Polyolefin Elastomer Modified Asphalt: Performance Characterization and Modification Mechanism
Abstract
1. Introduction
2. Materials and Methods
2.1. Virgin Asphalt, Aggregate, and Polyolefin Elastomer
2.2. Sample Preparation
2.2.1. Modified Asphalt Binders
2.2.2. Modified Asphalt Mixtures
2.3. Measurement and Characterization
2.4. Research Plan
3. Results and Discussion
3.1. Characteristics of Polyolefin Elastomer
3.2. Storage Stability
3.3. Workability of Modified Asphalt
3.4. Rheological Properties
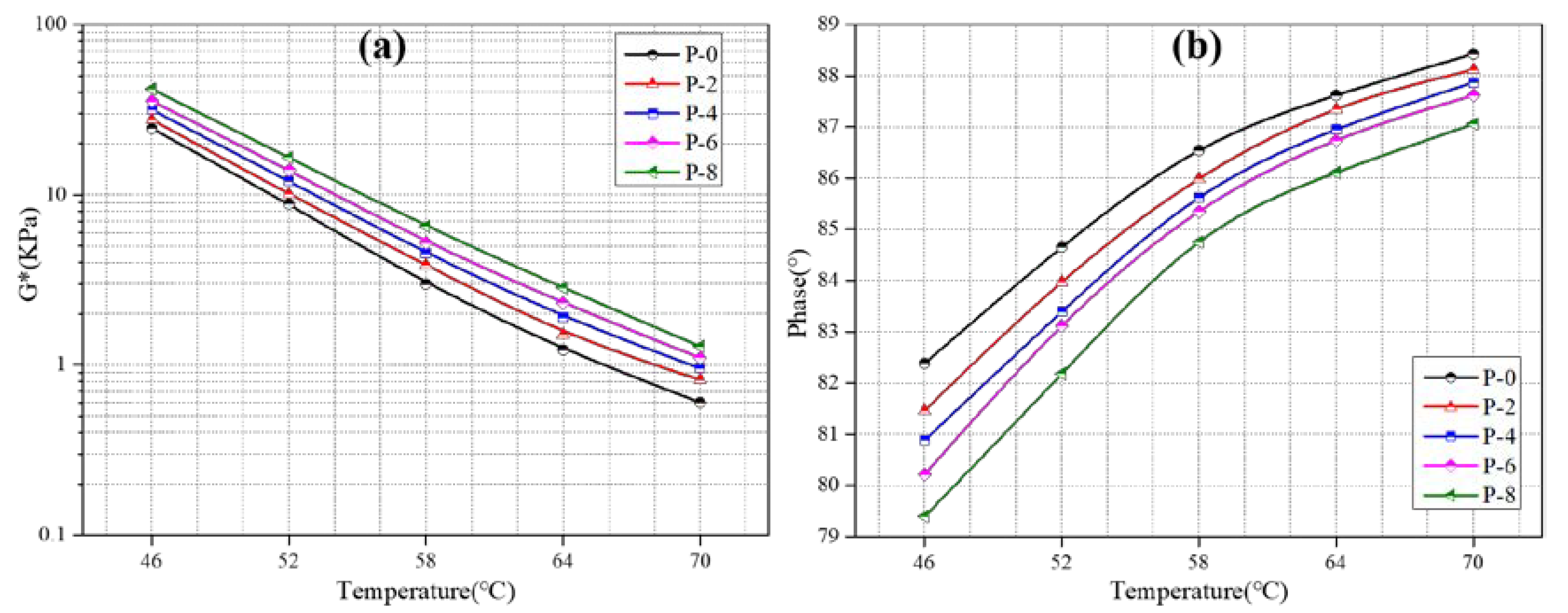
3.4.1. Complex Modulus and Phase Angle
3.4.2. Rutting Factor
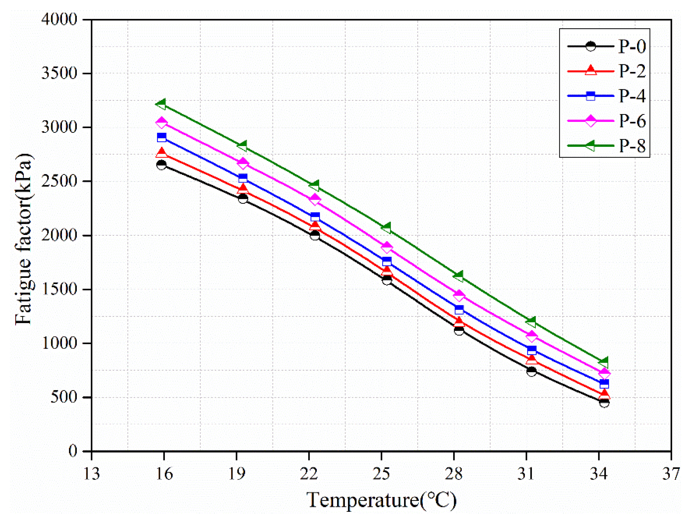
3.4.3. Fatigue Factor
3.4.4. Creep Stiffness Modulus and Creep Rate
3.5. Engineering Performance
3.6. Modification Mechanism
4. Conclusions and Future Work
Author Contributions
Funding
Institutional Review Board Statement
Informed Consent Statement
Data Availability Statement
Conflicts of Interest
References
- Li, H. Spatiotemporal Transportation Economics Development: Theories and Practices in China and Beyond; Springer Press: Berlin/Heidelberg, Germany, 2022; Available online: https://link.springer.com/book/10.1007/978-981-16-8197-4 (accessed on 15 April 2023).
- Statistics Bulletin of Transportation Industry Development in 2021. 2022. Available online: http://www.gov.cn/xinwen/2022-05/25/content_5692174.htm (accessed on 15 April 2023).
- Yang, C.; Wu, S.; Cui, P.; Amirkhanian, S.; Zhao, Z.; Wang, F.; Zhang, L.; Wei, M.; Zhou, X.; Xie, J. Performance characterization and enhancement mechanism of recycled asphalt mixtures involving high RAP content and steel slag. J. Clean. Prod. 2022, 336, 130484. [Google Scholar] [CrossRef]
- Zhao, Y.; Song, J.; Xie, J.; Wang, F.; Chen, M.; Wu, S.; Foong, L. Evaluation of the Volume Stability and Resource Benefit of Basic Oxygen Furnace Slag and Its Asphalt Mixture Based on Field Application. Adv. Civ. Eng. 2021, 2021, 6676154. [Google Scholar] [CrossRef]
- Zhao, Y.; Chen, M.; Wu, S.; Jiang, Q. Rheological properties and microscopic characteristics of rejuvenated asphalt using different components from waste cooking oil. J. Clean. Prod. 2022, 370, 133556. [Google Scholar] [CrossRef]
- Li, Y.; Feng, J.; Yang, F.; Wu, S.; Liu, Q.; Bai, T.; Liu, Z.; Li, C.; Gu, D.; Chen, A.; et al. Gradient aging behaviors of asphalt aged by ultraviolet lights with various intensities. Constr. Build. Mater. 2021, 295, 361–368. [Google Scholar] [CrossRef]
- Wei, H.; Zhang, H.; Li, J.; Zheng, J.; Ren, J. Effect of loading rate on failure characteristics of asphalt mixtures using acoustic emission technique. Constr. Build. Mater. 2023, 364, 129835. [Google Scholar] [CrossRef]
- Nettis, A.; Massimi, V.; Nutricato, R.; Nitti, D.; Samarelli, S.; Uva, G. Satellite-based interferometry for monitoring structural deformations of bridge portfolios. Autom. Constr. 2023, 147, 104707. [Google Scholar] [CrossRef]
- Ghyabi, M.; Timber, L.; Jahangiri, G.; Lattanzi, D.; Shenton, H., III; Chajes, M.M.H. Head, Vision-Based Measurements to Quantify Bridge Deformations. J. Bridge Eng. 2023, 28, 5022010. [Google Scholar] [CrossRef]
- Polacco, G.; Filippi, S.; Merusi, F.; Stastna, G. A review of the fundamentals of polymer-modified asphalts: Asphalt/polymer interactions and principles of compatibility. Adv. Colloid Interface Sci. 2015, 224, 72–112. [Google Scholar] [CrossRef]
- Zhu, J.; Birgisson, B.; Kringos, N. Polymer modification of bitumen: Advances and challenges. Eur. Polym. J. 2014, 54, 18–38. [Google Scholar] [CrossRef]
- Liang, M.; Xin, X.; Fan, W.; Zhang, J.; Jiang, H.; Yao, Z. Comparison of rheological properties and compatibility of asphalt modified with various polyethylene. Int. J. Pavement Eng. 2019, 22, 11–20. [Google Scholar] [CrossRef]
- Alghrafy, Y.; Alla, E.-S.A.; El-Badawy, S. Rheological properties and aging performance of sulfur extended asphalt modified with recycled polyethylene waste. Constr. Build. Mater. 2021, 273, 121771. [Google Scholar] [CrossRef]
- Nien, Y.-H.; Yeh, P.-H.; Chen, W.-C.; Liu, W.-T.; Chen, J.-H. Investigation of flow properties of asphalt binders containing polymer modifiers. Polym. Compos. 2008, 29, 518–524. [Google Scholar] [CrossRef]
- Leng, Z.; Padhan, R.; Sreeram, A. Value-added application of waste PET based additives in bituminous mixtures containing high percentage of reclaimed asphalt pavement (RAP). J. Clean. Prod. 2018, 196, 615–625. [Google Scholar] [CrossRef]
- Leng, Z.; Padhan, R.; Sreeram, A. Production of a sustainable paving material through chemical recycling of waste PET into crumb rubber modified asphalt. J. Clean. Prod. 2018, 180, 682–688. [Google Scholar] [CrossRef]
- Cong, L.; Yang, F.; Guo, G.; Ren, M.; Shi, J.; Tan, L. The use of polyurethane for asphalt pavement engineering applications: A state-of-the-art review. Constr. Build. Mater. 2019, 225, 1012–1025. [Google Scholar] [CrossRef]
- Yidirim, Y. Polymer modified asphalt binders. Constr. Build. Mater. 2007, 21, 66–72. [Google Scholar] [CrossRef]
- Nizamuddin, S.; Baloch, H.; Jamal, M.; Madapusi, S.; Giustozzi, F. Performance of waste plastic bio-oil as a rejuvenator for asphalt binder. Sci Total Environ. 2022, 828, 154489. [Google Scholar] [CrossRef]
- Behnood, A.; Gharehveran, M. Morphology, rheology, and physical properties of polymer-modified asphalt binders. Eur. Polym. J. 2019, 112, 766–791. [Google Scholar] [CrossRef]
- Sun, M.; Zheng, M.; Qu, G.; Yuan, K.; Bi, Y.; Wang, J. Performance of polyurethane modified asphalt and its mixtures. Constr. Build. Mater. 2018, 191, 386–397. [Google Scholar] [CrossRef]
- Yang, X.; Zhang, H.; Zheng, W.; Chen, Z.; Shi, C. A Novel Rejuvenating Method for Structural and Performance Recovery of Aged SBS-Modified Bitumen. ACS Sustain. Chem. Eng. 2022, 10, 1565–1577. [Google Scholar] [CrossRef]
- Han, X.; Mao, S.; Xu, S.; Yu, J.; Cao, Z.; Wang, R.; He, P.; Zeng, S. Effects of Reactive Chain Extension Rejuvenation Systems on the Viscosity–Temperature Characteristics, Rheological Properties, and Morphology of Aged Styrene–Butadiene–Styrene-Modified Bitumen. ACS Sustain. Chem. Eng. 2021, 9, 16474–16484. [Google Scholar] [CrossRef]
- Cao, Z.; Chen, M.; Yu, J.; Han, X. Preparation and characterization of active rejuvenated SBS modified bitumen for the sustainable development of high-grade asphalt pavement. J. Clean. Prod. 2020, 273, 123012. [Google Scholar] [CrossRef]
- Cao, Z.; Huang, X.; Yu, J.; Han, X.; Wang, R.; Li, Y. Study on all-components regeneration of ultraviolet aged SBS modified asphalt for high-performance recycling. J. Clean. Prod. 2020, 276, 123376. [Google Scholar] [CrossRef]
- Mao, S.; He, Y.; Liu, M.; Cao, Z.; Duan, H.; Yu, J. Effect of organic montmorillonite on properties of SBS modified asphalt. J. Wuhan Univ. Technol. 2022, 44, 6–11. [Google Scholar] [CrossRef]
- Sun, M.; Xiao, Y.; Liu, K.; Yang, X.; Liu, P.; Jie, S.; Hu, J.; Shi, S.; Wang, Q.; Lim, K.; et al. Synthesis and characterization of polyolefin thermoplastic elastomers: A review. Can. J. Chem. Eng. 2023, 22, 54–63. [Google Scholar] [CrossRef]
- Mahmood, Q.; Sun, W.-H. N, N-chelated nickel catalysts for highly branched polyolefin elastomers: A survey. R. Soc. Open Sci. 2018, 5, 180367. [Google Scholar] [CrossRef]
- JTG-E20; Standard Test Methods of Bitumen and Bituminous Mixtures for Highway Engineering. Highway Science Research Institute of the Ministry of Transport: Beijing, China, 2011.
- ASTM D1238-04; Standard Test Method for Melt Flow Rates of Thermoplastics by Extrusion Plastometer. US-ASTM: West Conshohocken, PA, USA, 2004.
- ASTM D638-14; Standard Test Method for Tensile Properties of Plastics. US-ASTM: West Conshohocken, PA, USA, 2014.
- ASTM D6272-17; Standard Test Method for Flexural Properties of Unreinforced and Reinforced Plastics and Electrical Insulating Materials by Four-Point Bending. US-ASTM: West Conshohocken, PA, USA, 2017.
- ASTM D2240-03; Standard Test Method for Rubber Property-Durometer Hardness. US-ASTM: West Conshohocken, PA, USA, 2003.
- ASTM D792-00; Standard Test Method for Density and Specific Gravity (Relative Density) of Plastics by Displacement. US-ASTM: West Conshohocken, PA, USA, 2000.
- Cerrada, M.; Benavente, R.; Perez, E.; Moniz-Santos, J.; Ribeiro, M. Experimental evidence of the glass transition in a metallocene ethylene-1-octene copolymer and its composites with glass fibre. Polymer 2001, 42, 7197–7202. [Google Scholar] [CrossRef]
- Zhao, Y.; Chen, M.; Wu, S.; Jiang, Q.; Xu, H.; Zhao, Z.; Lv, Y. Effects of waterborne polyurethane on storage stability, rheological properties, and VOCs emission of crumb rubber modified asphalt. J. Clean. Prod. 2022, 340, 130682. [Google Scholar] [CrossRef]
- Lv, S.; Hu, L.; Xia, C.; Peng, X.; Cabrera, M.; Guo, S.; You, L. Surface-treated fish scale powder with silane coupling agent in asphalt for performance improvement: Conventional properties, rheology, and morphology. J. Clean. Prod. 2021, 311, 127772. [Google Scholar] [CrossRef]
- Cao, Z.; Chen, M.; Liu, Z.; He, B.; Yu, J.; Xue, L. Effect of different rejuvenators on the rheological properties of aged SBS modified bitumen in long term aging. Constr. Build. Mater. 2019, 215, 709–717. [Google Scholar] [CrossRef]
- Zhao, Z.; Wu, S.; Liu, Q.; Xie, J.; Yang, C.; Wan, P.; Guo, S.; Ma, W. Characteristics of calcareous sand filler and its influence on physical and rheological properties of asphalt mastic. Constr. Build. Mater. 2021, 301, 3014–3019. [Google Scholar] [CrossRef]
- Zhang, H.; Chen, Z.; Xu, G.; Shi, C. Evaluation of aging behaviors of asphalt binders through different rheological indices. Fuel 2018, 221, 78–88. [Google Scholar] [CrossRef]
- Lv, S.; Xia, C.; Yang, Q.; Guo, S.; You, L.; Guo, Y.; Zheng, J. Improvements on high-temperature stability, rheology, and stiffness of asphalt binder modified with waste crayfish shell powder. J. Clean. Prod. 2020, 264, 121745. [Google Scholar] [CrossRef]
- Zhao, Y.; Gong, X.; Liu, Q. Research on rheological properties and modification mechanism of waterborne polyurethane modified bitumen. Constr. Build. Mater. 2023, 371, 130775. [Google Scholar] [CrossRef]
- Zhao, Y.; Chen, M.; Zhang, X.; Wu, S.; Zhou, X.; Jiang, Q. Effect of chemical component characteristics of waste cooking oil on physicochemical properties of aging asphalt. Constr. Build. Mater. 2022, 344, 128236. [Google Scholar] [CrossRef]










| Items | Results | Units | Standard (JTG E20-2011 [29]) |
|---|---|---|---|
| Penetration | 67 | 0.1 mm | T 0604 |
| Ductility | >100 | cm | T 0605 |
| Softening point | 49.7 | °C | T 0606 |
| Density | 1.024 | g/cm3 | T 0603 |
| Brittle point | −11.0 | °C | T 0613 |
| Items | Values | Units | Standard |
|---|---|---|---|
| Melt flow rate | 1.1 | g/10 min | ASTM D1238-04 [30] |
| Tensile strength | 18.2 | MPa | ASTM D638-14 [31] |
| Flexural modulus | 33.7 | MPa | ASTM D6272-17 [32] |
| Hardness | 84 | - | ASTM D2240-03 [33] |
| Density | 0.902 | g/cm3 | ASTM D792-00 [34] |
| Sieve Size (mm) | 16 | 13.2 | 9.5 | 4.75 | 2.36 | 1.18 | 0.6 | 0.3 | 0.15 | 0.075 |
| Passing ratio (%) | 100 | 96.1 | 74.3 | 43.5 | 26.6 | 21.1 | 17.4 | 13.6 | 10.2 | 5.9 |
| Samples | Results/Pa | |
|---|---|---|
| 64 °C | 70 °C | |
| P-0 | 1226.66 | 602.57 |
| P-2 | 1509.61 | 819.44 |
| P-4 | 1910.71 | 957.66 |
| P-6 | 2315.95 | 1101.65 |
| P-8 | 2844.55 | 1288.70 |
| Items | Moisture Susceptibility | High-Temperature Performance | Low-Temperature Performance | ||
|---|---|---|---|---|---|
| MS1 (kN) /Std. Dev | MS (kN) /Std. Dev | RMS (%) | Dynamic Stability (Times/mm)/Std. Dev | Ultimate Flexural Strain (μƐ) /Std. Dev | |
| AM-0 | 11.89/0.77 | 13.35/0.45 | 89.06 | 3988/115.52 | 3342.17/136.12 |
| AM-2 | 13.35/0.64 | 14.57/0.67 | 91.63 | 4325/107.01 | 3452.35/83.24 |
| AM-4 | 13.88/0.67 | 14.99/0.57 | 92.60 | 4575/114.73 | 3521.39/69.23 |
| AM-6 | 14.79/0.50 | 15.85/0.82 | 93.31 | 4871/112.55 | 3737.52/78.91 |
| AM-8 | 15.65/0.45 | 16.73/1.1 | 93.54 | 5233/134.58 | 3904.51/85.47 |
| Temperature Interval and Boundary | State of Materials | Performance of Modified Asphalt | ||
|---|---|---|---|---|
| Flexible Structure | Rigid Structure | Virgin Asphalt | ||
| A (Tg1--Tb) | Rubbery state | Glassy state | brittle | Rigidity is weakened |
| B (Tb--Tg2(Ts)) | Rubbery state | Glassy state | elastic | Elasticity is improved |
| C (Tg2(Ts)--) | Rubbery state | Rubbery state | viscous | Viscosity is weakened Elasticity is improved |
Disclaimer/Publisher’s Note: The statements, opinions and data contained in all publications are solely those of the individual author(s) and contributor(s) and not of MDPI and/or the editor(s). MDPI and/or the editor(s) disclaim responsibility for any injury to people or property resulting from any ideas, methods, instructions or products referred to in the content. |
© 2023 by the authors. Licensee MDPI, Basel, Switzerland. This article is an open access article distributed under the terms and conditions of the Creative Commons Attribution (CC BY) license (https://creativecommons.org/licenses/by/4.0/).
Share and Cite
Ye, Z.; Zhao, Y. Polyolefin Elastomer Modified Asphalt: Performance Characterization and Modification Mechanism. Buildings 2023, 13, 1291. https://doi.org/10.3390/buildings13051291
Ye Z, Zhao Y. Polyolefin Elastomer Modified Asphalt: Performance Characterization and Modification Mechanism. Buildings. 2023; 13(5):1291. https://doi.org/10.3390/buildings13051291
Chicago/Turabian StyleYe, Zhen, and Yuechao Zhao. 2023. "Polyolefin Elastomer Modified Asphalt: Performance Characterization and Modification Mechanism" Buildings 13, no. 5: 1291. https://doi.org/10.3390/buildings13051291
APA StyleYe, Z., & Zhao, Y. (2023). Polyolefin Elastomer Modified Asphalt: Performance Characterization and Modification Mechanism. Buildings, 13(5), 1291. https://doi.org/10.3390/buildings13051291
