 1075300. [Google Scholar] [CrossRef]
- JGJ-101; Specification of Testing Methods for Earthquake Resistant Building. China Architecture and Building Press Beijing: Beijing, China, 2015.
- Huangfu, S.-E.; Tao, Z.; Zhang, J.; Ghafar, W.A.; Wang, Z.; Ye, C.; Hasan, M. Flexural Behavior of Stainless Steel V-Stiffened Lipped Channel Beams. Metals 2023, 13, 434. [Google Scholar] [CrossRef]
- Abdul Ghafar, W.; Tao, Z.; Tao, Y.; He, Y.; Wu, L.; Zhang, Z. Experimental and Numerical Study of an Innovative Infill Web-Strips Steel Plate Shear Wall with Rigid Beam-to-Column Connections. Buildings 2022, 12, 1560. [Google Scholar] [CrossRef]














| Specimen | t (mm) | b1/b2 | Loading Direction | Axial Compression Ratio (h) | Concrete Grade | Steel Grade |
|---|---|---|---|---|---|---|
| Z-1 | 3.75 | 1.5 | X | 0.3 | C35 | Q235 |
| Z-2 | 3.75 | 1.5 | Y | 0.3 | C35 | Q235 |
| F-1 | 3.75 | 1.5 | X | 0.3 | C35 | Q235 |
| F-2 | 3.75 | 1.5 | Y | 0.3 | C35 | Q235 |
| C-1 | 3.75 | 1.5 | X | 0.3 | C35 | Q235 |
| C-2 | 3.75 | 1.5 | Y | 0.3 | C35 | Q235 |
| ZD-1 | 3.75 | 1 | X | 0.3 | C35 | Q235 |
| FD-1 | 3.75 | 1 | X | 0.3 | C35 | Q235 |
| CD-1 | 3.75 | 1 | X | 0.3 | C35 | Q235 |
| Copoun Test Specimens | Yield Strength fy (MPa) | Ultimate Strength fu (MPa) | Elastic Module E (GPa) |
|---|---|---|---|
| Z-1 | 303.8 | 428.6 | 200 |
| L-1 | 272.7 | 384.7 | 196 |
| C-1 | 280.0 | 395.0 | 196 |
| F-1 | 310.1 | 368.7 | 200 |
| Specimen | Py (kN) | ∆y (mm) | Pmax (kN) | ∆max (mm) | ∆u (mm) | µ |
|---|---|---|---|---|---|---|
| F-1 | 198.89 | 21.57 | 205.54 | 29.37 | 44.87 | 2.08 |
| F-2 | 118.76 | 15.77 | 133.98 | 30.43 | 41.91 | 2.65 |
| C-1 | 160.04 | 21.96 | 177.48 | 31.76 | 47.79 | 2.18 |
| C-2 | 77.40 | 14.07 | 93.40 | 25.00 | 36.73 | 2.61 |
| Z-1 | 153.01 | 21.66 | 165.99 | 31.57 | 42.93 | 1.98 |
| Z-2 | 77.99 | 14.71 | 92.95 | 23.70 | 34.12 | 2.32 |
| FD-1 | 219.97 | 21.54 | 252.85 | 30.80 | 50.30 | 2.34 |
| CD-1 | 166.94 | 19.68 | 195.92 | 29.30 | 48.01 | 2.44 |
| ZD-1 | 161.76 | 19.98 | 189.55 | 27.82 | 46.40 | 2.32 |
Disclaimer/Publisher’s Note: The statements, opinions and data contained in all publications are solely those of the individual author(s) and contributor(s) and not of MDPI and/or the editor(s). MDPI and/or the editor(s) disclaim responsibility for any injury to people or property resulting from any ideas, methods, instructions or products referred to in the content. |
© 2023 by the authors. Licensee MDPI, Basel, Switzerland. This article is an open access article distributed under the terms and conditions of the Creative Commons Attribution (CC BY) license (https://creativecommons.org/licenses/by/4.0/).
Share and Cite
Han, D.; Tao, Z.; Abdul Ghafar, W.; Hasan, M.M.; Xiao, W.; Wang, T.; Zhou, K.; Dai, H. Experimental Study on the Seismic Performance of L-Shaped CFST Columns in Different Combinations. Buildings 2023, 13, 2320. https://doi.org/10.3390/buildings13092320
Han D, Tao Z, Abdul Ghafar W, Hasan MM, Xiao W, Wang T, Zhou K, Dai H. Experimental Study on the Seismic Performance of L-Shaped CFST Columns in Different Combinations. Buildings. 2023; 13(9):2320. https://doi.org/10.3390/buildings13092320
Chicago/Turabian StyleHan, Dongji, Zhong Tao, Wahab Abdul Ghafar, Md Mehedi Hasan, Weichao Xiao, Tao Wang, Kun Zhou, and Hongye Dai. 2023. "Experimental Study on the Seismic Performance of L-Shaped CFST Columns in Different Combinations" Buildings 13, no. 9: 2320. https://doi.org/10.3390/buildings13092320
APA StyleHan, D., Tao, Z., Abdul Ghafar, W., Hasan, M. M., Xiao, W., Wang, T., Zhou, K., & Dai, H. (2023). Experimental Study on the Seismic Performance of L-Shaped CFST Columns in Different Combinations. Buildings, 13(9), 2320. https://doi.org/10.3390/buildings13092320

