Serviceability Evaluation of High-Rise Buildings Exposed to Typhoon Proximity Effects Using ISO10137 and ISO6897
Abstract
1. Introduction
2. Related Work
2.1. International Standards for the Evaluation of Vibration Serviceability of Buildings
2.2. BS 6841:1987
2.3. ISO 2631-1:2003
2.4. ISO 10137:2007
2.5. AISC (American Institute of Steel Construction) Design Guide 11:2002
2.6. ISO 6897:1984
2.7. Trend of Studies Related to the Serviceability Evaluation of High-Rise Buildings
3. Identification of Target Building Information and Structural System
3.1. Building Information and Acceleration Measurement Method
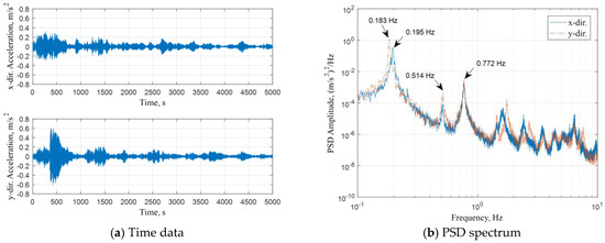
3.2. Results of Vibration Acceleration Measurement
3.3. Evaluation of Serviceability on Vibration Acceleration of Horizontal Vibration
4. Summary and Conclusions
- The domestic and international vibration serviceability standards have been continuously studied over the course of 40 to 50 years, but most of the standards apply primarily to vertical vibrations of the floor or other restricted vibrations.
- Although there are not many high-rise buildings, people on the top floors can experience low-frequency vibrations due to wind or the building’s natural frequency. Therefore, it is advisable to evaluate the serviceability before designing a building. However, the standards that assist with this, ISO10137 and ISO6897, have limited applicability.
- The effective acceleration at the top floor of super-tall buildings has been analyzed to be 0.0005 to 0.2 m/s2. The research target building is a square-shaped super-tall building, with its y- and y-axis natural vibration frequencies close to 0.184 Hz and 0.200 Hz, respectively. The second- and third-mode vibration frequencies are also below 1 Hz, which identifies the building as greatly influenced by typical low-frequency vibrations.
- The acceleration change of a building due to typhoons was measured to be significantly higher (up to 0.6 m/s2) compared to normal conditions (0.005 m/s2)—a maximum of 120 times higher. No change was observed in the natural vibration frequency. The gust wind speed was higher than that of Typhoon Danas during the gust, and the results of the measurement also confirmed that the instantaneous acceleration increased during the gust, and the building was shaken more, revealing the relationship of the building to wind.
- The evaluation results showed that the horizontal vibration exceeded the allowable vibration standards proposed by ISO 10137 (2007) and ISO 6897 (1984), but it was not possible to confirm the actual relevance. This is because a survey of the residents’ discomfort was not carried out in this study. In the future, as high-rise buildings are constructed, research on building horizontal vibration and residents’ perception and discomfort is required. Such research should be validated through field vibration measurement data and resident surveys. This is because the results from laboratory-level vibration sensory experiments may differ from actual trends. To this end, continuous monitoring of building vibrations and resident responses is necessary for buildings that are potentially vulnerable to vibration problems. This requires the development of technology for building vibration and resident response monitoring.
Author Contributions
Funding
Data Availability Statement
Conflicts of Interest
References
- Brownjohn, J.M. Ambient vibration studies for system identification of tall buildings. Earthq. Eng. Struct. Dyn. 2003, 32, 71–95. [Google Scholar] [CrossRef]
- Torkamani, M.A.; Pramono, E. Dynamic response of tall building to wind excitation. J. Struct. Eng. 1985, 111, 805–825. [Google Scholar] [CrossRef]
- Park, S.J.; Subramaniyam, M. Evaluating methods of vibration exposure and ride comfort in car. J. Ergon. Soc. Korea 2013, 32, 381–387. [Google Scholar] [CrossRef][Green Version]
- Baliatsas, C.; van Kamp, I.; van Poll, R.; Yzermans, J. Health effects from low-frequency noise and infrasound in the general population: Is it time to listen? A systematic review of observational studies. Sci. Total Environ. 2016, 557, 163–169. [Google Scholar] [CrossRef] [PubMed]
- Hansen, C. Effects of Low-Frequency Noise and Vibration on People; Multi-Science Publishing Co., Ltd.: Brentwood, UK, 2007. [Google Scholar]
- Ozkaya, N.; Willems, B.; Goldsheyder, D.; Nordin, M. Whole-body vibration exposure experienced by subway train operators. J. Low Freq. Noise Vib. Act. Control 1994, 13, 13–18. [Google Scholar] [CrossRef]
- Heo, S.; Na, S.; Hur, M.W.; Lee, S. Evaluating the Vertical Extension Module of a Building with Installed Rotary Dampers at Joints. Buildings 2021, 11, 536. [Google Scholar] [CrossRef]
- Chang, F.K. Human response to motions in tall buildings. J. Struct. Div. 1973, 99, 1259–1272. [Google Scholar] [CrossRef]
- Chen, P.W.; Robertson, L.E. Human perception thresholds of horizontal motion. J. Struct. Div. 1972, 98, 1681–1695. [Google Scholar] [CrossRef]
- Hansen, R.J.; Reed, J.W.; Vanmarcke, E.H. Human response to wind-induced motion of buildings. J. Struct. Div. 1973, 99, 1589–1605. [Google Scholar] [CrossRef]
- BS 6841; Guide to Measurement and Evaluation of Human Exposure to Whole-Body Mechanical Vibration and Repeated Shock. British Standards Institution: Milton Keynes, UK, 1987.
- ISO 2631-1; Mechanical Vibration and Shock-Evaluation of Human Exposure to Whole-Body Vibration—Part 1: General Requirements. International Organization for Standardization: Geneva, Switzerland, 1997.
- European Convention for Constructional Steelwork. Technical Committee 12, Wind. Recommendations for Calculating the Effects of Wind on Constructions; ECCS: Brussels, Belgium, 1987. [Google Scholar]
- National Building Code of Canada. Part4 Structural Design 4; National Research Council of Canada: Ottawa, ON, Canada, 1990. [Google Scholar]
- Murray, T.M.; Allen, D.E.; Ungar, E.E.; Davis, D.B. Vibrations of Steel-Framed Structural Systems due to Human Activity; American Institute of Steel Construction: Chicago, IL, USA, 2016. [Google Scholar]
- Australian Standard Rules. Minimum Design Loads on Structures, Part 2—Wind Forces; Standards Australia Office: Sydney, Australia, 1975. [Google Scholar]
- ISO 10137; Bases for Design of Structures-Serviceability of Buildings against Vibration. International Organization for Standardization: Geneva, Switzerland, 1992.
- ISO 2631-2; Evaluation of Human Exposure to Whole-Body Vibration—Part 2: Continuous and Shock-Induced Vibrations in Buildings (1 to 80 Hz). International Organization for Standardization: Geneva, Switzerland, 1989.
- ISO 6897; Guidelines for the Evaluation of the Response of Occupants of Fixed Structures, Especially Buildings and OFF-Shore Structures, to Low-Frequency Horizontal Motion (0.063 to 1 Hz). International Organization for Standardization: Geneva, Switzerland, 1984.
- Howarth, H. Human exposure to wind-induced motion in tall buildings: And assessment of guidance in ISO 6897 and ISO 10137. In Proceedings of the 50th United Kingdom Conference on Human Responses to Vibration, Southampton, UK, 9–10 September 2015. [Google Scholar]
- Kwok, K.C.; Burton, M.D.; Hitchcock, P.A. Human perception of wind-induced tall building motions. In Proceedings of the UK Conference on Wind Engineering, Glasgow, UK, 4–6 September 2006; pp. 11–18. [Google Scholar]
- Michaels, M.N.; Kwok, K.C.; Hitchcock, P.A. Human body response to low frequency narrow-band random building motions. In Proceedings of the Seventh Asia-Pacific Conference on Wind Engineering, Taipei, Taiwan, 8–12 November 2009. [Google Scholar]
- AIJES-V 001; Standard for the Evaluation of Habitability to Building Vibration. Architectural Institute of Japan: Tokyo, Japan, 2004.
- Tamura, Y.; Kawana, S.; Nakamura, O.; Kanda, J.; Nakata, S. Evaluation perception of wind-induced vibration in buildings. Proc. Inst. Civ. Eng.-Struct. Build. 2006, 159, 283–293. [Google Scholar] [CrossRef]
- Wang, C.; Li, Z.; Hu, L.; Zhao, Z.; Luo, Q.; Hu, J.; Zhang, X. Field research on the wind-induced response of a super high-rise building under typhoon. Appl. Sci. 2019, 9, 2180. [Google Scholar] [CrossRef]
- Wu, J.; Xu, H.; Zhang, Q. Dynamic performance evaluation of Shanghai Tower under winds based on full-scale data. Struct. Des. Tall Spec. Build. 2019, 28, e1611. [Google Scholar] [CrossRef]
- Zhang, L.; Hu, X.; Xie, Z.; Shi, B.; Zhang, L.; Wang, R. Field measurement study on time-varying characteristics of modal parameters of super high-rise buildings during super typhoon. J. Wind Eng. Ind. Aerodyn. 2020, 200, 104139. [Google Scholar] [CrossRef]
- Su, J.Z.; Xia, Y.; Zhu, L.D.; Zhu, H.P.; Ni, Y.Q. Typhoon-and temperature-induced quasi-static responses of a supertall structure. Eng. Struct. 2017, 143, 91–100. [Google Scholar] [CrossRef]
















| Year | Nation /Organization | Standard Name | Overview | Note |
|---|---|---|---|---|
| 1984 | ISO | ISO 6897 | Evaluation of residents’ awareness of horizontal vibration | |
| 1987 | United Kingdom | BS 6841 | British standard guide for measuring and evaluating whole-body vibration amplitude in mechanical vibration and repeated shock | |
| 1987 | ISO | ISO 2631-1 | Evaluation of whole-body vibration—basic requirements | |
| 1990 | United Kingdom | BS 7385-1 | Guidelines for evaluating and measuring building vibration | |
| 1992 | United Kingdom | BS 6472 | Guide for evaluating whole-body vibration amplitude due to building vibration (1 Hz to 80 Hz) | Vibration caused by continuous shocks in buildings, similar to ISO 2631-2/1989 |
| 1993 | United Kingdom | BS 7385-2 | Evaluation and measurement of building vibration—guide to long-term hazard level from ground vibration | Similar to ISO 4356/1977 |
| 1994 | ISO | ISO Amendment 2-4866 | Building vibration—guidelines for impact assessment and vibration measurement in buildings | Similar to BS 7385-1 |
| 1995 | Canada | NBC 1995 [14] | Evaluation of floor vibration due to pedestrian and dynamic loads | |
| 1997 | Denmark | Guideline for environmental assessment of low-frequency sound and vibration, based on No. 9/1997 and ISO/DIS 2631-2 | Published as a guide for environmental vibration assessment in 1983 | |
| 1997 | Sweden | SS 4604861 | Evaluation criteria for vibration—measurement and guideline for comfort assessment in buildings—based on ISO/DIS 2631-2 | Evaluation unit: corrected vibration velocity amplitude (mm/s), standard: 5 nm/s |
| 1997 | United States, Canada | AISC #11 | Classification of vibration factors caused by human walking, rhythmic movements, and machinery in buildings | |
| 1999 | Germany | VDI 2057-1 | Unified method for assessment of whole-body vibration and its evaluation for comfort, health, and vibration perception—based on ISO 2631-1/1997 | VDI 2057 has been published since 1983 |
| 2002 | France | Defines a scale for human exposure to building vibrations, establishes regulations and control methods, and evaluates complaints | Laws concerning building vibrations have been edited since 1986 | |
| 2002 | European United | EC 3, EC 4 | Minimum health and safety requirements regarding the risk of worker exposure to noise generated in a building | Directive 89/391/EC |
| 2003 | ISO | ISO/DIS 8041 | Human response to vibration-measuring instrument | |
| 2003 | ISO | ISO 2631-2 | Evaluation of human exposure to mechanical vibration and shock—whole-body vibration in buildings (1 Hz to 80 Hz) | If the direction of motion is clear, use ISO 2631-1 |
| 2007 | ISO | ISO 10137 | Quantitatively evaluates the serviceability of structures such as buildings or bridges for users exposed to vibration |
| Input Position | Axis | Frequency Weighting | Axis Multiplying Factor |
|---|---|---|---|
| Seat | X | Wd | 1.00 |
| Y | Wd | 1.00 | |
| Z | Wb | 1.00 | |
| Rx | We | 0.63 | |
| Ry | We | 0.40 | |
| Rz | We | 0.2 | |
| Seat back | X | Wc | 0.8 |
| Y | Wd | 0.5 | |
| Z | Wd | 0.1 | |
| Feet | X | Wb | 0.25 |
| Y | Wb | 0.25 | |
| Z | Wb | 0.4 |
| Vibration Frequency Weighting | Health | Comfort | Perception | Motion Sickness |
|---|---|---|---|---|
| Z-axis, seated position | Z-axis, seated position Z-axis, standing position, lying down position | Z-axis, seated posture; z-axis, standing posture | - | |
| X-axis/y-axis, seated posture | Sitting posture, x-axis/y-axis Standing posture, x-axis/y-axis | - | - | |
| - | - | - | Vertical direction |
| Vibration Frequency Weighting | Bandpass Filter | Acceleration-to-Velocity Transfer Filter | High-Pass Filter | ||||||
|---|---|---|---|---|---|---|---|---|---|
| f1 (Hz) | f2 (Hz) | f3 (Hz) | f4 (Hz) | Q4 | f5 (Hz) | Q5 | f6 (Hz) | Q6 | |
| 0.4 | 100 | 12.5 | 12.5 | 0.63 | 2.37 | 0.91 | 3.35 | 0.91 | |
| 0.4 | 100 | 2.0 | 2.0 | 0.63 | ∞ | - | ∞ | - | |
| 0.08 | 0.63 | ∞ | 0.25 | 0.86 | 0.0625 | 0.80 | 0.1 | 0.80 | |
| 0.315 m/s2; or Less | 0.315 m/s2 −0.63 m/s2 | 0.5 m/s2 −1 m/s2 | 0.8 m/s2 −1.6 m/s2 | 1.25 m/s2 −2.5 m/s2 | In Excess of 2 m/s2 |
|---|---|---|---|---|---|
| Uncomfortable | Causes slight discomfort | Causes moderate discomfort | Causes average discomfort | Causes significant discomfort | Causes extreme discomfort |
| Order of Harmonic Vibration | Person Walking | Aerobics | Group Dancing | |||
|---|---|---|---|---|---|---|
| 1 | 1.6–2.2 | 0.5 | 2–2.75 | 1.5 | 1.5–3 | 0.5 |
| 2 | 3.2–4.4 | 0.2 | 4–5.5 | 0.6 | - | - |
| 3 | 4.8–6.6 | 0.1 | 6–8.25 | 0.1 | - | - |
| 4 | 6.4–8.8 | 0.05 | - | - | - | - |
| Equipment | Model | Characteristics |
|---|---|---|
| Accelerometer | Wilcoxn 731A |
|
| Power Amplifier | P31 Power Amplifier |
|
| DAQ | NI USB-6218 BNC |
|
| Date | Time | Average Wind Speed (Max) | Wind Direction | Case |
|---|---|---|---|---|
| 05.10.2016 | 17:00–18:59 | 0.1 (0.1) m/s | Tranquility | Ambient Vibration |
| 05.10.2016 | 11:00–12:59 | 9.0 (22.7) m/s | SW | Typhoon Chava |
| 08.10.2013 | 21:00–22:59 | 9.1 (14.2) m/s | NE | Typhoon Danas |
| CASE | Mode 1 | Mode 2 | Mode 3 |
|---|---|---|---|
| Frequency (Hz) | Hz | Hz | |
| Ambient (2016) | 0.199 | 0.524 | 0.776 |
| 1.127 × 10−4 | 6.631 × 10−7 | 1.644 × 10−5 | |
| Chaba (2016) | 0.195 | 0.514 | 0.766 |
| 0.3563 | 8.317 × 10−5 | 1.804 × 10−3 | |
| Danas (2013) | 0.2 | 0.554 | 0.789 |
| 0.1889 | 1.586 × 10−4 | 9.056 × 10−4 |
| CASE | Mode 1 | Mode 2 | Mode 3 |
|---|---|---|---|
| Frequency (Hz) | Hz | Hz | |
| Ambient (2016) | 0.187 | 0.524 | 0.776 |
| 4.142 × 10−5 | 3.932 × 10−6 | 1.731 × 10−5 | |
| Chaba (2016) | 0.183 | 0.514 | 0.772 |
| 1.172 | 5.017 × 10−4 | 3.333 × 10−3 | |
| Danas (2013) | 0.184 | 0.554 | 0.801 |
| 0.2761 | 7.322 × 10−5 | 8.587 × 10−4 |
Disclaimer/Publisher’s Note: The statements, opinions and data contained in all publications are solely those of the individual author(s) and contributor(s) and not of MDPI and/or the editor(s). MDPI and/or the editor(s) disclaim responsibility for any injury to people or property resulting from any ideas, methods, instructions or products referred to in the content. |
© 2023 by the authors. Licensee MDPI, Basel, Switzerland. This article is an open access article distributed under the terms and conditions of the Creative Commons Attribution (CC BY) license (https://creativecommons.org/licenses/by/4.0/).
Share and Cite
Heo, S.; Na, S.; Choi, W. Serviceability Evaluation of High-Rise Buildings Exposed to Typhoon Proximity Effects Using ISO10137 and ISO6897. Buildings 2023, 13, 2119. https://doi.org/10.3390/buildings13082119
Heo S, Na S, Choi W. Serviceability Evaluation of High-Rise Buildings Exposed to Typhoon Proximity Effects Using ISO10137 and ISO6897. Buildings. 2023; 13(8):2119. https://doi.org/10.3390/buildings13082119
Chicago/Turabian StyleHeo, Seokjae, Seunguk Na, and Wonjun Choi. 2023. "Serviceability Evaluation of High-Rise Buildings Exposed to Typhoon Proximity Effects Using ISO10137 and ISO6897" Buildings 13, no. 8: 2119. https://doi.org/10.3390/buildings13082119
APA StyleHeo, S., Na, S., & Choi, W. (2023). Serviceability Evaluation of High-Rise Buildings Exposed to Typhoon Proximity Effects Using ISO10137 and ISO6897. Buildings, 13(8), 2119. https://doi.org/10.3390/buildings13082119

